基于TiO2-Au双层膜结构的D型光子晶体纤维低折射率传感器设计与分析
Design of a D-Shaped Photonic Crystal Fiber Low Refractive Index Sensor with a TiO2-Au Bilayer Structure
DOI: 10.12677/oe.2026.161002, PDF, HTML, XML,   
作者: 刘震震:天津工业大学物理科学与技术学院,天津
关键词: 光子晶体光纤表面等离子体共振低折射率Photonic Crystal Fiber Surface Plasmon Resonance Low Refractive Index
摘要: 基于表面等离子体共振原理,设计了一种U型凹槽的D型光子晶体光纤传感器。对于传统传感器而言,单一金属作为传感层存在灵敏度较低的问题,研究设计了在凹槽结构上涂覆二氧化钛和金双层膜,用来提升传感器的稳定性和灵敏性。基于仿真结果表明,该传感器在待测物RI为1.22~1.29之间,最高的波长灵敏度达到14,000 nm/RIU,最佳分辨率为5.52 × 10−6 RIU。在低RI检测领域具有一定竞争力。
Abstract: Based on the surface plasmon resonance (SPR) effect, a D-shaped photonic crystal fiber (PCF) sensor featuring a U-shaped groove is presented. To mitigate the low-sensitivity issues inherent in traditional single-metal-layer sensors, a TiO2-Au bilayer structure is incorporated into the groove to optimize sensing stability and sensitivity. Numerical analysis reveals that the sensor yields a peak wavelength sensitivity of 14,000 nm/RIU and a minimum resolution of 5.52 × 10−6 RIU over an analyte refractive index (RI) range of 1.22~1.29. These results highlight the sensor’s superior performance and competitiveness for low-RI detection applications.
文章引用:刘震震. 基于TiO2-Au双层膜结构的D型光子晶体纤维低折射率传感器设计与分析[J]. 光电子, 2026, 16(1): 9-18. https://doi.org/10.12677/oe.2026.161002

1. 引言

光子晶体光纤因其具有灵活的结构设计、良好的非线性效应及可调控的色散特性,在化学检测、生物传感以及环境监测等领域展现了巨大的应用潜力[1]。表面等离子体共振(spr)因对待测物折射率变化具有极高的灵敏度且支持免标记检测而成为传感领域的研究热点。

基于SPR效应的光子晶体光纤传感器,其原理是利用光纤纤芯基模与金属膜表面产生的表面等离子体极化波(SPP)模式之间的能量耦合[2]。当满足相位匹配条件时,纤芯能量大量转移至金属膜与待测介质的交界面,导致透射光谱中出现明显的损耗峰[3]。然而,传统(PCF-SPR)传感器常面临传感层制备复杂、灵敏度与探测精度难以平衡等挑战。

近年来研究者提出了侧面抛光处理的D型光子晶体光纤结构。金(Au)因其优异的化学稳定性和显著的等离子体特性,被广泛用作传感层材料[4]。Ran Sardar等人设计了一种用金(Au)作为传感层结构的PCF-SPR传感器,该传感器工作波长范围为700~850 nm,待测物折射率范围在1.36~1.385之间,平均灵敏度为7143 nm/RIU [5]。徐东阳等人提出了一种PCF-SPR传感器,待测物折射率范围在1.34~1.41之间,平均灵敏度为9000 nm/RIU [6]

然而,在当前研究中不难发现,使用单一金属往往存在灵敏度较低的情况。因此,本文设计了一种U型凹槽结构的D型PCF-SPR传感器,该传感层由金(Au)和二氧化钛(TiO2)两层膜组成,引入二氧化钛(TiO2)高折射率半导体材料作为增敏层,不仅能提高金膜的附着力,还能通过调节模场分布进一步优化传感性能。再通过调整各个结构参数,使其在低折射率检测范围内具有更高的灵敏度,为低RI物质检测提供了一个方案。

