工作参数对容性耦合O2等离子体中活性物种空间分布的影响
Influence of Operating Conditions on Spatial Distributions of Reactive Species in Capacitively Coupled O2 Plasma
摘要: 容性耦合氧等离子体(CCP)在光刻胶灰化与表面改性中具有重要应用,其工艺性能高度依赖于活性粒子(如O原子、 O 2 + 离子等)密度的空间分布特性。本文基于流体力学思想,对容性耦合O2等离子体放电系统建立二维流体模型,模型的可靠性通过与粒子模拟的结果进行对比得到了验证。本文系统研究了驱动频率(13.56~60 MHz)、施加电压(50~125 V)和工作气压(0.25~1 Torr)对 O 2 + 离子与O原子密度空间分布的影响机制。研究发现:频率升高能够显著提升O原子和 O 2 + 离子的密度。值得注意的是,虽然通过 O 2 ( a 1 Δ g ) 生成O原子的反应对O原子总产率的贡献相对较小,但O原子密度的空间分布与 O 2 ( a 1 Δ g ) 一致。电压增大也能有效提高活性粒子的浓度,然而随着气压的增加,O原子和 O 2 + 离子的密度的变化趋势是相反的。此外,结果表明:O原子密度随着其在材料表面的黏附系数的增加而降低,因此通过合理选择腔壁材料或表面涂层以调控该系数,可以实现对O原子密度的调控。本研究揭示了关键放电参数对O2等离子体中活性粒子分布的调控规律,为优化实际工艺中的刻蚀速率、均匀性与材料兼容性提供了理论依据。
Abstract: Capacitively coupled oxygen plasma (CCP) is widely used in photoresist ashing and surface modification, and its process performance strongly depends on the spatial distribution characteristics of reactive species, such as O atoms and O 2 + ions. A two-dimensional fluid model is developed in this paper for the capacitively coupled O2 plasma discharge system. The validity of the model is first verified by comparing the results from a particle-in-cell/Monte Carlo collision model. This work systematically investigates the influences of driving frequency (13.56~60 MHz), applied voltage (50~125 V), and operating pressure (0.25~1 Torr) on the spatial distribution of O 2 + ion and O atom density. It is found that increasing the frequency can significantly raise the density of O atoms and O 2 + ions. Notably, although the contribution of the O 2 ( a 1 Δ g ) reactions for O atom generation is relatively small, the spatial distribution of O atom density is consistent with that of O 2 ( a 1 Δ g ) . Increasing the applied voltage can also effectively enhance the concentration of reactive species. However, with the rise of pressure, the density of O atoms and O 2 + ions exhibits opposite trends. In addition, the results show that O atom density decreases with the increase of the sticking coefficient on material surface. Thus, tuning this coefficient by reasonably selecting chamber materials or surface coatings can regulate O atom density. This study reveals the effects of key discharge parameters on the distributions of reactive species in capacitively coupled O₂ plasma, providing a theoretical basis for optimizing the etching rate, uniformity, and material compatibility in practical processes.
文章引用:李金睿, 刘勇君, 毛自钰, 王薛钢, 梁英爽. 工作参数对容性耦合O2等离子体中活性物种空间分布的影响 [J]. 建模与仿真, 2026, 15(3): 83-93. https://doi.org/10.12677/mos.2026.153045

1. 引言

经O2等离子体处理的聚合物表面可能因老化而呈现疏水性[1]。光刻胶的残留厚度与 O 2 + 离子径向通量呈负相关[2],将O2作为反应气体引入等离子体放电可有效提升光刻胶去除速率[3]。容性耦合O2等离子体已被广泛应用于聚合物表面改性与光刻胶灰化等工艺中[3] [4]

研究人员对容性耦合O2等离子体已经开展了大量研究。Gudmundsson等人采用一维粒子模拟/蒙特卡罗(PIC-MCC)程序对容性耦合O2放电进行了建模,优化了O2等离子体中关键碰撞过程的截面数据,并强调了O原子和O+离子的重要地位[5]。他们也证明,由亚稳态 O 2 ( a 1 Δ g ) 引发的 O 解离会显著影响 O 密度分布及电子加热机制[6]。随后,他们再进一步改进了该模型,修正了因亚稳态产率被高估而导致的中性粒子密度异常问题,并指出引入亚稳态 O 2 ( b 1 Σ g + ) 会减弱空间局域的欧姆加热效应并降低有效电子温度[7]。此外,Vass等人发现,即使在低气压下,欧姆功率吸收仍占主导地位,这归因于低气压下电子密度比高气压时低两个数量级,使得等离子体电阻率显著升高[8]。Proto等人后续观察到,在0.1 Torr条件下,放电呈现弱电负性,鞘层膨胀主导功率吸收;而在0.01 Torr时,则表现为强电负性,功率吸收主要通过漂移-双极模式在电负性核心区域发生[9]

