部分朗读对汉字词语记忆生产效应的影响
The Impact of Partial Reading on the Production Effect in Memory for Chinese Characters
DOI: 10.12677/ml.2026.143242, PDF, HTML, XML,   
作者: 梁景会:曲阜师范大学国际教育学院,山东 曲阜;池 澄, 陈圣栋*:曲阜师范大学心理学院,山东 曲阜
关键词: 生产效应部分生产效应特异性假说Production Effect Partial Production Effect Distinctiveness Hypothesis
摘要: 本研究旨在探究部分朗读对汉字词语记忆生产效应的影响。鉴于以往研究多聚焦于整体词语或句子的生产效应,本研究通过两个实验,系统性地检验并比较了部分生产效应与标准生产效应在汉语词语记忆中的表现。实验1采用单因素三水平(全朗读/全默读/部分朗读)的被试内设计,验证了部分生产效应的存在及其在汉字词语记忆中的稳定性。实验2则引入再认线索的完整性作为调节变量,进一步分析了部分朗读条件下朗读字与默读字的记忆成绩,揭示了部分生产效应相较于标准生产效应的显著弱势,并指出朗读部分的字对整体记忆成绩具有决定性作用。本研究的发现不仅为生产效应的理论提供了新的解释,也为相关教育实践提供了实践指导,具有重要的理论和实践意义。
Abstract: This study aims to investigate the impact of partial articulatory rehearsal on the production effect in Chinese character word memory. Given that previous research has predominantly focused on the production effects of whole words or sentences, this study systematically examines and compares the manifestation of partial and standard production effects in Chinese character word memory through two experiments. Experiment 1 employed a within-subjects design with a single factor of three levels (full articulatory rehearsal, silent reading, and partial articulatory rehearsal) to confirm the existence and stability of the partial production effect within Chinese character word memory. Experiment 2 introduced the integrity of recognition cues as a moderating variable, further analyzing the memory performance of articulated and unarticulated characters under conditions of partial articulatory rehearsal. This revealed that the partial production effect is significantly weaker than the standard production effect and highlighted the decisive role of the articulated portion of characters in overall memory performance. The findings of this study not only offer new theoretical insights into the production effect but also provide practical guidance for related educational practices, holding significant theoretical and practical implications.
文章引用:梁景会, 池澄, 陈圣栋. 部分朗读对汉字词语记忆生产效应的影响[J]. 现代语言学, 2026, 14(3): 428-441. https://doi.org/10.12677/ml.2026.143242

1. 引言

1.1. 生产效应概念

记忆,作为人类心智活动的核心组成部分,在日常生活和学习中受到广泛关注。为了提升记忆能力,古人基于经验发明了“吟”与“诵”这两种学习古典诗文的方法。随着时间的推移,这些方法逐渐演变成了晨读。大声朗读课文不仅有助于学生增强记忆力,还有效促进了学习效率的提升。

1972年Hopkins和Edwards在记忆识别测试中观察到,相较于默读,发音的单词在再认任务中表现出更高的识别率。这一现象被命名为“发音效应”(pronunciation effect) [1]。进入21世纪,MacLeod等人对朗读对记忆的影响进行了更深入的研究,并将这一现象——即在学习过程中,大声朗读单词相较于默读能够提高显性记忆——正式更名为“生产效应”[2] [3]

1.2. 生产效应理论解释

生产效应的发现为提升记忆力提供了一种便捷且直观的手段。然而,关于这一现象背后的具体机制,众多研究者提出了各自的理论[4]-[6]

Forrin等人提出,生产一个学习项目的行为会导致记忆中形成一个特定于该项目的“独特记录”[5],即在记忆里给这个学习项目创建了一个专属的“记忆标签”,从而帮助个体更容易找到和回忆这个信息。这个观点被命名为特异性假说(distinctiveness hypothesis),是当前有关生产效应最主要的理论,许多研究都支持了这种假说[5] [7]-[9]。该假说认为,信息的生产对于个体形成诊断性记忆具有积极作用。具体而言,与默读相比,大声朗读可以通过声音的产生引入额外的认知编码阶段,从而可能增强了记忆的持久性和可检索性[5] [9],即发声行为本身也可能作为学习内容的一部分被编码进记忆系统[10] [11]。因此,在进行记忆测试时,参与者能够利用这些独特的发音信息来回忆是否学习过某个特定的单词。简而言之,如果一个人记得自己曾经大声念过某个单词,那么这个记忆就成为了他学习过这个单词的证据(“我记得我大声读过这个单词,所以我知道我已经学过它”)。

根据特异性假说,只有在实验设计中使用被试内设计和混合词列时,信息加工的特异性才能明显展现出来。这是因为信息加工的特异性是相对的,它需要通过与其他信息的对比来显现[12]。被试间设计和单一词列设计中之所以没有出现生产效应,可能是由于所有单词采用同一种方式(默读或朗读)进行学习,缺少参照对象,朗读的单词无法与其他单词形成鲜明对比,从而导致朗读的单词无法在记忆测试中产生显著的记忆优势。因此,本研究将采用被试内设计和混合词列设计对项目进行特异性加工,从而在不同生产方式条件下对汉字词语记忆的生产效应进行检验。鉴于大声朗读是生产效应研究中最为经典且广泛使用的方法,本研究将采用“朗读”一词作为“生产”的直接指代。

