脂质代谢相关的结肠癌四基因预后模型
Lipid Metabolism-Related Colon Cancer Four-Gene Prognostic Model
DOI: 10.12677/hjbm.2026.162032, PDF, HTML, XML,   
作者: 王柱浩:大理大学临床医学院,云南 大理;王剑华*:大理大学第一附属医院,云南 大理
关键词: 脂肪酸代谢结肠癌预后模型Fatty Acid Metabolism Colon Cancer Prognostic Model
摘要: 目的:通过生物信息学方法构建脂质代谢相关基因异构模型,探讨其在结肠癌患者中的应用价值。方法:从TCGA (The Cancer Genome Atlas, TCGA)和GEO (Gene Expression Omnibus, GEO)数据库中收集临床信息和RNA测序数据。对筛选出的脂质代谢相关差异表达基因进行Lasso-Cox回归分析,建立结肠癌预后模型。并构建了预后模型的诺模图,以分析其在评估结肠癌患者生存期和临床分期中的价值。结果:分析了722个FAM相关基因在结肠癌和正常组织中的表达差异,并通过Lasso-Cox回归分析构建了基于4个FAM基因的结肠癌预后预测模型,并在验证集中验证了该模型的实用性。此外,基于预后模型计算的风险分数被验证为结肠癌患者的独立预后因素。我们进一步构建了由风险评分特征、年龄和美国癌症联合委员会分期组成的诺模图,供临床应用。结论:本研究通过生物信息学方法,构建了一个结肠癌四基因的预后模型。并系统揭示了该模型在结肠癌中的临床预测作用。本研究的发现,进一步增强了FAM相关基因在结肠癌中的预后价值。
Abstract: Objective: To construct a model of lipid metabolism related gene isomerism by bioinformatics method, and to explore its application value in patients with colon cancer. Methods: Clinical information and RNA sequencing data were collected from The Cancer Genome Atlas (TCGA) and Gene Expression Omnibus (GEO) databases. Lasso-Cox regression analysis was performed on the screened differentially expressed genes related to lipid metabolism to establish a prognostic model of colon cancer. The nomogram of the prognostic model was constructed to analyze its value in evaluating the survival time and clinical stage of colon cancer patients. Results: The expression differences of 722 FAM-related genes in colon cancer and normal tissues were analyzed. The prognostic prediction model of colon cancer based on four FAM genes was constructed by Lasso-Cox regression analysis, and the practicability of the model was verified in the validation set. In addition, the risk score calculated based on the prognostic model was validated as an independent prognostic factor for colon cancer patients. We further constructed a nomogram consisting of risk score characteristics, age, and American Joint Committee on Cancer staging for clinical application. Conclusion: In this study, a prognostic model of four genes in colon cancer was constructed by bioinformatics methods. The clinical predictive effect of the model in colon cancer was systematically revealed. The findings of this study further enhanced the prognostic value of FAM-related genes in colon cancer.
文章引用:王柱浩, 王剑华. 脂质代谢相关的结肠癌四基因预后模型[J]. 生物医学, 2026, 16(2): 307-322. https://doi.org/10.12677/hjbm.2026.162032

1. 引言

结肠癌(Colon cancer, CC)是男性和女性最常见的癌症之一,也是癌症相关死亡的第二大原因。尽管近十年来总的死亡率有所下降,但年轻人的结肠癌死亡率仍在上升[1]。结肠癌的特征是肠上皮细胞分化、增殖和细胞死亡的失调[2]。手术和化疗一直是结肠癌患者的首选[3]。然而,化疗有一定的局限性,如全身毒性、不满意的反应率、不可预测的先天性和获得性耐药以及较低的肿瘤特异选择性[4]。因而探索影响结直肠癌患者预后的相关因素及临床治疗靶点仍是目前研究的热点。

能量代谢重编程是肿瘤细胞的一个重要特征[5],其中脂肪酸代谢(包括脂肪酸的摄取、合成和氧化)发生了显著改变,具体表现为脂肪酸的摄取与合成增强,而线粒体中的三羧酸循环和氧化磷酸化被抑制[6]。脂肪酸在能量储存、膜合成和信号产生中起着重要作用[7]。许多研究发现脂肪酸代谢能够通过多种方式影响癌细胞的生物学行为[8]。合成膜的脂质成分甘油磷脂,以及促进有丝分裂或致癌信号传导的磷脂酰肌醇(4,5)-二磷酸、二酰基甘油和磷脂酸盐等信号中间体[9]。脂肪酸也是线粒体ATP和NADH合成、类花生酸合成和信号蛋白翻译后蛋白质–脂质修饰的底物[10]。癌细胞可从细胞内和细胞外多种来源获取脂肪酸,而这些脂肪酸的代谢改变是肿瘤发生和转移的一个特征。各种脂质代谢相关通路,包括脂肪酸的合成、去饱和、延伸和线粒体氧化等,在结肠癌中受到影响[11]。这些途径是由复杂的基因组成的。因此,应用脂质代谢中一些差异表达的核心基因作为新的生物标志物可能是改善结肠癌诊断和预后的新策略。

