无催化剂光化学中电子给体–受体(EDA)络合物的作用机制与研究进展
Mechanism and Research Progress of Electron Donor Acceptor (EDA) Complexes in Catalyst Free Photochemistry
DOI: 10.12677/jocr.2026.141012, PDF, HTML, XML,   
作者: 曾添晴:浙江师范大学,化学与材料科学学院,浙江 金华
关键词: 无光催化剂EDA络合物自由基反应No Photocatalyst EDA Complex Free Radical Reaction
摘要: 电子给体–受体(EDA)复合物介导的无催化剂光化学反应,凭借无需过渡金属与外加光催化剂、条件温和、绿色高效等优势,近年在合成方法学领域发展迅速,其中由EDA复合物介导的自由基反应备受关注,且在有机合成领域取得了一系列研究进展。本综述以下从核心机理、前沿反应类型、创新策略及应用拓展等方面阐述其研究进展。
Abstract: The catalyst free photochemical reactions mediated by electron donor acceptor (EDA) complexes have developed rapidly in the field of synthetic methodology in recent years, thanks to their advantages of not requiring transition metals and external photocatalysts, mild conditions, and being green and efficient. Among them, the free radical reactions mediated by EDA complexes have attracted much attention and have made a series of research progress in the field of organic synthesis. This review elaborates on the latest developments in core mechanisms, cutting-edge reaction types, innovative strategies, and application expansion.
文章引用:曾添晴. 无催化剂光化学中电子给体–受体(EDA)络合物的作用机制与研究进展[J]. 有机化学研究, 2026, 14(1): 127-141. https://doi.org/10.12677/jocr.2026.141012

1. 引言

在过去二十年间,光化学反应已成为精细化学品、医药制备及官能团引入的主要合成方法。光氧化还原催化能在条件温和、操作简便的条件下实现碳–碳键与碳–杂键的合成[1]。传统光化学反应通常使用过渡金属配合物(如钌、铱、铜等)或有机染料作为光催化剂[2]。然而,金属催化剂不仅价格昂贵,当用于药物合成时,金属残留可能引发一系列安全问题。近年来,无需光催化剂的可见光诱导有机转化反应(特别是采用EDA络合物策略)因其经济性和合成价值,受到广泛关注。EDA络合物由电子受体(A)与电子给体(D)通过分子间相互作用形成,在可见光激发下发生分子间单电子转移(SET),生成自由基离子对,进而引发各类自由基反应(图1) [3]

在无过渡金属条件下,EDA络合物介导的有机合成是一种温和且可持续的合成方法,已广泛应用于不对称烷基化、全氟烷基化[4]及芳香族化合物芳基化[5]等有机合成反应。尽管已取得显著进展,但EDA络合物介导的有机合成仍处于起步阶段,需要进一步发展。为突出EDA介导有机合成的应用价值,本综述重点探讨了通过电子供体–受体(EDA)复合物过程实现的各类有机合成转化的最新进展。

Figure 1. Formation of EDA complexes

1. EDA络合物的形成

2. 通过EDA络合物过程实现的环化反应

2.1. EDA络合物过程中的分子内环化

2.1.1. 用于合成吲哚及其他杂环化合物

氮杂环化合物(如吲哚)是生物碱的基本结构单元,由于这些特殊骨架结构存在于多种重要药物和天然化合物中,有一定的生物活性[6]。Paixao及其同事报告了在温和的条件下,通过含末端炔烃的卤代苯磺酰胺1的自由基促进脱卤和分子内环化合成吲哚和吲哚衍生物2 [7]。溶剂的性质和TTMSS的用量在获得高产吲哚产品中起着至关重要的作用。对于底物的适用性,带有吸电子或给电子基团的底物以适中的产率(45%~85%)制备吲哚。然而,与带有吸电子基团的芳香环相比,芳香环中供电子基团具有更高的产率(图2)。

Figure 2. The substrate range for visible light mediated indole synthesis

2. 可见光介导吲哚合成的底物范围

2018年,余教授团队开发出一种高效的氮中心自由基(NCR)化学合成方法[8]。这一光化学策略无需光催化剂,通过O-2,4-二硝基苯肟与三乙胺(Et3N)形成的电子供体–受体(EDA)复合物实现。该反应过程通过联苯肟衍生物与叔胺形成EDA复合物,经光照后生成亚氨自由基,随后发生分子内均裂芳香取代反应(HAS),最终得到含氮芳烃(图3)。

Figure 3. EDA mediated synthesis of nitrogen-containing aromatic compounds

3. EDA介导的含氮芳烃化合物合成

2.1.2. 吲哚的三氟甲基化与脱芳构化

螺环吲哚是生物碱天然产物中的重要的结构,是一类重要的生物活性分子,在新型化合物的药物发现中具有重要用途[9]。课题组已经实现了吲哚与Umemoto试剂之间的反应,其中三氟甲基被引入螺环吲哚[10]。通过将吲哚与Umemoto试剂混合,在可见光照射下形成络合物,S-CF3键通过可见光照射裂解,产生CF3自由基。该CF3基团最终通过与末端烯烃加成生成中间体。最后,自由基–自由基偶联,在脱质子后生成产物(图4)。

