相变材料电池组热管理性能及影响因素研究
Research on Thermal Management Performance and Influencing Factors of Phase Change Material Battery Pack
DOI: 10.12677/isl.2026.102062, PDF, HTML, XML,    科研立项经费支持
作者: 蒋若曼, 胡微勇, 潘锁柱*, 崔光宇, 郝子赫, 暴秀超:西华大学汽车与交通学院,四川 成都;汽车测控与安全四川省重点实验室,四川 成都;王得鹏:四川新能源汽车创新中心有限公司,四川 宜宾
关键词: 相变材料锂离子电池组热性能影响因素Phase Change Materials Lithium-Ion Battery Packs Thermal Performance Influencing Factor
摘要: 本文采用FLuent软件搭建了相变材料(PCM)电池组仿真模型,研究了PCM电池组的散热性能及其关键影响因素。研究结果表明:相比于自然对流冷却,在1C、2C、3C放电倍率下,PCM冷却可使电池组最高温度分别降低3 K、8 K和6 K;在放电结束后的冷却阶段,电池组最高温度虽逐步降低,但PCM凝固明显滞后,最终液相率仅从1.0降至0.75左右,潜热恢复速率很缓慢。2C放电倍率下,单体电池间距从1 mm增加到6 mm,电池组最大温差从8.40 K下降到了3.58 K,降幅高达57.4%;单体电池间距的增加,使得电池组最高温度降低,但同时导致系统总质量增加13.47%、体积能量密度下降25.79%。另外,电池组最高温度随熔点的升高而上升;导热系数从0.21 W/(m·K)提升至4.21 W/(m·K),电池组最高温度降低7 K;增大PCM潜热可降低电池组的最高温度。研究结果阐明了关键因素对PCM热管理系统性能的影响规律,可为锂离子电池组热管理系统的设计与优化提供理论依据。
Abstract: This paper develops a simulation model of phase change material (PCM) battery pack using Fluent software and employs it to investigate the PCM battery pack’s thermal performance along with its key influencing factors. The results show that compared to natural convection cooling, PCM cooling can reduce the maximum temperature of the battery pack by 3 K, 8 K and 6 K at discharge rates of 1C, 2C and 3C, respectively. In the cooling stage after discharge, the maximum temperature of the battery pack gradually decreases, but PCM solidification exhibits obvious hysteresis. The liquid fraction finally drops only from 1.0 to approximately 0.75, indicating a significantly slow latent heat recovery rate. At 2C discharge rate, when the inter-cell spacing increases from 1 mm to 6 mm, the maximum temperature difference within the battery pack decreases from 8.40 K to 3.58 K, representing a significant reduction of 57.4%. With the increase of cell spacing, the maximum temperature of the battery pack decreases, while the system mass increases by 13.47% and the volumetric energy density decreases by 25.79%. The maximum temperature of the battery pack increases with the rise of PCM melting point. When the thermal conductivity is increased from 0.21 W/(m·K) to 4.21 W/(m·K), the maximum temperature of the battery pack decreases by 7 K. Additionally, increasing the latent heat of the PCM also contributes to a reduction in the battery pack’s maximum temperature. The findings elucidate the influence patterns of key factors on the performance of PCM-based thermal management systems, which can provide a theoretical basis for the design and optimization of thermal management systems in lithium-ion battery packs.
文章引用:蒋若曼, 胡微勇, 潘锁柱, 崔光宇, 郝子赫, 暴秀超, 王得鹏. 相变材料电池组热管理性能及影响因素研究[J]. 交叉科学快报, 2026, 10(2): 493-508. https://doi.org/10.12677/isl.2026.102062

1. 引言

锂离子电池具有能量密度大、功率密度高、寿命长、环保等优点[1]-[3],广泛应用于电动汽车、电动工具和航空航天等领域[4]。近年来,锂离子电池已成为新能源汽车的关键部件,市场占有率显著提升[5]。然而,电池温度过高会导致电池寿命缩短、内部结构损坏,甚至发生热失控等现象[6]。相关研究表明,锂离子电池温度在25℃~50℃范围内,且电池模组内最大温差在5℃以内,其循环性能与工作寿命才能达到较佳状态[7]-[9]。另外,Grandjean等[10]研究发现,当环境温度高于20℃时,电池的最高温度或升温速率随着放电/充电电流的增加而增加。较大的放电电流会导致较高的发热率和快速的温度升高,这可能会引起锂离子电池的严重安全问题[11]。因此,需高度重视锂离子电池温度过高、热失控等风险的防控工作[12]

