直播浪潮下的大学生钱包:基于逻辑回归和随机森林模型的消费洞察
College Students’ Wallets in the Live-Streaming Wave: Consumer Insights Based on Logistic Regression and Random Forest Models
摘要: 本研究聚焦大学生在直播电商场景中的冲动消费行为,基于价格锚定、社会临场感与自我控制资源消耗等理论,构建包含促销强度、主播可信度、互动频率、冲动人格得分、月消费预算及直播观看时长六大影响因素的分析框架。通过问卷调研,团队共获取795份有效样本,并结合逻辑回归与随机森林模型进行实证分析,最终得到六大因素的具体影响权重。模型整体R2检验结果为0.436,AUC值为0.82,预测性能优秀,同时本研究为引导大学生理性消费及规范直播电商生态提供理论依据与实践建议。
Abstract: This study focuses on impulsive consumption behaviors among college students in live-streaming e-commerce scenarios. Based on theories such as price anchoring, social presence, and self-control resource depletion, an analytical framework was constructed encompassing six key influencing factors: promotional intensity, host credibility, interaction frequency, impulsive personality scores, monthly spending budget, and live-stream viewing duration. Through questionnaire surveys, the team collected 795 valid samples. Empirical analysis combining logistic regression and random forest models yielded specific weightings for each factor. The overall model achieved an R2 result of 0.436 and an AUC value of 0.82, demonstrating excellent predictive performance. This study provides theoretical foundations and practical recommendations for guiding rational consumption among college students and regulating the live-streaming e-commerce ecosystem.
文章引用:武梦之, 杨婷婷, 许梦莹, 吴艳青, 王文雪, 王一聿, 陈仁栋. 直播浪潮下的大学生钱包:基于逻辑回归和随机森林模型的消费洞察[J]. 应用数学进展, 2026, 15(3): 425-434. https://doi.org/10.12677/aam.2026.153116

1. 引言

随着移动互联网与社交媒体的技术革新,直播电商行业迎来高速发展期,逐渐成为消费市场的核心赛道。截至2025年7月,我国直播电商用户规模已突破六亿,行业渗透率为37.8%,为直播电商持续发展打牢了坚实的用户基础;从行业规模来看,据网经社电子商务研究中心数据,我国直播电商市场规模从2017年196.4亿元起步,2018~2019年实现大幅度增长,2025年市场规模预计达到5.8万亿元,行业规模持续攀升,进一步印证了其强劲的发展势能。数据表明,大学生占直播消费主力的45%以上,作为情感驱动、追求即时满足的群体,他们常将直播消费看作社交与自我表达的方式,易被直播的互动氛围、促销节奏所感染,逐渐成为该场景下冲动消费的典型代表。

国内外已有诸多学者展开了相关系统研究:国内研究多聚焦主播特质、促销策略等因素的分析[1],国外研究则侧重从行为经济学视角解析直播对消费决策的干扰逻辑。不过现有研究多从单一维度进行分析,且未直接聚焦大学生群体。我们将针对六大关键影响因素,结合理论及其作用机制,厘清大学生直播冲动消费的内在逻辑,为引导理性消费提供更具针对性的参考。本文的结构安排如下:首先剖析六大影响因素的理论机制,奠定理论基础;其次阐述调查问卷设计、数据采集与预处理过程,明确处理逻辑;再次构建研究模型并展开分析,通过数据处理与检验得出核心研究结论;最后总结模型的理论贡献与现实局限,并提出多方针对性建议。

2. 理论分析

冲动消费行为是指消费者在外部刺激或内部情绪驱动下,未经过充分的理性思考、计划与评估,突然产生购买欲望并迅速实施的非计划性消费行为,其核心特征为购买决策的即时性、自发性与缺乏理性考量,且常伴随购买后后悔的可能性[2]。结合直播电商的场景可延伸为大学生在直播场景的互动氛围、主播引导、限时促销等外部刺激下,受情绪、从众心理等内部因素影响,突破原有消费计划与理性判断,即时产生购买意愿并完成消费的行为,兼具场景性、即时性与非计划性特征。

