过去千年浙江极端旱涝事件与太平洋年代际振荡
Extreme Drought and Flood Events in Zhejiang over the Past Millennium and the Pacific Decadal Oscillation (PDO)
摘要: 以历史文献作为代用资料,采用均一法重建过去千年浙江极端旱涝事件序列,在此基础上探讨过去千年浙江极端旱涝灾害与海–气活动间的关系。结论如下:在过去千年中,极端干旱事件在12世纪上半叶发生概率最高;极端洪涝事件在16世纪上半叶最为频繁。极端干旱事件在过去千年江南地区偏干时期发生概率上升。暖期时季风越强,极端旱涝出现的概率越高。小冰期时段,极端旱涝事件出现概率整体偏低。在PDO极端暖位相且是ENSO发展阶段时,极端洪涝事件发生概率显著上升,这可能与PDO对东亚夏季风和El Nino事件的作用有关。
Abstract: Using historical documents as substitute data, the homogenization method is used to reconstruct extreme drought/flood events of Zhejiang Province over the past millennium. On this basis, the relationship between extreme drought/flood events and ocean-atmosphere activities is explored. The result shows that the probability of extreme drought events is highest in the first half of the 12th century, and the probability of extreme flood events is highest in the first half of the 16th century. The results indicate that probability of extreme drought events will rise in dry period of Jiangnan area. What’s more, the Summer monsoon of East Asia is stronger, and the probability of extreme drought/flood events is higher in the Medieval Warm Period and Modern warm period. The probability of extreme drought/flood events are low in the Little Ice Age. The probability of extreme flood events will exist ascension in extreme warm phase of PDO and ENSO developing years, and this may be because the PDO can affect East Asian summer monsoon and El Nino events.
文章引用:韩健夫. 过去千年浙江极端旱涝事件与太平洋年代际振荡[J]. 气候变化研究快报, 2026, 15(2): 450-459. https://doi.org/10.12677/ccrl.2026.152050

1. 引言

浙江位于中国东南沿海,东临东海,南接福建,西与江西、安徽相邻,北与上海、江苏接壤,面积10.55万km2。气候上属亚热带湿润区,年降水在1000 mm以上,冬夏季气温、降水变化剧烈,有明显的季风特征,四季分明。该地区是世界上典型的受季风气流强弱盛衰影响极大的区域之一。因此,其干湿变化频繁,易遭受旱涝灾害。而且,从历史上看,浙江从宋代经济中心南移之后,便成为中国传统时代最为富足的农业与商业区之一,人口密度远高于全国平均水平,在社会经济中占据着举足轻重的地位。因此,对浙江公元1000~2000年极端气候事件的研究具有很强的现实意义和学术价值。

前人对浙江历史时期干湿变化的研究大致可分为三个方面。干湿变化重建方面,汤燕冰在上世纪90年代初曾利用《中国近五百年旱涝分布图集》中浙江四站点的旱涝等级数据,分析浙江近五百年干湿出现的时段和发生周期,并简单探讨了浙江干湿变化与冷暖变化、太阳活动间的关系。认为全省以冷干、暖湿形式为主[1]。旱涝重建方面,夏越炯在《浙江水旱灾年表》的基础上,以受灾县数量为标准识别出过去千年旱灾206年次,涝灾259年次。并采用湿润指数法重建过去千年浙江干湿变化情况。而且,对浙江旱涝灾害进行了时空分布研究,并统计出连旱、连涝年份及数次极端旱涝事件。尽管极端旱涝的识别数量只有4~5次且以杭州、绍兴地区为例,不能满足研究历史时期浙江极端旱涝灾害规律的需要,但此研究首次成功识别出浙江过去千年的极端旱涝年份,具有重要的学术意义与参考价值[2]。之后,沈锦花等又以五百年旱涝等级为基础,分析浙江过去534年间的旱涝发生规律和突变情况,对认识浙江历史旱涝变化提供参考[3]。高分辨率降水重建方面,张德二首先运用清宫“晴雨录”档案重建了18世纪南京、苏州、杭州夏季月降水量和年、季降水量序列[4] [5]。之后,葛全胜团队利用清宫“雨雪分寸”档案和现代气象观测资料,重建出1736年以来包括杭州在内的长江中下游地区梅雨期降水量序列[6]

