磷酸奥司他韦绿色合成研究进展
Research Progress on Green Synthesis of Oseltamivir Phosphate
DOI: 10.12677/jocr.2026.141011, PDF, HTML, XML,    科研立项经费支持
作者: 刘 涛, 任家强, 梁继超*:湖北大学健康科学与工程学院药学系,湖北 武汉;刘 义*:湖北汇中制药有限公司,湖北 黄冈
关键词: 磷酸奥司他韦绿色合成工艺优化Oseltamivir Phosphate Green Synthesis Process Optimization
摘要: 流感是一种严重的呼吸道疾病,其治疗主要依赖神经氨酸酶抑制剂。1999年获批的磷酸奥司他韦(商品名:达菲)是目前最有效的口服抗流感神经氨酸酶抑制剂之一。然而,传统的达菲合成工艺存在两大关键缺陷,一是需要使用叠氮化合物,叠氮化合物容易发生爆炸,在工业规模合成中存在显著安全隐患;二是达菲合成的起始原料莽草酸是一种天然产物,主要来源是中国植物八角,其供应稳定性难以满足工业化生产需求。迄今已发展出70余种合成路线。本文系统综述了其中具有代表性的绿色合成路径,为未来的工业合成优化提供方向。
Abstract: Influenza is a severe respiratory disease whose treatment requires neuraminidase inhibitors. Oseltamivir phosphate (Tamiflu), approved in 1999, is one of the most effective oral anti-influenza neuraminidase inhibitors. The traditional synthesis of Tamiflu suffers from two major drawbacks: first, the use of explosive azide compounds, which poses significant safety hazards in industrial-scale synthesis; second, reliance on shikimic acid as the starting material. As a natural product mainly derived from Chinese star anise, shikimic acid faces challenges in stable supply for industrial production. Consequently, over 70 synthetic routes have been developed to date. This article reviews representative optimized synthetic approaches that address these limitations, providing insights for future industrial process optimization toward greener and more efficient production.
文章引用:刘涛, 任家强, 刘义, 梁继超. 磷酸奥司他韦绿色合成研究进展[J]. 有机化学研究, 2026, 14(1): 118-126. https://doi.org/10.12677/jocr.2026.141011

1. 引言

磷酸奥司他韦(商品名:达菲)是一种用于流感治疗的高效抗病毒药物。流感作为一种严重的呼吸道病毒感染,是危害最显著的呼吸系统疾病之一,其每年的季节性流行及可预见的大流行均导致了显著的发病率与死亡率[1]。近年来,H5N1、H7N9等高致病性禽流感病毒的频繁暴发,加之当前仍在流行的新型冠状病毒肺炎(COVID-19),均深刻揭示了新发呼吸道病毒对全球社会秩序、经济发展及医疗卫生体系造成的巨大冲击,也为流感大流行的防范敲响警钟[2]

Figure 1. (Left) Oseltamivir phosphate; (Right) (−)-Shikimic acid

1. (左)磷酸奥司他韦;(右) (−)-莽草酸

尽管众多学术研究机构与制药企业已投入大量资源开展新型高效抗流感药物的研发工作,口服神经氨酸酶抑制剂磷酸奥司他韦仍是目前临床应用最广泛的抗流感处方药之一。该药物为水溶性磷酸酯前药,进入人体后经肝脏酯酶水解转化为具有生物活性的奥司他韦羧酸盐,从而发挥药理作用[3]。其作用机制为特异性抑制流感病毒表面神经氨酸酶的活性,阻止病毒颗粒从感染细胞表面释放,进而抑制病毒在体内的扩散与继发感染。由于神经氨酸酶活性位点高度保守,奥司他韦对迄今测试的所有神经氨酸酶亚型均表现出抑制活性[4]。因此可广泛应用于季节性流感及禽流感的临床治疗[5]。相关研究已证实,在病毒暴露后48小时内给药,还可有效预防感染[6]。磷酸奥司他韦的化学结构如图1所示,其分子骨架为环己烯环,包含C-3、C-4、C-5三个手性中心。其中,C-1位连接的羧酸乙酯基可显著提升药物的生物利用度,促进其在肠道内的吸收;C-3位连接3-戊氧基醚键侧链;C-4位为游离氨基,C-5位连接乙酰氨基,二者呈1,2-位空间关系,可模拟流感病毒神经氨酸酶天然底物(唾液酸)的二醇结构,从而实现对该酶的高效竞争性抑制[7]。该药物于1995年由吉利德科学公司首次研发成功,1996年获得相关专利保护,1999年经美国食品药品监督管理局批准上市[8]。药物研发初期,(−)-莽草酸(结构见图1)即被确定为合成磷酸奥司他韦的关键原料,且该原料依赖模式至今仍是唯一的工业化合成路线。然而,(−)-莽草酸作为从中国八角中提取的天然产物,其纯度与产量难以稳定满足大规模生产需求,这一问题已推动工业界与学术界针对无(−)-莽草酸依赖的合成路线及莽草酸生物合成技术展开深入研究。此外,磷酸奥司他韦传统合成工艺中需使用叠氮化合物,该类物质危险性强、放热显著,在大规模生产中的安全管控问题突出[9]。因此开发无叠氮参与的合成路线已成为该领域的研究热点。本文系统梳理旨在解决原料依赖及叠氮化学品安全问题的绿色合成技术路线,选取其中具有代表性的方案,结合流动化学等突破性技术[10],明确阐述磷酸奥司他韦绿色合成路线的研发方向与发展趋势。

