1. 引言
海洋运输系统是一个巨型复杂系统,其演化与港口体系及航线网络的建设规划密切相关。随着海运货物类型日益多样化、运输规模持续增长,航线之间不断交织耦合,逐步形成结构复杂且动态演化的海运网络体系[1]。既是区域贸易组织与供应链协同的关键载体,也是冲击情景下系统韧性与风险扩散的结构基础[2]。作为全球最活跃的制造业与海上贸易集聚区之一,东北亚港口体系在“高密度港口分布–跨国联系紧密–多层级航线组织并存”的背景下,往往同时呈现显著的“枢纽–支线”层级结构与跨模块桥接结构,这使得识别网络的结构骨架、模块化分区以及其对关键节点与关键通道的依赖程度,成为理解区域航运系统效率与脆弱性机制的前提[3]。复杂网络理论为刻画此类“关系地理”提供了统一的结构语言,既有研究从全球尺度出发揭示港口网络的长尾度分布、异质性连通与潜在小世界特征,并讨论不同货类航运活动在网络拓扑与路径组织上的差异,如基于全球货船移动构建网络并开展结构统计与路径分析[3] [4],学者进一步面向集装箱班轮网络与区域港口体系开展中心性、层级性与脆弱性研究,例如对全球集装箱航运网络的空间结构与区域动力进行刻画、并从枢纽性与易损性角度重新审视东北亚港口层级格局。与传统基于统计口径、航线公告或商业OD产品的建模路径相比,AIS提供了从船舶底层行为出发重建港口网络的新数据基础,但其“噪声–缺失–不一致”问题及由此带来的轨迹抖动、重复播报、身份异常与停泊语义不清等偏差,已被系统性总结并推动了多类轨迹预处理与靠港识别方法的发展[5];与此同时,针对港口调用识别与AIS清洗的研究表明,若配港规则与事件压缩缺乏可解释约束,拓扑偏差可能在网络推断阶段被放大[6]。此外,不同网络表征方式,无向和有向、无权和加权、相邻挂靠边以及同航线团簇边等,都会显著影响结构推断与解释结论,尤其在短时间窗内直接采用加权或有向建模时,季节性波动、个别异常航次与临时航线调整可能被放大为“结构差异”,从而削弱对基础连通结构与组织模式的可解释性;相应地,复杂网络研究也强调在建模阶段明确权重与连边含义,并使用稳健统计检验与替代分布比较来避免将“重尾现象”误判为严格幂律。基于上述研究进展与区域尺度研究的现实挑战,本文以2019年7~12月AIS货船轨迹为对象,构建“近邻配港–靠港事件压缩–相邻挂靠配对”的可复现OD提取流程,并在“存在即连边”的二元聚合原则下构建无向无权港口网络,以统一拓扑框架聚焦东北亚航运系统的结构性连通模式;在分析框架上,本文从度分布与长尾检验、小世界性检验(以经典小世界理论与可比指标为参照)、节点中心性格局、社区结构与节点角色识别(基于模块度与快速社区发现算法)、核心–边缘与富俱乐部效应、以及随机失效与目标攻击下的鲁棒性响应等维度开展综合分析,旨在回答东北亚港口网络是否具有稳健的小世界与层级核心结构、枢纽与桥梁节点如何共同塑造跨区域联通、模块化组织如何影响系统耦合通道与潜在脆弱性,并据此为关键港口识别与韧性提升策略提供可量化、可复现的结构证据[7]。
2. 研究区与数据准备
2.1. 研究区概况
注:审图号为GS (2024) 0650号。
Figure 1. Overview map of the Northeast Asia study area
图1. 东北亚研究区概况图
东北亚地区是全球最重要的海上贸易枢纽之一,其港口体系在国际供应链、能源运输和区域经济一体化中扮演关键角色。本研究聚焦的东北亚货运港口网络[8] [9],该区域港口密度极高,2019年全球吞吐量前20大集装箱港口中,东北亚占据7席(上海、宁波舟山、深圳、青岛、釜山、天津、广州),集装箱吞吐量合计超过2.5亿TEU,占全球总量的近30%。东北亚港口网络的形成深受地理邻近性、产业互补性和贸易结构影响。中国作为全球制造业中心,向日韩输出中间品和消费品;日韩则向中国输出高端装备和技术;然而,东北亚航运系统在高效集成的同时伴随结构性脆弱性:联系与承载向少数高等级枢纽港集中,强化了对关键节点与关键通道的路径依赖;跨境政策与监管环境变化及区域外部不确定性可能对航线组织与通道稳定性形成扰动;台风、冬季季风与极端天气事件则对近海短途运输产生显著影响并加剧时空波动。因此,该网络呈现出“高效率–高敏感性”并存的典型特征。
2.2. 数据来源与预处理
本研究基于2019年7~12月船舶自动识别系统(AIS)轨迹数据,以货船为研究对象构建东北亚货运港口航运网络。首先对原始AIS轨迹进行质量控制,剔除缺失经纬度、时间戳异常及不合理跳点记录,并按MMSI对轨迹进行时序排序。随后结合东北亚港口地理位置表,采用近邻配港策略:计算每个AIS点位到港口的球面距离,根据预设的港口缓冲半径判定船舶在港状态;同时引入短时“出海缝”回填机制,以减少边界抖动导致的虚假进出港事件,从而准确提取连续有效的港口挂靠序列。相邻两次有效挂靠事件之间的船舶运动轨迹被定义为一次完整航段,其起讫港口分别对应起始港和到达港,形成起源–目的地(OD)记录[10] [11]。
为确保网络拓扑的准确性和语义可解释性,在OD聚合前对港口名称进行标准化处理,包括:(1) 同名港口、别名及港区拆分的归并(如深圳港各港区统一映射为单一节点);(2) 剔除缺失起讫港口标识、无法匹配有效航段或存在明显异常的记录。该预处理有效降低了港口命名不一致引起的拓扑噪声。随后,对研究期内所有有效航段按港口对进行汇总统计:对任意港口对(i, j),只要研究期内存在至少一次有效航段记录(不区分方向),即判定两港口之间存在实际运营航运联系。最终,基于“存在即连边”的二元规则,构建无向无权(Binary Undirected Unweighted)航运网络。