系统研究外界工作参数对O2等离子体中多种活性粒子空间分布的影响,对工业等离子体工艺优化具有重要参考价值。然而,上述研究多基于一维模型,主要关注宏观放电特性,对 O 2 + 和O原子等重要活性粒子的二维空间分布关注较少。本研究基于流体力学基本思想,针对容性耦合O2放电建立二维模型,系统研究放电频率、电压和气压等对 O 2 + 和O原子空间分布的影响。

2. 仿真模型

在O2 CCP中,模型考虑了电子(e),3种离子( O 2 + O + O )和8种中性粒子(O2,O和两种粒子的激发态(O2 O 2 ( a 1 Δ g ) O 2 ( b 1 Σ g + ) O 2 ( A 3 Σ u + , A 3 Δ u , c 1 Σ u ) 和O(1D))。其中使用缩写 O 2 a O 2 b O 2 u 表示 O 2 ( a 1 Δ g ) O 2 ( b 1 Σ g + ) O 2 ( A 3 Σ u + , A 3 Δ u , c 1 Σ u ) 。所有的粒子被分类为电子和重物质(非电子)。模型假设电子能量分布符合麦克斯韦分布,重物质温度设为373 K。

2.1. 流体方程

时空变化的电子密度使用基于漂移扩散近似的连续性方程进行求解:

n e t + Γ e = R e (1)

Γ e =( μ e E ) n e ( D e n e ) (2)

其中ne Γ e Re分别表示电子密度、通量和源项。其中Re包含了电子的产生与损失速率。电子迁移率 μ e 和扩散系数De通过爱因斯坦关系计算 D e = μ e T e ,其中Te是电子温度,单位是eV。电子能量通过求解电子能量守恒方程求解:

n ε t + Γ ε +E Γ e = R ε (3)

Γ ε =( μ ε E ) n ε ( D ε n ε ) (4)

其中 n ε Γ ε R ε 表示电子能量的密度、通量和源项。 R ε 包含电子碰撞反应的能量损失。同样,电子能量迁移率 μ ε 与扩散系数 D ε 也应用爱因斯坦关系描述 D ε = μ ε T e 。静电场E通过泊松方程描述:

E=V (5)

2 V= ρ e ε 0 (6)

其中V ε 0 ρ e 代表电势、真空介电常数和净电荷密度。

时空变化的重物质的质量密度通过重物质守恒方程进行求解:

ρ w k t = j k + R k (7)

j k =ρ w k ( D k w k w k + D k M n M n Z k μ k E ) (8)

其中 ρ 代表所有重物质的总质量密度, w k R k j k 分别代表重物质k的质量分数、源项和扩散通量。 j k 通过方程(8)计算,其中 Z k D k μ k 分别表示粒子k的电荷数、扩散系数和迁移率。Mn代表平均摩尔质量。为了确保唯一解,总重物质的质量分数和为1。

电子密度与能量的边界条件定义为:

{ n Γ e = 1 γ e 1+ γ e ( 1 2 ν e,th n e ) i γ i ( Γ i n ) n Γ ε = 1 γ e 1+ γ e ( 5 6 ν e,th n ε ) i γ i ε ¯ i ( Γ i n ) (9)

其中 ν e,th 为电子热速度, γ e 代表电子反射系数,设置为0.2。 γ i ε ¯ i 分别是二次电子发射系数和二次电子平均能量,分别设置为0.05和4 eV。

重物质扩散通量的边界条件定义为:

n j k = M k c k j=1 ±[ s kj β k ν k,th 2( 2 β k ) + Z k μ k ( nE ) ] (10)

ν k,th c k β k 分别代表粒子k的热速度、摩尔浓度和黏附系数。

在电源电极,施加振幅为 V a 的余弦电压 V s 波形作为电势的边界条件:

V s = V a cos( 2πft )+ V dc (11)

其中,f是电源频率,Vdc是直流自偏压,通过保证一个射频周期内的净电流为0,其值由系统自洽计算。

2.2. 腔室模型

本研究采用仿真软件对容性耦合O2等离子体放电过程建立二维流体模型。如图1所示,模型腔室材质为不锈钢,半径为14 cm,上下电极的半径均为10.5 cm,厚度为1 cm,两电极间距离为3 cm。上电极连接一个射频电压源,下电极和侧壁接地。为了避免电源电极与接地侧壁之间的放电,使用0.2 mm厚的电介质环包裹电源电极,相对介电常数设定为8.5。计算中,放电区域采用结构化网格进行剖分,并在鞘层处设置了加密的网格层。

Figure 1. Chamber geometry and mesh configuration

1. 腔室几何结构与网格配置

3. 结果与讨论

为验证本模型的可靠性,将本模型的计算结果与文献[5]中基于PIC-MCC方法的模拟数据进行对比,如图2所示为13.56 MHz、0.05 Torr、222 V条件下获得的电子密度和 O 2 + 密度轴向分布的对比。从图中观察到,本模型计算得到的结果与文献中的数据具有很好的一致性: O 2 + 密度约高于电子密度两个量级, O 2 + 密度峰值出现在腔室中心处,而电子密度在上下电极附近的鞘层边界处有一个小的峰值。尽管流体模型未能完全捕捉电子密度在鞘层中的快速下降,但整体分布趋势和数量级均合理。对比结果表明本研究的模型能够对容性耦合O2放电中的物理过程进行有效模拟,具备良好的预测能力。

Figure 2. Axial distributions of electron density and O 2 + density from our model (solid lines) and the PIC-MCC model in Ref. [5] (symbol lines) under the discharge condition: 13.56 MHz, 222 V, 0.05 Torr, and electrode gap of 4.5 cm

2. 本模型计算(实线)和文献[5]中PIC-MCC模型计算(符号线)电子密度和 O 2 + 密度轴向分布:本文模型结果(实线)与文献[5]中PIC-MCC模拟数据(符号线)的对比放电参数:13.56 MHz、222 V,0.05 Torr、极板间距4.5 cm

3.1. 频率的影响

Figure 3. Spatial distributions of O 2 + density at different frequencies: (a) 13.56 MHz, (b) 27.12 MHz, (c) 40.68 MHz, (d) 60 MHz

3. 不同频率下 O 2 + 密度空间分布:(a) 13.56 MHz,(b) 27.12 MHz,(c) 40.68 MHz,(d) 60 MHz

在容性耦合等离子体(CCP)放电中,驱动频率是调控等离子体特性的关键参数之一。在O2等离子体中,频率变化会显著影响O原子的生成效率与空间均匀性。因此,系统研究频率对放电特性的影响,对优化等离子体工艺参数具有重要意义。本节固定气压为0.375 Torr、电压为100 V条件下,考察不同频率下 O 2 + 离子、O原子以及 O 2 a 分子的空间分布演化规律。

图3展示了随电源频率变化的 O 2 + 密度空间分布。从图中可见,各频率下 O 2 + 密度在上电极边缘下方均出现一个峰值。图4给出了不同频率下上电极边缘附近电场的空间分布,图中箭头方向代表电场的方向,长度和颜色代表电场强度。从图4中可以观察到,电场强度的最大值都出现在电极的边缘处,当频率增加时这个位置的电场增强,从而加速电子运动、提升电子能量。当电子能量达到O2电离的阈值时,电离速率增加,导致 O 2 + 密度在此处达到峰值。此外,注意到体区 O 2 + 密度随频率升高而提升近一个数量级:从13.56 MHz的0.25 × 1016 m3到60 MHz的0.95 × 1016 m3。在单频放电中,等离子体密度通常与频率的平方近似成正比[10],这是因为频率越高,射频电场变化越快,电子在两次碰撞间经历更多次电场加速,相比于低频,其有效运动路径增长,从而获得更高电离概率,最终提升 O 2 + 密度。

Figure 4. Spatial distributions of electric field around upper electrode edge at different frequencies: (a) 13.56 MHz, (b) 27.12 MHz, (c) 40.68 MHz, (d) 60 MHz