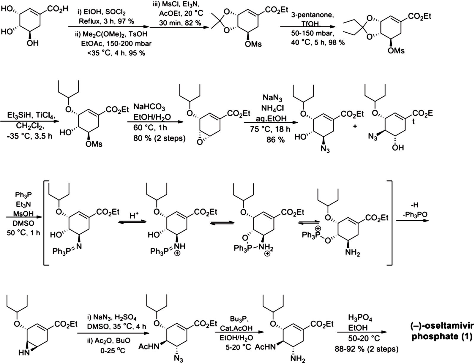
2. 工业合成路线

自1995年以来,吉利德科学公司、罗氏公司等众多科研机构持续开展研究,持续致力于开发高效、安全的大规模达菲生产工艺[11]。自该药物首次获批的二十年间,其合成路线不断向高效、安全方向演进,目前已有70余种已发表的合成路线及多篇综述文献[12]。通过优化萃取与纯化工艺,罗氏公司最终开发出一条以(−)-莽草酸为起始原料的12步工业化路线,总收率可达约35% [13]。该路线以莽草酸为原料,用NaN3/NH4Cl进行区域选择性开环,在C-5位引入叠氮基团[7] [14],再通过叠氮开环、脱保护得到氨基,在路易斯酸(BF3∙OEt2)催化下与3-戊醇发生区域选择性开环,引入3-戊氧基侧链[13];随后经胺乙酰化、叠氮还原、甲酯水解等反应,逐步调整官能团结构。最终与磷酸(H3PO4)成盐得到磷酸奥司他韦,其合成过程如图2所示[12]

Figure 2. Roche’s industrial synthesis routes [12]

2. 罗氏工业合成路线[12]

然而,罗氏公司的方法存在明显缺陷:其一,使用叠氮化合物引入环状结构的氨基和乙酰氨基基团,但叠氮化合物热稳定性差[15],大规模生产时处理风险高;其二,虽然莽草酸的手性碳环结构与目标化合物一致,可用于调控目标产物立体化学结构的构建,但其来源受限,早期工艺中供应不稳定[12]。这些缺陷促使科研界积极研发多种替代路线。

3. 不使用叠氮化合物的替代合成路线

3.1. 以莽草酸为原料

出于叠氮化物的安全性考量,研究者开发了无叠氮路线,用于在环己烯环系上引入两个氨基[14] [16]。其核心在于筛选兼容性好、且能抑制环己烯中间体芳构化倾向的非叠氮亲核试剂。

罗氏公司报道了一种无需使用叠氮化合物的转化方法[17]:以莽草酸为原料制得罗氏环氧化物(图3),再经6步反应获得产物,总收率达35%。该路线通过使用烯丙胺作为氮亲核试剂引入氨基基团,避免了危险叠氮化合物的使用,且可实现克级规模制备,全程无需色谱纯化。

Figure 3. Roche epoxide

3. 罗氏环氧化物

休斯团队以莽草酸为起始原料,开发出一条9步无叠氮路线[18]。该路线以叔丁胺替代叠氮化合物作为氮亲核试剂,通过叔丁胺–氯化镁络合物引入氨基;氮原子上的大位阻叔丁基使氧原子可选择性甲磺酰化,进而形成氮丙啶;随后在苯磺酸存在下,用二烯丙胺对氮丙啶进行开环,乙酰化后得到产物。整个过程仅需一次纯化,总收率为35%~38%,与工业路线收率相当[13]。该方法首次在环上氮官能团引入中完全规避了叠氮化合物。