1.3. 汉语双字词组成汉字语义对词汇意义加工的影响

汉语作为一种语素文字,其双字合成词的词义与组成汉字(语素)的语义之间存在复杂的映射关系。关于词汇识别过程中是否存在语素层面的语义激活,早期研究主要围绕“整词通达”与“语素分解”模型展开争论[13]。Zhou和Marslen-Wilson [14]提出,汉语词汇在心理词典中既存在整词表征,也存在语素表征,二者在加工早期即发生交互。

现有证据表明,组成汉字的语义对整词加工的影响主要受到“语义透明度(Semantic Transparency)”的调节[13]。在语义提取任务中,被试由于受到组成语素语义的自动化激活影响,对语义透明词的反应显著快于不透明词,表明语素义在词汇通达过程中起到了启动作用[15] [16]。例如,对于全透明词(如“打字”),语素义直接促进整词识别;而对于不透明词(如“蝴蝶”),语素义的激活可能与整词义产生竞争或抑制。

1.4. 问题的提出

本研究的主要目的是进一步探索生产效应的边界。总结前人研究,目前生产效应形成的三个边界条件分别为:被试内设计[1] [3] [8] [9]、混合词列设计[1] [9]和项目特异性加工[5] [7]-[9]。现有文献表明,在生产效应的研究中,所涉及的词语或句子通常完整地被处理。然而,生产对象的完整性是否为生产效应的一个边界条件,尚未得到充分验证。在这方面,本研究将延续Kelly等人在2023年的工作[17],探究在以汉字词语记忆为研究对象时,生产效应在部分生产(partial production)条件下的表现,即在记忆任务中,部分生产(如只朗读词语的部分单字)对记忆效果的影响。

2. 实验1:生产方式对汉字词语记忆生产效应的影响

本实验探究在词语生产时部分生产是否对汉字词语记忆有不同的影响,比较不同比例的部分生产是否也能产生稳定的生产效应。

2.1. 方法

2.1.1. 实验被试

利用G * Power 3.1 [18]对样本量进行估计。预期效应量为0.25,α = 0.05,1 − β = 0.8时,需要N = 28的样本容量才能观察到显著的效应。实际招募30名被试进行实验。被试均为右利手,视力或矫正视力正常(无色盲),年龄18~23岁(M = 20.73,SD = 5.12)。参与实验的被试皆为汉语母语者,右利手,视力或矫正视力正常,无精神疾病。实验结束后给予被试一定的报酬。

2.1.2. 实验材料

从刘源、梁南元等所编的《现代汉语常用词词频词典》[19]中一共选取180个中频二字词汇,词汇均为名词,并让31名不参与实验的被试对词汇熟悉度进行5点评定,“1”代表非常不熟悉,“5”代表非常熟悉。将这180个词汇的90个用于学习阶段,90个用于再认干扰。用于学习阶段的90个词语又被分为四组,其中30个词语用于全朗读,30个词语用于全默读,15个词语用于部分朗读(前一个字朗读),15个词语用于部分朗读(后一个字朗读)。学习阶段中实验材料分别用红色和蓝色呈现(如蓝色的字需大声朗读,红色的字需默读),学习词汇的颜色线索在被试间平衡。各组词在词频、笔画数、熟悉度上进行严格控制,单因素方差分析结果显示均没有显著差异(ps > 0.05),实验材料各属性的匹配情况见表1

Table 1. Matching of experimental materials across different attributes

1. 实验材料在各属性上的匹配情况

维度

生产方式

M

SD

F

词频(次/百万)

全朗读

68.20

20.02

1.82 (p > 0.05)

全默读

63.20

20.27

部分朗读(朗默)

80.67

61.25

部分朗读(默朗)

60.53

12.63

干扰词

63.38

19.09

笔画数

全朗读

15.87

4.22

1.10 (p > 0.05)

全默读

15.77

4.56

部分朗读(朗默)

15.87

4.07

部分朗读(默朗)

18.00

3.80

干扰词

16.96

4.57

熟悉度

全朗读

4.50

0.28

1.23 (p > 0.05)

全默读

4.53

0.29

部分朗读(朗默)

4.43

0.18

部分朗读(默朗)

4.33

0.33

干扰词

4.47

0.34

2.1.3. 实验设计

采用单因素3水平的被试内实验设计,自变量生产方式包括:全朗读、部分朗读、全默读3个水平,因变量为再认测试的正确率和辨别力指标d'

2.1.4. 实验程序

实验程序采用E-prime 2.0编写。正式实验过程分为以下三个阶段:

第一阶段为词对学习阶段:屏幕上首先呈现500 ms注视点,然后呈现2000 ms的词语,要求被试朗读蓝色字,默读红色字,并尽可能地记住所有的词语。其中有30个词语全是蓝色;30个词语全是红色;15个词语第一个字是蓝色,第二个字是红色;15个词语第一个字是红色,第二个字是蓝色。各类词语随机混合呈现。例如出现:“效应”被试则需要朗读“效”,默读“应”。总计90个试次。一半的被试朗读蓝色字,默读红色字,一半的被试朗读红色字,默读蓝色字。