4. 不同频率下上电极边缘区域电场空间分布:(a) 13.56 MHz,(b) 27.12 MHz,(c) 40.68 MHz,(d) 60 MHz

Figure 5. Spatial distributions of O density at different frequencies: (a) 13.56 MHz, (b) 27.12 MHz, (c) 40.68 MHz, (d) 60 MHz

5. 不同频率下O密度空间分布:(a) 13.56 MHz,(b) 27.12 MHz,(c) 40.68 MHz,(d) 60 MHz

图5展示了随电源频率变化的O原子密度空间分布。从图中可以看到,O密度的最大值随着频率的增加而显著上升,从13.56 MHz时的0.1 × 1019 m3增至60 MHz时的1.0 × 1019 m3。这是因为频率的增加导致电子温度上升(如图6所示),使得更多高能电子能够有效地与O2碰撞使其解离成O原子。还注意到,O原子密度分布呈现出中心区域密度较高,而向外围逐渐减少的趋势。这种分布特征主要是由于O原子在表面上发生反应而导致的损失,形成了浓度梯度。在中心区域,由于浓度梯度较小,O原子的扩散速度相对较慢,因此在此区域内形成了密度高峰。

图7展示了随电源频率变化的 O 2 a 密度空间分布。从图中可以观察到 O 2 a 密度也是随着频率的升高而升高,而且 O 2 a 有着与O相似的分布特征。这是由于 O 2 a 与O原子的产生密切相关,除O2的电子碰撞解离外,电子也会与 O 2 a 碰撞,通过多种反应产生O原子。图8给出了不同频率下,多个由 O 2 a → O反应对O原子贡献率的变化,图中的数值是通过空间积分获得的。可以观察到,在低频率时,通过 O 2 a 生成O的占比较低,随着频率的升高,通过 O 2 a 的电子碰撞解离生成的O原子的占比显著提高,但最大贡献率不超过3%。

Figure 6. Spatial distributions of electron temperature at different frequencies: (a) 13.56 MHz, (b) 27.12 MHz, (c) 40.68 MHz, (d) 60 MHz

6. 不同频率下电子温度空间分布:(a) 13.56 MHz,(b) 27.12 MHz,(c) 40.68 MHz,(d) 60 MHz

Figure 7. Spatial distributions of O 2 a density at different frequencies: (a) 13.56 MHz, (b) 27.12 MHz, (c) 40.68 MHz, (d) 60 MHz

7. 不同频率下 O 2 a 密度空间分布:(a) 13.56 MHz,(b) 27.12 MHz,(c) 40.68 MHz,(d) 60 MHz

Figure 8. Contribution rates of reactions (e + O 2 a → O) to the O atom production as a function of frequency

8. e + O 2 a → O反应对O原子生成的贡献率随频率变化

3.2. 电压的影响

本节在气压为0.375 Torr,频率为60 MHz,极板间距为3 cm的条件下,考察电压对 O 2 + 离子与O原子的空间分布演化规律。图9展示了 O 2 + 密度随施加电压变化的空间分布。可以看出,当电压从50 V提升至125 V时,受边缘效应影响, O 2 + 密度峰值始终位于射频电极边缘下方;且随着电压升高,该边缘效应愈发显著,导致 O 2 + 径向分布的均匀性明显下降。类似现象在容性N2放电中亦有报道[11]。此外,整体 O 2 + 密度随电压升高而增加,这归因于更高的电压使电子获得更大能量,从而提升了O2的电离率。

图10展示了不同电压下O原子密度的空间分布。可以观察到:随着电压增大,O密度的峰值不仅显著提高,其高密度区域的空间范围也同步扩展。这一趋势源于等离子体吸收功率的显著增强:在固定频率与气压条件下,吸收功率近似与电压的平方成正比,从而提高了电子碰撞解离O2的效率,最终导致O原子密度上升。该结果文献[12]中关于输入功率对O2等离子体中活性物种产率影响的研究一致。

Figure 9. Spatial distributions of O 2 + density at different voltages: (a) 50 V, (b) 75 V, (c) 100 V, (d) 125 V

9. 不同电压下 O 2 + 密度空间分布:(a) 50 V,(b) 75 V,(c) 100 V,(d) 125 V

Figure 10. Spatial distributions of O density at different voltages: (a) 50 V, (b) 75 V, (c) 100 V, (d) 125 V