至今,对浙江过去千年尺度上,具有明确发生概率的极端旱涝事件复原工作仍有所缺失,而且对于极端旱涝与历史时期冷暖关系、海洋大气变化间的关系和作用机制探讨还远不够深入。有鉴于此,本文利用历史文献资料的记载,通过历史时期极端气候事件的识别方法,重建过去千年浙江的极端旱涝事件,进而探讨其发生规律。这不仅有助于对浙江极端灾害发生机制的进一步认识,也可为浙江“五水共治”工作提供重要参考。

2. 资料与方法

2.1. 数据资料

利用前人系统整理的汇编资料,通过历史文献的记载作为重建历史时期浙江极端旱涝事件的代用资料。资料以张德二主编《中国三千年气象记录总集》(以下简称《总集》)为主[7],该资料集收录历史上天气、气候等自然现象的记载,不仅包括水、旱、雨、雪等现象,还收入物候、农业丰歉、饥荒等内容。另外,因《总集》时间截止到1911年,故而对1911~2000年期间浙江灾害情况的记载,主要利用温克刚主编的《中国气象灾害大典》的《浙江卷》[8]。陈桥驿所编《浙江灾异简志》因收录大量古人笔记、日记、碑刻、诗文集内有关浙江旱涝的记载,也被用来做史料补充[9]

从文献中共收录AD 1000~2000间研究区域内各站点总记录数为6203条,记载率是77.5%。因研究时间尺度为千年,需要考虑在研究时段内资料保有率前后不均问题。利用中国地方志总目中的记载将研究区域过去千年保存至今的地方志数量和卷数进行统计,并进行滑动t-检验,结果表明在1470年地方志数量(t = 5.98, p < 0.001)和地方志卷数(t = 8.17, p < 0.001)均发生显著突变。此前,浙江旱涝灾害记载单一,以正史为主,灾害描述粗略;在AD 1470之后,因地方志保留完好,记载数量显著增多,因浙江所在的南方地区在明清以降为全国人文渊薮,存留地方志和水利志资料丰富,在AD 1470~1949间资料保有率相对均衡。AD 1950之后,因地方气象站点和基层灾害统计的普及,资料完整度最高。浙江地区在AD 1000~1469、AD 1470~1949、AD 1950~2000资料保有率分别为37.82%,71.32%和100%,达到识别极端旱涝事件的标准[10]

作为对比的其他已有重建气象数据如下:过去2000年中国东部地区内各分区的冬半年温度数据[11]。中国东部地区内各分区(尤其是江南地区)的过去1500年干湿变化数据[12]。历史时期夏季风强弱数据[13]。中国东部地区内各区域过去2000年间的极端旱涝重建数据[10]。此外,为了探讨极端旱涝与海气活动关系问题,还利用了MacDonald等对过去千年太平洋年代际涛动(Pacific Decadal Oscillation, PDO)变化的重建数据[14],Qwinn William H重建的AD 622~1990间南方涛动指数(Southern Oscillation Index, SOI)数据[15]

2.2. 研究方法

采用甄别历史时期极端气候事件的时空均一法[16]。在空间上遵照《中国近五百年旱涝分布图集》(后简称《图集》)中对浙江地区站点的划分,在研究区内分出宁波、杭州、金华、温州共4个站点(见图1) [17]。在时间上按照上文资料保存率的情况,将研究时间划分为三段,即AD 1000~1469;AD 1470~1949;AD 1950~2000。前两个时段内根据史料记载语言情况的不同,给予不同的定级标准(见表1)。旱涝等级标准按照《图集》中的5等级,即1级为大涝,2级为涝,3级为正常,4级为旱,5级为大旱。

1950年至2000年的站点数据直接利用了《中国近五百年旱涝分布图集》及其续补中1950年之后的数据[18] [19]