正式开始前有20个练习试次,确保被试学会这种朗读方式。练习试次的材料是20个新的词语,测试阶段不对其进行测试。

第二阶段为分心干扰阶段:要求被试进行1 min的100以内加减法运算。

第三阶段为回忆测验阶段:屏幕上呈现180个黑色词语,要求被试判断屏幕上呈现的词语是否是刚才学习过的。学习过的按“J”键,没学习过的按“F”键。其中90个词语是刚才学习过的,90个词语是再认干扰词,随机混合呈现(图1)。

Figure 1. Flowchart of Experiment 1

1. 实验1流程图

2.1.5. 数据分析

采用SPSS 26.0对数据进行处理分析。首先根据记忆成绩对部分朗读(朗读)和部分朗读(默朗)的正确率和辨别力指标d'进行配对样本t检验,排除顺序不同对部分朗读的影响;其次对各类别词语的正确率和辨别力指标d'进行单因素(生产方式:全朗读/全默读/部分朗读)重复测量方差分析,检验不同生产比例产生的生产效应;最后对正确率和辨别力指标d'进行2 (颜色指令:蓝朗红默/红朗蓝默) × 3 (生产方式:全朗读/全默读/部分朗读)的重复测量方差分析,检验颜色对本研究有无影响。

2.2. 实验结果

2.2.1. 部分朗读顺序对汉字词语记忆生产效应的影响

汉字词语记忆在不同生产比例和不同颜色指令下的正确率和辨别力指标d',结果如表2所示。

Table 2. Descriptive statistics of Chinese word memory performance in Experiment 1

2. 实验1中汉字词语记忆成绩的描述统计

颜色指令

测试指标

生产方式

M

SD

蓝朗红默

正确率

全朗读

0.68

0.18

全默读

0.48

0.15

部分朗读(朗默)

0.62

0.16

部分朗读(默朗)

0.65

0.18

辨别力指标d'

全朗读

1.62

0.46

全默读

1.06

0.39

部分朗读(朗默)

1.49

0.35

部分朗读(默朗)

1.62

0.57

辨别标准C

全朗读

0.33

0.43

全默读

0.61

0.37

部分朗读(朗默)

0.40

0.40

部分朗读(默朗)

0.33

0.43

红朗蓝默

正确率

全朗读

0.67

0.17

全默读

0.60

0.17

部分朗读(朗默)

0.69

0.19

部分朗读(默朗)

0.61

0.20

辨别力指标d'

全朗读

1.51

0.53

全默读

1.26

0.46

部分朗读(朗默)

1.64

0.47

部分朗读(默朗)

1.30

0.61

辨别标准C

全朗读

0.28

0.45

全默读

0.37

0.48

部分朗读(朗默)

0.24

0.49

部分朗读(默朗)

0.36

0.48

对部分朗读(朗默)和部分朗读(默朗)的记忆成绩进行配对样本t检验。以正确率为因变量,结果发现:两两差异不显著,t (29) = 0.68,p > 0.05;以辨别力指标d'为因变量,结果发现:二者差异也不显著,t (29) = 0.94,p > 0.05。即在记忆测试中,无论是以正确率还是辨别力指标为因变量,差异都不显著。这表明朗读顺序不同对部分朗读的记忆效果没有影响,因此后续分析将二者数据合并,统称为部分朗读。

2.2.2. 部分朗读顺序对汉字词语记忆生产效应的影响

对生产比例进行单因素重复测量方差分析,辨别力d'公式为Sensitivity (d' = z[Hit rate] − z[False alarm rate]),其中,Hit rate为命中率,False alarm rate (FA)为虚报率。

以正确率为因变量,结果发现:生产比例的主效应显著,F (2,58) = 12.29,p < 0.001,η2 = 0.30;进行成对比较发现:全朗读(p < 0.01)和部分朗读(p < 0.05)的正确率都显著地优于默读,全朗读和部分朗读之间没有显著差异(p > 0.05),表明在记忆成绩正确率上全朗读和部分朗读都存在生产效应,且生产效应的大小一致。

以辨别力指标d'为因变量,结果发现:生产比例的主效应显著,F (2,58) = 11.30,p < 0.001,η2 = 0.28;进行成对比较发现:全朗读(p < 0.01)和部分朗读(p < 0.01)的辨别力都显著地优于默读,全朗读和部分朗读之间没有显著差异(p > 0.05),和正确率的结果方向一致,只是显著程度增强了。

具体数值见图2

对不同生产方式下汉字词语记忆成绩的正确率和辨别力指标d'的分析结果都证明了部分生产效应的存在,并且研究结果表明部分生产和经典的全部生产之间没有显著差异。前人研究通过打字的方式来探究部分生产效应[17],取得了与本研究一致的结果。不同之处在于,前人发现部分生产是显著弱于全部生产的,而本研究只在数值上有这一趋势,二者差异并不显著。

Figure 2. Accuracy and discriminability index d' in Experiment 1

2. 实验1正确率和辨别力指标d'

2.2.3. 部分朗读顺序对汉字词语记忆生产效应的影响

为了检验颜色本身会不会对生产效应造成影响,本研究根据用于区分朗读和默读的不同颜色指令将被试分为蓝读红默组和红读蓝默组,不同颜色指令组在不同生产比例下的汉字词语记忆成绩见表2