在本研究中,我们基于结肠癌中差异表达的脂质代谢(Fatty acid metabolism, FAM)相关基因建立了一个预后模型。在训练集和测试集中验证了预后模型的可行性,并根据风险评分将所有结肠癌患者分为低危组和高危组。同时分析了低危组和高危组之间富集的通路。

2. 材料和方法

2.1. 数据处理及基因差异表达分析

RNA测序数据和匹配的临床信息收集自UCSC数据库中的TCGA-COAD数据集(共77例正常结肠样本和453例结肠腺癌样本)和Gene Expression Omnibus (GEO)数据库中的GSE39582数据集(共585例结肠腺癌样本)。纳入研究的样本为诊断为结肠腺癌的样本,具有临床信息和基因表达矩阵数据,并具有包括总生存期(OS)数据、年龄和性别在内的完整信息。在排除了不符合这些标准的患者后,我们从TCGA中筛选了488名结肠腺癌患者作为训练集,从GSE39582中筛选了574名患者作为验证集,以进一步研究。FAM基因集从分子特征数据库v2025.1.Hs (MSigDB)中获取,共收集到722个FAM基因。

2.2. 筛选脂质代谢相关差异基因

采用R程序包“LIMMA”[12]对TCGA-COAD中结肠癌样本(Tumor)和正常样本(Normal)的基因进行差异分析。设置|logFC| > 1和P < 0.05为差异表达基因(DEGs)阈值。logFC > 1和0.05基因差异表达基因增加(上调基因),logFC < −1和P < 0.05基因差异表达基因减少(下调基因)。使用程序包“ggplot2”对结果绘制了火山图。对TCGA中识别出的差异表达基因与FAM基因取交集获取了110个差异表达FAM基因,然后进行单因素Cox回归分析潜在的预后基因,筛选出p值为0.05的基因,为预后风险模型选择合格的FAM相关基因。

2.3. 构建预后模型

为了获得最优模型,我们在训练集中,对5个预后基因进行Lasso-Cox回归分析,进一步筛选出了4个基因,并生成结肠癌患者的统计预后风险评分模型。根据预测模型,可以对每个结肠癌患者应用以下公式来计算与FAM相关的风险分数:

RiskScore= Expi*Coefi (1)

Expi代表FAM相关基因的表达值,Coefi代表相应的回归系数。应用程序包“Survminer”寻找风险评分的最佳分界点,以区分患者中高风险组和低风险组之间的差异。两组间的OS采用K-M分析,评价生存模型的可行性。随后我们还绘制了低风险组和高风险组4个筛选的FAM基因的生存状态散点图和表达热图。比较不同临床病理参数(包括分期、T、N和M)的风险积分值在不同组间的分布。通过单因素和多因素Cox回归分析评估风险评分是否为独立预后因子,并构建列线图以预测患者个体化生存概率。进一步在外部数据集验证模型的泛化能力,确保其临床适用性。

2.4. 基于脂代谢相关基因表达构建诺模图

我们进行了单变量和多因素Cox回归分析,以验证基于FAM基因的风险评分特征是否是结肠癌的独立预后指标。然后,我们根据风险分数特征和其他五个临床特征,使用R软件包“rms”构建了一个诺模图来预测结肠癌患者的生存。此外,还构建了一条校正曲线来确认诺模图的预测性判别[13]

2.5. 基因集富集分析(GSEA)和基因集变异分析(GSVA)

我们应用R软件包“ClusterProfiler”[14],根据所有差异基因根据风险分组进行调整后的表达数据进行基因集丰富分析(GSEA) [15],以分析低风险组和高风险组之间的丰富途径和生物学功能。我们从MsigDB数据库中选择“c2.cp.kegg_legacy.v2025.1.Hs.symbol s.gmt”作为参考基因集。我们认为|NES| > 1、Nom p Value < 0.05和FDR < 0.25的通路显著丰富。此外,我们应用R程序包GSVA和LIMMA进行基因集变异分析(GSVA) [16],以确定训练队列中所有样本中富集的基因集。符合logFC > 0.1,adj.P Value < 0.05条件被定义为显著丰富的GSVA通路。

3. 结果

3.1. 结肠癌FAM相关预后基因的筛选

首先,我们使用|log2FC| > 1和adj.P Value < 0.05的阈值筛选出TCGA-COAD数据集差异基因(如图1),随后比较了722个FAM基因在正常组织和肿瘤样本中的差异表达,鉴定出110个FAM差异表达基因,其中有47个上调的FAM基因和63个下调的FAM基因,并对这110个基因制作了表达热图(如图2),能直观反映这些基因的表达情况。然后,我们进行单因素Cox生存分析以确定预后基因。根据分析结