2.1. 促销强度

判断促销强度会影响冲动消费行为,主要基于价格锚定理论和时间压迫机制。价格锚定是将商品原价设为参照标准,让折扣价显得更具吸引力,而时间压迫则通过限时折扣和有限库存制造紧迫感。二者结合促使大学生急于做出决定,从而忽略了自身的实际需求。通过调查得到促销强度对冲动消费的影响占比超30%,是直播刺激即时下单的关键。

2.2. 主播可信度

信源可信度模型认为可信度由可靠性、专业性和吸引力构成,主播通过历史销售额、稳定互动率和知名品牌合作等方式,构建可信形象。这种信任会迁移至主播推荐的商品上,进而让大学生降低对商品质量、性价比的考量与质疑,更易打消顾虑,最终促成冲动下单行为。

2.3. 互动频率

社会临场感通过高频互动(弹幕、点赞、抽奖)让大学生产生“实时陪伴”的真实感与群体归属感,比如说弹幕中“已拍”“抢完了”等反馈会给该群体制造跟风压力,促使其为融入集体而冲动下单,从而造成冲动消费行为。

2.4. 冲动人格得分

冲动人格得分影响直播冲动消费行为主要基于自我控制资源消耗理论。该理论认为冲动型人格的人更容易被直播促销、互动等刺激影响,难以抑制即时购买欲望,从而产生冲动消费行为。据统计冲动人格得分对冲动消费行为的影响超过35.32%,是大学生产生冲动消费的根本性特征。

2.5. 月消费预算

消费风险感知是对“超支”“买错浪费”的担忧,而过高的预算会降低大学生的价格敏感度,减少超支顾虑,使其无需权衡商品性价比,从而更易产生冲动消费行为。

2.6. 直播观看时长

决策疲劳机制显示长时间观看直播会持续消耗心理资源,导致大学生后期理性评估能力下降,从而难以抵抗主播的推荐话术与场景氛围的影响,进而产生冲动消费行为。数据表明,观看时长较长的人冲动消费的概率比低时长用户高23.6%,可以看出直播观看时长是影响冲动消费的重要因素。

综上理论机制,可以得出直播中导致大学生冲动消费行为的六大主要影响因素为促销强度、主播可信度、互动频率、冲动人格得分、月消费预算及直播观看时长[3]

3. 问卷收集与数据处理

3.1. 问卷设计

本项目以2003~2006年出生、具有直播购物经验的大学生消费群体为研究对象。线上、线下调查问卷设计均聚焦上述六大核心要素,并将其设为研究变量,旨在明确各相关变量的权重。

线上调查问卷所有测量量表均采用李克特5点量表(1 = 非常不符合,5 = 非常符合)。促销强度量表(5题):如“看到限时优惠,我很难克制购买欲望”“赠品让我产生消费欲望”。主播可信度量表(5题):如“情绪高涨的主播促使我激情下单”“明星代言让我觉得可靠”。互动频率量表(4题):如“直播间高频率的互动促使我消费”。冲动人格得分量表(9题):如“我经常购买一些计划外的商品”“冲动消费后会产生后悔心理”。月消费预算量表(4题):如“直播购物金额远超月消费预算”。直播观看时长量表(4题):如“观看直播时间越长,冲动消费行为越明显”。

3.2. 问卷调研

为了确保问卷的有效性和可靠性,在正式调研之前团队开展了100份样本的预调研工作。通过对回收数据的系统整理,提取并比对六大核心因素对应题项的作答结果,旨在识别潜在问题并进一步优化迭代,为明确各因素权重、判断因素主导性提供支撑,有效验证了问卷的可行性与合理性。