热管理系统是防范电池过热风险的核心技术手段,其可确保电池在充放电过程中处于较优温度区间,进而提升电池的工作效率与循环寿命。合理设计与优化锂离子电池热管理系统,对实现电池高效、安全的散热需求具有重要的工程意义。锂离子电池热管理系统需满足两大核心要求:其一,保障电池单体及模组在适宜的温度范围内运行;其二,调控电池模组的温度分布,降低模组内部温差[13]

相变冷却是电池热管理的关键技术之一,近年来被广泛应用于锂离子电池的热管理系统。相变冷却是利用相变材料(PCM)的潜热特性,于相变温度区间内发生固–液相变,吸收大量热量且自身温度基本保持恒定。无风扇、泵体等动力部件,相比于主动散热(液冷/风冷)无能量消耗,可适配低功耗需求的电池热管理系统。PCM电池热管理系统不仅能将电池组温度稳定在更合适的工作区间范围内,还可以有效抑制局部热点,提升温度均匀性。因此,PCM电池热管理系统近年来受到了国内外学者们的广泛关注。Verma等[14]通过数值模拟方法研究了不同厚度的PCM层(3 mm, 7 mm, 9 mm, 12 mm)对电池组散热性能的影响,研究结果表明3 mm厚PCM层的电池组散热性能更优,可将电池最高温度降至305 K。Li等[15]模拟分析了单体电池间距对PCM电池组热管理性能的影响,发现电池模块的温差会随单体电池间距增大呈逐渐上升趋势。

鉴于此,为了阐明PCM电池组的散热性能以及关键因素对其性能的影响规律,本文以PCM电池组为研究对象,采用Fluent软件建立了PCM电池组仿真模型,并开展了以下研究工作。(1) 在1C、2C、3C放电倍率下,对比分析了PCM散热与自然对流散热的热管理性能;(2) 分析了3C放电倍率下,PCM电池组放电与冷却恢复阶段的电池组最高温度和液相率的变化规律;(3) 在2C放电倍率下,研究了单体电池间距对PCM电池组散热性能的影响规律;并对不同单体电池间距下PCM电池组的系统总质量、体积能量密度与最高温度进行了权衡分析与熵权–TOPSIS综合排序;(4) 基于3C放电倍率,分析PCM自身性质对电池组散热性能的影响规律。

2. PCM电池组仿真模型的建立

2.1. 锂离子电池生热机理

锂离子电池在充放电过程中由于电化学反应、离子迁移、电阻损耗等多个因素共同作用会产生热量[16],深入了解电池生热机理有助于精准评估电池热管理的需求和设计。相关研究表明,锂电池内部产热主要包含以下几个部分:电池内部化学反应产生的化学反应热 Q r 、欧姆热 Q j 、副反应热 Q s 和极化热 Q p 构成。其中,副反应热可忽略不计。总的产热量Q可以表示为[17] [18]

Q= Q r + Q j + Q p (1)

即:

Q=IT dE dT + I 2 R j + I 2 R p (2)

式中, dE dT 为温度影响系数,本文中 T dE dT 取为11.06 mv [19]E为电池电动势;U为电池工作电压。I为电池充放电电流,T为电池温度, R j 为电池欧姆内阻, R p 为电池极化内阻。

基于以上公式,可以得到电池的单位产热率为[20]

q=( IT dE dT + I 2 ( R j + R p ) ) 1 V (3)

式中,V为电池体积(m3)。

2.2. 单体电池生热模型建立

选取21700型锂离子电池为研究对象,单体电池直径为21 mm,高70 mm,表1为松下21700型锂电池具体参数。电池的热物性参数如表2所示。采用混合动力脉冲能力特性实验测试方法(HPPC实验)测试锂电池单体电池的内阻。测试工况为环境温度25℃,放电倍率为1C、2C、3C,分别测试电池SOC (荷电状态)分别为0.8、0.6、0.4、0.2、0时的脉冲响应。实验流程如图1所示。实验测得不同放电倍率下内阻随SOC变化情况如图2所示。

Figure 1. Experimental procedure flowchart

1. 实验流程图

Figure 2. Battery internal resistance at different discharge rates

2. 不同放电倍率下的电池内阻

Table 1. Specific parameters of Panasonic 21700 lithium-ion battery

1. 松下21700型锂电池具体参数

参数

数值

产品型号

NCR 21700T

额定容量

4800 mAh

电压

3.7 V

重量

69 g

尺寸

21 mm × 70 mm

Table 2. Thermal properties parameters of lithium-ion batteries [21]