10. 不同电压下O密度空间分布:(a) 50 V,(b) 75 V,(c) 100 V,(d) 125 V

3.3. 气压的影响

本节固定频率为60 MHz、施加电压为100 V条件下,考察不同气压下 O 2 + 离子与O原子的空间分布演化规律。图11展示了 O 2 + 密度随气压变化的空间分布。当气压从0.25 Torr升高至1 Torr时, O 2 + 的峰值密度逐渐减小,而且在上极板边缘处的分布更局域,但腔室中心处轴向分布从中心高密度逐渐转变为双峰的马鞍形分布。在电源频率和电压保持不变的情况下,气压升高意味着腔室中的粒子数升高,使得粒子的平均能量降低,而电离反应需要较高的能量,因此产生 O 2 + 的电离反应速率下降,粒子密度下降;同时,气压的升高抑制了粒子的扩散,都局域在其产生的位置附近。

图12展示了O密度的空间分布随气压的改变,从图中可以观察到,当气压从0.25 Torr提升到1 Torr时,O密度的峰值密度随之增加,这一趋势在文献[12]中亦有报道。然而,也注意到O原子密度随气压的增长速度却逐渐缓慢。这一现象源于电子温度随气压升高而降低,造成大于等于解离反应阈值能量(约6 eV)的高能电子数量减少,导致解离效率的进一步提升受到抑制。

Figure 11. Spatial distributions of O 2 + density at different pressures: (a) 0.25 Torr, (b) 0.5 Torr, (c) 0.75 Torr, (d) 1 Torr

11. 不同气压下 O 2 + 密度空间分布:(a) 0.25 Torr,(b) 0.5 Torr,(c) 0.75 Torr,(d) 1 Torr

Figure 12. Spatial distributions of O density at different pressures: (a) 0.25 Torr, (b) 0.5 Torr, (c) 0.75 Torr, (d) 1 Torr

12. 不同气压下的O密度空间分布:(a) 0.25 Torr,(b) 0.5 Torr,(c) 0.75 Torr,(d) 1 Torr

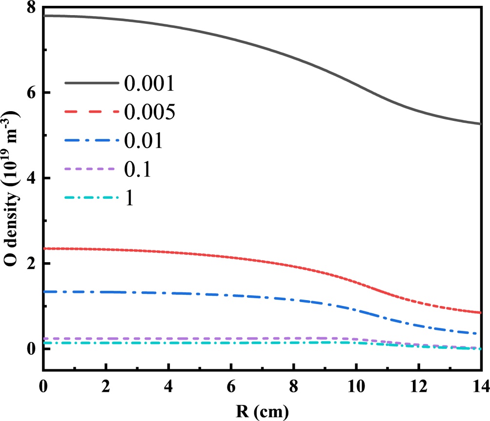
3.4. O表面复合系数的影响

研究发现,由于活性粒子在不同材料表面的黏附系数不同,腔室材质也会对放电产生影响。本节讨论O原子在器壁表面的黏附系数对O原子密度的影响,放电参数为:60 MHz、100 V、0.375 Torr。图13给出不同O原子表面黏附系数下,在腔室中心处观察O原子密度沿径向分布。从图中观察到,当黏附系数从0.001增长至0.005时,O原子密度迅速下降。这是因为更高的黏附系数代表了O原子在壁表面的损失加剧,因此密度显著下降。然而从图中还可以观察到,随着黏附系数进一步增大,O密度的下降趋势变得缓慢,这种现象在感性耦合Ar/O2等离子体中也被观察到[13]。这一结果表明,在等离子体工艺设计中,调控反应腔壁材料或涂层以调节黏附系数也是调控O原子密度的一种手段。

Figure 13. Radial distributions of O atom density along mid-gap at different sticking coefficients

13. 不同O原子表面黏附系数下腔室中心处O原子密度的径向分布

4. 结论

本研究通过二维流体模型系统揭示了频率、电压和气压对容性耦合O2等离子体中O原子与 O 2 + 离子空间分布的调控机制:提升频率可同步增强各活性粒子的密度,O原子可以通过电子与 O 2 a 的多个碰撞反应产生,因此O原子的空间分布特性与 O 2 a 密切相关;增大电压虽提高了 O 2 + 离子产率,但导致均匀性下降;然而随着气压的升高, O 2 + 密度与O原子呈现相反的变化趋势。此外,O原子的密度也受到其在表面的黏附系数的影响,通过合理选择腔壁材料或表面涂层可以调控该系数,可在不改变放电参数的前提下对O原子密度进行调控。本研究揭示了各关键放电参数对O2等离子体中活性物种分布的影响规律,为后续多参数协同优化高性能光刻胶灰化等工艺提供了基础参考。