本研究选择无向无权网络建模,主要基于以下考虑:一是聚焦东北亚区域港口网络的整体拓扑结构与连通模式,而非货物流量的方向性不对称或强度差异;二是研究期仅6个月,航次频次易受季节性、个别船舶异常或临时航线影响,采用加权网络可能引入较大噪声;三是无权网络在刻画小世界特性、聚类系数、度分布、核心–边缘结构及网络鲁棒性等复杂网络核心指标时具有更好的稳定性和可解释性。若需进一步分析流量强度特征,可在后续研究或补充材料中对比加权网络结果。
3. 研究方法
3.1. 东北亚航运网络的构建
基于从AIS轨迹数据中提取的有效OD记录,本文构建东北亚货船航运的无向无权航运网络G = (V, E),用于表征区域内港口之间的运输连通结构及其复杂网络特征。网络构建过程如下:首先,利用2019年7~12月的货船AIS轨迹数据,通过近邻配港策略和靠港事件识别算法,提取每艘船舶的连续有效挂靠序列;相邻两次有效靠港事件配对形成无向航段OD记录,并施加数据清洗与一致性约束。随后,将所有OD记录在港口对层面进行无向合并:只要港口对在研究期内存在至少一次有效航段(不区分方向与次) [12]-[14]。
3.1.1. 网络表示
本文将航运系统抽象为一个无向复杂网络G = (V, E)。其中,节点集V表示港口集合,每个节点
对应一个实际港口。节点标识优先采用数据表中经过标准化处理的中文港口名称(如OriginPort_zh或DestPort_zh),以确保语义一致性和分析结果的可解释性;对于仅提供英文名称或代码标识的记录,则统一采用该标识,并在整个数据处理与分析过程中保持一致。边集E表示港口之间的航运联系。对于任意港口i与j,只要在研究期内二者之间存在至少一次有效航段记录(不区分航行方向,即无论为
还是
,便在网络中添加一条无向边
。在该建模框架下,仅刻画港口之间是否存在实际运营航运联系,而不区分联系的方向与强度,从而突出网络的结构性连通特征。
3.1.2. 边聚合规则
原始AIS处理或中间汇总过程中,同一无向OD对
可能因数据分片、批次合并或船舶类型细分而产生多条记录。为构建简洁的无向简单图,需对重复港口对进行统一处理。在本研究中,仅关注港口之间是否存在航运联系,而不考虑联系的次数或强度。因此,对于任意港口对
,只要在研究期内存在至少一条有效航段记录(无论方向),则在网络中保留一条唯一的无向边
。可定义边存在指示函数为:
其中,
表示港口i与港口j在研究期内存在直接航运联系。该规则确保在网络中每一对港口之间最多仅存在一条无向边,从而避免多重边结构的产生,并保证所得网络为简单图。该处理方式强调港口之间的结构性连通关系,为后续拓扑分析(如度分布、路径尺度、效率与鲁棒性分析)提供一致且规范的网络基础。
3.1.3. 边界条件与说明
为保证网络构建的语义一致性与拓扑可靠性,本文对港口事件识别、航段构建与边集生成设置如下边界条件与处理规则。首先,自环不代表港口之间的跨港运输联系,可能由同一港口连续挂靠、轨迹匹配误差或短时漂移引起;因此对于满足i = j的记录,本文在构图阶段一律剔除,即不纳入边集E。其次,靠港事件由连续在港状态压缩获得,并设置最小停留阈值以排除短时穿越与噪声,从而避免将非典型停靠误识别为有效挂靠。基于挂靠序列,航段OD通过同一船舶相邻两次有效靠港事件A → B配对得到,并进一步施加合理性约束:要求两港口间地理距离不小于10 km,且航段行程时间不超过14天,以剔除因长期滞留、数据缺失或异常识别导致的非典型记录。第三,网络构建严格限定于同一研究时间窗口(2019年7~12月),以确保边的存在性在统计意义上具有一致的时间尺度;若开展多期比较研究,则应对每个时期独立构建网络并保持完全一致的预处理与边生成规则。最后,在边集生成阶段,考虑到同一港口对可能在数据分片、批次合并或中间汇总中出现重复记录,本文采用“存在即连边”的无权聚合原则:只要研究期内港口i与j之间存在至少一次有效航段(不区分方向),则在无向网络中保留一条唯一边
,从而构建得到一个无向的简单图G = (V, E)。通过上述约束与处理,所得网络能够稳定表征研究期内港口之间的结构性连通关系,为后续度分布、路径尺度、效率与鲁棒性等复杂网络分析提供一致且可靠的拓扑基础。
3.2. 整体网络拓扑指标
3.2.1. 度分布与长尾检验
在复杂网络研究中,度和度分布是描述网络结构的最基本的特质。是节点在网络的基本拓扑属性,根据网络中节点的连接数量来判断网络的整体的结构性特征[15] [16]。在航运网络中,节点通常代表港口,边表示港口之间的航线连接,因此节点的度可以反映该港口在网络中的连接广度。其次根据度分布的大小可以在东北亚航运网络中分析节点在网络中的影响力,以此判断出有多少港口属于枢纽港口和边缘港口,最后根据度分布来构建东北亚航运的网络类型,则该节点的度定义为:

为稳健刻画尾部,计算互补累积分布函数(CCDF),其定义为:

其中