对所得数据进行2 (颜色指令:蓝朗红默/红朗蓝默) × 3 (生产比例:全朗读/全默读/部分朗读)的重复测量方差分析。辨别力d'公式为 Sensitivity (d ’= z(Hit rate) − z(False alarm rate)),其中,Hit rate为命中率,False alarm rate (FA)为虚报率。

结果发现,以记忆成绩正确率为因变量时,二者交互作用显著:F (2,56) = 3.73,p < 0.05,η2 = 0.12。进一步进行简单效应分析显示,对于红朗蓝默组:三种生产比例之间没有显著差异(ps > 0.05),但对于蓝朗红默组:全朗读和部分朗读显著大于全默读(ps < 0.001),全朗读和部分朗读之间没有显著差异(p > 0.05);从另一方面看,对于全朗读和部分朗读的生产比例,蓝朗红默组和红朗蓝默组的正确率之间没有显著差异(p > 0.05),但对于全默读这一生产比例,红朗蓝默组的正确率显著大于蓝朗红默组(p < 0.05),即颜色指令的主效应不显著,生产比例的主效应显著:F (2,56) = 13.43,p < 0.001,η2 = 0.32。进一步事后检验结果显示:全默读整体正确率显著低于全朗读和部分朗读(ps < 0.01),全朗读和部分朗读之间没有显著差异。具体数值见图3

Figure 3. Accuracy and discriminability index d' under different color instructions

3. 不同颜色指令下的正确率和辨别力指标d'

以记忆成绩辨别力指标d'为因变量,结果显示:二者交互作用不显著:F (2,56) = 1.88,p > 0.05,η2 = 0.06,但仍进行简单效应分析显示,对于红朗蓝默组:全朗读边缘显著大于全默读(p < 0.05),全朗读和部分朗读,部分朗读和全默读之间没有显著差异(ps > 0.05);但对于蓝朗红默组:全朗读(p < 0.001)和部分朗读(p < 0.001)显著大于全默读,全朗读和部分朗读之间没有显著差异(p > 0.05)。即颜色指令的主效应不显著,生产比例的主效应显著:F (2,56) = 11.65,p < 0.001,η2 = 0.29。进一步事后检验结果显示:全默读整体辨别力指标d'显著低于全朗读(p < 0.001)和部分朗读(p < 0.01),全朗读和部分朗读之间没有显著差异。具体数值见图3

2.3. 讨论

在实验1中,部分朗读的记忆效果显著优于默读,验证了在汉字词语记忆中部分生产效应的存在,与前人研究一致。结果表明部分朗读词语的记忆成绩显著高于默读词语,也就是说除了大声朗读整个词语外,部分朗读词语中的某个单字能够提高词语的回忆成绩,在再认测试中也会出现生产效应,这与Kelly等人通过打字的方式来探究部分生产效应的研究结果一致[17]。但不同之处在于,前人发现部分生产是显著弱于全部生产的,而本研究只在数值上有这一趋势,二者差异并不显著。这种差异可能源于实验设计中的一个关键因素:尽管被试在学习阶段对词语进行了部分生产,但在测试阶段,屏幕呈现了完整的词语。这可能导致朗读和默读两种生产方式均对被试的记忆产生了影响,其中对某个单字的深刻印象可能增强了对整个词语的记忆。因此,在本实验中我们无法判定语素的语义透明度在两种生产方式下对于词语理解的影响。为了进一步探究这一现象,实验2中我们对再认测试阶段进行了调整,将提供的完整词语线索替换为单个汉字的线索(例如“白”“云”),以考察再认线索的残缺度如何影响部分生产效应。

3. 实验2:再认线索残缺下的部分生产效应

在验证实验1结果的基础上,排除再认时同组词语中不同生产方式对目标记忆成绩的干扰。

再认测试阶段要求被试对学习过的词语进行辨认,实验1中所有词语完整呈现,在部分朗读条件下,朗读和默读产生的记忆效果无法有效区分。为了研究再认线索完整性是否对部分生产效应产生影响,因此在实验2中增加再认测试残缺度这一变量[20],探索残缺的再认线索下,部分生产效应的强度是否会发生变化。

3.1. 实验方法

3.1.1. 实验被试

按照实验1标准,招募32名被试进行实验(其中男生有10名),年龄18~23岁(M = 20.63, SD = 1.41)。

3.1.2. 实验材料

同实验1。再认阶段中用于部分朗读的词语中有10个词语全测试,10个词语只测试朗读字,10个词语只朗读默读字,并且相应地测试对应数量的干扰词。各组词在词频、笔画数、熟悉度上进行严格控制,单因素方差分析结果显示均没有显著差异(ps > 0.05)。

3.1.3. 实验设计

采用单因素3水平的被试内实验设计,自变量生产比例包括:全朗读、部分朗读、全默读3个水平,因变量为再认测试的正确率和辨别力指标d'

3.1.4. 实验程序

实验程序采用E-prime 2.0编写。正式实验过程分为以下三个阶段:

第一、二阶段同实验1。

第三阶段为回忆测验阶段:屏幕上呈现180个黑色词语或汉字,要求被试判断屏幕上呈现的词语是否是刚才学习过的。学习过的按“J”键,没学习过的按“F”键。其中90个词语是刚才学习过的,90个词语是再认干扰词。对于全朗读和全默读条件下的成语,都是完整呈现,比如:蜜蜂。对于部分朗读(朗默)或部分朗读(默朗)条件下的成语,有5个是完整呈现,5个只呈现第一个字,比如:蜜;5个只呈现后一个字,比如:_蜂,并且相应地呈现对应数量的干扰词。随机混合呈现。