石教授团队报道了一条高收率无叠氮不对称合成路线:以罗氏环氧化物为原料,采用乙腈引入乙酰氨基,二甲胺引入游离氨基,彻底避免叠氮化合物。相比罗氏的无叠氮路线,该路径将反应步骤从9步缩短至6步,收率从35%~38%提升至61%~69% [19]。相较于现有工业路线,该工艺收率更高、步骤更短,是高效安全且具备大规模应用潜力的合成方法。

3.2. 不以莽草酸为原料

福山彻团队通过狄尔斯–阿尔德反应,分别以22%和5.6%的总收率合成磷酸奥司他韦[12]。该方法以吡啶为原料,采用麦克米兰催化剂进行二氢吡啶的不对称狄尔斯–阿尔德反应及溴内酯化等步骤构建环己烯骨架,摆脱对莽草酸的依赖;通过二乙酸碘苯的霍夫曼重排反应引入氨基,规避叠氮化合物的使用,最终经乙酰化得到产物[20]

林和小笠原团队发表了一种高效的合成方法[21]。仅需60分钟,通过单容器五步反应即可完成全合成,总收率15%。该路线以硝基烯烃和3-戊氧基乙醛为原料,凭借高效催化剂体系实现高收率、高立体选择性及高对映选择性的不对称迈克尔加成反应,避免了叠氮化学及保护基的使用,较此前耗时超30小时的路线[22]显著提升了步骤经济性与反应器效率。

马教授团队在此基础上进一步优化,开发出总收率达46%的无叠氮合成路线[23]。该路线通过不对称迈克尔加成反应构建碳骨架并引入硝基,采用锌和三甲基氯硅烷等试剂实现硝基还原等关键转化,形成游离氨基和乙酰氨基基团,从而避免叠氮化合物的使用。整个过程仅需两次中间体分离操作,在药物分子制备中具有实际可行性,是潜在的工业候选路线,但其硝基化合物在规模化应用中的安全性与工艺优化仍需进一步评估。

近期,陈教授团队报道了通过双相钯催化赫克型环化实现磷酸奥司他韦简明不对称合成的路线[24]。该方法以丙炔酸乙酯为原料,经9步反应获得目标产物,总收率24%。路线起始于丙炔酸乙酯,通过氢碘化、还原、与(S)-叔丁基亚磺酰胺缩合及不对称烯丙基化等一系列高选择性反应,合成关键中间体——手性(Z)-β-碘代高烯丙胺;随后在优化的双相体系中发生分子内赫克环化反应,生成手性环己二烯胺,成功构建奥司他韦的环己烯骨架并确立多个手性中心,摆脱对莽草酸的依赖。同时,通过叔丁基亚磺酰胺缩合反应引入氨基,经系列转化得到游离氨基,避免叠氮化合物的使用,其合成过程如图4所示[24]。该路线创新性地采用双相钯催化赫克环化策略,为磷酸奥司他韦及其类似物的工业合成提供了简洁、高效且具应用潜力的新途径。

Figure 4. Synthesis of oseltamivir phosphate via a biphasic Pd-catalyzed heck-type cyclization [24]

4. 通过双相钯催化赫克型环化反应合成磷酸奥司他韦[24]

此外,D-木糖[25]、D-核糖[26]、D-甘露糖[27]、D-葡糖醛酸[28]、D-葡萄糖[29]等价格低廉且来源广泛的糖类物质,也已被用作磷酸奥司他韦合成的起始原料。但此类糖依赖型合成工艺通常反应周期长,且需经大量色谱纯化步骤,导致产率偏低;安全性方面,目前已开发的相关路线难以完全避免叠氮化合物的使用,故在此不作详细阐述。

4. 连续流技术的应用

尽管基于莽草酸–叠氮化学的传统合成路线存在安全风险,但在有效管控前提下仍具备规模化应用的潜力。沃茨团队近期报道了一种改进工艺,以莽草酸为起始原料,通过八步反应实现了磷酸奥司他韦的合成,总收率达58%,且反应周期显著缩短[30]。该工艺在传统莽草酸路线中引入连续流动化学技术,从而在提升叠氮化学过程安全性的同时,有效缩短了反应时间并提高了整体产率[31]