2. 锂电池的热物性参数[21]

参数

数值

密度(kg/m3)

2846

比热容(J/(kg⋅K)

885

轴向导热系数(W/(m⋅K))

24.2

径向导热系数(W/(m⋅K))

0.9

将实验测得电池内阻数据导入Matlab软件进行读取与分析,使用多项式响应面拟合方法构建电池内阻的近似模型公式;基于该公式编写热源程序,并将其加载至Fluent软件中,作为单体电池的动态生热源。图3为1C放电倍率的UDF热源程序,2C和3C放电倍率采用同样的方法编写热源程序。

Figure 3. UDF heat source program for 1C discharge

3. 1C放电时的UDF热源程序

2.3. PCM电池组实体模型的建立

利用Spaceclaim软件建立PCM电池组三维实体模型,并将其导入Fluent meshing中进行网格划分。PCM电池组实体模型的整体尺寸为71 mm × 117 mm × 70 mm,模组由15个圆柱单体电池以3 × 5阵列空间排布,如图4所示。单体电池之间间距为d (mm),电池距边缘的距离为D (mm),本文中将D设定为2 mm。PCM在各单体电池间隙之间均匀分布,PCM热物性参数如表3所示。PCM电池组几何模型和网格模型如图5所示。

Figure 4. The battery cells are arranged with uniform spacing

4. 电池组均匀排布间距

Table 3. PCM material properties [22]

3. PCM物性参数[22]

参数

数值

密度(kg/m3)

840

比热容(J/(kg⋅K))

2000

导热系数(W/(m⋅K))

0.21

潜热(kJ/kg)

215

相变温度(℃)

37

(a) 几何模型 (b) 网络模型

Figure 5. PCM battery pack geometric model and mesh model

5. PCM电池组几何模型和网格模型

2.4. 相变冷却电池组仿真条件设置

(1) 检查网格模型质量:首先对导入Fluent的相变电池组模型的网格质量进行检查,确保没有负体积网格的出现。

(2) 确定物理模型:选择能量方程(Energy)和Solidification/Melting模型。

(3) 设置材料物性参数:固体域设置锂电池的密度、比热容和导热系数等参数。流体域设置PCM的密度、比热、导热系数、动力粘度、相变潜热、相变温度等物理性参数。

(4) 设置电池内热源:将之前编写好的UDF电池内热源程序加载到Fluent中,为每个单体电池配置独立UDF动态生热源。

(5) 设置边界条件:对于整个计算模型,PCM外壁面是无滑移静止壁面,与空气存在对流换热。设置电池和PCM互相接触的壁面是耦合(Coupled)壁面条件。

(6) 确定求解器及求解算法:选择压力基求解器和Simple求解算法。

(7) 设置初始条件:设置整个模型的初始温度等于环境温度(25℃),对整个计算域初始化并开始计算。

2.5. 步长无关性验证

仿真结果的精度受时间步长设置影响显著。步长过大可能导致计算结果失真,而步长过小则会增加不必要的计算成本。为确保仿真结果的准确性,需进行步长无关性验证。

在环境温度25℃、1C放电倍率条件下,对21700单体电池分别选取了时间步长为20 s、10 s、5 s、2 s、1 s和0.5 s的六种方案(对应总步数分别为180、360、720、1800、3600和7200步)进行分析,以对比不同步长下单体电池放电结束时表面平均温度的差异。

仿真结果如图6所示,由图6可知,当仿真步数超过3000步后,电池表面平均温度受步长变化的影响趋于稳定。因此,综合计算效率与精度考虑,最终确定在1C、2C、3C放电倍率的模拟仿真中,采用时间步长为1 s,时间步数分别对应为3600步、1800步、1200步进行计算。

Figure 6. Battery temperature at different time steps

6. 不同时间步数下的电池温度

3. 仿真结果分析

3.1. 相变散热与自然散热性能对比

图7(a)~(c)分别为1C、2C和3C放电倍率下,分别采用PCM冷却与自然对流冷却的电池组放电过程的最高温度。

图7可见,在各放电倍率下,相变冷却电池组最高温度都显著低于自然对流冷却。放电结束时刻,自然对流冷却下,1C、2C、3C放电倍率对应的电池组最高温度分别约为314 K、325 K、337 K;而PCM冷却下,相同放电倍率的电池组最高温度分别约为311 K、317 K、330 K。相较于自然对流冷却,PCM冷却可使电池组最高温度分别降低3 K、8 K、7 K。这一结果充分体现了PCM优异的控温能力。另外,同一放电倍率下,放电初期两种散热方式的电池组最高温度曲线差值较小,随放电时间延长,该差值呈逐渐扩大的趋势。这是由于放电初期PCM尚未进入固–液相变阶段,其潜热能力未发挥,仅依靠显热吸热,因此两种散热方式的温度差异较小;随着放电持续进行,电池产热持续累积,PCM逐步发生相变并吸收大量热量,显著控制了电池组温度的升高,因此两种散热方式的最高温度曲线差值逐渐增大。