问卷终稿确定后,启动大规模的问卷发放与采集工作,进入正式调研阶段。采用线上、线下双路径问卷调研模式,通过高校学生社群、社交媒体平台和校园人流密集地共发放问卷950份,其中线上800份、线下150份。纳入标准包括:(1) 2003~2006年出生的大学生;(2) 近6个月内至少有3次直播购物的经历;(3) 近6个月内至少有1次在直播间冲动消费的经历。

弱经验法则指出样本量至少是测量题项数的5倍,以确保数据具有统计分析的有效性。线上问卷除了被调查者的基本信息外,共有31个题项的量表题项,因此样本量应大于155。完成采集工作后,开展基础数据清洗流程,剔除填写时间过短、答案前后矛盾、关键信息缺失、重复作答等无效问卷,共获得线上有效问卷678份、线下117份,已超过最低需求,有效回收率为83.7%。

3.3. 描述性特征

根据收集到的问卷结果对样本的基本特征进行分析,包括性别、年级、每月可支配金额的分布情况,分析结果见表1

基于795份有效问卷数据,样本核心特征如下:

(1) 性别分布:女性占比52.7% (419人),男性占比47.3% (376人),性别结构均衡,契合高校群体普遍特征。

(2) 年级分布:大一至大四占比依次为29.9%、26.0%、22.1%、22.0%,低年级占比略高,覆盖全学段,符合不同年级消费行为差异研究需求。

(3) 每月可支配金额分布:1500~2000元区间占比最高(31.2%),1000~1500元区间次之(29.1%),两者合计60.3%;1000元以下(19.4%)与2000元以上(20.3%)分布均衡,贴合大学生消费预算实际水平。

Table 1. Sample characteristics table

1. 样本特征表

项目

样本分布

频数

百分比

性别

419

52.7%

376

47.3%

年级

大一

238

29.9%

大二

207

26.0%

大三

176

22.1%

大四

174

22.0%

每月可支配金额

1000元以下

154

19.4%

1000~1500元

231

29.1%

1500~2000元

248

31.2%

2000元以上

162

20.3%

样本在核心维度分布科学,代表性良好,为后续变量影响机制分析奠定坚实基础。

3.4. 信效度检验

本研究采用SPSS26.0和AMOS24.0软件,对问卷进行了信度和效度分析。信度常用的测量方法是Cronbach’s α系数。从问卷信度调查结果(见表2)来看,各个变量的Cronbach’s α系数均大于0.8,总体Cronbach’s α系数为0.835,表明量表具有良好的数据一致性、可靠性和稳定性。

Table 2. Results of questionnaire reliability investigation

2. 问卷信度调查结果

变量名称

题项编码

Cronbach信度系数(α)

促销强度

8~11、24

0.815

主播可信度

19、26~29

0.874

互动频率

6~7、30~31

0.826

冲动人格得分

12~18、22~23

0.837

月消费预算

1~2、20~21

0.817

直播观看时长

3~5、25

0.839

总体

1~31

0.835

效度包括内容效度和结构效度。内容效度来源于各领域专家评定,具有良好的内容效度。结构效度常用的评估方法是KMO值与Bartlett球形度检验结合。验证性因子分析显示,KMO值大于0.7,巴特利特球形检验的结果显示P值显著(P < 0.05),具有良好的结构效度,表明样本适合进行因子分析。

4. 模型构建与验证

4.1. 模型原理

本研究基于逻辑回归模型和随机森林模型,对六大核心影响因素权重进行分析,并得到了初步的消费行为预测模型。

4.1.1. 逻辑回归模型

逻辑回归是一种适用于二分类问题的统计学习方法[4],其最大的优点在于能够量化自变量对因变量的影响程度,并输出某事件的发生概率,因此符合本研究所需要完成的任务——分析大学生冲动消费的驱动因素权重以及判断个人是否可能产生冲动消费行为的基本要求。

本研究中,因变量定义为在直播购物中大学生冲动消费倾向(“发生冲动消费行为”记为1,“未发生冲动消费行为”记为0),属于典型二分类变量。模型使用Sigmoid函数将线性组合值映射到[0.1]范围内,从而将预测概率控制在合理的范围内,这里给出了线性组合的核心计算过程:

初始阶段,对影响大学生直播冲动消费的关键自变量进行线性整合,构建线性预测函数,并通过线性组合将输入特征映射到一个连续数值上:

z= β 0 + β 1 x 1 + β 2 x 2 ++ β p x p

其中, β 0 为截距项, β 1 ~ β p 为各自主变量的回归系数(直接对应各驱动因素对冲动消费的影响权重与作用方向), x 1 ~ x p 为研究选取的核心自变量,具体包括促销强度、主播可信度、互动频率、冲动人格得分、月消费预算、直播观看时长。

完成数据梳理后,可以使用Sigmoid函数将线性组合 z 转换为一个概率值,并且得到模型最终表达式:

P( Y=1|X )= 1 1+ e z

其中, P( Y=1|X ) 表示在给定自变量 X 的情况下,发生冲动消费行为的概率。本研究以0.5为分类决策阈值,当预测概率高于该阈值时,判定为“倾向发生冲动消费”;否则判定为“倾向不发生冲动消费”。

该模型的参数通过极大似然估计法求解,以最大化样本观测值的似然概率,确保各驱动因素权重估计的合理性与统计显著性[5],已知Logic模型公式:

Logic( p )=ln( p 1p )= β 0 + β 1 X 1 + β 2 X 2 ++ β 6 X 6

其中, p 1p 为优势比,表示大学生发生直播冲动消费的概率与未发生概率的比值,该形式对数值与六个核心解释变量呈线性相关关系。

因此容易得到对数似然函数:

l( β )=lnL( β )= i=1 n [ y i ln p i +( 1 y i )ln( 1 p i ) ]

其中, y i { 0,1 } 为实际标签(是否冲动消费), p i =P( Y i =1| X i ) 为模型预测概率。

该模型可以解释上述直播中的六个变量对大学生冲动消费行为的影响程度。

4.1.2. 随机森林模型

随机森林是指以集成学习为基本思想的一种机器学习算法,构建多棵决策树后将多棵决策树的结果集成为最终的分类结果,既有效提升了分类任务的鲁棒性,也提高了分类精度,尤其适用于捕捉大学生直播冲动消费中“直播刺激–用户心理–消费行为”的复杂非线性关系,符合该研究“识别影响因素权重 + 精准预测消费行为”的双重目标[6]

4.2. 模型结果

通过逻辑回归模型,

z= β 0 + β 1 x 1 + β 2 x 2 ++ β p x p

采用极大似然估计法求解模型中的参数,见表3

Table 3. Model parameters and OR analysis table

3. 模型参数及OR分析表

变量名称

系数 β i

OR值

95%置信区间(OR)

截距项

−2.22

0.11

0.05~0.24

促销强度

0.49

1.63

1.26~2.10

主播可信度

0.40

1.48

1.17~1.87

互动频率

0.34

1.41

1.13~1.75

直播观看时长

0.29

1.33

1.08~1.65

冲动人格得分

0.75

2.12

1.79~2.51

月消费预算

0.38

1.46

1.16~1.83

图注: OR= e β ;95%置信区间: exp[ β±1.96×SE( β ) ] (SE:标准误)。

通过分析表格中的 β 1 , β 2 ,, β 6 值可以发现,在影响消费者行为的诸多因素中, β 1 , β 5 相比其他较大,即促销强度与冲动人格得分对冲动消费行为的产生影响较大。具体而言,在市场竞争激烈的环境下,消费者往往对价格敏感,易受即时优惠吸引,与此同时,具有冲动人格特质的消费者倾向于在情感驱动下快速做出非计划的购买决策,他们更易受即时情绪或情境氛围的影响,较少依赖理性决断。结合反映的变量与冲动消费发生风险的关联强度,我们对六个因素的OR值进行具体分析。