为了验证本研究所设计的U型沟槽D型光子晶体光纤传感器在物理实现上的吸光度,本节对其制备流程及潜在挑战进行了一定的探讨,从器件制造、微结构加工以及薄膜沉积三个方面进行分析传感器的制作。对于光纤一般采用抽拉法制备PCF,通过精确控制拉制温度及速度,使该空气孔分布Λ = 2.5 μm及各空气孔半径符合预期要求。通过侧面抛光技术并结合飞秒激光刻蚀技术在平面上加工出U型通道。飞秒激光的高功率和短脉冲能在微米精度内实现精确刻蚀热影响区极小,进而保证U型凹槽的高精度性。在关键的薄膜沉积层,考虑到U型凹槽的深径比,可以采用原子层沉积(ALD)技术制备10 nm的TiO2增敏层。ALD技术基于有限的自性气相表面反应,能够实现在复杂的沟槽内壁的保形涂层,在增强金膜沉积力的同时优化模场分布,同时利用旋转磁控溅射技术可以在TiO2基础上沉积40 nm的金膜作为主传感层。

在光纤传感器制作过程中,其工艺挑战在于U型槽内膜厚的均匀性以及加工工艺对传感性能的影响。由于沟槽深度因此很容易产生遮蔽效应,使镀膜厚度不一致,针对加工过程中可能产生的气孔偏差或修正深度精度,建议在沉积深度引入在线光谱监测系统,通过实时监测损耗峰的位置来动态调整沉积时间,从而补偿加工偏差,确保最终设备的精度与解决达到仿真预期的14,000 nm/RIU和5.52 × 106 RIU。

2. 传感器结构与理论模型

图1展示的是所提出的U型开口的D型传感器示意图,该传感器结构经过侧面抛光处理,为降低传输损耗设计了基于表面等离子共振(spr)效应的D型光子晶体光纤传感器,通过调整内部空气孔的位置及大小来实现核心模式和表面等离子体极化波(spp)模式的有效耦合。为了提高灵敏度,本文对U型通道D型传感器设计了一种具有增敏结构的PCF-SPR传感器。该传感器直径设置在17.5 um,上端平面距离光纤纤芯距离为 h=5.3um 。平面结构中心为U型凹槽通道,其表面镀了金(Au)和二氧化钛(TiO2)两层膜,厚度为 t 2 ( Au )=40nm t 1 ( TIO 2 )=10nm 。由于该U型通道镀膜在外部,所以降低了镀膜工艺的难度,同时也让传感层更接近核心,也能提高传感性能。传感器内部空气孔由两部分组成,核心层由半径 r 1 =0.35um r 2 =0.7um 的气孔组成,外侧两层气孔半径均为 r 3 =0.8um ,空气孔间距为Λ = 2.5 μm。光纤最外围用完美匹配层(PML)作为边界条件使得模拟结果更加准确。

为了解决二氧化钛(TiO2)作为粘合层的影响,本文利用Kretschman结构的等效膜进行近似处理,运用菲涅耳公式计算得到入射波长的反射率。

图2由分析物,传感层,粘合层构成的3层结构等效反射系数表示为[7]

Figure 1. Schematic diagram of the photonic crystal fiber (PCF) sensor

1. 光子晶体光纤传感器示意图

Figure 2. Schematic diagram of the sensing layer in the photonic crystal fiber sensor

2. 光子晶体光纤传感器传感层示意图

r 234 = r 23 + r 34 exp( 2i k 3 t 3 ) 1+ r 23 r 34 exp( 2i k 3 t 3 ) (1)

该式中: r 23 代表粘合层–传感层界面的反射系数, r 34 代表传感层–粘合层界面的反射系数; k 3 则代表传感层界面的波数; t 3 为传感层的厚度。

i 层反射系数为:

r i,i+1 = ε i+1 k i ε i k i+1 ε i+1 k i + ε i k i+1 ,i=1,2 (2)

ε i 代表第 i 层的等离子体介电常数, k 代表该界面的波数。

z 轴方向上的波矢分量可以表示为:

k i = k 0 ε i ε 1 sin 2 θ (3)

该式中: k 0 代表自由空间波数; ε i 代表纤芯介电常数; θ 则代表入射角度。

同时,为了简化分析,本文只考虑一次反射情况,结合上面得到的结构反射率为:

R 1234 = | r 12 + r 234 exp( 2i k 2 t 2 ) 1+ r 12 r 234 exp( 2i k 2 t 2 ) | 2 (4)

该式中: r 12 代表纤芯和粘合层界面的反射系数; k 2 代表粘合层界面波数; t 2 代表粘合层厚度。

传感层金属是金(Au),其入射波长和介电常数之间的关系可以用Drude模型进行表示[8]

