贵阳龙洞堡国际机场双跑道RVR对比分析
Comparative Analysis of Runway Visual Range on Dual Runways at Guiyang Longdongbao International Airport
DOI: 10.12677/ojns.2026.142027, PDF, HTML, XML,   
作者: 李 云, 喻 晗:中国民用航空西南地区空中交通管理局贵州分局气象台,贵州 贵阳
关键词: 跑道视程(RVR)对比分析贵阳龙洞堡国际机场天气现象Runway Visual Range (RVR) Comparative Analysis Guiyang Longdongbao International Airport Weather Phenomena
摘要: 本文选取贵阳龙洞堡国际机场(以下统称贵阳机场) 2022年1月至2024年6月双跑道三个端共六个测点的跑道视程(RVR)观测数据,通过统计分析方法,系统对比研究了不同跑道、不同端头RVR值的时空分布特征、差异及相关性,并分析了不同天气现象对RVR的影响。结果表明:1) RVR低值概率东跑道高于西跑道、北头高于南头。2) 19 L测点的RVR低值概率独立性极高,其余各测点与19 L相关性较高;从RVR距平的逐月及逐时分布看,19 L测点平均态都为稳定的负偏差,且极端值波动也较平缓,其余测点RVR受影响程度偏小,受影响概率较为随机。3) 各测点基本表现为“同高同低”,但RVR低值逐月变化规律不明显,逐时分布表现为夜间至凌晨多,午后至傍晚少,且分布的峰值时段随着关键阈值的降低而推后。4) 在影响RVR的天气现象中,雾现象频率最高、程度最大,频率和程度从机场东北向西南方向逐渐减小;静止锋天气影响频率次之,程度则再次,且局地性较强;短时强降水天气影响频率很低,影响程度不大且随机性较强;降雪天气影响频率最低,但影响程度仅次于雾现象,且对东跑道影响显著大于西跑道。本研究结果可为贵阳机场在低能见度天气下的跑道运行选择与管制指挥提供科学参考。
Abstract: This paper selects runway visual range (RVR) observation data from six measuring points at three ends of the dual runways at Guiyang Longdongbao International Airport (hereinafter referred to as Guiyang Airport) from January 2022 to June 2024. Using statistical analysis, it systematically compares the spatiotemporal distribution, differences and correlations of RVR values across runways and ends, and analyzes the impacts of various weather phenomena on RVR. The results show that: 1) The probability of low RVR is higher on the east runway than the west runway, and higher at the north ends than the south ends. 2) Measuring point 19 L has extremely high independence in low RVR probability, while other points are highly correlated with it. From the monthly and hourly RVR anomaly distributions, 19 L maintains a stable negative mean deviation with gentle extreme fluctuations; other points are less affected, with random impact probability. 3) All points generally show a synchronous “high-low together” trend, but the monthly variation of low RVR is not obvious. Hourly distribution shows more low RVR from night to early morning and less from afternoon to evening, with the peak period delaying as the critical threshold decreases. 4) Among weather phenomena affecting RVR, fog has the highest frequency and greatest impact, both decreasing from northeast to southwest of the airport. Quasi-stationary front follows in frequency with moderate, local impact. Short-duration heavy rainfall has very low, slight and random impact. Snowfall has the lowest frequency but the second-greatest impact, affecting the east runway significantly more than the west. The findings provide a scientific reference for runway operation selection and air traffic control at Guiyang Airport under low-visibility conditions.
文章引用:李云, 喻晗. 贵阳龙洞堡国际机场双跑道RVR对比分析[J]. 自然科学, 2026, 14(2): 238-247. https://doi.org/10.12677/ojns.2026.142027

1. 贵阳机场双跑道概况以及RVR测量设备配置情况

贵阳机场位于贵州省贵阳市东郊,距市中心约11 km,为4E级民用国际机场。基准点坐标为北纬26˚32'、东经106˚48',机场标高1137.1 m,目前拥有东、西两条近距跑道,其中,西跑道(19 R/01L)长3500 m、宽45 m,东跑道(19 L/01R)长4000 m、宽45 m,两跑道中心线间距365 m。2020年11月东跑道启用、西跑道施工,2021年12月机场进入双跑道运行时代。

贵阳机场东、西跑道共配置有10套RVR测量仪器,其中,西跑道北头19 R、中间端MID1和南头01 L均配备一套大气透射仪(LT31)和一套前向散射仪(19 R、MID1和01 L分别为:FS11P,FD12P,FS11)。东跑道北头19 L配备一套大气透射仪(TR30LED)和一套前向散射仪(VPF750),中间端MID2和南头01 R各自配备一套大气透射仪(TR30LED),符合民航法规标准[1] [2]