表示随机选取一个节点,其度不小于k的概率。CCDF在双对数坐标下对长尾结构具有更好的稳定性,能够有效降低分箱噪声的影响。度分布拟合采用尾部阈值kmin (通过KS距离最小化确定),在k ≥ kmin的样本上分别拟合幂律、截断幂律与对数正态模型;参数通过极大似然估计(MLE)获得,并采用AIC或似然比检验对候选模型进行比较,以避免仅凭log-log图形判断的偏差。
3.2.2. 聚集系数
集聚系数是衡量网络中节点之间的相互连接程度,反映出网络的局部集聚性,更反映出网络的社群结构或小世界特性[17]。在复杂网络中,则表示该节点的实际邻接节点的连边数与所有可能连边数的比值。节点i的局部聚集系数(无向无权)为:
其中Ti为节点i的邻居之间形成的三角形数(等价于邻居子图中的实际连边数)。网络平均聚集系数:
3.2.3. 最短路径长度与网络直径
为刻画航运网络的整体路径尺度与节点间可达性结构,本文采用最短路径长度及网络直径两类指标进行量化。设网络为G = (V, E),其中V为港口节点的集合,E为边集合包含港口间航运联),节点数为
。对于任意两个不同节点vi与vj,定义最短路径长度dij为从vi到vj的最短路径所包含的边数(以跳数计量);若网络为无向图,则有dij = dji。在此基础上,网络的平均最短路径长度L定义为所有节点对最短路径长度的平均值:

考虑到实际航运网络可能存在孤立节点或多个连通分量,本文在计算L时默认基于最大连通子图(Largest Connected Component, LCC)进行:设LCC的节点数为Nc,则将上式中的N替换为Nc,且dij仅在LCC内计算,这样处理可以有效避免因不可达节点对(即分属不同连通分量的节点)而导致的平均路径长度不可定义、数值无穷大或被结构性放大的问题。与平均路径长度互补,网络直径D用于刻画网络在最极端意义下的路径尺度,其定义为网络中任意节点对之间最短路径长度的最大值:

同样在LCC内计算以保证指标可比性。平均最短路径长度L反映网络的整体“紧凑程度”与平均通达成本,数值越小表明网络中港口间通过较少中转即可到达;网络直径D则刻画网络的最大拓扑跨度,用于识别网络中最远节点对的最短连接尺度。二者共同为后续效率指标、鲁棒性实验中“路径伸长”效应的解释提供基础尺度参照。
3.2.4. 全局效率
为综合刻画航运网络在整体尺度上的通达效率与信息流动和传播能力,本文采用全局效率(Global Efficiency)指标。设网络为G = (V, E)其中V为节点集合、E为边集合,节点数为
。对任意两个不同节点vi与vj,记其最短路径长度为dij (以跳数计量)。全局效率定义为所有节点对之间“路径倒数”的平均值:

式中,
表示节点对
的效率贡献:两节点之间最短路径越短,其贡献越大,反映二者在网络结构
中的相对“通达效率”。当节点对不可达时(即不存在连接路径),其最短路径长度可视为无穷,按复杂网络研究的通行处理方式令其效率贡献为0,即
,从而使指标能够同时反映网络连通性与路径尺度
特征。考虑到实际航运网络可能存在孤立节点或多个连通分量,为保证指标的可解释性与可比性,本文在无向网络框架下默认基于最大连通子图(Largest Connected Component, LCC)计算全局效率:设LCC的节点数为Nc,则将公式中的N替换为Nc,且dij仅在LCC内定义。与平均最短路径长度相比,全局效率对短路径变化更加敏感,能够更直观地刻画网络在结构扰动或攻击情景下的“功能性衰减”,因此在后续鲁棒性分析中作为衡量网络功能鲁棒性的核心指标之一。
3.2.5. 小世界特性与无标度特性的统计检验
为系统识别航运网络的典型复杂性结构特征,本文在无向无权网络框架下对该网络进行小世界性质(Small-World Property)与无标度特性(Scale-Free Property)进行统计检验。小世界检验的核心在于同时满足“高聚集–短路径”的结构判据,即真实网络的聚集系数显著高于随机参照网络,同时其平均最短路径长度与随机网络处于同一数量级[18]。设研究期内构建的无向无权网络为G = (V,E),为避免不可达节点对路径统计的影响,路径相关指标均在最大连通子图(LCC)上计算[19]。
当σ > 1时,表明网络相对于随机基线呈现更强的局部聚集性,同时保持相近的路径尺度,从而具有小世界特征。无标度检验方面,本文以无向网络的度分布
为对象,对其尾部行为进行建模与显著性检验。为避免仅凭双对数坐标下近似线性关系判断幂律特征的偏差,本文采用Clauset-Shalizi-Newman的标准流程估计尾部起点kmin,并对幂律与对数正态、指数等备选分布进行似然比比较与显著性检验,从而判断网络是否存在稳健的幂律尾部。
其中α为幂律指数,
为归一化因子。进一步通过参数自助法(Bootstrap)生成合成样本并重复拟合过程,计算p值以检验幂律模型对观测尾部数据的可接受性(通常p ≥ 0.10表示幂律作为候选模型不可拒绝)。在此基础上,本文还将幂律模型与截断幂律和对数正态等替代分布进行似然比比较,以识别更符合尾部数据的统计模型,从而在统计意义上稳健评估网络的重尾结构与潜在无标度特征。
3.3. 局部性评价
在海运网络中节点的评估也是重要的一种方式,本文通过反映节点在其直接邻域或局部结构中的地位,来衡量部分港口在海运网络的重要性[20]。通过度中心性去衡量东北亚地区海运网络中港口连接的广泛程度,航运的越密集,则说明该港口为重要枢纽。计算港口和港口之间的平均距离,可以得到处于中心枢纽的港口,而中介质中心性可以很好地揭示港口的中转和衔接的作用。