(a) 1C放电倍率 (b) 2C放电倍率

(c) 3C放电倍率

Figure 7. The maximum temperature of the battery pack at different discharge rates.

7. 不同放电倍率下电池组的最高温度

图7还可以发现,放电中后期,两种散热方式的最高温度曲线差值随放电倍率增加而增大。以放电时长为50%的时刻为例,1C、2C和3C放电倍率下,两种散热方式温度曲线差值分别为0.51 K、5.26 K,8.71 K,呈逐渐增大的趋势。这是由于,随着放电倍率的增加,产热量逐渐增大,自然对流散热速率增加较为缓慢,而PCM可在相变温度区间内发生固–液相变,持续吸收大量热量,提高散热速率,快速降低电池组温度,表现为电池组最高温度曲线上升较为缓慢。因此,随着放电倍率的增加,两种散热方式的散热性能差异越显著。

3.2. 放电与冷却恢复阶段分析

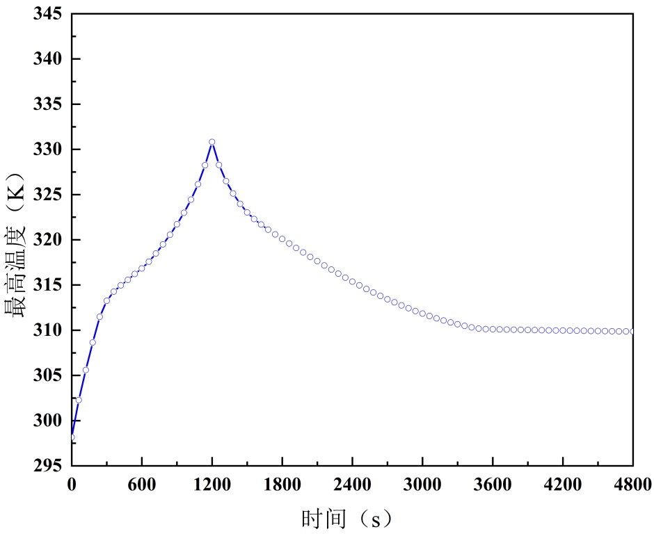
基于前文研究,PCM对电池组控温具有显著作用。为深入评估PCM电池组在高倍率放电下的热饱和与热恢复特性,本研究在3C放电倍率工况(即1200 s恒流放电)结束后,增设3600 s自然冷却恢复阶段,将总仿真时长延长至4800 s。在Fluent中对电池组整体最高温度进行监测,并提取中间单体电池壁面处的液相率变化,监测结果如图8所示。其中,图8(a)为液相率演变曲线,图8(b)为最高温度演变曲线。0~1200 s为PCM电池组放电阶段,1200~4800 s电池停止放电,为冷却阶段。

图8可发现,在放电初期(0~600 s),电池电化学反应产生大量热量,使得电池组最高温度快速升高;热量迅速传递至PCM,驱动PCM发生固–液相变,液相率由0快速上升至1.0,表明PCM已完全熔化为液态,其相变潜热储能能力耗尽,PCM开始进入热饱和状态。

在放电中后期(600~1200 s),PCM液相率稳定维持在1.0的平台段,热饱和状态持续。此时,PCM无法继续通过相变吸收热量,电池组散热机制由“相变潜热主导”转变为“液态PCM显热换热、导热与自然对流共同主导”。由于PCM导热系数较低,电池组产生的热量通过PCM难以快速向外传递,导致电池内部热量持续累积,与放电初期相比,图8(b)中可明显观察到电池组最高温度的上升速率显著加快。

放电结束后(1200 s以后),电池停止产热,PCM电池组进入冷却恢复阶段。此时,电池组内部累积的热量主要通过液态PCM的导热与表面自然对流换热逐步向外界空气传递。但受限于PCM较低的导热能力,热量向外耗散速率缓慢。值得注意的是,放电结束后液相率并未立即下降,而是维持1.0一段时间,直至约3600 s才开始从1.0缓慢下降,最终降至0.75左右,整个冷却过程历时3600 s,PCM仅凝固了约25%。这一现象表明,PCM的凝固与潜热恢复过程存在明显滞后性,其相变储能能力无法快速再生,也从侧面反映出纯PCM导热能力弱、热恢复速率慢的固有局限性。