ε( ω )= ε 1 +i ε 2 = ε ω p 2 ω( ω+i ω c ) (5)

该式中: ω c 表示电子的碰撞频率, ε 表示金属在高频极限时介电常数,而 ω p 则表示金属材料等离子体振荡频率,由于传感层金属选择金(Au),所以 ω c =1.45× 10 14 ω =9.75 ω p =1.369× 10 16

粘合层二氧化钛的RI可以有公式计算的:

n TiO 2 2 =5.913+ 2.441× 10 7 λ 2 0.803× 10 7 (6)

该式中: λ 代表入射光的波长。

该传感器基底是二氧化硅,折射率可通过Sellmeier方程表示[9]

n 2 ( λ )=1+ B 1 λ 2 λ 2 C 1 + B 2 λ 2 λ 2 C 2 + B 3 λ 2 λ 2 C 3 (7)

该式中:常数B1B2B3C1C2C3分别代表0.6961663、0.4079426、0.8974794、0.0684043、0.1162414、9.896161。

因为光子晶体光纤是基于SPR效应传感,其特性可通过计算传输损耗 α loss 来衡量,表达式为[10]

α loss =8.686× 2π λ ×Im( n eff )× 10 4 (8)

该式中: Im( n eff ) 代表有效RI的虚部, λ 代表入射光波长。

3. 传感器原理与模态分析

本文设计的D型光子晶体光纤传感器,其核心原理基于光在多介质界面处的能量耦合。当光在PCF纤芯中传输时,其能量并非完全束缚在纤芯内,而是以倏逝场(Evanescent Field)的形式渗透进入包层。由于光纤的一侧经过侧抛光处理形成D型结构,且表面涂覆了具有高折射率特性的二氧化钛(TiO2)薄膜,这使得纤芯基模能够与薄膜表面的特征模式产生强烈的相互作用。

在特定的波长下,当纤芯基模的有效折射率实部与二氧化钛(TiO2)激发的表面模式(SPR)的有效折射率相等时,即满足相位匹配条件。此时,两个模式发生共振耦合,纤芯内的光能大量转移至二氧化钛(TiO2)膜层及外部待测介质中。

图3显示了D型光子晶体光纤传感结构产生的基模和等离子体模的模场分布,此时待测介质 n a =1.25 ,金膜厚度 t 2 =45nm ,可以从基模图中看出,光被很好地束缚在了纤芯区域,场强也集中在纤芯区域,从等离子体模图中可以看出,其主要产生于待测介质和金膜的交界面,其场强也集中在交界面处。

图4所示,红色线条表示SPP模的有效折射率和波长之间的关系,黑色线条表示基模的有效

Figure 3. Electric field distributions of various modes: (a) y-polarized fundamental mode; (b) surface plasmon polariton (SPP) mode; (c) surface plasmon resonance (SPR) mode.

3. 不同模式电场图:(a) y方向基膜;(b) spp模式;(c) spr模式

Figure 4. Effective refractive indices and confinement losses of the fundamental mode and spp mode at n = 1.25.

4. 待测物RI在1.25时,基膜和spp模式的有效折射率及损耗

折射率和波长的关系,可以看到,在共振波长1910 nm附近,基模的色散曲线与表面模式曲线呈现明显的“反交叉”现象,代表此时两种模式实现了相位匹配。基于相位匹配原理所引发的表面等离子体共振(SPR)现象,使得纤芯部分的光能被转移至金属和待测介质交界面区域,同时导致光纤的纤芯能量出现衰减。如图3所示,纤芯的损耗谱在波长为1910 nm时出现了明显的损耗峰,这进一步证明了SPR现象的发生。

4. 参数优化及性能探讨

4.1. 内部结构的影响

在D型光子晶体光纤结构中,位于纤芯与二氧化钛(TiO2)涂层之间的气孔 r 1 起着调控光场空间分布的关键作用。本文通过改变 r 1 的大小,研究了其对传感器损耗谱及灵敏度的影响规律。