3.3.1. 度中心性
度中心性是衡量网络中节点直接连接数量的重要指标,它可以直观反映港口在网络中的直接连通广度。度中心性值越大,说明该港口与更多港口建立了直接航运联系,在拓扑层面具有更强的枢纽性。在东北亚货运航运网络中,港口的度中心性刻画其与其他港口之间直接建立航运连接的能力。其计算公式如下:
其中,
示节点即港口v的度中心性;
为节点v的度,即与v存在直接连边的相邻节点数量;n为网络节点总数,n − 1为除自身外可能与之相连的最大节点数。
3.3.2. 中介质中心性
中介中心性是复杂网络分析中的一种局部结构性指标,用于衡量一个节点在网络中作为其他节点之间最短路径桥梁的能力。它反映出港口在全球或区域航运路径中所处的中转枢纽地位,即该港口在其他港口之间航线连接中的“过渡”频率。
表是的中介质中心性,其计算公式是:

其中:
为港口s到t的最短路径总数,中介中心性衡量的是一个节点在多少对其他节点的最短路径上起到“桥梁”作用。中介中心性越高,表明网络中节点的衔接能力越强,说明它对信息的控制力越强。
3.3.3. 接近中心性
接近中心性是衡量网络中一个节点在整体网络中的接近程度,节点到网络中其他所有节点的平均距离较小,则其接近中心性较高。反映出该节点在网络中具有较高的信息传播效率或较强的到达性。而在航运网络中,接近中心性较高的港口通常可以拥有较短的“跳数”或较低的运输成本下到达其他港口,体现出港口的地理区位优势以及运营优势。其公式如下:

其中
表示节点v的接近中心性,
表示的是节点v到节点u的最短路径长度[21]。
3.3.4. 社区结构分析
为揭示航运网络的模块化组织结构,本文在无向无权网络上采用Louvain算法进行社区划分,通过最大化模块度Q得到每个节点的社区标签集合
[22]。设网络邻接矩阵为
,节点i的度为
,网络总边数为
,则模块度定义为

其中
表示节点i与j属于同一社区(即
),否则
。该指标衡量的是“社区内部实际连边”相对于“在保持度序列不变的随机连边期望”所产生的增益,Q越大表明网络的社区结构越显著。考虑到Louvain属于启发式优化算法,可能受到初始条件影响,本文对算法进行多次重复运行,并选择模块度Q最大的划分结果作为最终社区划分方案。为进一步刻画节点在社区结构中的功能角色,本文在获得社区划分后计算两类经典节点角色指标:其一为社区内度z-score (Within-Module Degree z-Score),用于衡量节点在所属社区内部的枢纽程度,定义为
其中
表示节点i指向同一社区内部节点的连边数,
与
分别为节点i所属社区
内所有节点
的均值与标准差;其二为参与系数,用于衡量节点连接在不同社区间的分散程度,定义为

其中NC为社区总数,
表示节点i与社区s中节点相连的边数,
为节点i的总度。一般而言,
较高的节点可视为社区内部枢纽,而
较高的节点更倾向于跨社区连接并发挥桥接作用;二者结合可用于识别港口网络中的“区域性核心港”与“跨区域通道港”。
3.3.5. 核心–边缘与层级结构
核心–边缘结构与层级组织特征能够体现航运网络的核心,因此采用k-核分解(k-Core Decomposition)对无向无权网络进行层级剥离分析[23]。通过给定整数k,利用递归移除网络中所有度小于k的节点及其相关边,直至剩余子图中每个节点的度均不小于k,该剩余子图即为网络的k-核(k-Core)。该过程从低度节点逐层剥离,可将网络划分为由外向内逐渐紧密的多层结构,从而识别网络中的稳定核心区域。节点i的Coreness (或称壳层指数)定义为其能够归属的最高核阶数:
其中
越大表示节点在更高层级的核心中仍能保留,通常对应更强的结构嵌入性与更高的网络“核心性”。在航运网络语境下,高壳层指数的港口往往处于网络的骨干结构之中,对维持整体连通与通达性具有更重要的拓扑作用。
3.3.6. 富俱乐部效应
在识别核心层级的基础上,检验网络是否存在富俱乐部效应(Rich-Club Phenomenon),即高连接节点是否倾向于彼此更紧密地互联,从而形成高度耦合的“精英子网络”。对给定度阈值k,定义高连接节点集合为
其中
为节点i的度;集合规模为
。这些节点之间实际存在的边数为E > k,则富俱乐部系数定义为:
该系数衡量度大于k的节点诱导子图在可能连边数意义下的连通密度,
越大表示高连接节点之间越趋于紧密互联。然而,富俱乐部系数可能受到原网络度序列的结构性约束影响,即使在随机重连的网络中也可能出现较高的
。因此,为消除度序列带来的偏置,本文构建保持度序列不变的配置模型随机网络作为参照基线,计算其富俱乐部系数
,并据此给出归一化富俱乐部系数:
当
时,表明高连接节点之间的互联强度超过随机基线水平,意味着网络存在显著的富俱乐部结构;反之则说明高连接节点之间的互联密度可由度序列随机性解释。通过k-核分解与富俱乐部检验的结合,本文能够从“层级稳定性”与“核心节点互联倾向”两个互补维度刻画航运网络的核心–边缘结构与骨干组织形态,为后续关于关键港口、结构脆弱性与鲁棒性机制的分析提供结构依据。
3.4. 网络鲁棒性分析