综上分析可知,PCM可快速熔化并吸收大量热量,对电池放电过程的温升起到良好抑制作用;但PCM完全熔化后即进入热饱和状态,失去潜热调控能力,加之自身导热性能较差,导致电池组温度上升速率显著加快。进入冷却阶段后,电池温度逐渐下降,但PCM存在明显的凝固滞后现象,潜热能力恢复缓慢。因此,易达到热饱和、潜热能力失效快、导热性能差、热恢复速率慢,是PCM在电池热管理应用中的主要不足。

(a) 液相率 (b) 最高温度

Figure 8. Liquid fraction and maximum battery module temperature during discharge and cooling stages

8. 放电和冷却阶段的液相率和电池组最高温度

3.3. 单体电池间隙对电池组散热性能的影响

电池间距是影响电池组热管理性能的关键因素。为此,本文在25℃环境温度、2C放电倍率下,针对单体电池间距d = 1 mm、d = 2 mm、d = 3 mm、d = 4 mm、d = 5 mm、d = 6 mm开展了仿真研究,分析不同电池间距对电池组散热性能的影响规律。

Figure 9. Maximum temperature of battery packs with different spacing

9. 不同间距的电池组最高温度

图9为不同单体电池间距下,电池组最高温度随时间的变化曲线。由图9可发现,单体电池间距越小,电池组的最高温度上升速率越快、放电结束后的温度越高。单体电池间距由1 mm增加至6 mm,放电结束时电池组最高温度由320 K降至了314 K,温度降低达6 K。这一现象在图10所示的1 mm和6 mm间距下电池组温度分布云图也得到了认证。这一现象是由于电池单体间距增大,不仅让各单体电池表面的PCM包裹层更厚,也使电池间填充的PCM量更多,因此PCM整体热容与储热能力提升,进而能吸收更多热量,有效抑制电池的温升。同时,PCM电池组在小间距下,PCM层比较薄,模组中间区域的PCM吸收热量后会快速熔化、液相率骤升并达到热饱和状态,失去温度缓冲能力,最终造成电池组最高温度急剧上升;而在大间距下,由于更多的PCM嵌入在电池组之间,热量可被更均匀、持续地吸收,从而显著改善电池组的散热性能。

Figure 10. Temperature distribution contour maps of battery packs with different spacing

10. 不同间距的电池组温度分布云图

Figure 11. Maximum temperature difference in battery packs with different spacing

11. 不同间距的电池组最大温差

图11为不同单体电池间距下,电池组的最大温差。由图11可发现,随着单体电池间距增加,电池组最大温差呈显著下降的趋势。单体电池间距从1 mm增加到6 mm,电池组最大温差从8.40 K下降到了3.58 K,降幅高达57.4%。另外,从图11中还可以看到,当单体电池间距由1 mm增大至3 mm时,最大温差从8.40降至4.65 K,降幅接近45%,而当单体电池间距由3 mm增大至6 mm时,最大温差从4.65降至3.58 K,降幅仅23%。这表明单体电池间距增加到一定值时,最大温差降低的趋势明显减缓。这一现象是由于随着电池间距的增大,PCM的填充量也随之增加,储热能力提升。更充足的PCM能够更均匀地传导电池表面的热量,避免热量过度集中在模组局部区域,从而有效缩小了电池模组内的温度差异。但PCM因其固有的导热系数偏低,导致了其热传导能力较为有限,此时进一步增加电池间距,不仅无法实现热量的快速传递与扩散,反而会造成热量堆积,这一现象在一定程度上抵消了间距增大所带来的PCM储热能力提升的控温优势,最终导致电池组最大温差的降低趋势明显放缓。综上所述,增大电池间距虽可降低电池组最大温差,但过度增加间隙不仅无法持续提升相变冷却系统的热管理性能,还会导致系统体积和重量增加。

3.4. PCM电池组综合性能权衡分析和熵权TOPSIS分析

本节基于数值模拟与理论计算,系统分析了不同单体电池间距下PCM电池组的最高温度、系统总质量及体积能量密度的变化规律。采用熵权–TOPSIS多准则决策方法,在热安全与系统综合性能之间寻求较优的单体电池间距方案。