具体实验流程见图4

Figure 4. Flowchart of Experiment 2

4. 实验2流程图

3.1.5. 数据分析

同实验1。

3.2. 实验结果

3.2.1. 实验2数据分析

汉字词语记忆在不同生产比例和不同颜色指令下的正确率和辨别力指标d'结果如表3所示。

Table 3. Descriptive statistics of Chinese word memory performance in Experiment 2

3. 实验2中汉字词语记忆成绩的描述统计

颜色指令

生产方式

正确率

辨别力指标d'

判断标准C

蓝朗红默

全朗读

0.74 (0.14)

1.81 (0.52)

0.18 (0.40)

全默读

0.49 (0.17)

1.05 (0.49)

0.56 (0.39)

部分朗读(朗默)

0.59 (0.17)

1.33 (0.45)

0.42 (0.40)

朗默双字

0.60 (0.25)

1.36 (0.80)

0.40 (0.58)

朗默单字朗

0.70 (0.22)

1.76 (0.84)

0.20 (0.51)

朗默单字默

0.46 (0.23)

0.99 (0.57)

0.59 (0.47)

部分朗读(默朗)

0.63 (0.11)

1.41 (0.38)

0.38 (0.33)

默朗双字

0.69 (0.16)

1.64 (0.63)

0.26 (0.39)

默朗单字朗

0.75 (0.23)

1.94 (0.74)

0.11 (0.57)

默朗单字默

0.44 (0.18)

0.87 (0.62)

0.65 (0.44)

红朗蓝默

全朗读

0.78 (0.14)

1.83 (1.05)

0.01 (0.46)

全默读

0.59 (0.20)

1.18 (0.79)

0.34 (0.52)

部分朗读(朗默)

0.72 (0.13)

1.53 (0.76)

0.16 (0.44)

朗默双字

0.74 (0.24)

1.75 (1.34)

0.05 (0.46)

朗默单字朗

0.69 (0.22)

1.53 (0.88)

0.16 (0.60)

朗默单字默

0.73 (0.20)

1.68 (0.92)

0.09 (0.60)

部分朗读(默朗)

0.63 (0.17)

1.29 (0.75)

0.28 (0.49)

默朗双字

0.69 (0.22)

1.57 (1.12)

0.14 (0.54)

默朗单字朗

0.74 (0.20)

1.75 (0.95)

0.05 (0.61)

默朗单字默

0.46 (0.26)

0.74 (0.88)

0.56 (0.69)

对部分朗读(朗默)和部分朗读(默朗)的记忆成绩进行配对样本t检验。以正确率为因变量,结果发现:两两差异不显著,t (31) = 1.02,p > 0.05;以辨别力指标d'为因变量,结果发现:二者差异也不显著,t (31) = 1.18,p > 0.05。即在记忆测试中,无论是以正确率还是辨别力指标为因变量,差异都不显著。这表明朗读顺序不同对部分朗读的记忆效果没有影响,因此后续分析将二者数据合并,统称为部分朗读。

对生产比例进行单因素重复测量方差分析,辨别力d'公式为Sensitivity (d' = z(Hit rate) − z(False alarm rate)),其中,Hit rate为命中率,False alarm rate (FA)为虚报率。以正确率为因变量,结果发现:不同生产方式的主效应显著,F (2,62) = 31.56,p < 0.001,η2 = 0.50。进行成对比较发现:全朗读和部分朗读的正确率都显著地优于默读(ps < 0.001),并且全朗读的正确率显著优于部分朗读的正确率(p < 0.001),表明在记忆成绩正确率上全朗读和部分朗读都存在生产效应,但生产效应的大小存在显著差异;以辨别力指标d'为因变量,结果发现:生产比例的主效应显著,F (2,62) = 29.78,p < 0.001,η2 = 0.49。进行成对比较发现:全朗读和部分朗读的辨别力都显著地优于默读(ps < 0.001),并且全朗读的辨别力显著优于部分朗读的辨别力(p < 0.001),表明在记忆成绩辨别力指标d'上全朗读和部分朗读都存在生产效应,但生产效应的大小存在显著差异。体数值见图5

Figure 5. Accuracy and discriminability index d' in Experiment 2

5. 实验2正确率和辨别力指标d'

对不同生产方式下汉字词语记忆成绩的正确率和辨别力指标d'的分析结果都证明了部分生产效应的存在,并且研究结果表明部分生产显著弱于全部生产。这与实验1的结果存在一定差异。

为了检验颜色本身会不会对实验2中的生产效应造成影响,本研究根据用于区分朗读和默读的不同颜色指令将被试分为蓝读红默组和红读蓝默组,不同颜色指令组在不同生产方式下的汉字词语记忆成绩见表3

对所得数据进行2 (颜色指令:蓝朗红默/红朗蓝默) × 3 (生产比例:全朗读/全默读/部分朗读)的重复测量方差分析。辨别力d'公式为Sensitivity (d' = z(Hit rate) − z(False alarm rate)),其中,Hit rate为命中率,False alarm rate (FA)为虚报率。结果发现,以记忆成绩正确率为因变量时,二者交互作用不显著:F (2,60) = 3.73,p > 0.05,η2 = 0.02。这说明颜色本身不会对生产效应造成影响,被试间颜色指令线索得到平衡。具体数值见图6