最终总结出发生概率为10%的极端干旱和洪涝的遴选标准,标准如下:

发生概率10%的极端干旱事件标准:4个站点均被定为4或5级;4个站点均被定为4或5级,且其中至少1个(25%)站点为5级;4个站点中有3个站点(75%)被定为4或5级,且其中至少2个(50%)被定为5级。

发生概率10%的极端洪涝事件标准:4个站点均被定为1级;4个站点均被定为2或1级,且其中至少2个(50%)站点为1级;4个站点中有3个站点(75%)被定为2或1级,且其中至少2个(50%)被定为1级。

Table 1. Drought and flood evaluation criteria during the study period

1. 研究时段内旱涝等级判定标准

AD 1000~1469

AD 1470~1949

1级

有对洪灾程度的描写词汇,“大水”、“大雨漂没庐舍甚众”;有对洪灾社会影响的描写“大水伤禾”;有相关赈灾、救济描写“淫雨没田,免今年租”

有对于洪灾重大社会影响的描写“舟入市,田湮几尽”;有相关赈灾、救济描写“以水免夏税秋粮有差”;有对洪灾超过一月的描写“大雨弥月”

2级

没有洪灾程度的描写,仅“水”、“涝”

有对洪灾程度的描写词汇,“大水”、“大雨漂没庐舍甚众”;有对洪灾社会影响的描写“大水伤禾”

3级

“熟稔”、“大熟”“丰”、“颇丰”、“有”、“大有”、“颇丰稔”、“麦大熟”

4级

没有旱灾程度的描写,仅“旱”;时间较短,“七月,旱”

有对旱灾程度的描写词汇,“大旱”;又对旱灾社会影响的描写“旱,麦无收”

5级

有对旱灾程度的描写词汇,“大旱”;有对旱灾社会影响的描写“旱,麦无收”、“夏旱,有司请祷”;有相关赈灾、救济描写“旱灾,民乏食,命赈给之”

有对于旱灾重大社会影响的描写“大旱,河竭”、“大旱,饿殍载途”;有相关赈灾、救济描写“省耗费以补灾伤”;跨季节性干旱“六月至十二月,不雨”

Figure 1. Schematic diagram of observation sites in Zhejiang Province

1. 浙江各站点示意图

3. 结果与分析

3.1. 极端旱涝重建结果

过去千年中,发生概率在10%的极端旱涝事件分别为94次和99次(见表2)。将极端干旱与洪涝事件的重建结果以每50年和100年为单位时段建立序列(见图2图3),显示在过去千年中浙江极端旱涝事件的变化情况与特点。

Table 2. Chronology of extreme drought and flood events in Zhejiang over the past 1000 years

2. 过去1000年浙江极端旱涝事件年表

发生概率

浙江极端干旱年份

10%

1000 1005 1012 1017 1019 1051 1075 1077 1097 1101 1102 1109 1135 1136 1137 1139 1140 1148 1149 1154 1170 1175 1180 1187 1193 1194 1202 1204 1205 1208 1215 1240 1300 1307 1329 1333 1336 1434 1438 1441 1448 1457 1506 1508 1523 1526 1532 1544 1545 1583 1588 1589 1593 1598 1605 1632 1636 1640 1641 1646 1647 1655 1661 1671 1679 1681 1687 1693 1696 1713 1714 1721 1723 1751 1756 1811 1820 1835 1846 1879 1892 1900 1907 1914 1929 1945 1953 1957 1961 1967 1978 1979 1994 2000 (94次)

发生概率

浙江极端洪涝年份

10%

1014 1032 1044 1061 1071 1091 1106 1116 1118 1124 1131 1132 1144 1158 1163 1164 1167 1176 1179 1194 1195 1196 1199 1200 1207 1210 1213 1216 1222 1242 1252 1259 1307 1308 1324 1330 1340 1375 1377 1384 1409 1413 1416 1420 1428 1440 1443 1456 1460 1470 1473 1476 1482 1509 1510 1512 1515 1518 1519 1522 1529 1539 1541 1561 1569 1570 1572 1582 1587 1588 1598 1609 1618 1627 1628 1634 1658 1665 1670 1682 1683 1699 1761 1770 1800 1801 1823 1849 1850 1853 1854 1882 1889 1928 1937 1949 1989 1998 1999 (99次)

