低压致密砂岩气田开发优化研究——以苏里格气田X区块为例
Optimization Research on the Development of Low-Pressure Tight Sandstone Gas Fields—Taking Block X of Sulige Gas Field as an Example
摘要: 鄂尔多斯盆地苏里格气田属于典型的低压致密砂岩气田,储层普遍具有孔隙度低、渗透率小、非均质性强及地层压力系数低等特点,单纯依赖常规开发方式难以满足其高效开发需求。本文以盆地北部的X区块为研究对象,基于地质、测井及生产资料,建立数值模型,针对低压致密储层开发过程中单井产量低、递减快及开发效益不稳定等问题,对排水采气制度下的开发效果进行模拟分析。开展低压致密储层开采方案优化研究,并在此基础上对相关参数进行优化。研究结果表明,在低压致密储层条件下,合理的排水采气制度有助于改善井底流动条件,延缓产量递减,参考同类型气藏开发指标,通过深点注气与地面降压的协同作用(出口压力由18 MPa降至10 MPa),可有效降低井底流压,使流入动态关系曲线与垂直举升性能曲线在低压环境下实现稳定相交,预估该气藏初步产能为4.6 × 104 m3/d。该方案解决了低压井积液停产的问题,显著延长了低压致密气井的生产周期。可为类似低压致密气藏的开发方案优化提供参考。
Abstract: The Sulige Gas Field in the Ordos Basin is a typical low-pressure tight sandstone gas field. The reservoirs generally have the characteristics of low porosity, small permeability, strong heterogeneity and low formation pressure coefficient. Relying solely on conventional development methods is difficult to meet its efficient development requirements. This paper takes the X block in the northern part of the basin as the research object. Based on geological, logging and production data, a numerical model is established. Aiming at the problems such as low single-well production, rapid decline and unstable development benefits during the development of low-pressure tight reservoirs, the development effect under the drainage and gas recovery system is simulated and analyzed. Research on the optimization of the mining scheme for low-pressure tight reservoirs is carried out, and on this basis, the relevant parameters are optimized. The research results show that under the conditions of low-pressure tight reservoirs, a reasonable drainage and gas production system is conducive to improving the flow conditions at the bottom of the well and delaying the decline in production. Referring to the development indicators of the same type of gas reservoirs, through the synergistic effect of deep point gas injection and surface pressure reduction (reducing the outlet pressure from 18 MPa to 10 MPa), the flow pressure at the bottom of the well can be effectively reduced. The stable intersection of the VLP curve and the IPR curve under low-pressure conditions has solved the problem of fluid accumulation and production halt in low-pressure wells, significantly extending the production cycle of low-pressure tight gas wells. It is estimated that the initial production capacity of this gas reservoir is 4.6 × 104 m3/d. It can provide a reference for the optimization of development plans for similar low-pressure tight gas reservoirs.
文章引用:杜雨晴, 王璐, 康屹涵. 低压致密砂岩气田开发优化研究——以苏里格气田X区块为例[J]. 矿山工程, 2026, 14(2): 434-444. https://doi.org/10.12677/me.2026.142046

1. 引言

随着我国天然气勘探开发程度的不断加深,常规中高压气藏资源逐渐减少,低压致密砂岩气藏已成为天然气增储上产的重要领域。鄂尔多斯盆地苏里格气田是我国典型的大型致密砂岩气田之一,X区块作为苏里格气田核心开发区块之一,其储层主要发育于上古生界盒8段和山2段,砂体类型以水下分流河道砂体为主,空间展布复杂,储层物性变化大。随着气田开发的深入,受长期开发影响及天然能量不足等因素制约,X区块内已表现出明显的低压特征,地层压力系数普遍低于1.0,气藏产水问题逐渐显现,开发难度进一步加大[1]。在此背景下,如何在低压致密储层条件下实现储量的有效动用与开发效益的提升,已成为制约苏里格气田持续高效开发的关键问题。

本文以苏里格气田X区块为研究对象,在分析储层物性特征与压力系统的基础上,通过数值模拟的方法,明确低压致密储层开发方式的优化方向,研究成果可为苏里格气藏及类似低压致密砂岩气藏的开发方式选择与参数优化提供技术参考。