2. 资料选取

本文选取贵阳机场两条跑道3个端共6个RVR测点的自动气象观测系统测量的RVR值作为研究对象,数据时间范围为2022年1月1日至2024年6月30日,时间间隔为1 min,故总样本数为1,313,280组。考虑到对实际运行影响较大的是RVR < 1500 m的时次,经筛选并排除缺失数据后,任一测点的RVR < 1500 m的样本数为18,966组。此外,由于各测点测量仪器不同导致RVR数据上限不一致,因此本文在进行数值方面的统计时,将RVR > 3200 m的数值全部替换为3200 m,以保证各测点统计数据的可比性[3]

3. 统计分析

3.1. 各测点低于关键阈值的频率

对贵阳机场任一测点RVR值低于关键阈值的样本数进行统计[4],其中任一测点RVR值 < 1500 m、<550 m以及<300 m的样本数分别为18,966、8879和4698组。再对各测点低于上述阈值的样本进行统计后,计算了当任一测点低于关键阈值的同时各测点低于该值的频率,可以明显看出,贵阳机场东跑道三个测点的RVR出现低值的频率几乎全部高于对应的西跑道测点(01端RVR值 < 1500 m的情况例外)。特别是19 L测点的各级频率均显著高于其他测点,而01 L测点的频率最小。说明对于跑道同一端来说,东跑道出现低RVR值的概率大于西跑道,概率最大的为19 L,最小的为01 L。如此的数据分布情况符合贵阳机场天气历史规律和地理环境特征——由于东跑道北端相对西跑道北端向北错开500米,其外沿即是洼地且靠近水体,近地面水汽及蒸发条件远优于西跑道及其以西的大范围水泥硬化地表。此外,贵阳机场主要盛行风向为北东北[5],影响能见度和RVR的天气现象大多从北向南逐渐影响跑道各端。

3.2. 19端、中间端以及01端RVR值差异性分析

3.2.1. 平均值与标准差

Figure 1. Mean and standard deviation of RVR at each measuring point when RVR < 1500 m at any measuring point

1. 当任一测点RVR < 1500 m时各测点RVR平均值与标准差

图1可以发现,东、西跑道同一端RVR值存在明显差异,其中,差异最大的是19端,最小的是01端。除01端以外,西跑道各测点的RVR平均值高于对应的东跑道测点。此外,两条跑道19端、中间端、01端的RVR平均值自北向南依次增大,其中19 L测点的RVR平均值以突出的差距成为最低。对于标准差,各测点数据的标准差均较大,同端两个测点比较起来,中间端、01端RVR数据的离散程度都很接近,而19 L较19 R明显数据更为集中。

3.2.2. 距平逐月、逐时分布

图2所示,各测点的RVR距平分析可以从平均态(中位数、平均值)和极端值(最大值、最小值)两个方面进行论述,以表征各测点间RVR差异的逐月变化。

Figure 2. Boxplots of monthly (left) and hourly (right) statistical analysis of RVR anomalies at each measuring point

2. 各测点RVR距平逐月(左)、逐时(右)统计分析箱型图

先以逐月尺度分析。19 L测点总体RVR受影响程度最高,从平均态来看,几乎全部月份距平的中位数和平均值均为负数,说明19 L的RVR值几乎总是低于同一时刻6个测点的平均值,甚至每年5月起更是出现连续数月大幅低于平均值的现象。这是因为贵阳机场夏季是每年RVR受影响较小的时段,整体RVR值均较高。在夏季雨后放晴的凌晨常出现轻雾、部分雾,因地形原因,19 L测点受影响最大。从极端值来看,19 L测点的RVR距平波动较小,最大值基本维持在1500 m左右,偶有起伏。最小值长时间稳定在−2000 m以下。反映出19 L测点的RVR出现极端值较为频繁,且相较于其他5个测点独立性较高。19 R和MID2测点受影响程度次之,二者的平均值和标准差接近(图1),在图4中更是可以明显看出无论是平均态、极端值,还是随时间变化趋势,都表现出相当高的一致性。总体来说,此2测点的RVR距平的平均态一直在0线上下波动且幅度较小,但极端值较为跳跃,反映出二者受影响程度不大,但时间随机性较高。对于南端的01 L和01 R测点,二者的RVR距平基本稳定在0线以上且正偏差不大,随时间变化趋势也大致相同。此外,二者的箱体区间基本都很小,说明其RVR值较为稳定且分布集中,整体受影响程度较低。MID1测点平均态大致位于0线以上,但相较于01端两个测点,正偏差幅度略小且波动较大,极端值随时间变化的起伏也较大,说明该测点整体受影响程度较低但随机性更明显。