图12为不同单体电池间距下,PCM电池组的最高温度、系统总质量和体积能量密度对比。由图12可以看出,随着电池间距从1 mm增加至6 mm,电池组最高温度呈持续下降趋势,由320.5 K降至314.8 K,降幅达5.7 K。然而,系统总质量随间距增大呈线性上升趋势,由1.188 kg增加至1.348 kg,增幅达13.47%。与此同时,在电池总能量(266.4 Wh)保持不变的前提下,模组体积增大直接导致体积能量密度由487.7 Wh/L持续下降至361.9 Wh/L,降幅达25.79%。

综合来看,增大电池间距虽可显著降低电池组最高温度、强化散热效果,但同时带来了系统质量上升与体积能量密度大幅下降的代价。各指标间存在明显的权衡关系,难以实现单一指标最优。因此,必须在热安全、轻量化与能量密度之间进行综合权衡,选取综合性能较优的设计方案。

Figure 12. Performance of PCM-equipped battery modules under different cell spacings

12. 不同单体电池下的PCM电池组性能

上述结果表明,热安全性能的提升是以牺牲系统轻量化与能量密度为代价的,三者之间存在显著冲突。为在热安全、轻量化与能量密度之间获取较优的单体电池间距,采用熵权–TOPSIS法对6组方案进行多准则决策分析。为避免主观赋权带来的偏差,本研究采用熵权法对各指标进行客观赋权,结果如表4所示。其中体积能量密度权重最高(39.25%),系统总质量次之(35.28%),最高温度权重最低(25.47%)。TOPSIS综合评价结果如表5所示。

综合分析表明,2 mm间距方案既可将电池组最高温度有效控制在50℃以内,又可避免因间距过大造成的质量剧增与能量密度骤降,能够在热安全、系统轻量化与能量密度之间实现较好的平衡。

Table 4. Indicator weights calculated by the entropy weight method

4. 熵权法计算的各指标权重

指标

信息熵值e

信息效用值d

权重系数w

体积能量密度

0.8201

0.1799

39.2466%

系统总质量

0.8382

0.1618

35.2840%

最高温度

0.8832

0.1168

25.4694%

Table 5. Comprehensive evaluation results of different battery spacing schemes based on TOPSIS

5. 不同电池间距方案的TOPSIS综合评价结果

单体电池间距(mm)

正理想解距离D+

负理想解距离D−

相对接近度C

排序结果

1

0.134

0.361

0.730

2

2

0.106

0.291

0.734

1

3

0.156

0.234

0.601

3

4

0.225

0.185

0.451

4

5

0.294

0.146

0.332

5

6

0.361

0.134

0.270

6

3.5. PCM性质对电池组散热性能的影响

本节在环境温度25℃,3C放电倍率、单体电池间距d = 5 mm的条件下,研究了PCM的熔点、导热系数、和潜热对电池组散热性能的影响。

图13为不同PCM熔点下,电池组放电过程的最高温度。由图13可见,在放电过程的前200 s内,不同熔点的温度曲线几乎重合。另外,随着PCM熔点的升高,电池组的最高温度增大,熔点从303.15 K升高至315.15 K,放电结束时电池组最高温度从321 K增加至327 K,电池组最高温度上升了6 K。这是由于放电初期电池产热较少,温度较低,所有PCM均未达到相变熔点,仅依靠显热方式吸收热量,因此熔点高低对电池温升无显著影响。当放电进入中后期,最高温度曲线开始出现明显分化,熔点越低的PCM (如303.15 K)越早进入相变潜热吸热阶段,通过吸收大量热量来延缓电池温升,其温度曲线的上升斜率显著变缓;而熔点越高的PCM (如315.15 K)则越晚进入相变潜热吸热阶段,电池温度在更长时间内仅靠显热吸热控制,温升速率较快,最终导致放电结束时的最高温度较高。这一规律表明,PCM的熔点直接决定了潜热控制温度的发生时机,熔点越低,控温介入越早,电池组的最终温度也越小。

图13还可发现,在放电后期(1100 s以后),高熔点PCM对应的温升曲线表现出更为平缓的上升趋势。这是由于,低熔点PCM因相变启动早,在放电中前期液相率已处于较高水平,意味着其潜热能力被快速消耗,冷却能力随之衰减,导致温升速率在后段有所回升。相反,高熔点PCM相变相对于低熔点更晚,因此液相率更低,在放电后期还能有相对更多的PCM存在,使温升曲线在后期相对较为平缓。