Figure 4. The mechanism of trifluoromethylation and dearomatization of indole

4. 吲哚的三氟甲基化与脱芳构化反应的机理

2.2. EDA络合物介导的分子间环化反应

2.2.1. α-氨基烷基自由基对马来酰亚胺的加成反应

近期,Sunden及其团队报道了一种光化学EDA介导的直接合成方法,利用氧作为氧化剂,在无需催化剂的情况下将烷基苯胺和马来酰亚胺转化为四氢喹啉[11]。当混合两种无色试剂N,N-二甲基苯胺和N-甲基马来酰亚胺时,反应混合物发生颜色变化,表明α-氨基烷基自由基是通过电子供体–受体(EDA)络合物生成的,且该反应可在无催化剂条件下进行(图5)。

Figure 5. Mechanism study on the Addition of α-aminoalkyl radical to maleimide via EDA complex

5. 通过EDA复合物实现α-氨基烷基自由基与马来酰亚胺加成的机制研究

2.2.2. 三组分串联环化合成2-亚氨基噻唑烷-4-酮

噻唑烷是存在于各种药物和天然产物中的基本分子单元,具有一定的生物活性[12]。最近,Fan及其同事开发了一种有效的可见光促进的三组分串联转化方法,在没有金属和光催化剂的情况下,通过胺、芳基/烷基异硫氰酸酯和α-溴酯的[1+2+2]环化制备2-亚氨基噻唑烷-4-酮结构[13] [14] (图6)。当向苯甲胺、苯异硫氰酸酯和氢氧化钠的无色混合物中加入无色的乙基2-溴乙酸酯时,观察到吸收光谱发生红移,表明形成了EDA复合物。可以明显观察到EDA络合物生成,其作为光催化剂促进反应进程。

Figure 6. Synthesis and substrate range of 2-imino-thiazolidin-4-one

6. 2-亚氨基-噻唑烷-4-酮的合成与底物范围

2.2.3. 光驱动合成C6多官能团化菲并二烯

2019年,王课题组利用一种高效的光诱导EDA络合物策略,用于烯烃的氢化与芳基磺酰化反应[15]。机理研究表明,芳基亚磺酸与C6乙烯基砜菲啶或N-芳基丙烯酰胺结合形成的氢键供体–受体复合物,在该转化过程中起着关键作用。值得注意的是,这些反应在室温下进行,底物适用范围广泛,无需外部光催化剂、氧化剂和还原剂即可获得中等至良好的产率,成功制备出多种磺化氧吲哚化合物(图7)。

Figure 7. Synthesis of sulfonated oxindole with aromatic acrylamide and disulfonic acid driven by light

7. 基于光驱动的磺化氧吲哚与芳基丙烯酰胺及亚磺酸的合成

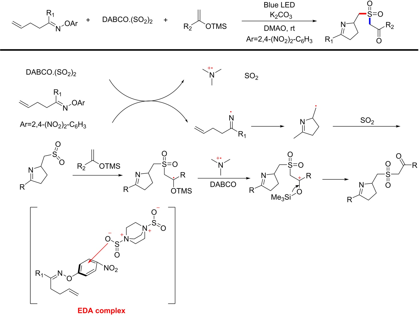
2.2.4. 通过二氧化硫插入引发的N-自由基环化反应

N中心自由基是通过二氧化硫替代DABSO (1,4-二氮杂双环[2.2.2]辛烷二硫酸盐)进行N自由基介导的环化反应,开发新型含氮杂环化合物[16]。Wu及其团队报道了在无光催化剂条件下,通过二氧化硫插入的N自由基引发环化反应[17],合成了甲磺酰基芳基乙酮类化合物。

通过考察不同肟类化合物与DABCO (SO2)2及各类硅基烯醇盐的反应,通过紫外/可见光谱研究发现, DABCO (SO2)2与底物肟的相互作用可生成EDA复合物。在可见光照射下,单电子转移(SET)过程生成N自由基、叔胺阳离子自由基及二氧化硫。随后分子内环加成反应生成烷基自由基,该自由基与二氧化硫反应生成磺酰基自由基。磺酰基自由基与硅基烯醇盐的双键加成后形成自由基。由叔胺阳离子自由基诱导的SET反应生成阳离子,并释放出叔胺DABCO。最后,阳离子在DABCO存在下发生脱硅基反应,进而转化为磺酸化的3,4-二氢-2H-吡咯46 (图8)。

Figure 8. N-radical induced cyclization reaction

8. N-自由基引发的环化反应

2.3. EDA络合过程中的分子间电荷转移

2.3.1. 吲哚的光化学烷基化

Melchiorre及其合作者报道了在无金属条件下,吲哚类化合物与电子受体苄基溴和苯甲酰溴发生直接烷基化反应[18]。在可见光照射下,EDA络合物转移一个电子,形成自由基离子对。当自由基阴离子释放溴离子时,生成溴离子与带正电的中间体,之后与自由基结合,最终生成目标吲哚烷基化产物(图9)。