冲动人格得分作为内在驱动因素,经计算,其OR = 2.12,即当个体的冲动人格特质每提高1个李克特等级,其冲动消费的风险较之前上升了112%,在所有影响因素中力度最强。这类个体往往在情绪管控上存在不足,且更倾向追求即时满足,这使得他们在做消费选择时,理性思考的约束难以生效,最终被当下的情绪与直觉所主导。促销强度作为外在刺激因素,其OR = 1.63,这一数据表明了价格层面的刺激是促使冲动消费的关键外部因素。

主播可信度、月消费预算、互动频率和直播观看时长的OR分别为1.48、1.46、1.41和1.33。六个影响因素的OR值均大于1,说明六个因素均正向影响冲动消费行为的发生。

4.3. 模型检验

4.3.1. χ2检验

χ2检验是分析分类变量之间关联性的有力方法,本研究通过构建列联表,检验六个分类变量与冲动消费行为的独立性,若P值小于0.05,则拒绝变量独立的假设,即说明该变量与冲动消费行为存在显著关联性;同时计算Cramer’s V效应量,衡量变量间的关联强度,为研究结论提供统计学依据。

以下面两个因素为例,促销强度与冲动消费决策的χ2检验结果为P值小于0.05且Cramer’s V效应量大于0.2,表明促销强度与冲动消费行为存在中等及以上强度的显著关联。针对冲动人格得分与冲动购买频率的交叉分析可见,个体自身的冲动特质是影响消费决策的重要内在因素。

4.3.2. Wald检验

本研究采用Wald检验开展个体显著性检验,核心目的是验证自变量对因变量的影响是否具有统计学意义。检验逻辑为:针对逻辑回归模型中每个自变量的回归系数,验证原假设 H 0 : β j =0 (该变量对冲动消费无显著影响),通过Wald统计量对应的P值判断显著性水平,具体标准如下。

若P < 0.05,则拒绝原假设,认为该变量对大学生的冲动消费行为存在显著影响;按P < 0.001,P < 0.01,P < 0.05划分显著性水平(P值越小,显著性越强)。

团队共获取795份有效样本,通过极大似然估计法得到各变量的回归系数、标准误及Wald检验对应的P值,如表4

Table 4. Significance level analysis of six variables

4. 六个变量显著性水平分析表

变量名称

Wald统计量

P值

显著性水平

冲动人格得分

56.25

<0.001

1%

促销强度

16.67

<0.001

1%

主播可信度

13.22

<0.001

5%

互动频率

11.56

<0.001

5%

月消费预算

11.89

<0.001

5%

直播观看时长

7.02

0.008

5%

Wald检验结果显示,所有自变量的P < 0.05,均对大学生直播冲动消费行为存在显著正向影响,具体特征为:

冲动人格得分( x 5 )与促销强度( x 1 )的P < 0.001,在1%显著性水平下影响最显著。主播可信度( x 2 )、互动频率( x 3 )、直播观看时长( x 4 )、月消费预算( x 6 )的P < 0.05,说明直播场景中的信任、互动体验以及个人观看习惯、消费预算均会显著推动冲动消费行为。

4.3.3. R2检验

首先分别构建不包含六个因素的六个基准回归模型,记录其R2值,然后将因素作为自变量加入模型,观察R2的变化。如果加入因素后,模型R2显著提升(如从0.43提升至0.49),且回归系数显著(p < 0.05),则说明:该因素能独立解释约6%的冲动消费变异(0.49 − 0.43 = 0.06)。

通过六个因素的R2检验分析,可得冲动人格得分能解释约15%的变异(贡献最大),其余影响因素大概能解释6%到7%的变异。模型整体R2检验结果为0.436 (p = 0.000),说明模型在1%显著性水平下整体显著,所选6个解释变量联合对大学生直播冲动消费行为存在显著影响;Nagelkerke R2 = 0.498,表明模型可解释49.8%的大学生直播冲动消费行为变异。