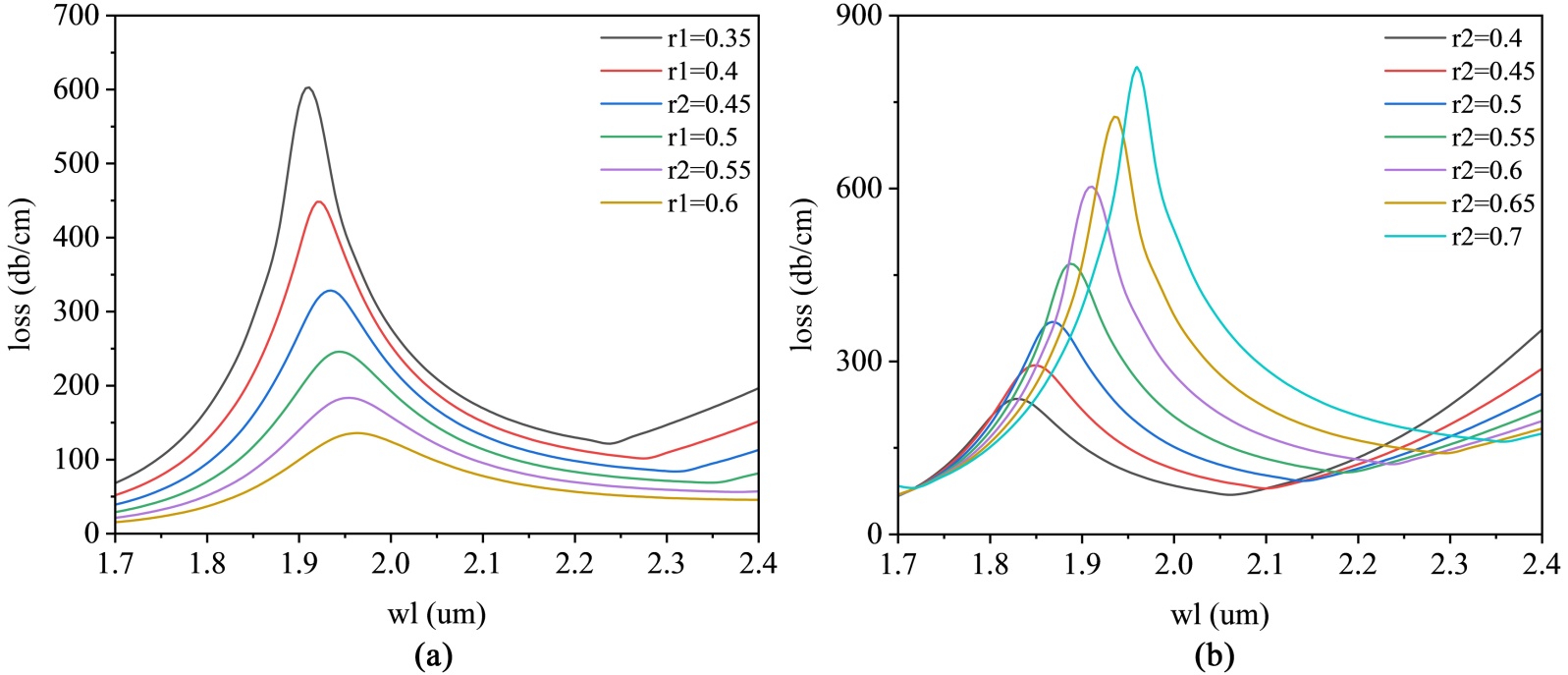
图5所示,当 r 1 较小时,泄露通道比较宽,使得更多的能量能够以倏逝场(Evanescent Field)的形式泄露到D型抛光面。这些泄露的能量与二氧化钛(TiO2)薄膜发生强烈的相互作用,从而激发出更强的表面共振模式。随着 r 1 逐渐减小,损耗峰的峰值明显增大。这表明较小的 r 1 有助于提升传感器的波长灵敏度。尽管较小的 r 1 能带来了高灵敏度,但也会导致损耗峰变宽。过多的能量泄露导致共振耦合的品质因数下降,在一定程度上限制了传感器的探测分辨率, r 1 的减小增强了纤芯基模向D型抛光面的渗漏,从而提升了倏逝场与金属膜的耦合强度。对 r 2 来说,由于他处在纤芯两侧,他的变化对于能量泄露的方向也有很大的影响,当 r 2 较小时,会使能量向x方向泄露,当 r 2 变大时,则会使能量更多的向y方向和spp模式产生耦合,进而能使损耗变大。当 r 1 =0.35um r 2 =0.7um 时,其损耗费表现得也更加尖锐,符合我们的预期。