Figure 2. Variations in extreme drought and flood years per 50 years in Zhejiang over the past 1000 years

2. 过去1000年浙江每50年极端旱涝年数变化

Figure 3. Centennial variations in extreme drought and flood years in Zhejiang over the past 1000 years

3. 过去1000年浙江每100年极端旱涝年数变化

过去1000年极端干旱有三个频发期,分别是AD 1100~1250,持续150年;AD 1500~1700,持续200年;AD 1900持续至今,已有100年。另外,在每个多发期之间又存在约200~250年的相对偏少期。极端洪涝事件则有两个频发期,分别是AD 1100~1250,共150年;AD 1400~1599,持续近200年。其中,15、16世纪成为过去千年浙江极端洪涝灾害最为频发的时期,共出现极端洪涝事件31次,发生概率达到15.5%,平均6.45年即有一次极端涝灾。16世纪和17世纪则是过去千年中极端干旱最密集的时期,在200年间共出现极端干旱事件28次,发生概率达到14%,平均7年发生一次极端干旱。

其中,发生概率在10%的极端干旱事件出现最多的时段是12世纪上半叶,期间共发生10次极端干旱事件,概率高达20%。而极端洪涝事件在16世纪尤其是16世纪上半叶最为频繁,分别达到18次和10次,发生概率分别为18%和20%。而在全球变暖的最近百年,尤其是50年中,极端旱涝事件均非过去千年中发生次数最多的时期。而且,只有极端干旱事件在此时期的发生概率超过过去千年的平均发生概率。因此,浙江极端旱涝灾害并未因全球变暖而出现突变,尚在正常范围内。但并不排除21世纪上半叶极端干旱事件出现高发的可能性。

3.2. 极端旱涝事件分析

将极端旱涝事件与郑景云等等复原的江南过去千年干湿状况的时段变化相比对。发现在过去千年江南偏干的200年内,浙江极端干旱事件一共出现48次,发生概率高达24%;而在偏湿润的700年内,只发生了47次,发生概率下降为6.7%。但值得注意的是,浙江的极端洪涝事件在相对偏湿的时期内并没有显著的增多或减少,反而在当地偏干的时期增加明显。在江南偏干的200年内,极端洪涝共出现41次,发生概率为20.5%。其中,在AD 1070~1209的140年间共计21次之多,发生概率达到15%。