Figure 1. Differentially expressed gene volcano map

1. 差异基因火山图

Figure 2. Heatmap of differentially expressed genes

2. 差异基因表达热图

果确定了5个FAM基因,它们具有显著的差异表达和预后价值(如图3)。这5个基因的表达盒图被更直接地用来说明正常和肿瘤样本之间的差异表达。结果显示,这5个基因中AOC3、AQP7、CD36、FABP4在结肠癌组织中的表达水平显著降低,而SIGLEC1在结肠癌组织中的表达显著升高(如图4)。

Figure 3. Prognostic analysis forest map

3. 预后分析森林图

(A) (B)

(C) (D)

(E)

Figure 4. Expression box diagram of 5 genes: (A) AOC3 expression box diagram; (B) AQP7 expression box diagram; (C) CD36 expression box diagram; (D) FABP4 expression box diagram; (E) SIGLEC1 expression box diagram.

4. 五基因表达盒图:(A) AOC3表达盒图;(B) AQP7表达盒图;(C) CD36表达盒图;(D) FABP4表达盒图;(E) SIGLEC1表达盒图

3.2. 基于FAM相关基因的结肠腺癌预后模型的构建

为了确定建立预后模型的最佳FAM基因,我们对筛选出的5个FAM基因,使用R软件包“glmnet”[17],整合生存时间、生存状态和基因表达数据,利用Lasso-Cox方法进行回归分析。此外我们还设置了10折交叉验证,以获得最优模型,我们设置Lambda值为0.0118,最终获得了4个基因(如图5)。最终,我们选择了这4个重要的FAM基因来构建模型:AOC3、AQP7、FABP4、SIGLEC1。为了证明这4个基因的独立预测能力,我们绘制了训练集中总存活率(OS)的K-M曲线(如图6)。从单个基因的K-M分析结果可以看出,AOC3、AQP7、FABP4、SIGLEC1高表达组的OS较差。根据该预后模型,以FAM基因为基础的结肠腺癌患者的风险分数可计算为:RiskScore = Expression of AQP7*0.254623479917705 + Expression of AOC3*0.0690700803436752 + Expression of SIGLEC1*0.0646634964189412 + Expression of FABP4*0.0204978339657116。然后,根据不同队列中的最佳分界点将患者分为低风险组和高风险组。在TCGA-COAD队列中,高风险组的死亡患者比例高于低风险组。我们还描绘了预后模型中包含的4个FAM基因的表达水平,并显示了高风险组或低风险组中每个患者的表达水平。此外,K-M分析评估了风险评分的预后可行性,结果表明,与低风险组相比,高风险组的OS显著受损(如图7(A)图7(C))。

Figure 5. (A) Lasso coefficient path diagram; (B) Lasso regression analysis cross validation curve

5. (A) lasso系数路径图;(B) lasso回归分析交叉验证曲线

(A) (B)

(C) (D)

Figure 6. Kaplan-Meier curve

6. Kaplan-Meier曲线

3.3. 基于4个FAM相关基因的预后模型验证

为了进一步验证所构建的预后模型的准确性,我们在验证集GSE39582中进行了相同的研究。使用相同的风险评分计算公式,验证集中的结肠腺癌患者被分为高风险组和低风险组,并设定了最佳截断点。高风险组的死亡患者比例也高于低风险组。我们还描绘了高风险组和低风险组中每个患者的4个FAM基因的表达水平。与训练集中的结果一致,高风险组在验证集中表现出比低风险组更差的OS (如图7(B)图7(D))。

(A)

(B)

(C)

(D)

Figure 7. TCGA and GEO database four gene risk distribution and expression heat map and survival curve