Figure 5. Confinement loss spectra for different air-hole radii: (a) r1; (b) r2

5. 不同气孔半径的损耗谱:(a) r1;(b) r2

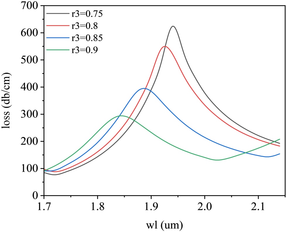
图6展示了对于外侧两层半径较大的气孔 r 3 一般用来约束纤芯能量,较大的气孔会使能量很好地保留在纤芯位置,其中靠近传感层的气孔会对两种模式的耦合产生一定的影响,如图所示,当 r 3 变大时,共振波长会逐渐蓝移,同时损耗峰峰值也在快速下降,这表明 r 3 的减小会使共振波长向短波移动,对损耗影响较大,所以我们选择 r 3 =0.8um 较为合适。

Figure 6. Confinement loss spectra as a function of wavelength for various air-hole radii r 3

6. r 3 不同气孔半径的损耗谱

4.2. 外部结构的影响

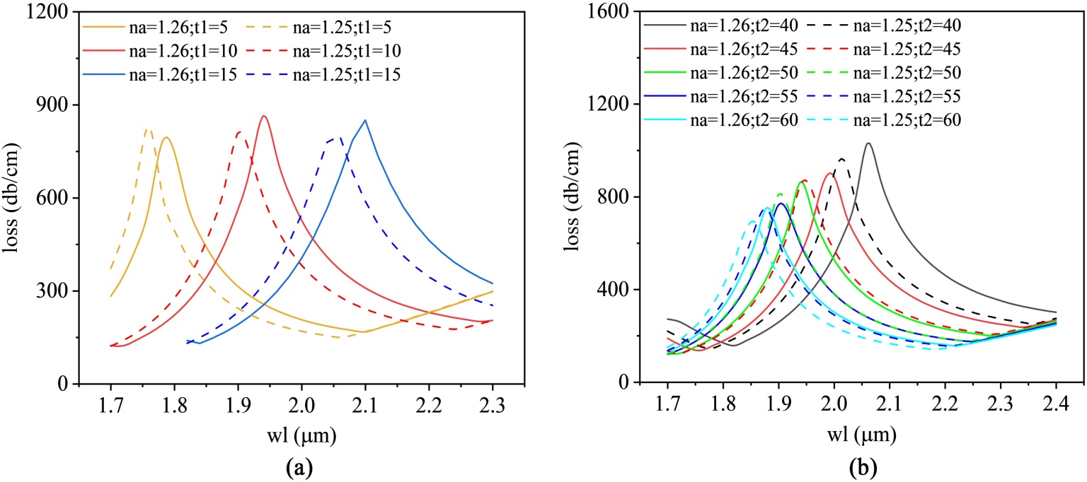
在确定完内部结构对传感器的影响后,外部结构对于传感器的影响主要就是二氧化钛(TiO2)和金(Au)膜厚度,因此我们把分析物的折射率定位1.25和1.26来探讨双层膜厚度对于传感器损耗谱的影响。

二氧化钛(TiO2)作为我们引入的传感器粘合层,二氧化钛(TiO2)的厚度对传感器损耗谱的影响如图7所示,从中能够看到,当 t 1 从5 nm逐渐增加到15 nm时,其共振波长发生明显红移,但我们也发现其损耗峰变化都较小。在同一厚度下,不同折射率分析物共振波长也都有所偏移。通过观察不难发现,当 t 1 =10nm 时,损耗峰最大,且曲线也变现最为尖锐,这也说明是二氧化钛(TiO2)膜的最佳厚度。

金(Au)是一种有着优异的光学等离子特性,其载流子浓度高的金属材料,以此作为传感器模型最常见的传感层。对于金(Au)膜而言,当金(Au)膜过厚的话,入射光子将会难以穿透金层,进而导致其传感器