另一方面,安德雷西尼等人发展了一种基于乙烯基叠氮与有机锂试剂的两步法,用于可持续合成功能化NH-氮丙啶[32]。研究表明,在将多种乙烯基叠氮转化为相应2H-氮丙啶的过程中,采用微流控反应器较传统间歇操作更具安全性。该方法的关键步骤是通过乙烯基叠氮的分子内环化并同步释放一分子氮气(N2),高效构建氮丙啶亚胺中间体。在优化条件下,该转化可在45%~62%的收率范围内实现。

流动化学作为一种突破性技术,在合成化学与制药领域备受关注,其核心优势包括:i) 反应速率显著提升;ii) 产物纯度更高;iii) 操作安全性更强;iv) 可实现反应与在线分析一体化;v) 支持快速工艺优化;vi) 具备优异的传热与传质效率[33]。该技术基于微反应器内连续流动的体系,通过对微米级通道中物料流动的精确控制,实现反应时间、温度等关键参数的高精度调控[34]。此外,通过增加反应器单元、延长或扩宽反应通道等工程策略,可实现反应规模的灵活放大[35]

在传统批次工艺中,叠氮化合物放大生产时风险极高;而在连续流微反应器中,系统内危险物质量极少,即便发生分解,释放能量也微乎其微。微反应器的高比表面积与优异散热特性可最大限度降低爆炸风险。此外,通过精确控制温度与停留时间,能提高目标产物选择性,抑制芳构化副产物,从而提升产率[36]

综上所述,连续流合成技术已成为医药研发与生产领域的重要工具。随着该技术的不断完善和发展,未来将有更多连续流合成策略被开发,共同推动药物合成工艺向更安全、高效、绿色的方向演进。

5. 总结与展望

尽管帕拉米韦、扎那米韦等新型抗流感药物已获批上市,但磷酸奥司他韦(达菲)仍是临床应用最广泛的抗流感药物,其合成工艺的优化具有重要意义。罗氏公司的工业化路线虽能为全球提供足量产品,但仍存在三大问题:一是起始原料莽草酸在工艺开发初期供应受限;二是涉及具有潜在爆炸风险的叠氮化学反应;三是合成路线冗长且总收率偏低。

为解决上述问题,学术界与工业界研究者投入大量精力开发高效、安全、经济且环境友好的合成工艺。目前,随着对植物与微生物莽草酸代谢途径的深入研究,微生物发酵法逐渐被视为优于化学合成与植物提取的莽草酸合成替代方案[37]。近年来,高产莽草酸菌株的开发及发酵工艺优化取得重大进展,代谢工程改造或诱变获得的谷氨酸棒状杆菌[38]、大肠杆菌[39]、弗氏柠檬酸杆菌[40]、巨大芽孢杆菌[41]、枯草芽孢杆菌[42]及酿酒酵母[43]等已被用于莽草酸生产,莽草酸供应问题已得到缓解,但叠氮化学反应的安全管控仍需重视。连续流技术在磷酸奥司他韦合成中的应用,被证实是安全处理叠氮化学反应及提升工艺效率的有效手段。展望未来,进一步推广连续流技术,并结合新型催化剂与反应设计,有望彻底解决合成中的安全性与收率问题,最终实现真正绿色、高效的工业化生产流程。