2.3.2. 可见光促进的C-S交叉偶联

2017年,Miyake及其同事报告了可见光诱导的芳基卤化物(Ar-X,其中X=I、Br或Cl)和(杂)芳基硫醇之间的C-S交叉偶联反应在没有光氧化还原催化剂和过渡金属的条件下进行[19]。反应的优化表明,在白光LED照射下,室温下碱和无氧对这种自由基转化机制至关重要,该机制涉及噻吩基和芳基,随后被淬灭以产生C-S交叉偶联产物。当以良好至优异的产率(50%~97%)获得含有受阻、富电子和贫电子官能团的硫醇C-S偶联产物时,探索了C-S交叉偶联方法的范围(图10)。

Figure 9. Photocatalytic alkylation of indole

9. 吲哚的光化学烷基化

Figure 10. Scope of application of aryl bromide/iodide and thiol

10. 芳基溴化物/碘化物与硫醇的适用范围

观察到的反应活性是通过电子供体–受体(EDA)络合物中的可见光诱导电子转移实现的。当三种组分混合时,在0.1 M Cs2CO3溶液中,硫醇阴离子与芳基溴化物形成的EDA络合物呈现黄色,并在400~515 nm波长处显示吸收峰。密度泛函理论(DFT)计算进一步支持了EDA络合物的形成。最初,硫醇阴离子与芳基卤化物形成EDA络合物。随后,该EDA络合物发生电荷转移,接着通过可见光诱导的电子转移,硫醇阴离子向芳基卤化物转移电子,生成中间体卤化物阴离子、芳基自由基和硫自由基。这两个自由基随后偶联生成目标C-S交叉偶联产物(图11)。

2018年,Miyake基于先前通过EDA络合物过程形成CAS键,开发出一种光激发转化反应[20]。该反应利用Cs2CO3作为碱,在蓝色LED照射下,通过亲核酚类与亲电(乙炔基苯并碘杂环酮)试剂之间的电子供体–受体络合物过程实现。作者提出了一种光诱导电子转移路径,该路径涉及中间体乙烯基苯并碘杂环酮–苯酚氧EDA复合物,随后导致C-I键断裂和自由基交叉偶联(图12)。

Figure 11. Possible mechanism of visible light induced C-S cross coupling

11. 可见光诱导C-S交叉偶联的可能机制

Figure 12. Reaction of EBX reagent with phenolic substances under visible light irradiation

12. EBX试剂与酚类物质在可见光照射下的反应

2.3.3. 烯酮与高碘试剂的双氮化反应

有机叠氮化物作为一种可提供重要官能团(如胺、酰胺等)的中间体[21]。Ramasastry及其团队报道了在简单条件下使用Zhdankin试剂对α,β-不饱和酮进行有机催化缩合反应[22] (图13)。

该反应机制始于电子供体–受体(EDA)络合物的形成,生成叠氮自由基。随后,叠氮自由基与活化烯烃反应生成α-烷基自由基中间体,通过从溶剂或水分子中攫氢,最终生成目标产物。DABCO在此转化过程中起关键作用:一方面促进EDA复合物的形成,另一方面充当碱性环境(图14)。

Figure 13. β-acylation reaction of α,β-unsaturated ketones

13. α,β-不饱和酮的β-酰化反应

Figure 14. Possible mechanism

14. 可能的机理

2.3.4. 烯烃的烷基三氟甲基化

2017年,Yu及其同事[23] [24]报道了一种由亲电性三氟甲基化试剂和NMM组成的EDA络合物,通过一步反应引发炔丙三氟甲烷与烯烃的自由基链加成,最终生成β-CF3炔烃(图15)。

乙炔三氟甲烷中的不同官能团(如甲氧基、叔丁基、苯基、氯、溴、氟和三甲基氟)都可以用于制备目标产物,产率良好。在标准条件下使用(-)-β-蒎烯时,进一步证实了自由基反应,环开产物的产率为77%,表明自由基中间体参与了这一转化过程。对此提出了一种合理的机制(图16)。首先,叔胺与高价碘试剂形成EDA络合物产生CF3自由基并进攻烯烃,随后产生自由基中间体,该中间体可被乙炔三氟甲烷捕获,生成自由基中间体。发生β-消除之后得到三氟甲基自由基(CF3SO2)及烯烃的炔基三氟甲基化加合物。随后,通过自由基释放SO2再生成CF3自由基,从而实现自由基链的传递

2.3.5. N,N-二烷基腙的化学选择性全氟烷基化

2016年,hashmi团队报道了首例金属自由、引发剂自由且通用的光化学全氟烷基化反应[25],该反应在室温下进行,可作用于多种N,N-二烷基腙,且不需要任何外部光催化剂。这是全氟烷基自由基加成到π键以合成腙而非胺类的重要进展。研究发现,EDA络合物通过富电子的腙基团与缺电子的全氟烷基碘化物反应,最终生成全氟烷基化腙类化合物。该方法在8小时后产物收率可达75%,为C=N键的自由基加成反应开辟了新路径(图17)。

Figure 15. Alkyl trifluoromethylation of olefins by EDA complexes

15. EDA络合物对烯烃的烷基三氟甲基化

Figure 16. Possible mechanism of free radical alkyl trifluoromethylation synthesis

16. 自由基烷基三氟甲基化合成的可能机理

Figure 17. The substrate range of N,N-dialkylhydrazone for perfluoroalkylation reaction