为评估航运网络在结构扰动下的稳定性与功能保持能力,本文设计随机失效(Random Failure)与目标攻击(Targeted Attack)两类节点移除情景,并分别从结构连通性与网络功能两个维度进行量化评估。设无向无权网络为G = (V, E),节点数为
。在鲁棒性实验中,按节点移除比例
逐步移除节点及其关联边,并在每一步基于剩余网络G(p)计算鲁棒性指标,从而得到随扰动强度变化的衰减曲线。随机失效情景下,在每个p水平随机选取pN个节点移除,用以刻画随机故障或非定向扰动对网络的影响;目标攻击情景下,依据节点重要性由高到低移除节点,用以模拟对关键港口的定向攻击。本文考虑三类排序指标:度中心性CD (反映直接连接能力)、介数中心性CB (反映路径中介和控制能力)与接近中心性CC (反映全局通达能力)。为确保实验口径一致,目标攻击在主实验中采用“静态排序(Initial Ranking)”策略,即先在原始网络上计算中心性并固定移除序列,然后按该序列逐步移除节点(该策略对应“攻击者基于初始网络识别关键节点”的情景设定)。在每个移除比例p下,本文从结构与功能两方面评估网络响应。结构鲁棒性以最大连通子图(Largest Connected Component, LCC)的相对规模衡量:设初始网络的最大连通子图节点数为
,移除后剩余网络的最大连通子图节点数为
,则结构鲁棒性指标定义为
其中
越小表示网络连通性受损越严重。功能鲁棒性以全局效率的相对变化衡量:设初始全局效率为E0,扰动后为
,则
其中
基于剩余网络的最短路径计算(不可达节点对按惯例贡献为0),反映扰动下网络平均通达效率的衰减程度。考虑到随机失效及可能存在的随机过程会引入波动,本文对随机失效情景进行蒙特卡罗重复R = 100次,在每个移除比例p下分别得到第r次实验的
与
,并计算样本均值作为鲁棒性曲线的点估计:

同时报告标准差或置信带(例如±1σ)刻画随机波动范围。最终,通过比较不同扰动机制下
与
的衰减速率与临界区间,定量评估航运网络在随机故障与关键节点失效下的结构脆弱性与功能退化特征。
同时为表征随机过程带来的不确定性,本文在给出
与
的均值估计之外,进一步报告相应的离散程度(如标准差)或构建置信带(例如以±1σ表示),以此来刻画不同移除比例p值下鲁棒性响应的统计波动范围。随后,通过对比不同扰动机制(随机失效与基于中心性的目标攻击)下
与
的衰减轨迹、下降斜率及其可能出现的转折区间(即由缓慢衰减转为快速崩塌的区段),从结构连通性与功能通达性两条路径对网络稳定性进行综合判读,从而定量识别航运网络对随机扰动与关键节点失效的敏感性差异,并揭示其结构脆弱性与功能退化的主要机制。
4. 结论
4.1. 度分布
从度分布结果可见,东北亚货运港口网络呈现显著的结构异质性与连通性不均衡。如图1所示PDF (概率密度)中刻画了各离散度值对应的节点占比:节点主要聚集于中低度区间,而高连接度港口数量相对稀少,表明网络连接并非在港口之间均匀展开,而是由少数具备广泛邻接关系的枢纽节点与大量连接范围有限的普通节点共同构成。需要指出的是,由于高阶度值处样本量天然较小,PDF尾部出现离散波动属于度分布统计中的典型现象,并不改变其整体长尾形态判断。进一步地,CCDF (互补累积分布)以P (K ≥ k)的形式对尾部衰减进行更稳健的表征。相较于PDF,CCDF对尾部稀疏性更不敏感,因而更适合用于识别重尾特征与比较衰减速率。结果显示,随着k增大,高度节点比例单调下降,但尾部并未快速消失,指示网络内部存在由高连接度港口支撑的“核心层”结构。与此同时,尾部衰减相对陡峭,结合尾部拟合结果(高kmin与较大的α)可推断该网络并不满足典型尺度无关幂律分布假设;其度分布更可能表现为具有截断效应的长尾或有限重尾形态,这类形态通常与网络规模有限、观测窗口受限以及连接呈层级化组织等因素相关。由此可从结构层面解释该航运系统的核心–边缘组织逻辑:枢纽港口承担关键的连通与汇聚功能,并在跨区域可达性维持中发挥主导作用,而多数港口的网络嵌入程度较低,其对外连通在更大程度上依赖少数核心节点所提供的中介性通道。因此从该特征结构层面反映了该航运系统的核心–边缘组织逻辑:枢纽港口承担关键的连通与汇聚功能,并在跨区域可达性维持中发挥主导作用,而多数港口的网络嵌入程度较低,其对外连通在更大程度上依赖少数核心节点的中介与桥接[24]。
Figure 2. Degree distribution of the Northeast Asian shipping network
图2. 东北亚航运网络度分布图
基于最大连通子图N = 96,E = 1642的路径分析表明,东北亚货运港口网络具有较强的整体可达性与较高的信息和流动传输效率。网络的平均最短路径长度为L = 1.705,表明任意两港口之间通常仅需不足两跳即可建立连接;同时网络直径为4、半径为2,说明即便在最不利的节点对之间,连通距离也受到较强约束,网络整体呈现紧凑的拓扑结构。该网络全局效率(平均效率)为Eglobal = 0.669,反映出在无权最短路径意义下,港口系统能够以较高效率实现跨节点连通与潜在货运信息和物流路径的快速到达;局部效率Elocal = 0.860则表明,港口邻域内部存在较强的冗余连通与替代路径,即局部子结构在节点扰动或边中断情况下仍具备较好的维持能力。因此,较短的路径尺度与较高的全局及局部效率共同指向:东北亚港口网络在结构层面兼具“跨区域快速连通”与“局部稳健冗余”的双重特征。