总体而言,极端干旱事件与干湿变化存在较好的对应关系,而极端洪涝事件与干湿变化间的关系则更为复杂,即极端洪涝事件在偏干的时期内更易发生,而在偏湿润的时期相对正常。

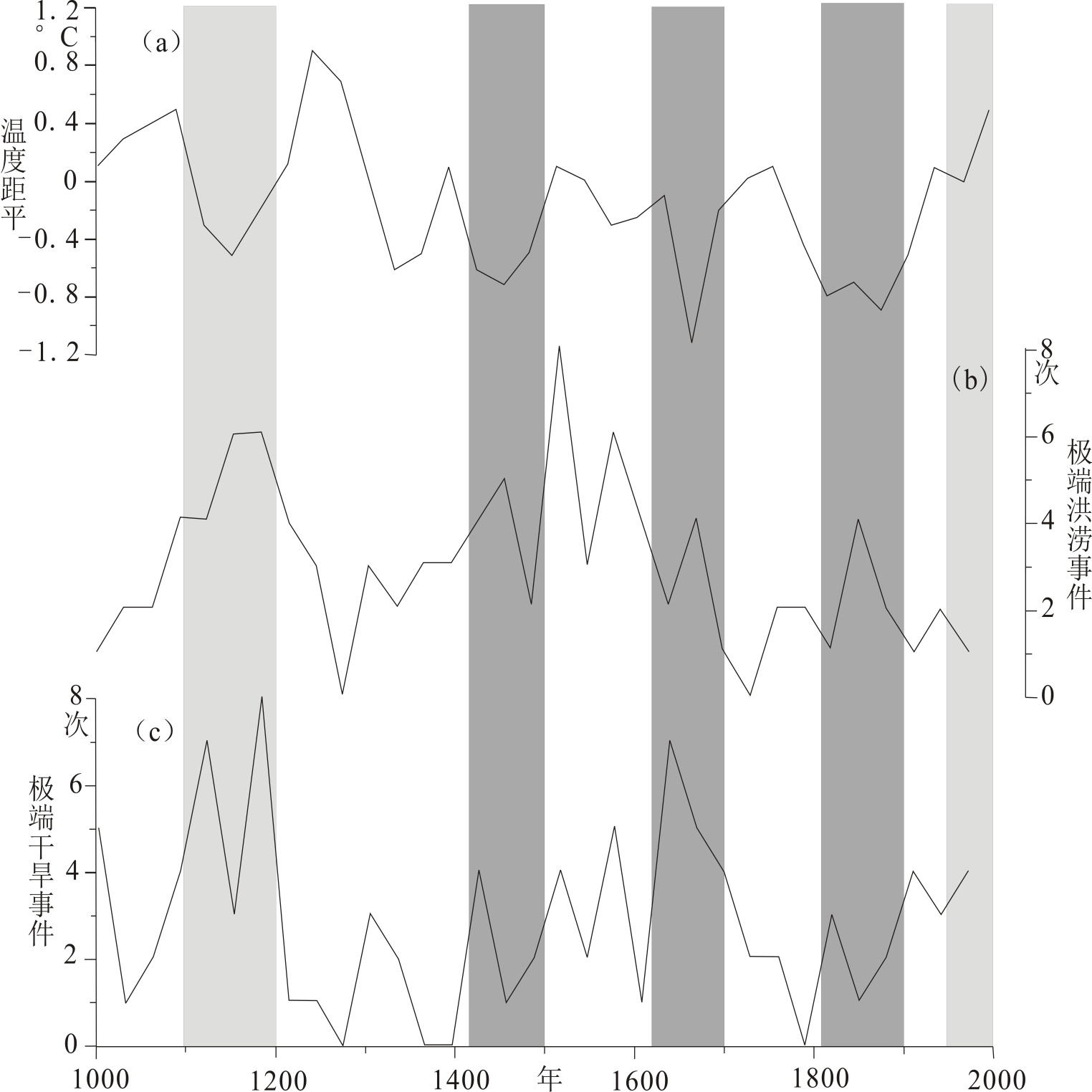
4. 讨论

浙江地区作为典型的季风区,其降水变化情况深受季风强弱的影响。将浙江地区每30年极端旱涝事件变化与同期夏季风强弱进行比对(见表3)。在中世纪暖期和现代暖期,随着季风强弱的变化,极端干旱与极端洪涝事件的出现概率有一致性的变化,即季风越强,极端旱涝事件出现的概率越高;反之,季风越弱,极端旱涝则出现概率越低。而从14世纪至19世纪的小冰期内,在季风强弱的变化下,1500年之前极端旱涝事件的出现概率一致,之后则相反。现将小冰期内季风强弱与极端旱涝发生概率的变化列表如下:

Table 3. Comparison of extreme drought/flood occurrence probability and monsoon intensity during the Ming-Qing little ice age

3. 明清小冰期内极端旱涝发生概率与季风强弱对比

时间

季风强弱

极端干旱发生概率

极端洪涝发生概率

1330~1389

1440~1499

1590~1659

1810~1919

可见,在小冰期内极端旱涝发生概率的变化与季风强弱的对应关系并不稳定。在季风强或弱时,极端旱涝发生概率的高低在不同时段并不一致,两者之间存在更为复杂的对应关系(见图4)。

Figure 4. (a) The δ18O isotope record of the stalagmite from Wanxiang Cave, the thick black line represents the 30-year moving average; (b) Number of extreme flood events per 30 years in Zhejiang; (c) Number of extreme drought events per 30 years in Zhejiang