7. TCGA和GEO数据库四基因风险分布与表达热图和生存曲线

3.4. 基于4个FAM相关基因的预后模型验证

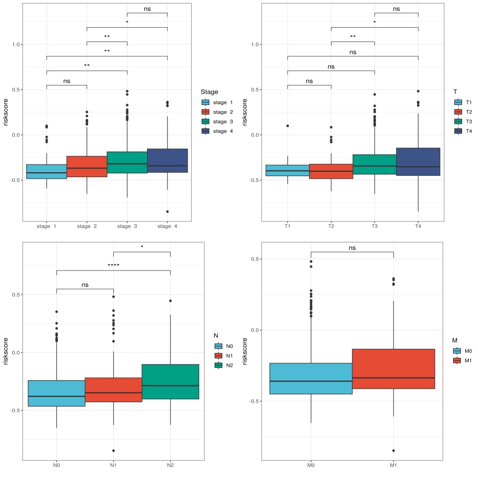
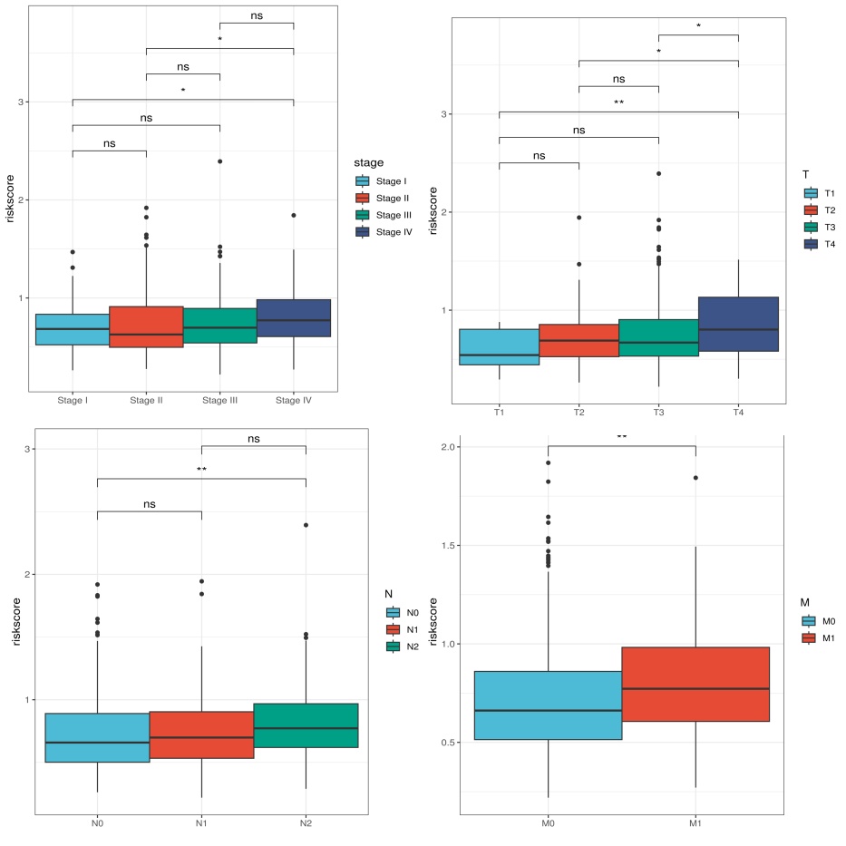
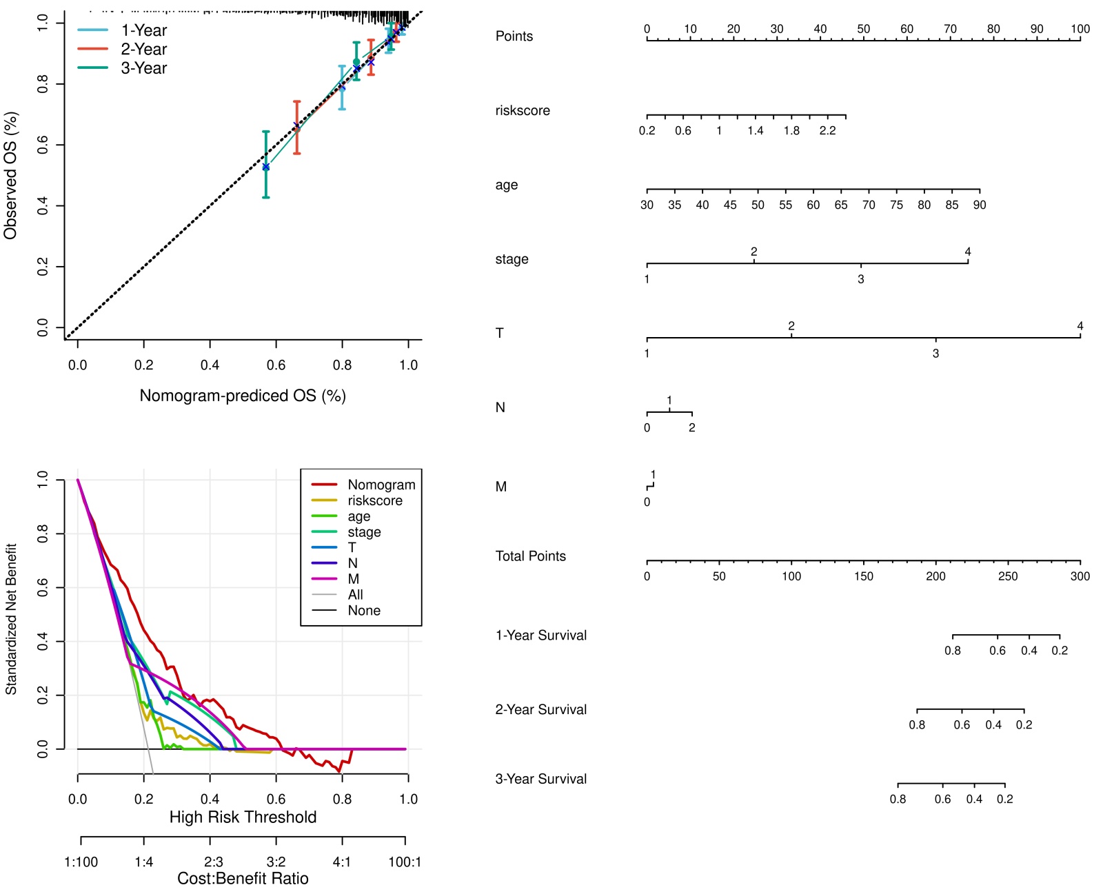
为了确定基于筛选的FAM基因的风险评分是否是结肠腺癌患者的独立预后指标,我们在训练集中进行了单变量和多变量Cox回归分析。单因素Cox回归分析显示,FAM基因风险评分、年龄、肿瘤分期、TNM临床病理分期与OS密切相关(P < 0.05) (如图8(A))。在多因素Cox回归分析中,年龄、分期、临床病理T临床病理分期和风险评分可作为独立的预后指标(P < 0.05) (如图8(B))。为了开发一种临床相关的定量方法来预测患者死亡的概率,我们建立了一个具有最佳一致性指数的诺模图,该图整合了风险评分和其他独立的预后指标来预测每个患者一年、二年和三年的OS。还生成了校准图,并证明所开发的诺模图与理想曲线相当一致(如图9)。此外,我们进一步在训练集和验证中评估了FAM相关基因风险评分在预测临床参数方面的实用性,包括AJCC分期和临床病理分期。在TCGA-COAD队列中,较高的风险评分与更严重的临床分期以及T、N和M临床病理分期相关,尤其是在早期和晚期之间(P < 0.05)。在GSE39582的验证集中,除了M临床病理分期外,也再次确认了类似的趋势(如图10)。根据结果,我们推测,就上述临床特征而言,风险分数越高,往往意味着疾病越严重性,而风险分数越高,意味着生存更差。