Figure 3. Small-world validation of the Northeast Asian shipping network
图3. 东北亚航运网络小世界检验图
基于三种独立检验结果,东北亚货运港口网络呈现稳健的小世界结构特征。如图3(a)显示,与同规模ER随机网络对照,实证网络的平均聚类系数显著高于随机基准,而平均最短路径长度与随机网络处于同一数量级,表明网络同时具备“局部高度聚团”与“整体较短路径可达性”的典型小世界模式。如图3(b)所示,小世界性指标σ的重复抽样分布整体稳定且显著大于1,进一步证明上述结论并非由单次随机对照偶然造成。如图3(c)反映了Telesford的ω指标接近0,说明网络结构介于规则格与随机图之间,符合小世界网络的理论定义;同时,基于度序列保持的随机化检验得到的Z统计量为显著正值,说明即便在控制节点度异质性的情况下,实证网络仍表现出显著更强的三角闭合和团簇结构。因此,东北亚港口网络具有典型小世界拓扑:港口间联系在局部层面高度聚集,但在整体层面保持较高的跨区域连通效率。而该航运网络的无标度性质,利用尾部拟合、拟合优度检验与模型对比三种方式进行交叉验证,结果表明将该港口网络与典型的尺度无关幂律网络。
Figure 4. Scale-free assessment of the Northeast Asian shipping network
图4. 东北亚航运网络无标度检验图
如图4(a)表明CCDF与幂律尾部拟合网络度分布具有长尾形态,但尾部衰减较快,且幂律拟合仅在较高阈值kmin之后成立,尾部样本量相对有限,说明“幂律行为”主要局限于分布尾端,如图4(b)反映出KS自助法拟合优度检验未对幂律模型形成强拒绝,但该结果仅说明“幂律在统计上可能可接受”,并不等价于“幂律为最优生成机制”。如图4(c)显示,似然比对比幂律模型相较对数正态或指数等替代分布并未获得显著优势,说明度分布的尾部更可能由多机制共同作用产生,而非由单一的尺度无关增长和优先连接机制主导。综合而言,该网络更适合被刻画为“重尾但受约束”的截断长尾结构:网络存在少量高度连接的枢纽港口,但其连通能力受航线组织、港口层级体系、区域航运制度与样本筛选规则等约束,从而形成较快衰减的尾部形态。
4.2. 节点中心性格局
本文通过计算度中心性、中介质中心性与接近中心性识别枢纽与桥接港口,如图5所示,总体上,度中心性与接近中心性在高值区间呈现较强一致性,说明高度连接的枢纽港往往也具备更高可达性;而中介质中心性更强调跨社区最短路径桥梁作用,因而能识别部分连接数量并非最高,基于最大连通子图(LCC: N = 96, E = 1642)的三类经典中心性指标计算结果显示,东北亚货运港口网络呈现显著的层级化核心结构与功能分化特征。不同中心性指标之间既表现出高度一致性,也揭示出关键节点在结构位置与功能角色上的差异。度中心性结果表明,少数港口在直接连接层面占据压倒性优势。上海、宁波舟山港、天津新港与大连构成网络的第一梯队,其连接数量显著高于其他节点,形成网络的结构核心层。釜山、青岛港、川崎港、厦门、广州、高雄及名古屋港等构成次级枢纽层,承担区域性多向连接功能。这一分布格局说明,东北亚货运网络并非均衡型结构,而是表现出显著的枢纽集中趋势。少数核心港口承担了网络中大部分直接连接任务,呈现出典型的“核心–边缘”层级拓扑。这种结构意味着网络运行效率高度依赖头部节点,同时也可能对结构扰动具有一定脆弱性。接近中心性排名与度中心性排名高度重合,表明直接连接数量。换言之,连接多的港口同时也是到达效率最高的港口。东北亚港口网络的核心并非局部密集连接的偶然聚集,而是在整体拓扑结构中占据系统性“中心”位置。核心港口不仅在局部邻域具有高连通度,同时在全局网络尺度上拥有更短的平均最短路径长度,从而在运输组织、路径选择与物流调度中具有更高的结构效率。但对跨区域联通至关重要的桥接港口。较多的港口在最短路径意义下同样处于网络的几何中心位置。
Figure 5. Centrality profiles giant component): (a) Top nodes by degree centrality; (b) Top nodes by betweenness centrality; (c) Top nodes by closeness centrality; (d) Ranking curves for the three centrality measures
图5. 中心性画像(最大连通子图):(a) 度中心性Top;(b) 中介质中心性Top;(c) 接近中心性Top;(d) 三指标排序曲线
这种“连接性–可达性一致”的结构特征强化了网络的等级集中性,也意味着网络运行效率在空间上呈现显著的核心化集聚趋势。中介质中心性分析进一步揭示了网络中“路径控制型节点”的分布特征。宁波舟山港、大连、上海、天津新港、广州、厦门及釜山在中介质中心性排名中处于领先位置,说明其在跨区域最短路径组织中承担关键中转功能。同时,深圳与香港虽未进入度中心性前列,但在中介质中心性中表现突出,显示其在不同区域团簇之间发挥“走廊型桥梁”作用。这类节点并非依靠广泛直接连接获取优势,而是通过连接不同结构板块、缩短跨群体路径距离而获得较高的结构控制力。从拓扑意义上看,这表明东北亚港口网络并非单一核心主导结构,而是由若干高连通枢纽与少数关键桥梁节点共同构成的“多核心–多通道”复合体系。桥梁节点的存在强化了网络的跨区域整合能力,但也提高了网络在路径层面的结构依赖性。Top50排序曲线显示,度中心性与接近中心性呈现相对平缓的梯度下降,反映出核心层与次核心层之间存在连续过渡;而中介质中心性在头部节点之后快速衰减,说明路径控制权高度集中于少数关键港口。