Figure 13. The effect of PCM melting point on the maximum temperature

13. PCM熔点对最高温度的影响

图14为不同PCM导热系数下,电池组放电过程的最高温度。由图12可以发现,导热系数增加,电池组最高温度显著下降,最高温度升高速率显著变缓。导热系数从0.21 W/(m·K)增加到4.21 W/(m·K),放电结束后的电池组最高温度由323 K下降到316 K,温度下降达7 K。这是由于在导热系数较低时,PCM内部的热量传导效率较低,电池产生的热量难以快速扩散至整个PCM,因此在电池表面容易形成局部高温区,此时提升导热系数,能够显著加快热量在PCM中的传导速率,使更多PCM参与热量的吸收,从而更高效地缓冲电池产热带来的温升,因此电池组最高温度出现大幅下降,温升曲线也更平缓。

Figure 14. The effect of thermal conductivity on the maximum temperature

14. 导热系数对最高温度的影响

图15为不同PCM潜热下,电池组放电过程的最高温度。由图15可以发现,在放电开始的前400 s 内,不同PCM潜热下的温度曲线基本重合,这是因为在放电初期,电池产热较少,PCM未发生相变,此时PCM仅以固态形式通过显热方式吸收热量,不同潜热的PCM在固态下的显热比热容较为接近,因此这一阶段的热量吸收效率差异很小,导致不同PCM潜热的温度曲线高度接近。

另外,自放电400 s起至放电结束,随着PCM潜热从185 J/g增大至265 J/g,电池组的最高温度曲线呈现下移现象,放电结束后的最高温度为322 K左右,相较于潜热为185 J/g时,电池组最高温度下降约3 K。这是由于,随着放电持续进行,电池产热不断累积,低潜热PCM的热量存储容量会更快耗尽,剩余热量只能依赖显热传导导出,导致电池温度加速上升;而高潜热PCM则能吸收更多热量,维持相对平缓的温度增长趋势。

Figure 15. The effect of latent heat of phase transition on the maximum temperature

15. 相变潜热对最高温度的影响

4. 结论

本文采用Fluent软件建立了PCM电池组仿真模型,比较了PCM冷却和自然对流冷却下电池组的散热性能,分析了PCM电池组放电过程和放电结束后的冷却恢复过程,并研究了单体电池间距和PCM性质对电池组散热性能的影响规律。主要结论如下:

1) 在电池组周围均匀布置PCM可以有效降低电池组的最高温度。在1C、2C和3C放电倍率下,放电结束后,相对于自然对流冷却,PCM冷却可使电池组温度分别降低约3 K、8 K和6 K。

2) PCM可显著降低电池组最高温度,但完全熔化后即进入热饱和状态,失去持续控温能力,并且PCM凝固存在滞后,冷却全过程液相率仅由1.0降至0.75左右,仅凝固约25%,潜热储能能力恢复缓慢。

3) 单体电池间距增加可显著提高电池组的散热性能。间距从1 mm增加至6 mm,放电结束时电池组最高温度由320 K降至314 K,温度降低达6 K,电池组最大温差从8.40 K下降到了3.58 K,降幅高达57.4%。