4.3.4. 研究结果精度检验

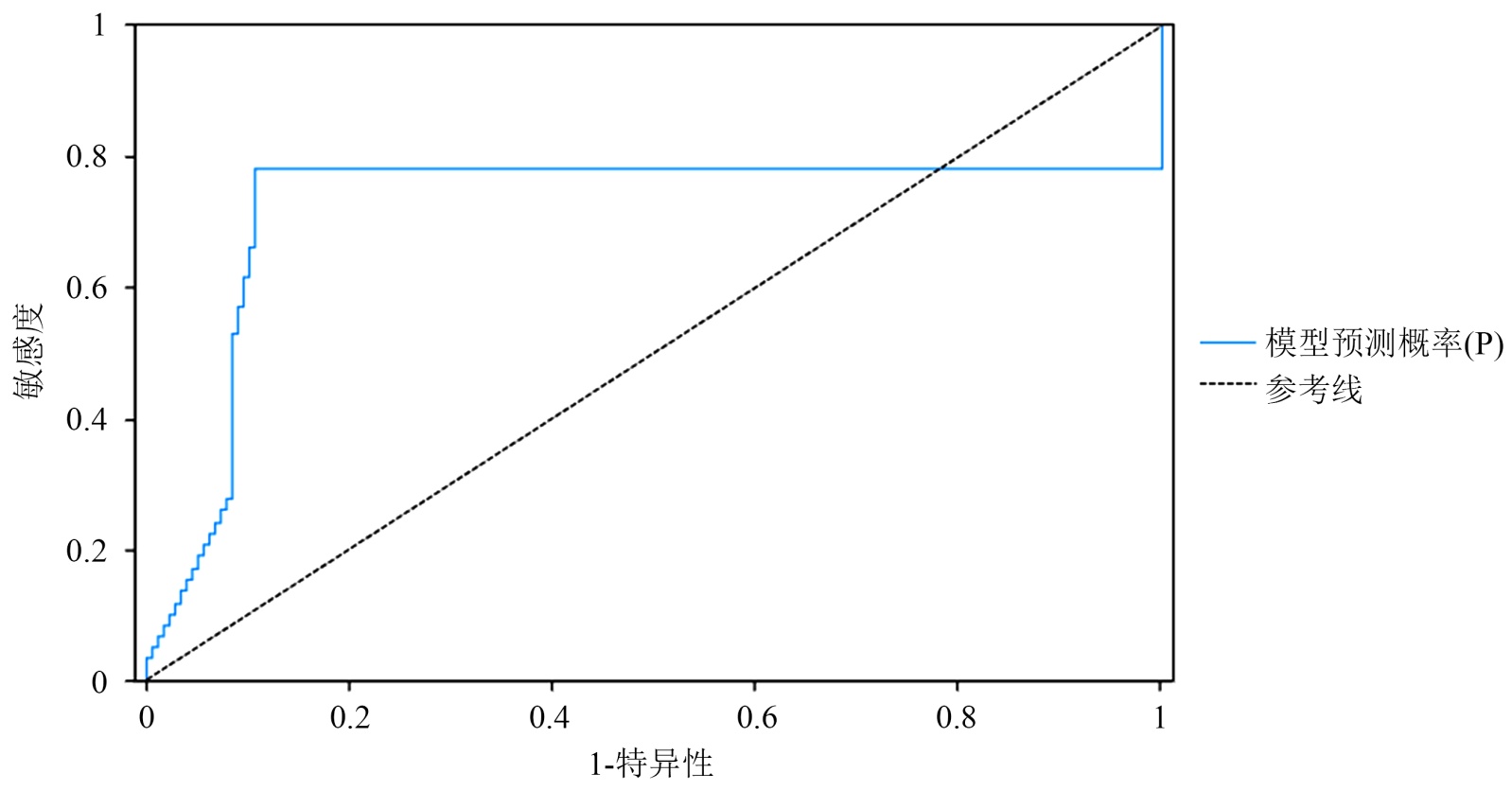
为进一步验证逻辑回归模型对大学生冲动消费行为的预测能力,本研究采用受试者特征曲线(ROC)及曲线下面积(AUC)进行模型精度定量检验。