4.3. 社区结构与港口角色
基于加权Louvain社区划分结果,东北亚货运港口网络在最大连通子图尺度上呈现显著的模块化组织特征,模块度达到Q = 0.487,表明网络的连边权重在社区内部具有更强的聚集性,港口之间的联系并非随机均匀分布,而是围绕若干稳定的航运子系统形成相对清晰的结构分区[6]。“本文所称‘跨社区关键连接节点和结构性中介节点’为网络科学术语,仅用于描述节点在最短路径与跨模块连通中的结构位置,不涉及任何政治地位含义。”
(1) 社区规模显示“核心社区主导 + 多社区并存”的层级格局。
从社区规模分布如图6(a)所示,网络被划分为4个社区,其中至少存在一个规模明显更大的主导社区,同时其他社区规模相对较小但仍占据可观比例。这种规模异质性意味着网络并非由多个等规模模块拼接而成,而更接近“主导航运子系统–次级子系统协同”的结构形态,反映出区域航运联系的集中化与分层化特征。
Figure 6. Community structure and port role identification results (Louvain communities and schematic role classification)
图6. 社区结构与港口角色识别结果图(Louvain社区 + 角色分类示意)
(2) z-P平面揭示:多数港口为社区内部节点,少数节点承担跨社区耦合功能。
港口角色散点图如图6(b)所示,大多数节点的模块内度z接近或略低于0,且参与系数P多处于中低区间,表明网络主体由“社区内部连接型/外围型”港口构成,其航运联系主要嵌入在各自社区内部。与此同时,图中存在少量P较高的节点,说明这些港口具有更强的跨社区连边占比,发挥连接不同社区的“桥梁和耦合”作用;另有少量zzz较高的节点(上部区域)体现为社区内枢纽,其在社区内部的连接优势更为突出。总体而言,网络呈现出清晰的功能分工:社区内枢纽负责强化模块内部凝聚,跨社区连接节点负责实现模块间整合。
(3) 社区间联系强度呈现“内部强、外部弱、少数通道显著”的结构模式。
社区间联系强度热力图如图6(c)所示表明,对角线社区内部整体更高,说明社区内部的累积联系强度显著强于社区之间,进一步支撑模块度较高的结论。同时,部分非对角单元呈现相对更高的联系强度,意味着网络的跨社区联系并非均匀发生,而是通过有限的“社区对–通道”进行集中耦合。这种结构暗示跨区域以及跨子系统的货运组织可能依赖少数关键连接通道,从而在效率提升的同时也引入一定的通道依赖性。
通过社区分化反映出港口网络表现为典型的“模块化分区–枢纽耦合”复合结构;网络内部存在清晰的社区子系统(Q ≈ 0.49),社区规模具有层级差异,港口角色以社区内节点为主、跨社区桥梁节点为辅,社区之间通过少数较强通道实现整合。这一结构为后续的鲁棒性分析与关键节点识别提供了明确方向:网络整体连通与跨社区协同更可能对高参与系数(P高)的桥梁型港口与强通道社区对表现出更高敏感性。
4.4. 核心–边缘与层级结构
Figure 7. Core-periphery and hierarchical structure diagnostics: k-core decomposition, the C(k)-k relationship, and the normalized rich-club coefficient (φ_norm)
图7. 核心–边缘与层级结构检验图:k-核剥离、C(k)-k关系与富俱乐部效应(φ_norm)
采用k-core分解与核心–边缘权重分解对东北亚货运港口网络的核心结构进行识别与量化,结果表明该网络具有显著的核心–边缘组织形态[25]。如图7所示k-core剥离显示网络存在凝聚度较高的核层骨架,最大核阶达到kmax = 34,且在最高核阶下仍有51个节点保留于最大k核中,说明网络核心并非由极少数枢纽构成的“微型核心”,而是形成了规模可观、结构紧密的高密度连接层;同时,剥离曲线在高k区间出现明显收缩,反映出核心层与非核心层之间具有清晰的层级边界与更强的结构凝聚性。进一步以最大k核定义核心层并对边权进行分解可见,网络运输强度呈现高度集中:核心内部连边贡献66.45%的总权重,核心–边缘连边贡献26.08%,而边缘内部仅占7.47%,表明区域航运联系的主要承载与高强度互动集中发生在核心港口群内部,跨社区和跨层级的关键运输通道主要由核心向外辐射实现,边缘港口之间的直接强联系相对有限。
反映出该网络呈现典型的“核心主导–边缘依附”的结构格局,核心层在拓扑连通与运输负载两个维度上均具有系统性主导地位,意味着网络整体运行效率与骨干运输能力对核心层内部互联具有较强依赖性,这一发现为后续关键节点识别与网络韧性评估提供了明确的结构依据。