4) 随着单体电池间距的增加,电池组最高温度逐渐降低,热安全性能得到提升,但同时导致系统总质量增加13.47%、体积能量密度下降25.79%。

5) PCM的熔点降低、导热系数增大、潜热升高均会降低电池组的最高温度。

基金项目

四川省中央引导地方科技发展专项项目(2025ZYD0063)。

NOTES

*通讯作者。

参考文献

[1] Ali, A.O., Abdelrehim, O., Saafan, M.M., Elmarghany, M.R. and Hamed, A.M. (2025) Comprehensive Review of Battery Management Systems for Electric Vehicles: Thermal Management, Charging Strategies, and Emerging Technologies. Journal of Power Sources, 658, Article ID: 238269. [Google Scholar] [CrossRef
[2] Takiso, T.A. and Yu, J. (2025) Research Progress on the Optimization of Thermal Management Systems for Lithium-Ion Batteries in New Energy Vehicles. Journal of Energy Storage, 134, Article ID: 118144. [Google Scholar] [CrossRef
[3] Wu, M. (2022) Multi-Objective Optimization of U-Type Air-Cooled Thermal Management System for Enhanced Cooling Behavior of Lithium-Ion Battery Pack. Journal of Energy Storage, 56, Article ID: 106004. [Google Scholar] [CrossRef
[4] 徐志龙, 田玉冬, 李静红, 等. 电动汽车动力电池的发展与温度管理现状[J]. 汽车电器, 2018(3): 1-3.
[5] Yang, Z., Huang, H. and Lin, F. (2022) Sustainable Electric Vehicle Batteries for a Sustainable World: Perspectives on Battery Cathodes, Environment, Supply Chain, Manufacturing, Life Cycle, and Policy. Advanced Energy Materials, 12, Article No. 10. [Google Scholar] [CrossRef
[6] He, L., Jing, H., Zhang, Y., Li, P. and Gu, Z. (2023) Review of Thermal Management System for Battery Electric Vehicle. Journal of Energy Storage, 59, Article ID: 106443. [Google Scholar] [CrossRef
[7] 刘奇. 基于相变材料的锂离子电池热管理系统性能优化研究[D]: [硕士学位论文]. 重庆: 重庆交通大学, 2017.
[8] 陈华富. 基于复合相变材料的锂离子电池低温热管理系统性能及结构优化研究[D]: [硕士学位论文]. 兰州: 兰州理工大学, 2023.
[9] Wang, Q., Ping, P., Zhao, X., Chu, G., Sun, J. and Chen, C. (2012) Thermal Runaway Caused Fire and Explosion of Lithium Ion Battery. Journal of Power Sources, 208, 210-224. [Google Scholar] [CrossRef
[10] Grandjean, T., Barai, A., Hosseinzadeh, E., Guo, Y., McGordon, A. and Marco, J. (2017) Large Format Lithium Ion Pouch Cell Full Thermal Characterisation for Improved Electric Vehicle Thermal Management. Journal of Power Sources, 359, 215-225. [Google Scholar] [CrossRef
[11] Gümüşsu, E., Ekici, Ö. and Köksal, M. (2017) 3-D CFD Modeling and Experimental Testing of Thermal Behavior of a Li-Ion Battery. Applied Thermal Engineering, 120, 484-495. [Google Scholar] [CrossRef
[12] 邵丹, 骆相宜, 钟灿鸣, 等. 动力锂离子电池安全性研究的进展[J]. 电池, 2020, 50(1): 83-86.
[13] 杨梓堙. 基于复合相变材料与液冷结合的车用锂离子电池模组散热性能研究[D]: [硕士学位论文]. 镇江: 江苏大学, 2022.
[14] Verma, A., Shashidhara, S. and Rakshit, D. (2019) A Comparative Study on Battery Thermal Management Using Phase Change Material (PCM). Thermal Science and Engineering Progress, 11, 74-83. [Google Scholar] [CrossRef
[15] Li, Y., Du, Y., Xu, T., Wu, H., Zhou, X., Ling, Z., et al. (2018) Optimization of Thermal Management System for Li-Ion Batteries Using Phase Change Material. Applied Thermal Engineering, 131, 766-778. [Google Scholar] [CrossRef
[16] Sato, N. (2001) Thermal Behavior Analysis of Lithium-Ion Batteries for Electric and Hybrid Vehicles. Journal of Power Sources, 99, 70-77. [Google Scholar] [CrossRef
[17] Tousi, M., Sarchami, A., Kiani, M., Najafi, M. and Houshfar, E. (2021) Numerical Study of Novel Liquid-Cooled Thermal Management System for Cylindrical Li-Ion Battery Packs under High Discharge Rate Based on AgO Nanofluid and Copper Sheath. Journal of Energy Storage, 41, Article ID: 102910. [Google Scholar] [CrossRef
[18] 高卫林. 血管型相变液冷复合式锂电池组热管理性能研究[D]: [硕士学位论文]. 重庆: 重庆交通大学, 2024.
[19] Pesaran, A., Keyser, M. and Burch, S. (1999) An Approach for Designing Thermal Management Systems for Electric and Hybrid Vehicle Battery Packs. National Renewable Energy Laboratory.
[20] Bernardi, D., Pawlikowski, E. and Newman, J. (1985) A General Energy Balance for Battery Systems. Journal of The Electrochemical Society, 132, 5-12. [Google Scholar] [CrossRef
[21] 吴启超. 圆柱形电池单体温度状态及其对电池性能的影响研究[D]: [博士学位论文]. 杭州: 浙江大学, 2024.
[22] Liao, G., Jiang, K., Zhang, F., E, J., Liu, L., Chen, J., et al. (2021) Thermal Performance of Battery Thermal Management System Coupled with Phase Change Material and Thermoelectric Elements. Journal of Energy Storage, 43, Article ID: 103217. [Google Scholar] [CrossRef