2. 研究区概况

2.1. 区块地理位置与构造特征

研究区位于鄂尔多斯盆地北部苏里格气藏主体区域,整体构造形态较为平缓,区内断裂不发育,构造幅度小,属于典型的稳定构造背景[2]。气藏以岩性圈闭为主,局部受砂体展布及物性变化控制,构造因素对气藏形成与分布的影响相对较弱。研究区地层埋深变化不大,整体处于中浅埋深范围,为致密砂岩气藏的规模化开发提供了有利的工程条件,但储层横向与纵向非均质性显著,对开发方式的适应性提出了较高要求[3]

2.2. 压力系统与气藏特征

研究区气藏整体表现为低压特征,地层压力系数普遍小于1.0,属于典型的低压致密气藏(见表1)。气藏以无边底水气藏为主,开发过程中主要依赖岩石和流体弹性驱动,天然驱动能力不足[4]。随着开发程度的提高,地层压力持续下降,低压特征进一步加剧,导致气井启动压力高、稳产期短、产量递减快。

Table 1. Pressure coefficient of gas layer in X012 well area

1. X012井区气层压力系数

层位

压力系数

H2-3

0.84

H3-1

0.81

选本次研究区块典型低产井(X井)为例,此次产出天然气以甲烷为主,不含硫化氢,属无硫干气,具体组分数见表2

Table 2. Natural gas components

2. 天然气组分

井号

天然气 相对 密度

天然气组分(%)

临界 温度 (℃)

临界 压力(MPa)

甲烷

乙烷

丙烷

异丁烷

正丁烷

异戊烷

正戊烷

己烷以上

二氧 化碳

硫化氢

X012

0.58

93.2

0.65

0.032

0.112

0.0

0.0

0.0

0.0

3.40

2.61

0.0

−85.82

4.66

2.3. 储层发育特征

研究区主要含气层位为上古生界山西组和盒8段,沉积相类型以水下分流河道及河口坝砂体为主,砂体规模有限、展布不连续,泥质夹层发育,储层非均质性强。砂岩类型以细砂岩和粉砂岩为主,胶结程度较高,孔隙结构复杂。研究储层埋深在2400~3000 m左右,平均孔隙度在5.9496%,平均渗透率在0.1767 mD。储层孔隙度整体偏低,渗透率以超低渗为主,单纯依靠天然能量难以实现有效气体运移[5]。结合温压系统数据建立三维地质模型,如图1所示,以及该气藏几乎没有边底水,因此经计算得到圈定的含气面积为70 km2

3. 开发中存在的问题

本次研究区块属于典型低压、低渗、强非均质致密砂岩气藏[6]。当前井口压力18.201 MPa,静压21.261 Mpa,产量0.79 × 104 m3/d,压降已很小,生产压差不足而导致低产,因此必须对开采方案进行优化,增大压降,通过降低井口压力来提高产量,对开发方式进行系统优化研究。

Figure 1. Contour map of top structure

1. 顶部构造等值线图

4. 开发方案优化

开采初期采用衰竭式开发,充分利用气藏天然能量,达到节约成本的目的。在气藏开发后期,地层能量衰竭和井筒积液导致的产量下降是气藏开发中主要存在的问题,如果不能及时进行排水采气工作,就会导致产出水在气井底部集聚,进而造成井底回压增大,影响开采效率,甚至会出现气井停躺的情况[7]

Figure 2. Wellbore model of X012

2. X012井筒模型

结合地层基础数据建立单井模型,如图2所示,并在井底增加节点分析点。根据出口压力(井口油压),运行节点分析操作,绘制油井流入流出曲线。

Figure 3. Inflow and outflow curves of well X012

3. X012井筒流入流出曲线

根据图3模拟结果显示,在当前地层压力及井筒条件下,X012井流入曲线与流出曲线未形成交点,表明井筒举升能力与地层供给能力不匹配,气井难以实现稳定自喷生产,需采取排水采气或井筒工艺优化措施。