17. N,N-二烷基腙的底物范围全氟烷基化反应

在优化的反应条件下,使用了各种电子供体N,N-二烷基腙,但芳香醛腙表明,芳香环o-、m-或p-位的贫电子和富电子取代基都具有优异的区域和化学选择性。在(E)构型中,它可以以50%~97%的收率提供所需的产品。腙和C4F9I之间可能形成EDA络合物,当将这两种化合物混合在乙腈中时,紫外–可见吸收光谱仅观察到轻微变化。烯烃[26]、腙类[27]、异氰酸酯[28]及酮酯[29]的三氟甲基化与全氟烷基化反应也能产生EDA络合物。

3. 电子给体和受体的电子效应

3.1. 影响络合物的结合常数

电子给体与电子受体混合后会产生新的强紫外‑可见吸收带,其位置受电子效应影响,但早期缺乏理论解释。Mulliken首次利用量子力学与分子轨道理论系统阐明了这一现象[30]。他将此类体系定义为电荷转移络合物,其基态由范德华态与电荷转移态(D⁺-A)共同组成,并提出CT吸收带能量近似等于给体HOMO与受体LUMO的能级差。给体给电子能力增强或受体吸电子能力增强均会减小能级差,使吸收红移;反之则蓝移。

1969年Foster系统总结了有机电荷转移络合物的研究成果,重点聚焦电子给体(D)-电子受体(A)电子效应对络合物特性(含络合常数)的调控规律,为相关研究提供了核心参考[31]

Marcus理论[32]区分电子转移模式,结合多种实验体系验证规律,建立电子效应与络合常数的定量关联,为相关研究提供了重要理论与实验支撑。

2007年,Zaria电子效应通过调控卟啉的HOMO电子云密度和能级,决定了电荷转移的难易程度,进而成为络合常数K的核心调控因素[33]

2012年Saleem等人应用Benesi-Hildebrand方程,测定了水杨基氨基吡啶和水杨基苯胺与镧系元素转换试剂Eu(fod)3在不同溶剂中的电荷转移络合物(CTC)的平衡常数(K)并研究了溶剂极性、电子因素和空间效应的影响[34]

Purnendu等人采用吸收光谱法与热力学方法,探究甲萘醌(电子受体)与系列酚类(电子给体)形成的CT络合物[35]。研究聚焦酚类电子效应对络合物特性的调控,四氯化碳介质中均检测到特征CT吸收带,CT跃迁能随酚类芳环羟基数量及位置呈系统性变化。

2020年Said以西咪替丁为电子给体、多种π-受体为研究对象[36],探究二者形成的电荷转移(CT)络合物特性,核心发现受体吸电子能力越强(吸电子取代基越多),与西咪替丁的电荷转移作用越显著,络合物结合常数越大、CT吸收带红移越明显,反之给电子取代基会削弱受体吸电子能力、降低络合物稳定性及结合常数,该规律与给体HOMO-受体LUMO能级差线性相关。

2023年Atsushi等人发现电子受体的吸电子能力越强、电子给体的给电子能力越高,二者的协同作用越显著,络合物的结合常数越大,该规律为通过配体分子设计调控过渡金属络合物的络合稳定性提供了明确的合成策略[37]

2007年Kim电子给体的给电子能力与电子受体的吸电子能力共同决定电荷转移(CT)作用强度;连接基的刚性/柔性通过调控构象与组装模式(1:1或2:2)进一步影响络合热力学。更强的电荷转移相互作用对应更大的络合稳定常数K,体现出明显的电子效应–络合能力正相关关系[38]。在2020年,Strelnikov在卟啉–富勒烯二元体系中,电子效应通过调控前线轨道能级、电荷分离态能量以及电子转移热力学驱动力,显著影响络合稳定常数。给电子取代基增强卟啉的给体能力,降低电荷分离态能量,增大电子转移驱动力,从而提高络合常数;吸电子取代基则产生相反效果,使络合常数降低。溶剂极性可进一步通过稳定电荷分离态来放大这种电子效应[39]

Tigulla在2022年采用合成、分光光度分析、多方法表征及DFT计算,系统研究了邻苯二胺(电子给体)与DDQ (电子受体)形成的CT络合物。在邻苯二胺-DDQ电荷转移络合物体系中,电子效应是决定络合稳定常数的关键因素。给体OPD上的氨基具有强给电子共轭效应,提高分子HOMO能级并增强给电子能力;受体DDQ上的氰基与氯原子具有强吸电子效应,显著降低分子LUMO能级。二者使得HOMO-LUMO能隙减小,电荷转移相互作用显著增强,最终表现为络合常数增大,CTC稳定性提高[40]

通过改良Benesi-Hildebrand方程[41]在药物与表面活性剂体系中,电子效应通过调控分子间静电相互作用、极性匹配性与疏水作用强度,直接决定结合能力。相反电荷之间的强静电吸引、合适的极性匹配以及较强的疏水作用,均会使络合/结合常数增大;电荷排斥与极性不匹配则会降低结合常数。其中Benesi-Hildebrand方程确定结合常数,或者当形成胶束假相时,Kawamura方程评估分配系数