(A)

(B)

Figure 8. (A) Single factor Cox regression analysis forest plot; (B) Multivariate Cox regression analysis forest plot

8. (A) 单因素Cox回归分析森林图;(B) 多因素Cox回归分析森林图

Figure 9. The nomogram of prognostic model

9. 预后模型诺模图

TCGA-COAD GSE39582

Figure 10. Box plot of risk score and clinical features

10. 风险评分与临床特征箱图

3.4. 与风险评分相关的通路分析

我们进行了基因集富集分析(GSEA),以探索在训练集的高风险组和低风险组中丰富的生物信号通路。我们使用京都基因和基因组百科全书(KEGG)数据库来探索与风险相关的途径,并确定ECM受体相互作用、黏着斑、造血细胞谱系、肥厚型心肌病、病毒性心肌炎在高风险组中富集(如图11(A))。然后,我们应用基因本体论(GO)数据库,发现细胞外基质结构组成成分、含胶原蛋白的细胞外基质、质膜外侧、免疫球蛋白复合物和抗原结合在高危组中丰富(如图11(B))。此外,我们比较了训练集中每个样本的基因转录数据,并进行了基因集变异分析(GSVA),以确定风险组中富集的通路。在GSVA后,发现高危组有KRAS下调信号通路、脂肪细胞形成和外源性物质代谢等多条通路被激活(如图12)。

(A)

(B)

Figure 11. (A) KEGG enrichment analysis diagram; (B) GO enrichment analysis diagram

11. (A) KEGG富集分析图;(B) GO富集分析图

Figure 12. Heatmap of gene set variation analysis

12. 基因集变异分析热图

4. 讨论

结直肠癌已成为癌症相关死亡的第二大原因[18]。结直肠癌的形成是由于基因突变、基因扩增等遗传改变与DNA甲基化异常、染色质修饰等表观遗传改变的累积,这些改变将结肠上皮细胞转化为癌细胞。基因组稳定性丧失及由此引发的基因改变是肿瘤发生早期的关键分子致病步骤,它们使得肿瘤抑制基因和癌基因获得足够数量的改变,从而转化细胞并促进肿瘤进展[19]。细胞代谢重编程是肿瘤增殖的基础特征之一[5],这一特点也适用于结肠癌。快速增殖的癌细胞需要大量脂肪酸来维持细胞膜构建和信号传导等关键生理过程[20]。脂肪酸合成增强是多种癌症表现出的关键代谢适应症之一。脂质的从头合成的增强为快速增殖的癌细胞提供脂肪酸,这些脂肪酸用于癌细胞的膜发生、能量产生和蛋白质修饰[10] [21]。最近的研究表明,除了脂质合成外,调节癌细胞中脂肪酸代谢和稳态的多种通路也可能在不同阶段发挥独特的促癌作用[22]。这些通路包括细胞外脂肪酸摄取、脂肪酸氧化、脂肪酸活化、细胞内脂解、甘油三酯合成、磷脂修饰和合成。研究表明,通过操纵这些通路,癌细胞获得可塑性,从而帮助它们在代谢应激的肿瘤微环境中生存[22] [23]