Figure 7. Confinement loss spectra as a function of layer thickness for analyte refractive indices of 1.25 and 1.26: (a) t 1 ( TiO 2 ) ; (b) t 2 ( Au )

7. 表示待测物折射率在1.25和1.26下不同膜层厚度影响的损耗谱:(a) t 1 ( TiO 2 ) ;(b) t 2 ( Au )

损耗降低,但是金膜太薄的话,也会导致自由电子减少,从而影响spp模式的激发,所以我们需要探讨一个合适的厚度进行传感。从图中不难看出,我们将金膜从35 nm逐步增加到60 nm,其共振波长在逐步蓝移,损耗峰在 t 2 =40nm 时最大,之后随着厚度的增加,损耗峰在逐渐降低。同时,对比同一金膜厚度下不同的分析物RI对于共振波长偏移的影响,不难发现金膜厚度对于其灵敏度有着较大的影响,综合考虑,我们将金膜厚度设置在40 nm。

图8所示,该传感器在待测物折射率变化下的损耗曲线,当待测物折射率升高时,其共振波长也在随之红移,其损耗峰均保持在700 dB/cm之上。对于整个待测物折射率RI的变化范围(RI从1.22~1.29),因此该传感器适用于检测低折射率的物质。

Figure 8. (a) Confinement loss spectra for different analytes; (b) Linear fitting curve of the sensitivity for analyte RI

8. (a) 不同待测物RI的损耗谱;(b) 待测物RI的拟合曲线

光谱的灵敏度是作为衡量传感器有效性的关键因素,是通过其共振波长的偏移来计算传感器的灵敏度 S w ,其通过下面公式计算得到[11]

S w = Δ λ peak Δn (9)

该式中: Δ λ peak Δn 分别表示共振波长的偏移量和待测物RI的变化值。

根据上面波长灵敏度公式计算,D型传感器在待测物RI = 1.28时取得最大波长灵敏度为14,000 nm/RIU。分辨率 R 用来描述传感器可检测的折射率最小变化,其传感器检测分辨率可以用该公式来确定[12]

R=Δn× Δ λ min Δ λ peak (10)

该式中: Δ λ min 代表的是光谱仪的分辨率,一般我们取0.1 nm; Δ λ peak 则代表相对于的共振波长偏移量; Δn 代表相应的待测物折射率变化。之后我们进行计算分析得到5.52 × 106 RIU的最佳检测分辨率。

如图展示的共振波长随着待测物RI从1.22~1.29的变化曲线,在该范围内采用多项式进行拟合,拟合的 R 的平方是0.99562,接近于1。

表1不同结构传感器对比罗列了近年来设计的一些光子晶体光纤传感器的性能对比,相较于传感层使用单一金属,该传感器能够在低RI范围内实现更高的灵敏度测量

Table 1. Comparison between the proposed sensor and other reported structures.

1. 不同结构传感器对比

结构样式

检测范围

金属类型

灵敏度

分辨率

两侧开环结构[13]

1.33~1.38

Au

5000

2.0 × 105

六边形结构[14]

1.33~1.36

Au

4000

2.5 × 105

双芯光纤结构[15]

1.44~1.46

Au

4900

D型开环结构[16]

1.20~1.29

Au

11055

9.05 × 106

本文结构

1.22~1.29

Au-TiO2

14000

5.2 × 106

5. 总结

本文提出了一种U型开口结构的D型光子晶体光纤传感器。在确定传感器基本结构后采用有限元法对其性能参数进行分析研究,从而选择了更明显的y偏振模式进行传感。将金和二氧化钛双层膜涂覆在传感器结构的外层,能够降低制作难度。在对传感器各个结构参数进行分析调整后,计算灵敏度。该传感器在待测物折射率范围为1.22~1.29之间,最大灵敏度为14,000 nm/RIU,最大分辨率达到5.52 × 106 RIU。该传感器的低折射率和高灵敏度特性在传感应用领域具有一定的潜力。