在低压致密砂岩油气藏中,应力敏感性会导致储层岩石在压力下降过程中孔隙和微裂缝发生闭合,造成渗透率不可逆地大幅下降,从而显著增加流动阻力并加快产能递减。为优化开采方案并提升整体采收效率,通过适度降低井口回压以增大生产压差[8],从而提高单井产量并最终提升采收率。同时,引入气举排水技术作为辅助措施缓解井筒积液问题,促进连续携液并维持稳定生产。然而,压降幅度需严格控制,避免井底流动压力低于临界携液阈值[9],以防气体流速不足引发或加剧井筒积液。因此,应确保实际产气量略高于最小临界携液流量阈值,从而在实现高效携液的同时,最大化经济效益并延长气藏经济寿命。

4.1. 油管尺寸优选

油管尺寸的确定,是由井的产能、携液能力、油管材质的抗冲蚀临界流量以及成本等几个方面的因素来综合确定的。该区块产出气甲烷含量约93%,CO2含量 < 1%~2%,无H2S,属于典型低含CO2、基本无H2S的干气气藏,井筒腐蚀环境相对温和,因此采用碳钢材质满足生产要求[10] [11]

当前X012井井口压力为18.201 MPa。气层温度为77.4℃,地层水密度1000 kg/m3,气体密度132 kg/m3,表面张力取0.03 N/m。经计算,理论临界携液流量4.92 × 104 m3/d。为恢复并维持气井的连续携液能力,通常需下入小直径油管;运用节点分析来优选油管尺寸,得到不同油管对应产量变化曲线,如图4所示。

大管径易导致气速不足、持液率高而积液;较小管径可提高气流速度,促进携液。表3节点分析结果显示,38.1 mm油管在低产后期更利于避免液载。

Figure 4. Production capacity corresponding to different oil pipes

4. 不同油管对应的产量

Table 3. Critical liquid carrying flow for different pipe diameters

3. 不同管径的临界携液流量

井口压力

最小携液流量

25.4/(mm)

38.1/(mm)

60.3/(mm)

73/(mm)