基金项目

本论文得到湖北省科技人才服务企业项目暨湖北省科技创新人才计划项目(磷酸奥司他韦胶囊制备工艺过程控制与优化关键技术研究,立项编号:2024DJC075)的资助。

NOTES

*通讯作者。

参考文献

[1] Magano, J. (2011) Recent Synthetic Approaches to Oseltamivir Phosphate (Tamiflu™) for the Treatment of Influenza. Tetrahedron, 67, 7875-7899. [Google Scholar] [CrossRef
[2] Magano, J. (2009) Synthetic Approaches to the Neuraminidase Inhibitors Zanamivir (Relenza) and Oseltamivir Phosphate (Tamiflu) for the Treatment of Influenza. Chemical Reviews, 109, 4398-4438. [Google Scholar] [CrossRef] [PubMed]
[3] He, G., Massarella, J. and Ward, P. (1999) Clinical Pharmacokinetics of the Prodrug Oseltamivir and Its Active Metabolite Ro 64-0802. Clinical Pharmacokinetics, 37, 471-484. [Google Scholar] [CrossRef] [PubMed]
[4] Davies, B.E. (2010) Pharmacokinetics of Oseltamivir: An Oral Antiviral for the Treatment and Prophylaxis of Influenza in Diverse Populations. Journal of Antimicrobial Chemotherapy, 65, ii5-ii10. [Google Scholar] [CrossRef] [PubMed]
[5] Feng, E., Ye, D., Li, J., Zhang, D., Wang, J., Zhao, F., Hilgenfeld, R., Zheng, M., Jiang, H. and Liu, H. (2012) Recent Advances in Neuraminidase Inhibitor Development as Anti-influenza Drugs. ChemMedChem, 7, 1527-1536. [Google Scholar] [CrossRef] [PubMed]
[6] Sharma, P.P., Roy, R. and Chaudhary, A. (2010) Neuraminidase Inhibitors: Oseltamivir, Peramivir, Synthesis and Pro-file. Journal of Pharmacy Research, 3, 1602.
[7] Kim, C.U., Lew, W., Williams, M.A., Liu, H., Zhang, L., Swaminathan, S., et al. (1997) Influenza Neuraminidase Inhibitors Possessing a Novel Hydrophobic Interaction in the Enzyme Active Site: Design, Synthesis, and Structural Analysis of Carbocyclic Sialic Acid Analogues with Potent Anti-Influenza Activity. Journal of the American Chemical Society, 119, 681-690. [Google Scholar] [CrossRef] [PubMed]
[8] Kim, C.U., Lew, W., Williams, M.A., Wu, H., Zhang, L., Chen, X., et al. (1998) Structure-Activity Relationship Studies of Novel Carbocyclic Influenza Neuraminidase Inhibitors. Journal of Medicinal Chemistry, 41, 2451-2460. [Google Scholar] [CrossRef] [PubMed]
[9] Yamatsugu, K., Kamijo, S., Suto, Y., Kanai, M. and Shibasaki, M. (2007) A Concise Synthesis of Tamiflu: Third Generation Route via the Diels-Alder Reaction and the Curtius Rearrangement. Tetrahedron Letters, 48, 1403-1406. [Google Scholar] [CrossRef
[10] Fitzpatrick, D.E., Battilocchio, C. and Ley, S.V. (2016) Enabling Technologies for the Future of Chemical Synthesis. ACS Central Science, 2, 131-138. [Google Scholar] [CrossRef] [PubMed]
[11] Gong, J. and Xu, W. (2008) Different Synthetic Strategies of Oseltamivir Phosphate: A Potent Influenza Neuraminidase Inhibitor. Current Medicinal Chemistry, 15, 3145-3159. [Google Scholar] [CrossRef] [PubMed]
[12] Sagandira, C.R., Mathe, F.M., Guyo, U. and Watts, P. (2020) The Evolution of Tamiflu Synthesis, 20 Years on: Advent of Enabling Technologies the Last Piece of the Puzzle? Tetrahedron, 76, Article ID: 131440. [Google Scholar] [CrossRef] [PubMed]
[13] Federspiel, M., Fischer, R., Hennig, M., Mair, H., Oberhauser, T., Rimmler, G., et al. (1999) Industrial Synthesis of the Key Precursor in the Synthesis of the Anti-Influenza Drug Oseltamivir Phosphate (Ro 64-0796/002, GS-4104-02): Ethyl (3r,4s,5s)-4,5-Epoxy-3-(1-ethyl-propoxy)-cyclohex-1-ene-1-carboxylate. Organic Process Research & Development, 3, 266-274. [Google Scholar] [CrossRef
[14] Rohloff, J.C., Kent, K.M., Postich, M.J., Becker, M.W., Chapman, H.H., Kelly, D.E., et al. (1998) Practical Total Synthesis of the Anti-Influenza Drug Gs-4104. The Journal of Organic Chemistry, 63, 4545-4550. [Google Scholar] [CrossRef