2019陆等人在金属富勒烯/卟啉共晶中,电子效应通过调控给体–受体强度、中心金属性质与分子堆积方式,直接决定络合常数与电荷转移效率。强给体–受体匹配、中心金属高给电子性、内嵌金属强拉电子性及紧密π-π面对面堆积,均使络合常数显著增大;反之则降低[42]。Knyazev发现配体的给电子效应越强、共轭体系越大、配位能力越强,与稀土离子Tb3+/Eu3+的络合常数K越大,配合物越稳定[43]

3.2. 影响络合物的吸收波长

1973年Aloisi等人以取代噻吩为电子给体,与多种π受体及σ受体形成电荷转移络合物[44]。研究表明,体系均出现特征CT吸收带,吸收波长随取代噻吩的给电子能力增强而红移,并可由CT吸收能量估算给体电离能,进一步证实电子效应直接调控CT吸收波长的规律。在2013年Alghanmi给体的给电子能力越强、受体的电子亲和能越高,电荷转移跃迁的能隙越小,从而使最大吸收峰发生红移。溶剂极性的增大能够稳定极性激发态,进一步导致吸收峰红移[45]

2018年,崔课题组等人通过理论计算系统研究了π堆积型电子给体–受体(EDA)复合物的电荷转移(CT)跃迁性质,结果表明,复合物的CT激发能与吸收波长直接相关[46]分子间π-π堆积距离、相对滑移以及给受体的电子效应均可显著调控CT跃迁能量:给体给电子能力与受体吸电子能力越强、分子间轨道重叠越大,CT激发能越低,对应的特征吸收峰越向长波方向红移,从而使EDA复合物在可见光区域表现出明显的电荷转移吸收。

在2019年Nour等人以1,4,8,11-四氮杂环十四烷-5,7-二酮为电子给体,分别与σ-受体碘、脂肪族π-受体四氰乙烯(TCNE)及芳香族π-受体DDQ反应,合成并通过光谱法研究了三种电荷转移(CT)络合物,重点探究了波长的相关影响规律[47]

Bhattacharya1等人[48]研究了富勒烯(C60)与甲苯类化合物形成的电荷转移络合物。实验中观察到明显的电荷转移特征吸收峰,甲苯类给体的给电子能力越强,CT吸收波长越红移,同时络合物的稳定常数增大,波长变化直接体现了给体电子效应对电荷转移跃迁的调控。

2019年Khan等人采用分光光度法,研究了草酸(电子受体)与咪唑(电子给体)形成的电荷转移(CT)络合物,重点探究了波长相关影响规律[49]。研究发现,不同极性溶剂中,特征CT吸收波长的位置存在明显差异,且吸收强度随波长变化呈现规律性波动;同时,波长的变化与络合物的氢键作用强度、电荷转移效率密切相关,特征CT吸收波长的偏移能直观反映给体与受体间电荷转移程度及络合物稳定性。Shuford等人通过理论计算阐明了给电子基团对卤键作用的影响[50],并将电子结构变化与光谱特征相关联:给电子基团可改变分子的电子能级差,进而影响体系的紫外–可见吸收波长;取代基给电子能力越强,越易引起吸收峰红移,波长变化可直观反映卤键作用强度与电子转移程度。

4. 总结

总之,通过EDA络合物介导的光化学反应是一个有前景的领域,在不久的将来可能会在有机合成中得到更多的应用。它为CAC、C-S/C-N键的构建提供了一种有价值的新方法,这将有助于通过可见光促进合成杂环。尽管该领域取得进展,但仍存在若干不足:(1) 无光氧化还原催化剂时,EDA复合物介导的光化学反应机制尚未完全阐明;(2) 吸收光并引发光化学过程的反应尚不清楚;(3) 关于光引发自由基链式反应的详细知识有限;(4) 与光催化过程相比,该过程需要更多的基础;(5) 通过EDA配合物的光激发进行的光化学反应不如光氧化还原催化过程有效。(6) 如何通过理性设计扩大EDA的光谱响应范围,利用立体控制手段实现EDA诱导的不对称合成。在不久的将来,人们对还原、烷基化和官能团自由基芳香取代反应的发展抱有更大的期望。