1

0.068

0.16

0.62

0.91

2

0.098

0.32

0.98

1.17

4

0.11

0.45

1.25

1.336

6

0.13

0.49

1.72

1.598

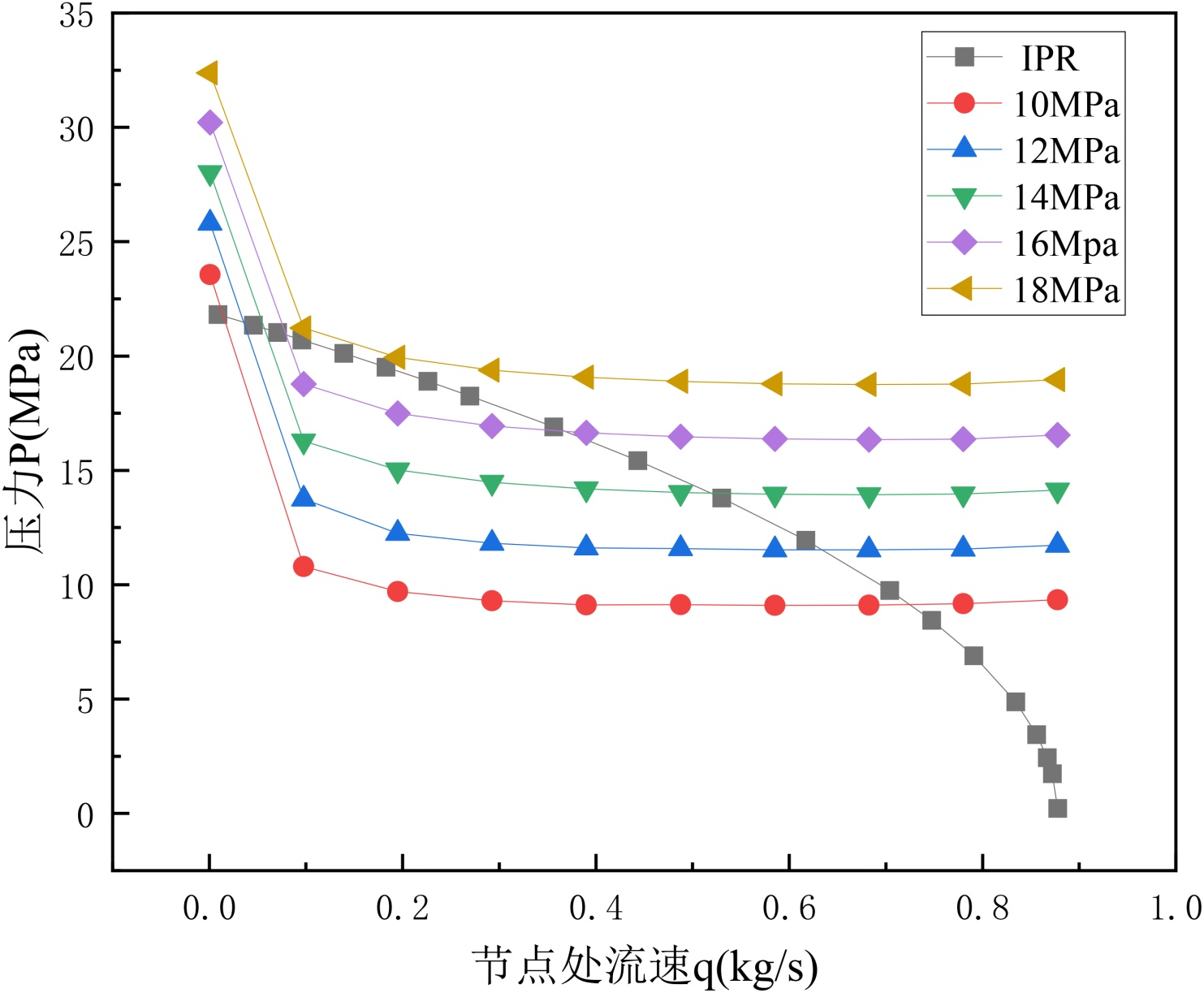
4.2. 出口压力分析

通过对出口压力进行单因素敏感性分析,模拟结果显示,系统协调点随背压下降向高流量、低流压区域迁移。当出口压力降至10 MPa时,系统发生了显著的流态转变,增大了生产压差,从而提升产气速度,使其超过临界携液流量。经图5模拟分析,为保证油管正常携液,井口背压必须控制在10 MPa或以下。

4.3. 气举排水采气参数优化

柱塞气举和连续气举都是气举采油的重要方式,主要用于解决液柱积液导致的气井生产问题,但二者在工作原理、适用井况、操作特点和经济性上存在显著差异。表4中对两种方式进行对比。

本次研究气田为典型的低孔低渗致密砂岩气藏,单井产量低、气液比高,选择柱塞气举工艺可高效、彻底排出井筒积液,显著降低投资和操作成本,避免了连续气举对高压压缩气源的依赖;同时,柱塞气举排液能减少垢蜡沉积,适应边远分散井况。

Figure 5. Analysis results of the outlet pressure system

5. 出口压力系统分析结果

Table 4. Comparison of applicability of two gas lift methods

4. 两种气举方式适应性对比

优点

缺点

适用条件

柱塞气举

投资及操作成本低;能耗低、环保;排液彻底,减少垢蜡沉积;延长自喷期

产量不稳定;易卡柱塞;产量上限低;控制复杂

低产井、高气液比、井深 < 3000 m、直低斜井、少量或无注气、低产高GLR气井

连续气举

产量高且稳定;调节灵活;适用于复杂井况;自动化程度高

注气成本高;需稳定气源;阀门易损;低GLR效率低

中高产井、中低气液比、井深 > 3000 m、大斜度及水平井、需大量高压气、高液量复杂井

4.3.1. 气举注气量

在一定的地面注气压力下,尽管排液量随注气量的增加而提升(同时注气深度随之下移),但其增长幅度和斜率逐渐趋于平缓,注气压力与排液量在一定区间内呈正相关;然而,当达到最大注气深度时,注气压力出现饱和点,再增大注气压力,排液量也不会增加。因此,在进行气举工艺设计时,应尽可能提高其理论排液上限[12]