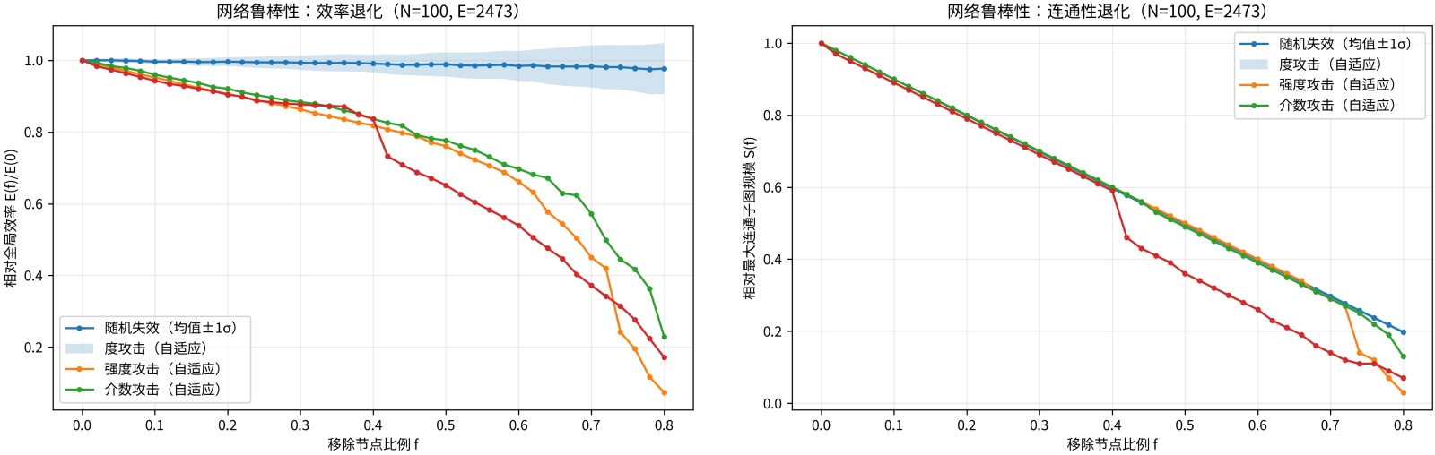
4.5. 鲁棒性检验
鲁棒性检验比较随机失效与目标攻击(按度与中介中心性排序)对网络连通性与效率的影响如图8所示。在随机失效下,S/S0与E/E0随移除比例增加相对平缓下降;在目标攻击下,指标在较小移除比例下即快速衰减,表明网络对关键枢纽与桥接节点高度依赖。该发现提示提升关键港口的替代连接与跨社区冗余路径,是增强系统抗冲击能力的重要方向[26] [27]。
Figure 8. Robustness test results (giant component): (A) Connectivity S/S0S/S_0S/S0; (B) Efficiency E/E0E/E_0E/E0
图8. 鲁棒性检验结果(最大连通子图):(A) 连通性S/S0;(B) 效率E/E0
鲁棒性检验表明,该航运网络对随机失效具有较强韧性,但对以关键港口为目标的针对性攻击表现出显著脆弱性。具体而言,在随机移除节点条件下,最大连通子图规模S(f)随移除比例f呈近似线性、平缓下降,直至f = 0.5左右才降至约0.5,而即使在f = 0.8时仍保留约0.198的相对连通规模;同时,网络的相对全局效率在随机失效下始终维持在较高水平(f = 0.80时仍约0.977),说明随机扰动主要削弱外围节点的连通,而网络内部的高密度骨干仍能维持较高的路径可达性与信息传播效率。相较之下,针对性移除关键节点会显著加速结构退化:在“自适应”攻击(每一步重新计算指标并移除当前最关键节点)下,网络连通性和效率均出现更快、更剧烈的衰减,其中介数攻击在中等移除比例区间最能迅速割裂网络(例如f ≈ 0.42时S(f)已低于0.5,且在f = 0.60时仅约0.26),其连通性综合破坏程度(0~0.8区间AUC)最低(AUC_LCC ≈ 0.421),表明网络对承担跨团簇“桥梁”功能的枢纽港口高度敏感;在效率退化方面,三类目标攻击均显著劣于随机失效,且整体上呈现“介数攻击最强、度攻击次之、强度攻击相对较弱”的破坏序列(对应AUC_效率 ≈ 0.569 < 0.594 < 0.630),在高扰动水平下效率降幅尤为显著(f = 0.80时度、强度、介数攻击的相对效率分别约0.074、0.229、0.172)。总体而言,鲁棒性曲线清晰揭示了该网络“对随机失效鲁棒、对关键枢纽脆弱”的典型特征,说明网络运行的连通维系与高效可达性在很大程度上依赖少数具备高介数或高连接能力的关键港口与骨干通道,这一结果也为后续的关键节点保护、冗余通道构建与韧性提升策略提供了直接的量化依据。
5. 结论与讨论
本文基于AIS货船航段数据,运用复杂网络理论构建东北亚港口航运的无向无权网络,从拓扑结构、节点重要性、模块化组织与扰动响应等维度系统刻画其结构复杂性与潜在脆弱机制。研究表明,网络呈现显著的结构异质性与长尾度分布,但尾部衰减相对较快,经模型比较更接近截断重尾/有限重尾而非典型的严格幂律分布,反映出在港口服务能力上限、航线组织层级与运输成本等因素共同作用下,超级枢纽的连接扩张存在明显的饱和效应;与此同时,网络具有稳健的小世界特性(平均最短路径L = 1.705、直径D = 4、全局效率0.669、局部效率0.860),体现出在较低中转成本下实现高效跨区域连通并在局部保持一定冗余的结构优势。中心性分析进一步揭示层级化核心结构:度中心性与接近中心性高度耦合,少数关键枢纽港(如上海、宁波舟山、大连、釜山等)在连接广度与全局可达性上同步占优;介数中心性则突出若干跨社区关键连接节点(结构性中介节点)在跨模块最短路径组织中的控制作用,表明该系统并非单核心放射结构,而是由多枢纽与少数关键通道共同支撑的“多核心–多通道”复合体系。Louvain社区划分获得较高模块度(Q = 0.487),显示清晰的地理–功能分区与选择性跨模块耦合;k-core分解确认存在高阶凝聚骨架(k_max = 34,核心层保留51节点),且联系承载在强度层面呈现向拓扑核心显著集聚的格局(核心内部贡献66.45%)。鲁棒性检验表明网络对随机失效具有较强韧性,但对基于度或介数中心性的目标移除高度敏感,尤其当结构性中介节点失效时,连通性与效率会出现更快退化,呈现典型的“随机扰动鲁棒、关键节点敏感”的异质网络响应特征。总体而言,本研究从复杂网络视角证实东北亚港口航运系统兼具小世界高效性、模块化分区与层级核心依赖的双重属性,为关键枢纽识别、结构风险评估与区域协同优化提供了可量化依据;在应用层面,网络韧性提升应将重心置于核心骨架的冗余与替代连接能力构建、跨模块通道的多路径化与通道冗余提升,以及区域港口间协同机制的完善,以降低对少数关键节点与关键通道的路径依赖并增强系统抗扰动能力。考虑到本文研究期窗口有限且以无权拓扑为主,后续工作可在保持“结构骨架”可解释性的基础上,引入港口腹地数据包和航运频次数据来构建有向加权网络表征通达强度、以船舶尺度指标近似运力权重、或以靠离港吃水变化的稳健统计量表征载荷变化代理,并与无权网络在关键港口识别与中心性排序上开展一致性对照,表现港口的相关性与差异性诊断,同时将社区结构与结构性中介节点的解释从“拓扑描述”进一步推进到“机制阐释”,结合区域经贸联系格局、港口腹地产业结构与航线组织特征,以更完整地揭示网络韧性的动态机制与可干预路径。
NOTES
*通讯作者。