参考文献

[1] Qiu, G., Li, Y. and Wu, J. (2016) Recent Developments for the Photoinduced Ar-X Bond Dissociation Reaction. Organic Chemistry Frontiers, 3, 1011-1027. [Google Scholar] [CrossRef
[2] Prier, C.K., Rankic, D.A. and MacMillan, D.W.C. (2013) Visible Light Photoredox Catalysis with Transition Metal Complexes: Applications in Organic Synthesis. Chemical Reviews, 113, 5322-5363. [Google Scholar] [CrossRef] [PubMed]
[3] Chiappe, C. and Pieraccini, D. (2006) Determination of Ionic Liquids Solvent Properties Using an Unusual Probe: The Electron Donor-Acceptor Complex between 4,4’-Bis(Dimethylamino)-Benzophenone and Tetracyanoethene. The Journal of Physical Chemistry A, 110, 4937-4941. [Google Scholar] [CrossRef] [PubMed]
[4] Liu, Z., Gao, S., Hu, M., Zhang, Z., Wei, P. and Zhao, M. (2025) A Visible-Light-Promoted Perfluoroalkylation/Cyclization Cascade Towards Perfluoroalkyl-Substituted Iminoisobenzofurans Using the EDA Complex. Organic & Biomolecular Chemistry, 23, 7576-7583. [Google Scholar] [CrossRef] [PubMed]
[5] Maiti, R., Cauwenbergh, R., Nath, A., Guimarães, A.B.R., Qin, Y., Maseras, F., et al. (2025) EDA Complex‐Driven Desaturation of Heterocyclic Carbonyl Compounds Enabled by HFIP. Angewandte Chemie International Edition, 64, e202514539. [Google Scholar] [CrossRef
[6] Heravi, M.M., Amiri, Z., Kafshdarzadeh, K. and Zadsirjan, V. (2021) Synthesis of Indole Derivatives as Prevalent Moieties Present in Selected Alkaloids. RSC Advances, 11, 33540-33612. [Google Scholar] [CrossRef] [PubMed]
[7] da Silva, G.P., Ali, A., da Silva, R.C., Jiang, H. and Paixão, M.W. (2015) Tris(trimethylsilyl)silane and Visible-Light Irradiation: A New Metal-and Additive-Free Photochemical Process for the Synthesis of Indoles and Oxindoles. Chemical Communications, 51, 15110-15113. [Google Scholar] [CrossRef] [PubMed]
[8] Sun, J., He, Y., An, X., Zhang, X., Yu, L. and Yu, S. (2018) Visible-Light-Induced Iminyl Radical Formation via Electron-Donor-Acceptor Complexes: A Photocatalyst-Free Approach to Phenanthridines and Quinolines. Organic Chemistry Frontiers, 5, 977-981. [Google Scholar] [CrossRef
[9] Yayik, N., Pérez, M., Molins, E., Bosch, J. and Amat, M. (2021) Studies on the Enantioselective Synthesis of E-Ethylidene-Bearing Spiro[Indolizidine-1,3’-Oxindole] Alkaloids. Molecules, 26, Article 428. [Google Scholar] [CrossRef] [PubMed]
[10] Zhu, M., Zhou, K., Zhang, X. and You, S. (2018) Visible-Light-Promoted Cascade Alkene Trifluoromethylation and Dearomatization of Indole Derivatives via Intermolecular Charge Transfer. Organic Letters, 20, 4379-4383. [Google Scholar] [CrossRef] [PubMed]
[11] Hsu, C. and Sundén, H. (2018) α-Aminoalkyl Radical Addition to Maleimides via Electron Donor-Acceptor Complexes. Organic Letters, 20, 2051-2054. [Google Scholar] [CrossRef] [PubMed]
[12] Sahiba, N., Sethiya, A., Soni, J., Agarwal, D.K. and Agarwal, S. (2020) Saturated Five-Membered Thiazolidines and Their Derivatives: From Synthesis to Biological Applications. Topics in Current Chemistry, 378, Article No. 34. [Google Scholar] [CrossRef] [PubMed]
[13] Guo, W., Zhao, M., Tan, W., Zheng, L., Tao, K., Liu, L., et al. (2018) Visible Light-Promoted Three-Component Tandem Annulation for the Synthesis of 2-Iminothiazolidin-4-Ones. The Journal of Organic Chemistry, 83, 1402-1413. [Google Scholar] [CrossRef] [PubMed]
[14] Garbarino, S., Ravelli, D., Protti, S. and Basso, A. (2016) Photoinduced Multicomponent Reactions. Angewandte Chemie International Edition, 55, 15476-15484. [Google Scholar] [CrossRef] [PubMed]
[15] Li, Y., Ma, F., Li, P., Miao, T. and Wang, L. (2019) Hydrogen and Sulfonyl Radical Generation for the Hydrogenation and Arylsulfonylation of Alkenes Driven by Photochemical Activity of Hydrogen Bond Donor‐Acceptor Complexes. Advanced Synthesis & Catalysis, 361, 1606-1616. [Google Scholar] [CrossRef
[16] Seyed Hashtroudi, M., Fathi Vavsari, V. and Balalaie, S. (2022) DABSO as a SO2 Gas Surrogate in the Synthesis of Organic Structures. Organic & Biomolecular Chemistry, 20, 2149-2163. [Google Scholar] [CrossRef] [PubMed]
[17] Mao, R., Yuan, Z., Li, Y. and Wu, J. (2017) n‐Radical‐Initiated Cyclization through Insertion of Sulfur Dioxide under Photoinduced Catalyst‐Free Conditions. ChemistryA European Journal, 23, 8176-8179. [Google Scholar] [CrossRef] [PubMed]