[15] Werner, L., Machara, A. and Hudlicky, T. (2010) Short Chemoenzymatic Azide‐Free Synthesis of Oseltamivir (Tamiflu): Approaching the Potential for Process Efficiency. Advanced Synthesis & Catalysis, 352, 195-200. [Google Scholar] [CrossRef
[16] Carr, R., Ciccone, F., Gabel, R., Guinn, M., Johnston, D., Mastriona, J., et al. (2008) Streamlined Process for the Esterification and Ketalization of Shikimic Acid En Route to the Key Precursor for Oseltamivir Phosphate (Tamiflu™). Green Chemistry, 10, 743-745. [Google Scholar] [CrossRef
[17] Karpf, M. and Trussardi, R. (2001) New, Azide-Free Transformation of Epoxides into 1,2-Diamino Compounds: Synthesis of the Anti-Influenza Neuraminidase Inhibitor Oseltamivir Phosphate (Tamiflu). The Journal of Organic Chemistry, 66, 2044-2051. [Google Scholar] [CrossRef] [PubMed]
[18] Harrington, P.J., Brown, J.D., Foderaro, T. and Hughes, R.C. (2003) Research and Development of a Second-Generation Process for Oseltamivir Phosphate, Prodrug for a Neuraminidase Inhibitor. Organic Process Research & Development, 8, 86-91. [Google Scholar] [CrossRef
[19] Nie, L.-D., Wang, F.-F., Ding, W., Shi, X.-X. and Lu, X. (2013) A Novel Azide-Free Asymmetric Synthesis of Oseltamivir Phosphate (Tamiflu) Starting from Roche’s Epoxide. Tetrahedron: Asymmetry, 24, 638-642. [Google Scholar] [CrossRef
[20] Satoh, N., Akiba, T., Yokoshima, S. and Fukuyama, T. (2009) A Practical Synthesis of (−)-Oseltamivir. Tetrahedron, 65, 3239-3245. [Google Scholar] [CrossRef
[21] Hayashi, Y. (2021) Time and Pot Economy in Total Synthesis. Accounts of Chemical Research, 54, 1385-1398. [Google Scholar] [CrossRef] [PubMed]
[22] Ishikawa, H., Bondzic, B.P. and Hayashi, Y. (2011) Synthesis of (−)‐Oseltamivir by Using a Microreactor in the Curtius Rearrangement. European Journal of Organic Chemistry, 2011, 6020-6031. [Google Scholar] [CrossRef
[23] Zhu, S., Yu, S., Wang, Y. and Ma, D. (2010) Organocatalytic Michael Addition of Aldehydes to Protected 2‐Amino‐1‐nitroethenes: The Practical Syntheses of Oseltamivir (Tamiflu) and Substituted 3‐Aminopyrrolidines. Angewandte Chemie International Edition, 49, 4656-4660. [Google Scholar] [CrossRef] [PubMed]
[24] Wang, Q., Cheng, B., Liu, M. and Chen, F. (2025) A Concise Asymmetric Synthesis of (−)-Oseltamivir Phosphate via a Biphasic Pd-Catalyzed Heck-Type Cyclization. Chinese Chemical Letters, 37, Article ID: 111555. [Google Scholar] [CrossRef
[25] Shie, J., Fang, J., Wang, S., Tsai, K., Cheng, Y.E., Yang, A., et al. (2007) Synthesis of Tamiflu and Its Phosphonate Congeners Possessing Potent Anti-Influenza Activity. Journal of the American Chemical Society, 129, 11892-11893. [Google Scholar] [CrossRef] [PubMed]
[26] Tanaka, T., Tan, Q., Kawakubo, H. and Hayashi, M. (2011) Formal Total Synthesis of (−)-Oseltamivir Phosphate. The Journal of Organic Chemistry, 76, 5477-5479. [Google Scholar] [CrossRef] [PubMed]
[27] Chuanopparat, N., Kongkathip, N. and Kongkathip, B. (2012) A New and Efficient Asymmetric Synthesis of Oseltamivir Phosphate (Tamiflu) from D-Mannose. Tetrahedron Letters, 53, 6209-6211. [Google Scholar] [CrossRef
[28] Ma, J., Zhao, Y., Ng, S., Zhang, J., Zeng, J., Than, A., et al. (2010) Sugar‐Based Synthesis of Tamiflu and Its Inhibitory Effects on Cell Secretion. ChemistryA European Journal, 16, 4533-4540. [Google Scholar] [CrossRef] [PubMed]
[29] Kongkathip, B., Akkarasamiyo, S. and Kongkathip, N. (2015) A New and Efficient Asymmetric Synthesis of Oseltamivir Phosphate (Tamiflu) from D-Glucose. Tetrahedron, 71, 2393-2399. [Google Scholar] [CrossRef