许多研究已经证实了FAM相关基因在不同类型癌症中有着不同的功能。因此,我们在TCGA数据库的结肠癌数据中分析了FAM基因的差异表达,并预测了它们的预后潜力。我们筛选出了5个有显著差异表达和预后价值的FAM基因,并构建了符合筛选标准的4个基因的预后模型:AOC3、AQP7、FABP4、SIGLEC1。含铜胺氧化酶3 (AOC3),又称氨基脲敏感胺氧化酶(SSAO)和血管粘附蛋白1 (VAP1),是一种膜结合粘附蛋白,可促进白细胞与内皮细胞的结合,并促进其向炎症部位的迁移[24],对于结直肠癌,其能够增强肿瘤的侵袭和转移能力[25]。水通道蛋白7 (AQP7)又称水甘油通道蛋白7,能够促进细胞转运甘油[26] [27],进入细胞的甘油通过甘油脱氢酶氧化为甘油醛或由甘油激酶磷酸化为G3P为细胞供能[28],而肿瘤细胞的增殖需要大量的能量供应,并且AQP7能够通过PI3K/AKT/mTOR和p38 MAPK通路对营养和应激条件做出反应,以不同的方式调节癌症代谢[29]。脂肪酸结合蛋白4 (FABP4),属于脂肪酸结合蛋白家族,是细胞内脂伴侣,能够协调细胞内脂质反应[30],FABP4的高表达可以调节多种代谢产物和蛋白通路,从而在促进卵巢癌侵袭和浸润性转移方面起着至关重要的作用[31]。唾液酸黏附素(SIGLEC1)又称CD169,是一种巨噬细胞特异性细胞表面受体,作为唾液酸结合型IgG样凝集素家族成员,其具有特异性识别唾液酸化配体的特性,通常在淋巴结、脾脏等次级淋巴组织的特定巨噬细胞亚群中表达[32]。有研究发现SIGLEC1参与肿瘤细胞-肿瘤相关巨噬细胞调节环,增强TNF-α等因子的表达,导致肿瘤细胞的运动能力增加[33]

脂质代谢重编程在肿瘤进展中的作用不仅体现于直接促进癌细胞的恶性增殖,更通过重塑肿瘤微环境(tumor microenvironment, TME)间接影响肿瘤行为。TME是一个由癌相关成纤维细胞、血管细胞及多种浸润性免疫细胞构成的复杂生态系统[34],肿瘤细胞与其周围基质细胞之间存在着双向交互作用。一方面,肿瘤细胞通过分泌细胞因子、趋化因子及代谢产物主动改造TME,调控癌相关成纤维细胞(cancer-associated fibroblasts, CAFs)的活化状态及免疫细胞的功能分化[35];另一方面,TME中的非恶性细胞也相应发生脂质代谢适应性改变,主要表现为脂质摄取与胞内脂滴积累增加,以及脂肪酸氧化(fatty acid oxidation, FAO)代谢通路的激活。这种代谢重编程驱动TME向免疫抑制表型转化,为肿瘤免疫逃逸和恶性进展创造了有利条件[36]。本研究的KEGG通路富集分析显示,高风险评分组显著富集于ECM受体相互作用、免疫球蛋白复合物及抗原加工呈递等肿瘤免疫相关通路,提示高风险组患者预后不良可能与脂质代谢重编程介导的肿瘤免疫抑制密切相关。

5. 结论

本研究中,我们通过进行基因的差异表达分析及预后分析筛选出关键FAM基因。构建了预后模型,该模型可作为预测结肠癌患者预后的独立预后因素。我们还根据预后模型和几个重要临床参数建立了结合风险评分的如诺图,并验证了如诺图是一个可靠的模型。此外,我们还进行了所选FAM基因的通路分析,分析其在结肠癌中可能通过哪些途径来影响肿瘤的发生、发展。然而,这项研究有一定的局限性,因为它是一项回溯性研究,还需要进一步的实验研究来证实这些结果并揭示其潜在的机制。综上所述,本研究可为结肠癌FAM研究提供科学依据,并为进一步的临床转化研究提供背景。