4 (a) 万象洞石笋δ18O同位素序列,粗黑线为30年滑动平均;(b) 浙江每30年极端洪涝事件数;(c) 浙江每30年极端干旱事件数

再将极端旱涝事件同东部地区冬半年温度距平序列进行比对,发现冷暖变化与极端旱涝的发生概率间存在一定的对应关系(见图5)。其中,在中世纪暖期和现代暖期,随冷暖变化,极端旱涝事件发生概率的变化相一致,即在偏冷时期极端旱涝均偏多,而偏暖时期极端旱涝均偏少。明清小冰期间,情况与暖期相反,且情况更为复杂。冷谷时期内(AD 1410~1499; AD 1610~1699; AD 1810~1879)中,除17世纪极端干旱事件发生概率增高外,浙江极端旱涝事件发生概率均有所降低。这说明,极端干旱事件与冷暖变化的关系更为复杂,有必要进一步探索。

因此,针对过去千年浙江极端洪涝事件的气候驱动力机制问题,有必要展开更深入的探究。在前人的研究工作中,已经注意到对中国各地区气候变化具有重要影响的PDO和厄尔尼诺和南方涛动(El Niño-Southern Oscillation, ENSO)事件。其中,PDO与东亚夏季风、全国各地干湿变化、江淮地区降水、中国东部旱涝型的变化以及与ENSO等均具有关联。但前人的研究工作,因代用资料选取的限制,时间尺度最长仅为500年[20]-[31]。为更好地理解PDO、ENSO与中国气候变化的关系以及调节机制,需要开展更长时间尺度的研究工作[32]

Figure 5. (a) Winter half-year temperature anomaly sequence per 30 years in eastern China; (b) Number of extreme flood events per 30 years in Zhejiang; (c) Number of extreme drought events per 30 years in Zhejiang

5. (a) 中国东部地区每30年冬半年温度距平序列;(b) 浙江每30年极端洪涝事件数;(c) 浙江每30年极端干旱事件数

对MacDonald等重建的PDO数据进行处理,将超过标准差±1.5倍的极端数值年份挑选出来,共计216个。诊断在PDO极端暖位相和冷位相的年份,以及ENSO事件发展年份和发生年份内,极端旱涝事件的出现概率,以观察三者间的关系。发现在PDO极端暖位相且是ENSO处于发展阶段的48个年份中,极端洪涝事件共出现7次,发生概率高达14.58%。此现象印证了朱益民等人提出的“处于不同阶段的ENSO事件对中国夏季气候异常的影响明显受到PDO的调制”观点的同时,也从千年尺度上丰富了对PDO处于暖位相且ENSO处于发展阶段时的中国气候状态的认识[18] PDO影响浙江极端洪涝事件的发生概率的气候驱动力机制与ENSO事件有关。当PDO处于暖位相时,ENSO事件发生的频率较高,强度也较强[31]。而在ENSO事件影响下,“长江中下游地区的降水事件更多地以持续性降水为主”[33]

张雯等人的研究从气候驱动机制的角度详细揭示了PDO处于暖位相且ENSO处于发展阶段时的海–气运动状态,有助于解释此现象。在PDO暖位相背景下,“北半球中高纬海平面气压呈‘西高东低’的异常分布型,即东亚大陆气压偏强、北太平洋偏弱”[34],造成东北亚大陆东、西向的异常梯度明显增强。这种中高纬气压梯度的增强整体不利于副高的加强与西伸,因而副高表现为接近常年略偏南,从而中国东部夏季降水呈典型的“北少南多”分布。因此,自从1970年代末PDO由负位相转为暖位相后,我国出现“南涝北旱”现象。未来在PDO位相不变的情况下,对于浙江的防洪防涝工作而言,尤其需要注意ENSO事件年所带来的极端洪涝灾害。

5. 结论与总结

本文以历史文献作为代用资料,利用历史时期极端气候事件的甄别方法,成功重建出过去千年浙江发生概率在10%的极端旱涝事件序列,并对其发生机制进行了分析。结果表明:

(1) 过去千年极端干旱事件有3个多发期,分别集中在AD 1100~1249、AD 1500~1699和AD 1900之后;而极端洪涝事件有2个多发期,分别在AD 1100~1249;AD 1450~1599。值得注意的是,虽然极端干旱事件在过去几十年中有增多的趋势,但远未达到历史时期的最高水平,尚在正常范围内,但并不排除21世纪上半叶出现高频率的可能性。

(2) 极端干旱事件与干湿变化存在较好的对应关系,而极端洪涝事件与干湿变化间的关系则更为复杂。

(3) 中世纪暖期和现代暖期,季风越强,极端旱涝事件出现的概率越高,反之亦然。明清小冰期间,情况与暖期相反。小冰期内的冷谷时期除17世纪极端干旱事件发生概率增高外,浙江极端旱涝事件发生概率均有所降低。

(4) 极端洪涝事件的发生概率与PDO所处位相、ENSO所处阶段有密切关联。发现在PDO极端暖位相且ENSO处于发展期时,极端洪涝事件的发生概率显著上升。两者的关联机制可能在于PDO对于东亚夏季风和ENSO事件的作用。

基金项目

国家社会科学基金青年项目“明清华北极端旱涝灾害的发生与治理研究”(编号:21CZS057)。

参考文献

[1] 汤燕冰. 浙江省近500年来干湿状况变化的若干特征[J]. 科技通报, 1992, 8(3): 135-139.
[2] 夏越炯. 浙江省宋至清时期旱涝灾害的研究[J]. 历史地理, 1981, 1(1): 140-148.
[3] 沈锦花, 胡波. 浙江省近534年旱涝发生规律及突变分析[J]. 气象, 2002, 31(10): 76-78.
[4] 张德二, 王宝贯. 用清代《晴雨录》资料复原18世纪南京、苏州、杭州三地夏季月降水量序列的研究[J]. 应用气象学报, 1990, 1(3): 260-270.
[5] 张德二, 刘月巍, 梁有叶, 等. 18世纪南京、苏州和杭州年、季降水量序列的复原研究[J]. 第四纪研究, 2005, 25(2): 121-128.
[6] 葛全胜, 郭熙凤, 郑景云, 郝志新. 1736年以来长江中下游梅雨变化[J]. 科学通报, 2007, 52(23): 2792-2797.
[7] 张德二. 中国三千年气象记录总集(增订本) [M]. 南京: 江苏教育出版社, 2013.
[8] 温克刚. 中国气象灾害大典·浙江卷[M]. 北京: 气象出版社, 2006.
[9] 陈桥驿. 浙江灾异简志[M]. 杭州: 浙江人民出版社, 1991.
[10] 郝志新, 郑景云, 葛全胜. 过去2000年中国东部地区的极端旱涝事件变化[J]. 气候与环境研究, 2010, 15(4): 388-394.
[11] Ge, Q.S., Zheng, J.Y., Fang, X.Q., Man, Z., Zhang, X., Zhang, P., et al. (2003) Winter Half-Year Temperature Reconstruction for the Middle and Lower Reaches of the Yellow River and Yangtze River, China, during the Past 2000 Years. The Holocene, 13, 933-940. [Google Scholar] [CrossRef
[12] Zheng, J.Y., Wang, W.C., Ge, Q.S., Man, Z. and Zhang, P. (2006) Precipitation Variability and Extreme Events in Eastern China during the Past 1500 Years. Terrestrial, Atmospheric and Oceanic Sciences, 17, 579-592. [Google Scholar] [CrossRef
[13] Zhang, P., Cheng, H., Edwards, R.L., Chen, F., Wang, Y., Yang, X., et al. (2008) A Test of Climate, Sun, and Culture Relationships from an 1810-Year Chinese Cave Record. Science, 322, 940-942. [Google Scholar] [CrossRef] [PubMed]
[14] MacDonald, G.M. and Case, R.A. (2005) Variations in the Pacific Decadal Oscillation over the Past Millennium. Geophysical Research Letters, 32, 93-114. [Google Scholar] [CrossRef