图6所示,根据注气量敏感性分析结果,当注气量设定为1 × 104 m3/d时,配合地面10 MPa的背压约束,可以有效克服低压致密气井的积液阈值。研究表明[13],该注气量处于举升效率曲线的经济最优区间:若注气量低于此值,气体动能不足以形成稳定的环状流,易导致滑脱损失增大及积液复发;若注气量盲目增大,则会引起油管内摩阻压降急剧上升,从而抬高井底流压并增加压缩机功耗[14]。因此,选定1 × 104 m3/d作为该区块典型井的最佳注气量,既确保了排采的稳定性,又兼顾了开发的经济性。

Figure 6. Sensitivity analysis of injection volume

6. 注气量敏感性分析

4.3.2. 最大注气深度

取下面3个深度的最小值[15]:连续油管的最大下深;目标井井筒所允许的最大下深;地面气源允许的工作压力所能达到的最大下入深度。本次设计X012井深2866 m,通过人工举升设计部分计算出最大注气深度1821.74 m,预测出口产液量245.43 m3/d,结果如图7所示。

Figure 7. Design parameters of air lift drainage

7. 气举排水设计参数

4.3.3. 阀深

在气举系统设计中,除注气点安装工作阀外,通常需配置多级启动阀以优化启动压力梯度[16]。启动阀的下入深度与数量,直接受限于启动前井内液面高度、地面注气系统所提供的启动压力与工作压力,以及所选启动阀的机械类型。在确定气举阀位置时,应遵循“充分利用压缩机工作能力”与“最大化下入深度”的核心原则,力求在减少下井阀数的同时,实现最深点的有效注气。各级气举阀的下入深度设计,需基于压缩机的最大工作压力及管内外最大压差,通过井筒压力平衡关系进行精确计算。

1) 第一个阀的下入深度 L І

L І = h s + p max ρg × 10 5 × d 2 D 2 20 (1)

式中: L І ——第一级阀的安装深度,m;

h s ——施工前井筒中静液面深度,m;

p max ——压缩机的最大工作压力,MPa;

ρ ——井内液体密度,kg/m3

g——重力加速度,m/s2

d——油管内径,m;

D——套管内径,m。

2) 第二个阀下入深度 L ІІ

第二个阀的下入深度可根据套管环空压力及第一个阀的关闭压差来确定。当第二个阀进气时,第一个阀关闭。此时,阀Ⅱ处的环空压力为 p aІІ ,阀Ⅰ处的油压为 p tІ

阀II处压力平衡等式为:

p aІІ = p tІ +ρgΔ h І × 10 5 (2)

Δ h І = 1 ρg ( p aІІ + p tІ )× 10 5 (3)

则:

L ІІ = L І + ( p aІІ p tІ ) ρg × 10 5 (4)

式中: Δ h І ——第Ⅰ级阀进气后,环空液面继续下降的距离,m;

p aІІ ——第Ⅱ级阀处的环空压力,MPa;

p tІ ——第Ⅰ级阀将关闭时,油管内能达到的最小压力,MPa;

L І ——第一级阀的安装深度,m;

L ІІ ——第二级阀的安装深度,m。

同理可得第i个阀的安装深度。

综合上式计算可得:第一级阀深度1248.6 m;第二级阀深度1589.6 m;第三级阀深度1651.7 m。确定气举阀位置,如图8所示。

5. 产能预测

预测结果图9显示,在维持1 × 104 m3/d稳定注气规模的情况下,X区块典型井X012的初期稳产能力预计可达4.6 × 104 m3/d。该预测产量高于积液临界产量阈值,证实了“深点注气 + 系统降压”方案在克服低压致密储层举升瓶颈、缓解井底积液方面的显著优势。此外,敏感性分析表明,该产量水平在储层压力衰竭初期具有较高的稳健性,能够显著延长气井的有效生产周期,为苏里格气田类似低压致密砂岩气藏的开发规模与指标制定提供了量化参考依据。

Figure 8. Depth of the starter valve lowered into the well

8. 启动阀下入深度

Figure 9. Production capacity forecast for well X012

9. X012井产能预测

6. 结论

本研究针对苏里格气田X区块低压致密砂岩气藏,采用数值模拟与节点分析,优化了排水采气制度。结果表明:

1) 在地层压力系数 < 1.0的低压条件下,单纯衰竭式开发易导致积液停产。通过“深点气举 + 地面降压”协同(井口压力降至10 MPa,注气量1 × 104 m3/d,最大注气深度1821.74 m),多级阀设计,可有效降低井底流压,实现IPR与VLP曲线在低压区的稳定相交。

2) 优选38.1 mm小直径油管利于后期携液;出口压力控制在10 MPa以下可显著提升产量。

3) 典型井X012初期稳产能力达4.6 × 104 m3/d,高于临界携液阈值,明显延长生产周期,提高开发效益。

参考文献

[1] 杨扬, 赖雅庭, 张心怡, 等. 含水致密气藏特征、开发风险与有效动用对策——以苏里格气田含水区为例[J]. 中国石油勘探, 2023, 28(6): 121-133.
[2] 王一飞, 庞军刚, 李昊隆, 等. 苏里格气田苏54区块山西组河流相沉积特征[J]. 中外能源, 2025, 30(12): 37-47.
[3] Li, Y.M., Huang, Y.T., Ma, H.W., Chang, C. and Xie, W. (2022) Study on the Development Options of Tight Sandstone Oil Reservoirs and Their Influencing Factors. Frontiers in Energy Research, 10, Article 1007224. [Google Scholar] [CrossRef
[4] 何君. 苏里格气田高含水致密砂岩气藏开发配套技术研究[Z]. 中国石油集团西部钻探工程有限公司苏里格气田分公司, 2023-12-01.
[5] 张震, 刘太勋, 谢风猛, 等. 惠民凹陷临北地区基山砂体油气成藏主控因素研究[J]. 辽宁石油化工大学学报, 2021, 41(3): 48-56.
[6] 赵玉龙, 强贤宇, 张芮菡, 等. 深层-超深层碳酸盐岩油气藏储层特征及渗流特征研究进展[J]. 辽宁石油化工大学学报, 2024, 44(5): 44-53.
[7] 王进博. 鄂尔多斯盆地志丹油田Z240-170井区长4 + 5-长6储层开发方案优化[D]: [硕士学位论文]. 西安: 西北大学, 2019.
[8] Shen, Y., Luan, G., Ge, H., Yang, X., Liu, Q. and Guo, X. (2017) Optimization of Coiled-Tubing Drainage Gas Recovery Technology in Tight Gas Field. Advances in Mechanical Engineering, 9, 168781401771133. [Google Scholar] [CrossRef
[9] 肖志朋, 戴立波, 韩继凡, 等. 基于测井曲线的吐哈丘陵油田低渗砂岩油藏储层裂缝识别方法[J]. 辽宁石油化工大学学报, 2025, 45(2): 46-52.
[10] Tang, Y. and Li, D.Y. (2023) Influences of C, Si and Mn on the Wear Resistance of Coiled Tubing Steel. Wear, 524, Article ID: 204854. [Google Scholar] [CrossRef
[11] 朱建英, 秦鹏, 李建荣, 等. 致密气井生产油管优化设计及应用[C]//西安石油大学, 中国石油大学(华东), 陕西省石油学会. 2021油气田勘探与开发国际会议论文集(中册). 天津: 中海油能源发展股份有限公司工程技术分公司, 2021: 208-214.
[12] Guo, X., Zhang, N. and Kong, B. (2022) Numerical Simulation of Depressurization Production of Natural Gas Hydrate in Different Well Types. Petroleum Science and Technology, 41, 1060-1080. [Google Scholar] [CrossRef
[13] Hernandez, A. (2016) Fundamentals of Gas Lift Engineering. Elsevier.
[14] Belimane, Z., Youcefi, M.R., Benbrik, A. and Hadjadj, A. (2025) A Simplified Integrated Asset Model for Predicting Liquid Loading in Gas Wells with Aquifer Water Influx. Advances in Water Resources, 206, Article ID: 105141. [Google Scholar] [CrossRef
[15] 王帅真. 含水天然气井排水采气工艺优化路径探析[J]. 中国石油和化工标准与质量, 2025, 45(13): 155-157.
[16] 杜洋, 郭新江, 刘通, 等. 川西致密砂岩气田采气工艺实践与效果[J]. 西南石油大学学报(自然科学版), 2022, 44(3): 188-196.