NOTES

*通讯作者。

参考文献

[1] Siegel, R.L., Miller, K.D., Fuchs, H.E. and Jemal, A. (2022) Cancer Statistics, 2022. CA: A Cancer Journal for Clinicians, 72, 7-33. [Google Scholar] [CrossRef] [PubMed]
[2] The Cancer Genome Atlas Network (2012) Comprehensive Molecular Characterization of Human Colon and Rectal Cancer. Nature, 487, 330-337. [Google Scholar] [CrossRef] [PubMed]
[3] Miller, K.D., Nogueira, L., Mariotto, A.B., Rowland, J.H., Yabroff, K.R., Alfano, C.M., et al. (2019) Cancer Treatment and Survivorship Statistics, 2019. CA: A Cancer Journal for Clinicians, 69, 363-385. [Google Scholar] [CrossRef] [PubMed]
[4] Xie, Y., Chen, Y. and Fang, J. (2020) Comprehensive Review of Targeted Therapy for Colorectal Cancer. Signal Transduction and Targeted Therapy, 5, Article No. 22. [Google Scholar] [CrossRef] [PubMed]
[5] Hanahan, D. and Weinberg, R.A. (2011) Hallmarks of Cancer: The Next Generation. Cell, 144, 646-674. [Google Scholar] [CrossRef] [PubMed]
[6] Liu, H., Wang, S., Wang, J., Guo, X., Song, Y., Fu, K., et al. (2025) Energy Metabolism in Health and Diseases. Signal Transduction and Targeted Therapy, 10, Article No. 69. [Google Scholar] [CrossRef] [PubMed]
[7] Currie, E., Schulze, A., Zechner, R., Walther, T.C. and Farese, R.V. (2013) Cellular Fatty Acid Metabolism and Cancer. Cell Metabolism, 18, 153-161. [Google Scholar] [CrossRef] [PubMed]
[8] Hoy, A.J., Nagarajan, S.R. and Butler, L.M. (2021) Tumour Fatty Acid Metabolism in the Context of Therapy Resistance and Obesity. Nature Reviews Cancer, 21, 753-766. [Google Scholar] [CrossRef] [PubMed]
[9] Zhu, J. and Thompson, C.B. (2019) Metabolic Regulation of Cell Growth and Proliferation. Nature Reviews Molecular Cell Biology, 20, 436-450. [Google Scholar] [CrossRef] [PubMed]
[10] Butler, L.M., Perone, Y., Dehairs, J., Lupien, L.E., de Laat, V., Talebi, A., et al. (2020) Lipids and Cancer: Emerging Roles in Pathogenesis, Diagnosis and Therapeutic Intervention. Advanced Drug Delivery Reviews, 159, 245-293. [Google Scholar] [CrossRef] [PubMed]
[11] Luo, X., Cheng, C., Tan, Z., Li, N., Tang, M., Yang, L., et al. (2017) Emerging Roles of Lipid Metabolism in Cancer Metastasis. Molecular Cancer, 16, Article No. 76. [Google Scholar] [CrossRef] [PubMed]
[12] Ritchie, M.E., Phipson, B., Wu, D., Hu, Y., Law, C.W., Shi, W., et al. (2015) Limma Powers Differential Expression Analyses for RNA-Sequencing and Microarray Studies. Nucleic Acids Research, 43, e47-e47. [Google Scholar] [CrossRef] [PubMed]
[13] Zhu, Y., Zhang, H., Yao, X., Zhang, S., Dai, B., Shen, Y., et al. (2010) Development and Evaluation of a Nomogram to Predict Inguinal Lymph Node Metastasis in Patients with Penile Cancer and Clinically Negative Lymph Nodes. Journal of Urology, 184, 539-545. [Google Scholar] [CrossRef] [PubMed]
[14] Yu, G., Wang, L., Han, Y. and He, Q. (2012) Clusterprofiler: An R Package for Comparing Biological Themes among Gene Clusters. OMICS: A Journal of Integrative Biology, 16, 284-287. [Google Scholar] [CrossRef] [PubMed]
[15] Subramanian, A., Tamayo, P., Mootha, V.K., Mukherjee, S., Ebert, B.L., Gillette, M.A., et al. (2005) Gene Set Enrichment Analysis: A Knowledge-Based Approach for Interpreting Genome-Wide Expression Profiles. Proceedings of the National Academy of Sciences, 102, 15545-15550. [Google Scholar] [CrossRef] [PubMed]
[16] Hänzelmann, S., Castelo, R. and Guinney, J. (2013) GSVA: Gene Set Variation Analysis for Microarray and RNA-Seq Data. BMC Bioinformatics, 14, Article No. 7. [Google Scholar] [CrossRef] [PubMed]
[17] Simon, N., Friedman, J., Hastie, T. and Tibshirani, R. (2011) Regularization Paths for Cox’s Proportional Hazards Model via Coordinate Descent. Journal of Statistical Software, 39, 1-13. [Google Scholar] [CrossRef] [PubMed]
[18] Sung, H., Ferlay, J., Siegel, R.L., Laversanne, M., Soerjomataram, I., Jemal, A., et al. (2021) Global Cancer Statistics 2020: GLOBOCAN Estimates of Incidence and Mortality Worldwide for 36 Cancers in 185 Countries. CA: A Cancer Journal for Clinicians, 71, 209-249. [Google Scholar] [CrossRef] [PubMed]