ROC曲线以假阳性率(1-特异性,即模型误判“非冲动消费”为“冲动消费”的概率)为横轴,以真阳性率(敏感度,即模型正确识别“冲动消费”的概率)为纵轴,直观反映模型在不同决策阈值下的分类。

本研究基于795份有效样本的逻辑回归模型输出结果,绘制ROC曲线并计算AUC值,结果如下。

Figure 1. ROC curve plotting graph

1. ROC曲线绘制图

图1,模型对应的ROC曲线明显偏离“随机猜测线(AUC = 0.5的对角线)”,曲线整体呈快速上升后平缓延伸的形态——随着真阳性率(灵敏度)的提升,假阳性率(1-特异性)增长较为缓慢,说明模型在准确识别“冲动消费群体”的同时,误判“非冲动消费群体”的概率较低。本模型的AUC值为0.82,处于0.8~0.9区间,表明模型对大学生直播冲动消费行为的预测性能达到优秀水平。

综上,ROC曲线与AUC值的检验结果,进一步支撑了本研究逻辑回归模型的有效性,为后续基于模型开展冲动消费行为的预测与干预提供了科学依据。

4.3.5. 随机森林的检验

本研究采用与逻辑回归分析完全一致的数据集,该数据集包含六项自变量,以及二分类因变量。在此基础上,我们进一步构建了随机森林分类器,以交叉验证方法对决策树数量(设置为200棵)、最大深度(设置为8层)等核心参数进行了优化与合理设置,确保模型在预测精度与泛化能力间取得平衡。

模型构建完成后,我们计算了各自变量的特征重要性得分,该得分通过衡量变量在所有决策树节点上对降低预测误差的贡献度来确定,可直观反映各变量在随机森林模型中对冲动消费预测准确性的贡献程度。计算结果显示,冲动人格的特征重要性得分最高(0.28),其次为促销强度(0.19)与主播可信度(0.17),互动频率(0.15)、直播观看时长(0.13)和月消费预算(0.08)则依次排列。

最后,我们将随机森林模型得出的特征重要性排序,与逻辑回归分析得到的系数值排序展开对比,结果显示二者排序具有高度一致性:冲动人格在两种模型中均为最核心的影响因素,促销强度与主播可信度也始终位列前三。这一交叉验证结果不仅验证了研究分析结果的可靠性,也表明无论是基于线性假设的逻辑回归,还是基于非线性集成的随机森林,本研究识别出的影响因素及其相对重要性均具有稳健性。

5. 研究模型的贡献与局限性

本研究构建的逻辑回归与随机森林混合模型,在引导大学生践行健康理性消费观念、赋能相关学术研究方面均具突出价值。模型创新性打破单一学科壁垒,有机融合心理学、行为经济学、教育学理论与多元算法,通过量化冲动人格得分、促销强度等核心因素权重,清晰解构大学生直播冲动消费的驱动逻辑,有效填补了传统研究在消费行为量化分析中的短板。方法上,模型实现双重验证优势互补:借助逻辑回归的系数解释与Wald检验、ROC曲线等分析,精准明确各因素影响显著性;通过随机森林的特征重要性排序,夯实研究结论可靠性,形成科学严谨的混合建模框架。依托扎实调研,模型输出的群体分类结果为精准干预提供有力支撑,能为大学生、直播平台等多方主体定制差异化解决方案,既为理性消费教育提供科学抓手,也为行业规范发展提供可落地技术参考,推动学术成果向实际应用高效转化。

虽然本研究模型成效显著,但仍存在一定局限性。数据收集方面,调查问卷样本集中于山东省高校大学生,未覆盖经济高度发达地区及偏远地区群体,导致研究结果的代表性有所欠缺,难以全面研究受地域因素影响的大学生冲动消费行为;研究深度方面,现有分析未充分触及冲动消费后的动态效应,诸如消费者对冲动购买产品的复购意愿、过度消费带来的长期心理影响等关键问题,后续将补充这些维度的研究。总之,团队将针对性拓展样本范围、补充纵向追踪数据、优化模型适配能力,持续完善研究成果。