Figure 6. Accuracy and discriminability index d' under different color instructions in Experiment 2

6. 实验2不同颜色指令下的正确率和辨别力指标d'

3.2.2. 再认线索残缺下的部分生产效应

对部分朗读(朗默)条件下只测试朗读字、只测试默读字和测试双字的正确率和辨别力指标d'和部分朗读(默朗)条件下只测试朗读字、只测试默读字和测试双字的正确率和辨别力指标d'两两对应地进行配对样本t检验。以正确率为因变量,结果发现,只测试朗读字条件下两两差异不显著:t (31) = −1.31,p > 0.05。测试双字条件下两两差异不显著:t (31) = −0.45,p > 0.05。只测试默读字条件下两两差异显著:t (31) = 2.78,p < 0.01;以辨别力指标d'为因变量,结果发现,只测试朗读字条件下两两差异不显著:t (31) = −1.31,p > 0.05。测试双字条件下两两差异不显著:t (31) = −0.34,p > 0.05。只测试默读字条件下两两差异显著:t (31) = 3.05,p < 0.01。这说明在只测试默读字条件下部分朗读顺序会对记忆效果产生影响,因此应对其进行单独分析。

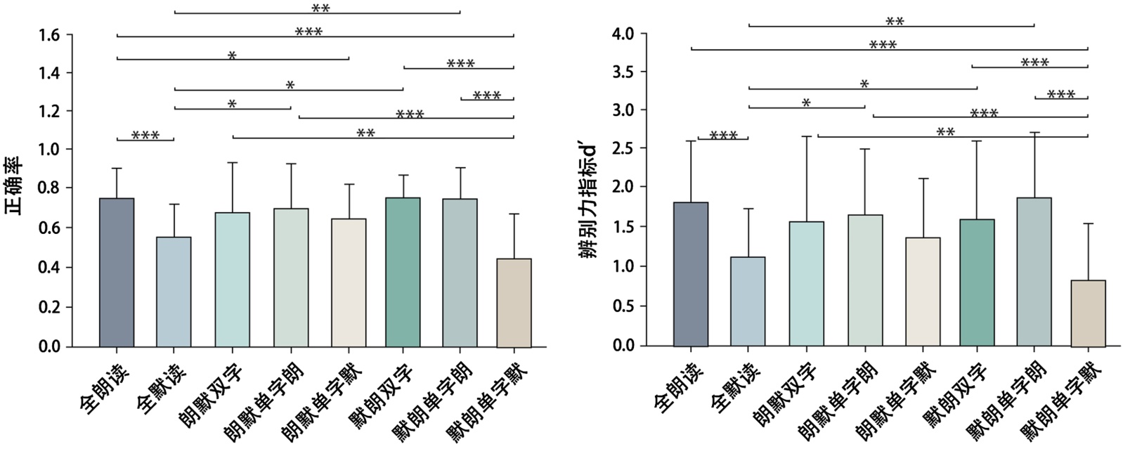
对全朗读、全默读、部分朗读各个条件下的正确率进行单因素重复测量方差分析,结果发现:生产方式的主效应显著,F (7,217) =10.98,p < 0.001,η2 = 0.26;进行成对比较发现:除了全默读外,全朗读的正确率还显著地优于朗默单字默(p < 0.05)和默朗单字默(p < 0.001),全朗读和只测试朗读字和测试双字条件之间没有显著差异(ps > 0.05);除全朗读外,全默读的正确率还显著弱于朗默单字朗、默朗双字和默朗单字朗(ps < 0.05);默朗单字默的正确率还显著地弱于朗默双字(p < 0.01)、朗默单字朗、默朗双字和默朗单字朗(ps < 0.001)。这表明在减少再认线索中默读条件的影响下记忆成绩正确率上全朗读和部分朗读都存在生产效应,且生产效应的显著程度增强了。具体记忆表现见图7

对全朗读、全默读、部分朗读各个条件下的辨别力指标d'进行单因素重复测量方差分析,辨别力d'公式为 Sensitivity (d' = z(Hit rate) − z(False alarm rate)),其中,Hit rate为命中率,False alarm rate (FA)为虚报率。结果发现:生产方式的主效应显著,F (7,217) = 9.72,p < 0.001,η2 = 0.24;进行成对比较发现:除全朗读外,全默读的辨别力还显著地弱于朗默单字朗、默朗双字(ps < 0.05)和默朗单字朗(p < 0.01);默朗单字默的正确率显著地弱于全朗读、朗默单字朗、默朗双字、默朗单字朗(ps < 0.001)和朗默双字(p < 0.01)。这表明在减少再认线索中默读条件的影响下记忆成绩辨别力指标d'上全朗读和部分朗读都存在生产效应,且生产效应的显著程度增强了。具体记忆表现见图7

Figure 7. Accuracy and discriminability index d' under different recognition cue integrities and production modes in Experiment 2

7. 实验2不同再认线索完整性和生产方式条件下的正确率和辨别力指标d'