[18] Kandukuri, S.R., Bahamonde, A., Chatterjee, I., Jurberg, I.D., Escudero‐Adán, E.C. and Melchiorre, P. (2014) X‐Ray Characterization of an Electron Donor-Acceptor Complex That Drives the Photochemical Alkylation of Indoles. Angewandte Chemie International Edition, 54, 1485-1489. [Google Scholar] [CrossRef] [PubMed]
[19] Liu, B., Lim, C. and Miyake, G.M. (2017) Visible-Light-Promoted C-S Cross-Coupling via Intermolecular Charge Transfer. Journal of the American Chemical Society, 139, 13616-13619. [Google Scholar] [CrossRef] [PubMed]
[20] Liu, B., Lim, C. and Miyake, G.M. (2018) Light-driven Intermolecular Charge Transfer Induced Reactivity of Ethynylbenziodoxol(on)e and Phenols. Journal of the American Chemical Society, 140, 12829-12835. [Google Scholar] [CrossRef] [PubMed]
[21] Huang, D. and Yan, G. (2017) Recent Advances in Reactions of Azides. Advanced Synthesis & Catalysis, 359, 1600-1619. [Google Scholar] [CrossRef
[22] Shirke, R.P. and Ramasastry, S.S.V. (2017) Organocatalytic β-Azidation of Enones Initiated by an Electron-Donor-Acceptor Complex. Organic Letters, 19, 5482-5485. [Google Scholar] [CrossRef] [PubMed]
[23] Jiang, H., He, Y., Cheng, Y. and Yu, S. (2017) Radical Alkynyltrifluoromethylation of Alkenes Initiated by an Electron Donor-Acceptor Complex. Organic Letters, 19, 1240-1243. [Google Scholar] [CrossRef] [PubMed]
[24] Uenoyama, Y., Fukuyama, T., Morimoto, K., Nobuta, O., Nagai, H. and Ryu, I. (2006) Trifluoromethyl‐Radical‐Mediated Carbonylation of Alkanes Leading to Ethynyl Ketones. Helvetica Chimica Acta, 89, 2483-2494. [Google Scholar] [CrossRef
[25] Xie, J., Li, J., Wurm, T., Weingand, V., Sung, H., Rominger, F., et al. (2016) A General Photoinduced Electron Transfer-Directed Chemoselective Perfluoroalkylation of N, N-Dialkylhydrazones. Organic Chemistry Frontiers, 3, 841-845. [Google Scholar] [CrossRef
[26] Sladojevich, F., McNeill, E., Börgel, J., Zheng, S. and Ritter, T. (2015) Condensed‐Phase, Halogen‐Bonded CF3I and C2F5I Adducts for Perfluoroalkylation Reactions. Angewandte Chemie International Edition, 54, 3712-3716. [Google Scholar] [CrossRef] [PubMed]
[27] Yu, J. and Cai, C. (2017) Ambient-Light-Promoted Perfluoroalkylative Cyclization of β, γ‐Unsaturated Hydrazones: Synthesis of Perfluoroalkylated Pyrazolines. European Journal of Organic Chemistry, 2017, 6008-6012. [Google Scholar] [CrossRef
[28] Sun, X., Wang, W., Li, Y., Ma, J. and Yu, S. (2016) Halogen-Bond-Promoted Double Radical Isocyanide Insertion under Visible-Light Irradiation: Synthesis of 2-Fluoroalkylated Quinoxalines. Organic Letters, 18, 4638-4641. [Google Scholar] [CrossRef] [PubMed]
[29] Woźniak, Ł., Murphy, J.J. and Melchiorre, P. (2015) Photo-Organocatalytic Enantioselective Perfluoroalkylation of β-Ketoesters. Journal of the American Chemical Society, 137, 5678-5681. [Google Scholar] [CrossRef] [PubMed]
[30] Mulliken, R.S. (1952) Molecular Compounds and Their Spectra. II. Journal of the American Chemical Society, 74, 811-824. [Google Scholar] [CrossRef
[31] Foster, R. (1960) The Absorption Spectra of Molecular Complexes. Tetrahedron, 10, 96-101. [Google Scholar] [CrossRef
[32] Marcus, R.A. (1956) On the Theory of Oxidation-Reduction Reactions Involving Electron Transfer. I. The Journal of Chemical Physics, 24, 966-978. [Google Scholar] [CrossRef
[33] El-Zaria, M.E. (2008) Spectrophotometric Study of the Charge Transfer Complexation of Some Porphyrin Derivatives as Electron Donors with Tetracyanoethylene. Spectrochimica Acta Part A: Molecular and Biomolecular Spectroscopy, 69, 216-221. [Google Scholar] [CrossRef] [PubMed]
[34] Saleem, L.M.N., Al-Hyali, E.A.S. and Al-Taei, F.H.M. (2012) Spectral and Theoretical Studies of the Stability Constant of Charge Transfer Complexes of a Number of Schiff Bases with Eu(Fod)3 in Different Solvents. Oriental Journal of Chemistry, 28, 1171-1178. [Google Scholar] [CrossRef
[35] Pal, P., Bhattacharya, S., Mukherjee, A.K. and Mukherjee, D.C. (2005) Absorption Spectrometric and Thermodynamic Study of Charge Transfer Complexes of Menadione (Vitamin K3) with a Series of Phenols. Spectrochimica Acta Part A: Molecular and Biomolecular Spectroscopy, 61, 879-885. [Google Scholar] [CrossRef] [PubMed]