再从逐时尺度分析。从平均态来看,01 L和01 R的RVR距平在凌晨到上午(00~10时)均能维持在0线以上,数值相当稳定且波动很小,随时间变化趋势也基本一致。但自11时起二者出现明显差异,至17时01 L的RVR距平持续走低,而01 R的RVR则持续在0线之上波动。之后前者从18时起谷底反弹,后者则转为小幅度的负偏差。因此可以看出,01端在凌晨至早上RVR值较稳定且总处于高位。白天时段01 L更容易受天气影响,傍晚之后受影响程度降低,01 R则刚好相反。MID1和MID2的RVR距平的平均态差异性更明显,二者整体波动不大,但在整个夜间(18~08时) MID2均低于平均值,MID1则高于平均值。而白天则是MID2高于平均值,MID1明显降低。北头19 L继续表现出独一档的负偏差,几乎全天(除16、17时外)都低于0线且非常稳定,19 R则与MID1表现出较高的相似性。从极端值来看,6个测点均在夜间至早上出现较大的极值,在白天表现出一定的收束,但各自收束幅度并不相同——其中19 L的距平值十分稳定且在6个测点中最小值较低、最大值较小,19 R同时也表现出一定的相似性。MID1和MID2在白天的极值范围明显缩小,特别是MID2测点。01 L极值范围变化不甚明显,01 R与之类似,仅在11~14时段收束较明显,说明01端RVR全天受影响程度均不大。

上述结论可知,影响贵阳机场RVR数值的天气过程局地性和方向性较明显,东跑道受影响程度显著高于西跑道,跑道北端受影响程度显著高于南端。此外,其他端受到显著影响时,19 L基本都会受到同等程度甚至更严重的影响。

3.3. 各测点同时低于关键阈值的同步性分析

统计当任一测点RVR值低于关键阈值时,其他各测点同时低于关键阈值的同步性,如表1所示,可以得出以下结论:1) 跑道同端(19 L与19 R、MID1与MID2、01 L与01 R)之间并没有表现出明显的同步性,特别是在RVR数据低于1500米和300米时,各端互相之间同步性均不高,相互参考性较低。当RVR数据低于550米时,各端之间同步性显著升高;2) 19 L作为低RVR值出现频率最高的一个测点,其数据具有突出的独立性,当19 L低于关键阈值时,其余各测点低于相同阈值的概率非常低,其中与19 L同步性最高的是19 R,最低的是01 L。3) 所有测点均与19 L同步性较高,即当其余测点的RVR低于关键阈值时,19 L也低于相同阈值的概率较大;4) MID1与19 R以及01 R与MID2的同步性也较高。

Table 1. Synchronization analysis of each measuring point falling below the critical threshold simultaneously