3.3. 讨论

在实验2中,我们发现朗读(即生产活动)的记忆效果显著优于默读,从而进一步验证了生产效应的存在。这一发现与实验1的结果保持一致,并且与现有文献中的发现相符。当引入单字线索条件时,实验结果表明,全朗读条件下的词语记忆成绩显著高于部分朗读条件,证实了标准生产效应相较于部分生产效应具有显著优势。对部分朗读条件的深入分析发现,只测试默读字的记忆成绩显著低于同时测试朗默双字的成绩,而只测试朗读字的记忆成绩在数值上倾向于高于朗读双字条件。这些结果表明,在部分朗读条件下,朗读字的成绩对提升整体正确率有积极影响,即便不是全词朗读,部分朗读也能有效地促进记忆提升。

4. 总讨论

总体而言,本研究探讨了不同生产方式对于汉字词语记忆的影响。由于生产对象的完整性是否为生产效应的一个边界条件,尚未得到充分验证。因此本研究采用单因素三水平(生产方式:全朗读/全默读/部分朗读)的被试内实验设计,验证不同生产方式下是否会产生生产效应。

4.1. 记忆中的部分生产效应

狭义的生产效应是指大声朗读的项目比默读的项目更容易记住。Macleod和同事[8]强力地证明了生产效应的稳健性,从此引发了研究生产效应的热潮。尽管先前的研究已经明确证实了完全生产(如大声朗读、打字或唱歌)对记忆的显著影响,但本研究验证了一种新的生产效应形式——部分生产效应。本研究的发现表明,尽管部分生产效应可能在强度上不及标准生产效应,但它的存在证明了生产对象的完整性并非激发生产效应的必要条件。实验1和实验2的结果一致显示,在记忆测试中,部分朗读的词语记忆成绩稳定高于默读的词语,从而支持了Kelly等人关于部分生产效应的发现[17] [20]。此外,实验2的结果进一步揭示了部分生产效应相较于标准生产效应在强度上显著较弱,同时指出了在部分朗读条件下,朗读部分的字对整体记忆成绩具有决定性影响。

4.2. 关于部分生产效应的理论解释

当前研究多采用特异性假说来阐释生产效应的机制,该假说认为大声朗读能够增强词语的独特性,从而促进记忆。具体而言,大声朗读不仅涉及视觉和认知加工,还通过声音的产生引入了额外的感官编码阶段,为记忆提供了独特的信息,如个体能够回忆起“我曾大声朗读过这个词语”。相比之下,默读则缺少这种独特的记忆线索。而特异性假说强调的单个项目的独特性,却似乎无法充分解释词语学习中的部分生产效应。如果朗读词语可以使它变得独特从而帮助记忆,那为何部分朗读的效果会显著弱于全部生产呢?

本研究实验2中再认线索残缺条件下的部分生产效应提供了对这一现象的见解。实验结果显示,在仅提供单字作为再认线索的条件下,只测试朗读字的记忆成绩显著优于只测试默读字的记忆成绩,并且在数值上倾向于高于朗读双字的条件。这表明在部分朗读的情境下,朗读部分和默读部分对整体词语的记忆贡献是各自独立的。朗读部分通过产生独特的记忆信息促进了整体词语的记忆,但由于单字朗读产生的记忆信息强度低于双字朗读,因此部分生产效应相较于标准生产效应显得较弱。

4.3. 语素语义透明度对部分生产效应的深层调节机制

本研究发现,在部分朗读条件下,被朗读的汉字在随后的再认测试中对整词记忆起到了决定性作用。结合前文所述的汉语词汇加工理论,这一结果不仅支持了特异性假说,更暗示了语素语义透明度在部分生产效应中的关键调节作用。

正如前言中所述,汉语双字词的加工涉及语素义与整词义的交互激活[14]。王春茂和彭聃龄的研究[16]证实,透明语素能够作为有效的启动线索,自动化地激活整词语义。在本研究的部分朗读条件下,被试“朗读”某一个字的动作,实际上是对该语素进行了一次深度加工和强化激活。如果被朗读的字是高透明度语素(如“打字”中的“打”),该动作不仅产生了语音特异性,更通过强有力的语义联结,“自下而上”地通达并巩固了整词的语义表征,从而在再认阶段提供了更稳固的提取线索。

相反,如果被朗读的字是低透明度或不透明语素(如“蝴蝶”中的“蝶”),其语素义难以直接指向整词义,甚至可能产生竞争或抑制[15]。在这种情况下,部分生产效应可能更多地依赖于语音回路的物理痕迹,而非语义网络的整合,这或许解释了本研究中部分生产效应虽然存在但在强度上显著弱于全朗读效应的原因——因为全朗读保证了整词语义的完整激活,而部分朗读的效果则可能受到被朗读汉字语义透明度的动态制约。

此外,本研究在实验设计上存在局限,即未完全排除“任务转换代价”的影响。由于采用被试内混合设计,被试在不同条件间的频繁切换可能增加了认知负荷,产生“合意困难”[21],从而促进了记忆。因此,部分记忆优势可能源于任务转换过程中的认知努力,未来研究可通过纯组块设计进一步分离该效应与生产动作本身的特异性。

5. 研究结论

本研究通过两个实验探究了生产方式、再认线索完整性对汉字词语记忆生产效应的影响,研究结论如下:生产效应是非常稳定的效应,在汉字词语记忆中稳定存在,部分生产效应确实存在,并主要受朗读部分的影响,相较于标准生产效应,部分生产效应在强度上显著较弱,特异性假说为解释本研究所观察到的部分生产效应提供了更为合理的理论基础。