6. 结论

基于本次对大学生冲动消费行为的系统性研究,结合逻辑回归与随机森林模型的量化分析结果,针对直播平台、主播、监管部门及大学生消费群体四大核心主体,现提出以下针对性建议,旨在构建健康有序的直播消费生态。

直播平台作为消费场景的搭建者,在商品管控方面,应建立全链条审核机制,对入驻商家资质、商品质量、宣传内容进行严格核验,确保商品信息真实透明,让消费者所见即所得;在价格规范方面,平台需摒弃“溢价逐利”的短视行为,公平公正公开定价,切实维护消费者权益。

主播作为直播消费的关键纽带,其专业素养与道德底线直接影响消费导向。相关机构应开展系统化培训,既要强化主播对商品专业知识、功能术语的精准把握,更要注重道德素养培育,引导主播在互动交流中传递正向消费理念。主播在直播过程中,要用真诚专业的表达替代煽动性话术,为消费者提供有价值的决策参考,共同营造风清气正的直播氛围。

监管部门作为市场秩序的守护者,需构建全方位、多层次的监管体系。一方面,监管部门要强化对直播平台与主播的合规监管,建立“日常巡查 + 专项整治”机制,设置24小时动态监管,严厉打击虚假宣传、价格欺诈等违法违规行为,畅通投诉举报渠道;另一方面,可联合高校建立大学生消费监测机制,通过实名认证、消费额度分级提醒等方式,引导合理消费;同时同步开启冷静期退款机制,在保障商家与平台权益的前提下,为消费者提供人性化服务。

对于大学生群体而言,大学生应主动学习消费经济学与理财知识,深刻理解消费的本质意义,摒弃“盲目跟风”“攀比炫富”的非理性心态,结合自身消费水平,在月初制定一份专属消费计划,严格按照计划安排各项开支。面对直播间的限时促销、主播煽动等消费刺激,可采用“延迟满足”策略,预留24小时冷静期。从外部教育来看,高校应联合第三方专业机构开设消费素养提升课程,通过真实案例剖析等形式,帮助大学生掌握资金合理分配、商品价值甄别等实用技能,让理性消费理念真正入脑入心。

总之,引导大学生理性消费是一项系统工程,要激励大学生基于自身经济实力规划消费,注重精神文化生活的丰富,在合理消费中实现自我价值,从而让直播消费真正服务于美好生活需求,助力大学生健康成长与直播行业持续向好发展。

NOTES

*通讯作者。

参考文献

[1] 夏彩伶. 电商直播对消费者购买决策的影响机制研究[J]. 商场现代化, 2025(19): 50-52.
[2] 杨慧君. 直播带货中情感共鸣对Z世代冲动消费行为的影响——基于品牌信任的中介效应[J]. 消费与品牌传播, 2025(21): 25-28+86.
[3] 王艺颖. 直播带货中的消费者困境与出路[J]. 今日财富, 2024(35): 5-7.
[4] 郭玉娇, 张岩波, 余红梅, 等. 基于最优变分贝叶斯逻辑回归构建可解释的弥漫性大B细胞淋巴瘤复发预测模型[J]. 中国卫生统计, 2025, 42(6): 871-877.
[5] 李建, 李敬军, 范猛, 等. 基于逻辑回归算法的砂土液化判别概率模型分析与应用[J/OL]. 中国水利水电科学研究院学报(中英文), 2026. 2026-02-09. [Google Scholar] [CrossRef
[6] 饶榕城, 余进祥, 闵佳玲, 等. 使用随机森林算法评估鄱阳湖松门山砂坑长江江豚栖息地种群环境容纳量[J/OL]. 生态学报, 1-9. 2026-02-09.[CrossRef