1. 各测点同时低于关键阈值的同步性分析

低于关键值

19 R

MID1

01 L

19 L

MID2

01 R

19 R

1500

\

70.26%

64.34%

89.20%

73.13%

59.17%

550

\

75.28%

70.79%

95.58%

83.11%

70.88%

300

\

68.81%

56.79%

92.77%

71.54%

54.86%

MID1

1500

90.64%

\

80.22%

87.36%

84.39%

72.70%

550

94.48%

\

85.59%

96.08%

94.50%

85.75%

300

85.47%

\

71.30%

91.42%

85.06%

71.00%

01 L

1500

81.56%

78.82%

\

79.48%

74.79%

74.71%

550

92.00%

88.64%

\

94.19%

91.36%

91.70%

300

84.90%

85.81%

\

91.92%

85.46%

81.25%

19 L

1500

63.33%

48.08%

44.52%

\

59.22%

46.32%

550

64.34%

51.54%

48.78%

\

62.05%

51.54%

300

46.72%

37.07%

30.97%

\

47.60%

34.63%

MID2

1500

77.10%

68.97%

62.21%

87.94%

\

66.33%

550

82.83%

75.04%

70.06%

91.87%

\

74.00%

300

66.13%

63.31%

52.84%

87.36%

\

64.96%

01 R

1500

83.48%

79.50%

83.15%

92.04%

88.75%

\

550

87.51%

84.36%

87.09%

94.52%

91.68%

\

300

71.39%

74.39%

70.72%

89.49%

91.44%

\

3.4. 各测点低于关键阈值的时间特性

图3,整体上看,贵阳机场6个测点RVR低于各级阈值累计次数的逐月数值在各月的大小趋势是较为接近的,即基本表现出“同高同低”,只是各端的累计次数大小有所区别。但其随时间变化的规律不明显,不同年的对应月份数值波动均较明显,仅能表现出大致的趋势,即秋冬季节低RVR值频率高于春夏季节。这是由于近年来全球气候变化加剧,叠加贵阳机场自身复杂环流、地理特性,导致雾和静止锋天气现象发生的时间波动性较大,在两年半的时段内表现出一定的随机性。若能进行更长时间段的统计,或可实现更高的数据均匀性,取得更有代表性的分析结果。

Figure 3. Monthly distribution of cumulative times when RVR at each measuring point is below the critical threshold

3. 各测点RVR低于关键阈值累积次数的逐月分布

图4给出了贵阳机场6个RVR测点低于各级阈值累积次数的逐时变化情况。可以发现,低于各级阈值的RVR次数的变化趋势基本一致,一天中夜间至早晨出现的次数多,午后至傍晚出现的次数很少,累积次数从19时~次日00时开始有小波动,01时之后迅速增长,09时之后迅速下降。分别来看,由6个测点RVR < 1500 m累积次数的逐时分布情况可知,低于1500 m的跑道视程在一天中任意时段均可能出现,夜间至凌晨出现的次数最多,尤其在01时至09时出现最为频繁。将6个测点RVR < 1500 m出现的次数相加,可以发现04时出现的总次数最多,为7482次,05时次之,为7422次。14到18时出现次数最少,均小于200次。此外,分析各个RVR测点可知,6个测点RVR < 1500 m累积次数的峰值均出现在04和05时,其中19 L在05时出现1959次,为各个测点最大值。次多为19 R在04时出现的1390次,以及MID2在05时出现1288次。RVR < 1500 m累积次数的峰值最小为01 R在04时出现的890次以及01 L在05时出现的968次。说明贵阳机场东、西两条跑道19端出现RVR < 1500 m的概率最大,其次是中间端,01端概率最小。而6个测点RVR < 550 m的逐时分布变化规律较为一致,主要集中在02至09时,午后至傍晚(11时至18时)几乎不会出现。在06到08时出现高峰,其中07时出现总次数最多,为4941次。19 L的RVR < 550米的累积次数在各个时段均是最多的,峰值为1236,出现在06时。其次为MID2和19 R,出现次数分别为899和821。01 L和01 R出现次数最少。RVR < 300 m的累积次数明显减少,主要集中在02~09时,其中出现总次数又以08时为最多,为2710次。午后至傍晚(11至18时)出现次数为0。在所有测点中,RVR < 300 m的累积次数在各个时段出现最多的仍然是19L,峰值出现在08时,为711次。其次是19 R的536次。最小依然为01 R和01 L。

Figure 4. Hourly distribution of cumulative times when RVR at each measuring point is below the critical threshold

4. 各测点RVR低于关键阈值累积次数的逐时分布

综上可知:1) 贵阳机场6个测点RVR小于关键阈值的累积次数均表现为夜间至凌晨时段多,午后至傍晚少的特征;2) 贵阳机场6个测点RVR < 300 m的累积次数较RVR < 1500 m和RVR < 550 m有明显减少的趋势。RVR < 1500 m、RVR < 550 m以及RVR < 300 m出现总次数的峰值时段分别为04时、07时和08时,即峰值时段随着关键阈值的降低而推后;3) 19 L的RVR小于关键阈值的次数在各个时段均是最多的,MID2和19 R次之,01 L和01 R最少。即贵阳机场东、西两条跑道19端出现低RVR值的概率最大,其次是中间段,01端概率最小。

3.5. 按过程分类统计分析

对2022年1月至2024年6月贵阳机场任一测点RVR < 1500 m的时次进行研究,总样本数为18,966 min。结合观测簿纪要栏、机场天气报告记录,将导致贵阳机场出现低RVR值的天气现象分为雾现象(包括雾、轻雾和部分雾)、静止锋天气(多为小雨伴轻雾)、短时强降水和降雪四种(如图5),其出现时间分别为:10,220、7542、697和507 min,其中雾和静止锋天气出现频率最大,分别达到54%和40%。