[19] Grady, W.M. and Carethers, J.M. (2008) Genomic and Epigenetic Instability in Colorectal Cancer Pathogenesis. Gastroenterology, 135, 1079-1099. [Google Scholar] [CrossRef] [PubMed]
[20] Kuo, C. and Ann, D.K. (2018) When Fats Commit Crimes: Fatty Acid Metabolism, Cancer Stemness and Therapeutic Resistance. Cancer Communications, 38, Article No. 47. [Google Scholar] [CrossRef] [PubMed]
[21] Zaidi, N., Lupien, L., Kuemmerle, N.B., Kinlaw, W.B., Swinnen, J.V. and Smans, K. (2013) Lipogenesis and Lipolysis: The Pathways Exploited by the Cancer Cells to Acquire Fatty Acids. Progress in Lipid Research, 52, 585-589. [Google Scholar] [CrossRef] [PubMed]
[22] Munir, R., Lisec, J., Swinnen, J.V. and Zaidi, N. (2019) Lipid Metabolism in Cancer Cells under Metabolic Stress. British Journal of Cancer, 120, 1090-1098. [Google Scholar] [CrossRef] [PubMed]
[23] Munir, R., Lisec, J., Jaeger, C. and Zaidi, N. (2021) Abundance, Fatty Acid Composition and Saturation Index of Neutral Lipids in Colorectal Cancer Cell Lines. Acta Biochimica Polonica, 68, 115-118. [Google Scholar] [CrossRef] [PubMed]
[24] Noda, K., Nakao, S., Zandi, S., Engelstädter, V., Mashima, Y. and Hafezi-Moghadam, A. (2009) Vascular Adhesion Protein-1 Regulates Leukocyte Transmigration Rate in the Retina during Diabetes. Experimental Eye Research, 89, 774-781. [Google Scholar] [CrossRef] [PubMed]
[25] Li, Y., Hung, J., Yu, T., Liou, J., Wei, J., Kao, H., et al. (2014) Serum Vascular Adhesion Protein-1 Predicts All-Cause Mortality and Cancer-Related Mortality in Subjects with Colorectal Cancer. Clinica Chimica Acta, 428, 51-56. [Google Scholar] [CrossRef] [PubMed]
[26] Zhang, L., Yao, D., Xia, Y., Zhou, F., Zhang, Q., Wang, Q., et al. (2021) The Structural Basis for Glycerol Permeation by Human Aqp7. Science Bulletin, 66, 1550-1558. [Google Scholar] [CrossRef] [PubMed]
[27] Borgnia, M., Nielsen, S., Engel, A. and Agre, P. (1999) Cellular and Molecular Biology of the Aquaporin Water Channels. Annual Review of Biochemistry, 68, 425-458. [Google Scholar] [CrossRef] [PubMed]
[28] van Hall, G., Sacchetti, M., Rådegran, G. and Saltin, B. (2002) Human Skeletal Muscle Fatty Acid and Glycerol Metabolism during Rest, Exercise and Recovery. The Journal of Physiology, 543, 1047-1058. [Google Scholar] [CrossRef] [PubMed]
[29] Dai, C., Charlestin, V., Wang, M., Walker, Z.T., Miranda-Vergara, M.C., Facchine, B.A., et al. (2020) Aquaporin-7 Regulates the Response to Cellular Stress in Breast Cancer. Cancer Research, 80, 4071-4086. [Google Scholar] [CrossRef] [PubMed]
[30] Furuhashi, M. and Hotamisligil, G.S. (2008) Fatty Acid-Binding Proteins: Role in Metabolic Diseases and Potential as Drug Targets. Nature Reviews Drug Discovery, 7, 489-503. [Google Scholar] [CrossRef] [PubMed]
[31] Gharpure, K.M., Pradeep, S., Sans, M., Rupaimoole, R., Ivan, C., Wu, S.Y., et al. (2018) FABP4 as a Key Determinant of Metastatic Potential of Ovarian Cancer. Nature Communications, 9, Article No. 2923. [Google Scholar] [CrossRef] [PubMed]
[32] O’Neill, A.S.G., van den Berg, T.K. and Mullen, G.E.D. (2013) Sialoadhesin—A Macrophage‐Restricted Marker of Immunoregulation and Inflammation. Immunology, 138, 198-207. [Google Scholar] [CrossRef] [PubMed]
[33] Cassetta, L., Fragkogianni, S., Sims, A.H., Swierczak, A., Forrester, L.M., Zhang, H., et al. (2019) Human Tumor-Associated Macrophage and Monocyte Transcriptional Landscapes Reveal Cancer-Specific Reprogramming, Biomarkers, and Therapeutic Targets. Cancer Cell, 35, 588-602.e10. [Google Scholar] [CrossRef] [PubMed]
[34] Schonkeren, S.L., Thijssen, M.S., Vaes, N., Boesmans, W. and Melotte, V. (2021) The Emerging Role of Nerves and Glia in Colorectal Cancer. Cancers, 13, Article 152. [Google Scholar] [CrossRef] [PubMed]
[35] Liu, Y. and Cao, X. (2016) Characteristics and Significance of the Pre-Metastatic Niche. Cancer Cell, 30, 668-681. [Google Scholar] [CrossRef] [PubMed]
[36] Bader, J.E., Voss, K. and Rathmell, J.C. (2020) Targeting Metabolism to Improve the Tumor Microenvironment for Cancer Immunotherapy. Molecular Cell, 78, 1019-1033. [Google Scholar] [CrossRef] [PubMed]