NOTES

*通讯作者。

参考文献

[1] Hopkins, R.H. and Edwards, R.E. (1972) Pronunciation Effects in Recognition Memory. Journal of Verbal Learning and Verbal Behavior, 11, 534-537. [Google Scholar] [CrossRef
[2] Hourihan, K.L. and MacLeod, C.M. (2008) Directed Forgetting Meets the Production Effect: Distinctive Processing Is Resistant to Intentional Forgetting. Canadian Journal of Experimental Psychology, 62, 242-246. [Google Scholar] [CrossRef] [PubMed]
[3] Lin, O.Y.H. and MacLeod, C.M. (2012) Aging and the Production Effect: A Test of the Distinctiveness Account. Canadian Journal of Experimental Psychology, 66, 212-216. [Google Scholar] [CrossRef] [PubMed]
[4] Fawcett, J.M. (2013) The Production Effect Benefits Performance in Between-Subject Designs: A Meta-Analysis. Acta Psychologica, 142, 1-5. [Google Scholar] [CrossRef] [PubMed]
[5] Forrin, N.D., MacLeod, C.M. and Ozubko, J.D. (2012) Widening the Boundaries of the Production Effect. Memory & Cognition, 40, 1046-1055. [Google Scholar] [CrossRef] [PubMed]
[6] Ozubko, J.D., Hourihan, K.L. and MacLeod, C.M. (2012) Production Benefits Learning: The Production Effect Endures and Improves Memory for Text. Memory, 20, 717-727. [Google Scholar] [CrossRef] [PubMed]
[7] Castel, A.D., Rhodes, M.G. and Friedman, M.C. (2013) Predicting Memory Benefits in the Production Effect: The Use and Misuse of Self-Generated Distinctive Cues When Making Judgments of Learning. Memory & Cognition, 41, 28-35. [Google Scholar] [CrossRef] [PubMed]
[8] MacLeod, C.M., Gopie, N., Hourihan, K.L., Neary, K.R. and Ozubko, J.D. (2010) The Production Effect: Delineation of a Phenomenon. Journal of Experimental Psychology: Learning, Memory, and Cognition, 36, 671-685. [Google Scholar] [CrossRef] [PubMed]
[9] Ozubko, J.D. and MacLeod, C.M. (2010) The Production Effect in Memory: Evidence That Distinctiveness Underlies the Benefit. Journal of Experimental Psychology: Learning, Memory, and Cognition, 36, 1543-1547. [Google Scholar] [CrossRef] [PubMed]
[10] Kolers, P.A. (1973) Remembering Operations. Memory & Cognition, 1, 347-355. [Google Scholar] [CrossRef] [PubMed]
[11] Kolers, P.A. and Roediger, H.L. (1984) Procedures of Mind. Journal of Verbal Learning and Verbal Behavior, 23, 425-449. [Google Scholar] [CrossRef
[12] 李新宇, 张晓礼. 生产效应: 概念, 理论与展望[J]. 宁波大学学报: 教育科学版, 2016, 38(2): 10-14.
[13] 蔡文琦, 张向阳, 王小娟, 杨剑峰. 汉语复合词语素意义与整词语义整合加工的时间进程[J]. 心理学报, 2023, 55(8): 1207-1230.
[14] Zhou, X. and Marslen-Wilson, W. (2014) Words, Morphemes and Syllables in the Chinese Mental Lexicon. In: Morphological Structure, Lexical Representation and Lexical Access (RLE Linguistics C: Applied Linguistics), Routledge, 393-422.
[15] Tsang, Y.K. and Chen, H.C. (2014) Activation of Morphemic Meanings in Processing Opaque Words. Psychonomic Bulletin & Review, 21, 1281-1286. [Google Scholar] [CrossRef] [PubMed]
[16] 王春茂, 彭聃龄. 重复启动作业中词的语义透明度的作用[J]. 心理学报, 2000, 32(2): 127-132.
[17] Kelly, M.O., Ensor, T.M., MacLeod, C.M. and Risko, E.F. (2024) The Prod Eff: Partially Producing Items Moderates the Production Effect. Psychonomic Bulletin & Review, 31, 373-379. [Google Scholar] [CrossRef] [PubMed]
[18] Faul, F., Erdfelder, E., Lang, A. and Buchner, A. (2007) G*-Power 3: A Flexible Statistical Power Analysis Program for the Social, Behavioral, and Biomedical Sciences. Behavior Research Methods, 39, 175-191. [Google Scholar] [CrossRef] [PubMed]
[19] 刘源, 梁南元, 王德进, 张社英, 杨铁鹰, 揭春雨, 孙伟. 现代汉语常用词词频词典[M]. 北京: 宇航出版社, 1990.
[20] Jia, Y., Zhou, C., Li, L. and Guo, X. (2016) Recognition without Cued Recall (RWCR) Phenomenon in Chinese Characters: Effects of Restudying and Testing. Acta Psychologica Sinica, 48, 111-120. [Google Scholar] [CrossRef
[21] Bjork, R.A. (1994) Memory and Metamemory Considerations in the Training of Human Beings. In: Metacognition: Knowing about Knowing, The MIT Press, 185-206. [Google Scholar] [CrossRef