Figure 5. Boxplots of RVR values at each measuring point during fog events (a) quasi‑stationary front weather conditions (b) short-duration heavy rainfall (c) and snowfall events (d)

5. 出现雾现象(a)、静止锋天气(b)、短时强降水(c)以及降雪(d)时,各测点的RVR值箱型图

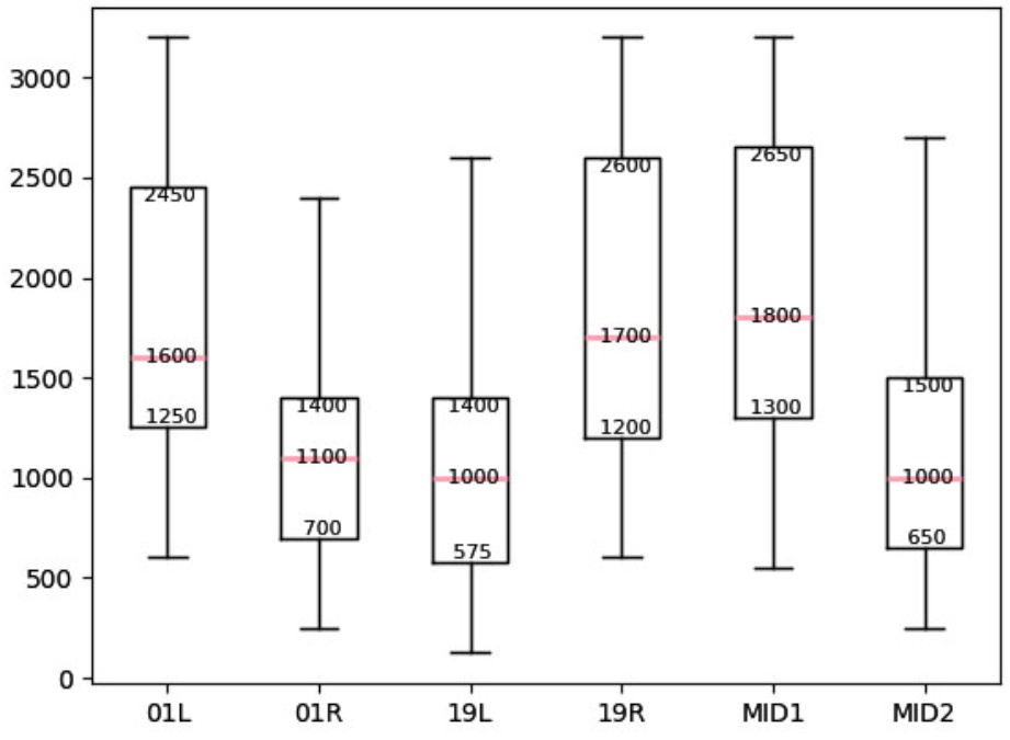
雾现象是对贵阳机场RVR值影响最大的天气现象,2022年1月至2024年6月,机场共出现60次雾现象,其中,雾(主导能见度 < 1000 m)出现24次,轻雾、部分雾出现36次。一般持续时间较长,平均每个过程影响时间为170 min,最长为2022年1月17至18日的辐射雾过程,影响647 min。如图5(a),出现雾现象时,6个测点的RVR中位数均 ≤ 1000 m,属于四种天气现象中,RVR中位数的最低值。再分析各测点的RVR值中位数,19 L最低,为350m,01L最高,为1000 m,说明19 L受雾现象影响最大,01 L最小。从箱体区间来看,01 L、01 R、MID1箱体极大,19 L、MID2、19 R箱体显著较小,表明出现雾现象时,测点越偏东、偏北,RVR值受雾的影响越大。测点越偏西、偏南,则影响越小。另外,雾现象影响范围大,可造成机场所有测点的RVR值同时降低,除MID1以外,其余各测点均出现过RVR值低至25 m的情况。

贵阳机场秋冬季节低云、低能见度天气与云贵准静止锋相对于机场的距离有关,静止锋离机场越近,降水越稠密,能见度越差,反之,能见度则越好。2022年1月至2024年6月,因静止锋天气导致任一测点RVR < 1500 m的天气过程次数高达107次,多出现在冬季(每年12月至次年2月),单次过程影响时间以及影响程度都不及雾现象,影响时间最长的过程为2023年2月16日至17日,持续562 min,RVR最低100 m。如图5(b),静止锋天气下,所有测点RVR中位数均高于1000 m,最低为19 L,中位数1200 m。01端测点箱体区间最大,其次是中间端,19端最小,其中又以19 L的RVR值最为集中。从各个测点的极小值来看,极小值最大是MID1测点的400 m,最小为19 L测点的100 m。反映出静止锋天气对贵阳机场RVR值影响并不大且局地性较强。