[15] Qwinn, W.H. (1992) A Study of Southern Oscillation-Related Climatic Activity for A. D. 622-1990 Incorporating Nile River Flood Data. In: Diaz, H.F. and Markgraf, V., Eds., El Niño: Historical and Paleoclimatic Aspects of the Southern Oscillation, Cambridge University Press, 119-150.
[16] 杨煜达, 韩健夫. 历史时期极端气候事件的甄别方法研究——以西北千年旱灾序列为例[J]. 历史地理, 2014, 30(2): 10-29.
[17] 中央气象局气象科学研究院. 中国近五百年旱涝分布图集[M]. 北京: 中国地图出版社, 1981.
[18] 张德二, 刘传志. 中国近五百年旱涝分布图集续补(1980-1992年) [J]. 气象, 1993, 19(11): 41-45.
[19] 张德二, 李小泉, 梁有叶. 中国近五百年旱涝分布图集的再续补(1993-2000年) [J]. 应用气象学报, 2003, 14(3): 379-384.
[20] 朱益民, 杨修群. 太平洋年代际振荡与中国气候变率的联系[J]. 气象学报, 2003, 61(6): 641-665.
[21] 周连童, 黄荣辉. 关于我国夏季气候年代际变化特征及其可能成因的研究[J]. 气候与环境研究, 2003, 8(3): 274-290.
[22] 徐桂玉, 杨修群, 孙旭光. 华北降水年代际、年际变化特征与北半球大气环流的联系[J]. 地球物理学报, 2005, 48(3): 511-518.
[23] 马柱国, 邵丽娟. 中国北方近百年干湿变化与太平洋年代际振荡的关系[J]. 大气科学, 2006, 30(3): 464-474.
[24] 唐民, 吕俊梅. 东亚夏季风降水年代际变异模态及其与太平洋年代际振荡的关系[J]. 气象, 2007, 33(10): 88-95.
[25] 马柱国. 华北干旱化趋势及转折性变化与太平洋年代际振荡的关系[J]. 科学通报, 2007, 52(10): 1199-1206.
[26] 于德华, 隋洪起. PDO与ENSO和大连6-9月降水关系分析[J]. 气象与环境学报, 2008, 24(4): 45-48.
[27] Fu, C., Jiang, Z., Guan, Z., He, J. and Xu, Z. (2008) Interdecadal Climate Variability in China Associated with the Pacific Decadal Oscillation. In: Fu, C., Jiang, Z. and Guan, Z., Eds., Regional Climate Studies of China, Springer, 97-117. [Google Scholar] [CrossRef
[28] Li, H., Dai, A., Zhou, T. and Lu, J. (2008) Responses of East Asian Summer Monsoon to Historical SST and Atmospheric Forcing during 1950-2000. Climate Dynamics, 34, 501-514. [Google Scholar] [CrossRef
[29] 潘威, 萧凌波, 闫芳芳. 1766年以来永定河汛期径流量与太平洋年代际振荡[J]. 中国历史地理论丛, 2013, 28(1): 127-133.
[30] 裴琳, 严中伟, 杨辉. 400多年来中国东部旱涝型变化与太平洋年代际振荡关系[J]. 科学通报, 2015, 60(1): 97-108.
[31] 姚嘉惠, 肖林翔, 苟萌萌. 太平洋年代际振荡对中国东部季风区降水影响的新证据[J]. 中国科学: 地球科学, 2018, 48(5): 617-627.
[32] 韩健夫, 杨煜达. 过去千年黄土高原干湿变化和极端干旱事件与太平洋年代际振荡[J]. 中国历史地理论丛, 2017, 32(2): 5-12.
[33] 余荣, 翟盘茂. 厄尔尼诺对长江中下游地区夏季持续性降水结构的影响及其可能机理[J]. 气象学报, 2018, 76(3): 408-419.
[34] 张雯, 董啸, 薛峰. 不同PDO位相下El Niño发展年和La Niña年东亚夏季风的季节内变化[J]. 大气科学, 2020, 44(2): 390-406.