[36] Teleb, S.M., El-korashy, S.A., Ali, M.M. and Gaballa, A.S. (2020) Chemical and Biological Studies on Charge-Transfer Complexes of Cimetidine with Various Electron Acceptors. Journal of Molecular Structure, 1202, Article ID: 127256. [Google Scholar] [CrossRef
[37] Nakagawa, A., Ito, A., Sakuda, E., Fujii, S. and Kitamura, N. (2018) Emission Tuning of Heteroleptic Arylborane-Ruthenium(II) Complexes by Ancillary Ligands: Observation of Strickler-Berg-Type Relation. Inorganic Chemistry, 57, 9055-9066. [Google Scholar] [CrossRef] [PubMed]
[38] Ko, Y.H., Kim, K., Kim, E. and Kim, K. (2007) Exclusive Formation of 1:1 and 2:2 Complexes between Cucurbit[8]Uril and Electron Donor-Acceptor Molecules Induced by Host-Stabilized Charge-Transfer Interactions. Supramolecular Chemistry, 19, 287-293. [Google Scholar] [CrossRef
[39] Strelnikov, A.A., Konev, A.S., Levin, O.V., Khlebnikov, A.F., Iwasaki, A., Yamanouchi, K., et al. (2020) Switching Competition between Electron and Energy Transfers in Porphyrin-Fullerene Dyads. The Journal of Physical Chemistry B, 124, 10899-10912. [Google Scholar] [CrossRef] [PubMed]
[40] Nampally, V., Palnati, M.K., Baindla, N., Varukolu, M., Gangadhari, S. and Tigulla, P. (2022) Charge Transfer Complex between o-Phenylenediamine and 2, 3-Dichloro-5, 6-Dicyano-1, 4-Benzoquinone: Synthesis, Spectrophotometric, Characterization, Computational Analysis, and Its Biological Applications. ACS Omega, 7, 16689-16704. [Google Scholar] [CrossRef] [PubMed]
[41] Agatić, Z.F., Tepavčević, V., Puača, G. and Poša, M. (2024) Interaction of Drug Molecules with Surfactants Below (Benesi-Hildebrand Equation) and above the Critical Micelle Concentration (Kawamura Equation). International Journal of Pharmaceutics, 665, Article ID: 124675. [Google Scholar] [CrossRef] [PubMed]
[42] Bao, L., Wang, B., Yu, P., Huang, C., Pan, C., Fang, H., et al. (2019) Intermolecular Packing and Charge Transfer in Metallofullerene/Porphyrin Cocrystals. Chemical Communications, 55, 6018-6021. [Google Scholar] [CrossRef] [PubMed]
[43] Knyazev, A.A., Krupin, A.S. and Galyametdinov, Y.G. (2022) Luminescence Behavior of PMMA Films Doped with Tb(III) and Eu(III) Complexes. Journal of Luminescence, 242, Article ID: 118609. [Google Scholar] [CrossRef
[44] Aloisi, G.G. and Pignataro, S. (1973) Molecular Complexes of Substituted Thiophens with σ and π Acceptors. Charge Transfer Spectra and Ionization Potentials of the Donors. Journal of the Chemical Society, Faraday Transactions 1: Physical Chemistry in Condensed Phases, 69, 534-539. [Google Scholar] [CrossRef
[45] Alghanmi, R.M. (2013) Spectrophotometric Study of Charge Transfer Complex between 2,6-Diaminopyridine and 2,5-Dihydroxy-p-Benzoquinone. Physics and Chemistry of Liquids, 51, 365-380. [Google Scholar] [CrossRef
[46] Cui, Z., Aquino, A.J.A., Sue, A.C.-. and Lischka, H. (2018) Analysis of Charge Transfer Transitions in Stacked π-Electron Donor-Acceptor Complexes. Physical Chemistry Chemical Physics, 20, 26957-26967. [Google Scholar] [CrossRef] [PubMed]
[47] Nour, E., AlQaradawi, S.Y., Mostafa, A., Shams, E. and Bazzi, H.S. (2010) Synthesis, Characterization and Spectroscopic Structural Studies of Charge-Transfer Complexes of 1,4,8,11-Tetraazacyclotetradecane-5,7-Dione with Iodine, TCNE and DDQ. Journal of Molecular Structure, 980, 218-224. [Google Scholar] [CrossRef
[48] Bhattacharya, S., Banerjee, M. and Mukherjee, A.K. (2003) Spectrophotometric and Thermodynamic Studies of [60]Fullerene/Methylbenzene Charge Transfer Complexes. Spectrochimica Acta Part A: Molecular and Biomolecular Spectroscopy, 59, 3147-3158. [Google Scholar] [CrossRef] [PubMed]
[49] Khan, I.M., Alam, K., Alam, M.J. and Ahmad, M. (2019) Spectrophotometric and Photocatalytic Studies of H-Bonded Charge Transfer Complex of Oxalic Acid with Imidazole: Single Crystal XRD, Experimental and DFT/TD-DFT Studies. New Journal of Chemistry, 43, 9039-9051. [Google Scholar] [CrossRef
[50] Devore, D.P., Ellington, T.L. and Shuford, K.L. (2024) Elucidating the Role of Electron-Donating Groups in Halogen Bonding. The Journal of Physical Chemistry A, 128, 1477-1490. [Google Scholar] [CrossRef] [PubMed]