[30] Sagandira, C.R. and Watts, P. (2019) Efficient Continuous Flow Synthesis of Ethyl Shikimate: The First Step in the Synthesis of Tamiflu. Journal of Flow Chemistry, 9, 79-87. [Google Scholar] [CrossRef
[31] Feng, K., Chen, J., Gu, S., Wang, H. and Chen, F. (2024) New Progress of Fully Continuous Flow Reaction Technologies in Pharmaceutical Synthesis (2019~2022). Chinese Journal of Organic Chemistry, 44, Article No. 378. [Google Scholar] [CrossRef
[32] Andresini, M., Degannaro, L. and Luisi, R. (2021) A Sustainable Strategy for the Straightforward Preparation of 2h-Azirines and Highly Functionalized nh-Aziridines from Vinyl Azides Using a Single Solvent Flow-Batch Approach. Beilstein Journal of Organic Chemistry, 17, 203-209. [Google Scholar] [CrossRef] [PubMed]
[33] Alfano, A.I., Pelliccia, S., Rossino, G., Chianese, O., Summa, V., Collina, S., et al. (2023) Continuous-Flow Technology for Chemical Rearrangements: A Powerful Tool to Generate Pharmaceutically Relevant Compounds. ACS Medicinal Chemistry Letters, 14, 326-337. [Google Scholar] [CrossRef] [PubMed]
[34] Yoshida, J., Nagaki, A. and Yamada, D. (2013) Continuous Flow Synthesis. Drug Discovery Today: Technologies, 10, e53-e59. [Google Scholar] [CrossRef] [PubMed]
[35] Buglioni, L., Raymenants, F., Slattery, A., Zondag, S.D.A. and Noël, T. (2021) Technological Innovations in Photochemistry for Organic Synthesis: Flow Chemistry, High-Throughput Experimentation, Scale-Up, and Photoelectrochemistry. Chemical Reviews, 122, 2752-2906. [Google Scholar] [CrossRef] [PubMed]
[36] Sagandira, C.R. and Watts, P. (2019) Safe and Highly Efficient Adaptation of Potentially Explosive Azide Chemistry Involved in the Synthesis of Tamiflu Using Continuous-Flow Technology. Beilstein Journal of Organic Chemistry, 15, 2577-2589. [Google Scholar] [CrossRef] [PubMed]
[37] Krämer, M., Bongaerts, J., Bovenberg, R., Kremer, S., Müller, U., Orf, S., et al. (2003) Metabolic Engineering for Microbial Production of Shikimic Acid. Metabolic Engineering, 5, 277-283. [Google Scholar] [CrossRef] [PubMed]
[38] Zhang, B., Zhou, N., Liu, Y., Liu, C., Lou, C., Jiang, C., et al. (2015) Ribosome Binding Site Libraries and Pathway Modules for Shikimic Acid Synthesis with Corynebacterium Glutamicum. Microbial Cell Factories, 14, Article No. 71. [Google Scholar] [CrossRef] [PubMed]
[39] Li, Z., Gao, C., Ye, C., Guo, L., Liu, J., Chen, X., et al. (2023) Systems Engineering of Escherichia Coli for High-Level Shikimate Production. Metabolic Engineering, 75, 1-11. [Google Scholar] [CrossRef] [PubMed]
[40] Rawat, G., Tripathi, P., Jahan, F. and Saxena, R.K. (2013) A Natural Isolate Producing Shikimic Acid: Isolation, Identification, and Culture Condition Optimization. Applied Biochemistry and Biotechnology, 169, 2290-2302. [Google Scholar] [CrossRef] [PubMed]
[41] Ghosh, S. and Banerjee, U.C. (2015) Generation of Aroe Overexpression Mutant of Bacillus Megaterium for the Production of Shikimic Acid. Microbial Cell Factories, 14, Article No. 69. [Google Scholar] [CrossRef] [PubMed]
[42] Licona-Cassani, C., Lara, A.R., Cabrera-Valladares, N., Escalante, A., Hernández-Chávez, G., Martinez, A., et al. (2013) Inactivation of Pyruvate Kinase or the Phosphoenolpyruvate: Sugar Phosphotransferase System Increases Shikimic and Dehydroshikimic Acid Yields from Glucose in Bacillus subtilis. Microbial Physiology, 24, 37-45. [Google Scholar] [CrossRef] [PubMed]
[43] Guo, J., Suástegui, M., Sakimoto, K.K., Moody, V.M., Xiao, G., Nocera, D.G., et al. (2018) Light-Driven Fine Chemical Production in Yeast Biohybrids. Science, 362, 813-816. [Google Scholar] [CrossRef] [PubMed]