2022年1月至2024年6月,贵阳机场出现短时强降水并影响RVR值的次数共计50次,单次过程RVR受影响时间较雾现象和静止锋天气而言显著缩短,平均14 min,最长86 min,出现在2023年3月12日的中雷雨过程;最短为1 min,共出现6次。由图5(c)可见,所有测点的箱体均较大,数值分布较散且中位数、上四分位数均偏大,反映出短时强降水天气对贵阳机场RVR造成的影响并不大且随机性较强,仅19端RVR数值受影响程度略明显,尤以19 L为甚。

四种影响RVR值的天气现象中,降雪现象影响频率仅3%,为最小,但从影响程度来看,各测点的RVR中位数较静止锋天气和短时强降水要小,箱体区间也更为集中,仅次于雾现象。经查询历史资料,2022年1月至2024年6月贵阳机场共出现降雪天气13次,其中,造成任一测点RVR < 1500 m的有9次,影响最突出的为2022年1月30日至31日的中雪过程,持续221 min,RVR最低125 m。如图5(d),在降雪天气下,RVR受影响最大的测点为19 L和MID2,中位数1000 m;影响最小的测点为MID1,中位数为1800 m。01 R测点上下四分位数区间最小,为700~1400 m;MID1测点最大,为1300~2650 m。说明01 R的RVR值更集中,MID2的值最分散。因降雪现象造成的RVR最低值出现在19 L测点,为125 m。此外,在降雪天气下,东跑道各测点(01 R, 19 L, MID2) RVR值中位数比西跑道各测点(01 L, 19 R, MID1)显著偏低,箱体区间也明显更小,说明贵阳机场降雪现象对东跑道RVR值影响更大。

4. 结论

本文对贵阳机场双跑道三端共6个测点的RVR数值以及其差异情况、相关性、随时间变化特性、不同天气下特征等多个方面进行了统计分析,可得出结论如下:

1) 整体上看,RVR低值概率东跑道高于西跑道、北头高于南头;具体到各个测点,19 L测点的RVR低值频率最大,其次为19 R和MID2,频率最小为01 L和01 R,符合贵阳机场的地形特点和天气规律。

2) 各测点差异性上,19 L测点的RVR低值概率独立性极高,其余各测点与19 L相关性较高,同端测点之间的相关性仅在 < 550 m时相对更明显。此外MID1与19 R以及01 R与MID2的相关性也较高。结合距平的时间分布,无论是逐月还是逐时,19 L测点平均态都为稳定的负偏差,且极端值波动也较平缓,其余5个测点的平均态大致都在0线以上,偶有上下波动,但极端值跳跃幅度更明显,表明相较于19 L,其余测点RVR受影响程度偏小,受影响概率较为随机。

3) 时间特性上,各测点基本表现为“同高同低”,但RVR低值逐月变化规律不明显,仅能大致看出秋冬高而春夏低,逐时分布表现为夜间至凌晨多,午后至傍晚少,且分布的峰值时段随着关键阈值的降低而推后。

4) 分析不同天气对RVR值的影响,雾现象影响频率最高、程度最大,且频率和程度存在从机场东北向西南方向逐渐减小的空间分布特征;静止锋天气影响频率次之,程度则再次,且局地性较强;短时强降水天气影响频率很低,影响程度不大且对各测点的影响随机性较强;降雪天气影响频率最低,但影响程度仅次于雾现象,同时表现出对东跑道影响显著大于西跑道的特性。

参考文献

[1] ICAO (2005) Manual of Runway Visual Range Observing and Reporting Practices (Doc 9328). 3rd ed. International Civil Aviation Organization.
[2] 国际民用航空组织. 国际标准和建议措施: 国际民用航空公约附件3国际航空气象服务(第二十版) [Z]. 2018.
[3] Wilks, D.S. (2019) Statistical Methods in the Atmospheric Sciences. 4th ed. Elsevier.
[4] 王玮, 刘峰, 赵佳. 复杂地形下机场跑道视程(RVR)空间分布特征分析——以重庆江北国际机场为例[J]. 气象科技, 2022, 50(1): 142-149.
[5] 贵阳龙洞堡国际机场航空气候志(2008年-2022年) [Z]. 2024.