基金项目

本研究系辽宁省教育厅基本科研项目(项目编号:LJ222510146002),和2026年辽宁科技大学大学生创新训练计划资助成果。

NOTES

*通讯作者。

参考文献

[1] Li, Y.P., Li, S.Y., Shi, W. and Lei, M.K. (2012) Hydrophobic Over-Recovery during Aging of Polyethylene Modified by Oxygen Capacitively Coupled Radio Frequency Plasma: A New Approach for Stable Superhydrophobic Surface with High Water Adhesion. Surface and Coatings Technology, 206, 4952-4958. [Google Scholar] [CrossRef
[2] Park, J., Hong, Y.H., Kang, G.H., Lee, B.J. and Choi, D.W. (2025) Control of the Photoresist Etch Uniformity in Inductive Discharge with Magnetic Resonance Wireless Power Transfer. Plasma Sources Science and Technology, 34, Article 025018. [Google Scholar] [CrossRef
[3] Zhang, A., Lee, M.Y., Lee, H.W., Kim, J.H. and Park, S.J. (2021) Effects of RF Bias Frequency and Power on the Plasma Parameters and Ash Rate in a Remote Plasma Source. Plasma Sources Science and Technology, 30, Article 025009. [Google Scholar] [CrossRef
[4] Li, Y.P., Zhang, Z.C., Shi, W. and Lei, M.K. (2014) Adhesion Enhancement of Polyethylene Modified by Capacitively Coupled Radio Frequency Plasma Polymerization of Ethanol. Surface and Coatings Technology, 259, 77-82. [Google Scholar] [CrossRef
[5] Gudmundsson, J.T., Kawamura, E. and Lieberman, M.A. (2013) A Benchmark Study of a Capacitively Coupled Oxygen Discharge of the Oopd1 Particle-In-Cell Monte Carlo Code. Plasma Sources Science and Technology, 22, Article 035011. [Google Scholar] [CrossRef
[6] Gudmundsson, J.T. and Lieberman, M.A. (2015) On the Role of Metastables in Capacitively Coupled Oxygen Discharges. Plasma Sources Science and Technology, 24, Article 035016. [Google Scholar] [CrossRef
[7] Hannesdottir, H. and Gudmundsson, J.T. (2016) The Role of the Metastable and Energy-Dependent Secondary Electron Emission Yields in Capacitively Coupled Oxygen Discharges. Plasma Sources Science and Technology, 25, Article 055002. [Google Scholar] [CrossRef
[8] Vass, M., Wilczek, S., Lafleur, T., Brinkmann, R.P., Donkó, Z. and Schulze, J. (2020) Electron Power Absorption in Low Pressure Capacitively Coupled Electronegative Oxygen Radio Frequency Plasmas. Plasma Sources Science and Technology, 29, Article 025019. [Google Scholar] [CrossRef
[9] Proto, A. and Gudmundsson, J.T. (2020) Electron Power Absorption Dynamics in a Low Pressure Radio Frequency Driven Capacitively Coupled Discharge in Oxygen. Journal of Applied Physics, 128, Article 113302. [Google Scholar] [CrossRef
[10] Surendra, M. and Graves, D.B. (1991) Capacitively Coupled Glow Discharges at Frequencies above 13.56 MHz. Applied Physics Letters, 59, 2091-2093. [Google Scholar] [CrossRef
[11] 梁英爽. 射频容性耦合氮及氮/氩等离子体的流体力学模拟及实验验证[D]: [博士学位论文]. 大连: 大连理工大学, 2017.
[12] Hussain, S., Verma, A., Bera, K., Rauf, S. and Goeckner, M. (2024) Power Measurement Analysis of Moderate Pressure Capacitively Coupled Discharges. Journal of Vacuum Science & Technology A, 42, Article 033010. [Google Scholar] [CrossRef
[13] 张雨涵, 赵欣茜, 梁英爽, 郭媛媛. 感性耦合Ar/O2等离子体放电特性的数值模拟[J]. 物理学报, 2024, 73(13): 216-225.