参考文献

[1] Berger, C.E.H. and Greve, J. (2000) Differential SPR Immunosensing. Sensors and Actuators B: Chemical, 63, 103-108. [Google Scholar] [CrossRef
[2] Ahamed, S., Venkatesan, K.K. and Jalaludeen, S.A. (2025) A Review on Various Surface Plasmon Resonance-Based Sensors. Plasmonics, 20, 6869-6885. [Google Scholar] [CrossRef
[3] Fuad, M.H., Nayan, M.F. and Mahmud, R.R. (2025) Advances in Surface Plasmon Resonance-Based PCF and MIM Sensors. Plasmonics, 20, 7995-8026. [Google Scholar] [CrossRef
[4] Gao, J., Yang, W., Liu, R., Feng, J., Li, Y., Jiang, M., et al. (2024) A Reliable Gold Nanoparticle/Cu-TCPP 2D MOF/Gold/D-Shaped Fiber Sensor Based on SPR and LSPR Coupling for Dopamine Detection. Applied Surface Science, 655, 159523. [Google Scholar] [CrossRef
[5] Sardar, M.R. and Faisal, M. (2024) Dual-Core Dual-Polished PCF-SPR Sensor for Cancer Cell Detection. IEEE Sensors Journal, 24, 9843-9854. [Google Scholar] [CrossRef
[6] Yang, X., Hou, S., Xie, C., Wu, G. and Yan, Z. (2023) High-Performance Photonic Crystal Fiber Biosensor Based on Surface Plasmon Resonance for Early Cancer Detection. Plasmonics, 19, 675-685. [Google Scholar] [CrossRef
[7] 朱云浩, 胡淼森, 邓硕, 等. 利用相位解卷绕法修正SPR相位解调的研究[J]. 光学学报, 2023, 43(20): 241-248.
[8] Vial, A., Grimault, A., Macías, D., Barchiesi, D. and de la Chapelle, M.L. (2005) Improved Analytical Fit of Gold Dispersion: Application to the Modeling of Extinction Spectra with a Finite-Difference Time-Domain Method. Physical Review B, 71, Article 085416. [Google Scholar] [CrossRef
[9] Yang, K., Chau, Y., Huang, Y., Yeh, H. and Ping Tsai, D. (2011) Design of High Birefringence and Low Confinement Loss Photonic Crystal Fibers with Five Rings Hexagonal and Octagonal Symmetry Air-Holes in Fiber Cladding. Journal of Applied Physics, 109, Article 093103. [Google Scholar] [CrossRef
[10] Yadav, A., Mishra, M., Tripathy, S.K., Kumar, A., Singh, O.P. and Sharan, P. (2023) Improved Surface Plasmon Effect in Ag-Based SPR Biosensor with Graphene and WS2: An Approach Towards Low Cost Urine-Glucose Detection. Plasmonics, 18, 2273-2283. [Google Scholar] [CrossRef
[11] Zhou, C. (2013) Theoretical Analysis of Double-Microfluidic-Channels Photonic Crystal Fiber Sensor Based on Silver Nanowires. Optics Communications, 288, 42-46. [Google Scholar] [CrossRef
[12] Hautakorpi, M., Mattinen, M. and Ludvigsen, H. (2008) Surface-Plasmon-Resonance Sensor Based on Three-Hole Microstructured Optical Fiber. Optics Express, 16, 8427-8432. [Google Scholar] [CrossRef] [PubMed]
[13] Akter, S., Rahman, M.Z. and Mahmud, S. (2019) Highly Sensitive Open-Channels Based Plasmonic Biosensor in Visible to Near-Infrared Wavelength. Results in Physics, 13, Article 102328. [Google Scholar] [CrossRef
[14] Rifat, A.A., Hasan, M.R., Ahmed, R. and Butt, H. (2017) Photonic Crystal Fiber-Based Plasmonic Biosensor with External Sensing Approach (Erratum). Journal of Nanophotonics, 12, Article 012503. [Google Scholar] [CrossRef
[15] Luan, N., Han, H., Zhao, L., Liu, J. and Yao, J. (2019) Opening up Dual-Core Microstructured Optical Fiber-Based Plasmonic Sensor with Large Detection Range and Linear Sensitivity. Optical Materials Express, 9, 819-825. [Google Scholar] [CrossRef
[16] Chen, X., Xia, L. and Li, C. (2018) Surface Plasmon Resonance Sensor Based on a Novel D-Shaped Photonic Crystal Fiber for Low Refractive Index Detection. IEEE Photonics Journal, 10, 1-9. [Google Scholar] [CrossRef