媒体宣传干预下肺结核–流感混合传播动力学模型构建与分析
Establishment and Analysis of a Tuberculosis-Influenza Co-Transmission Dynamical Model under Media Publicity Intervention
摘要: 肺结核与流感的混合传播引发双病叠加流行,对人类健康与公共卫生安全构成重大威胁。针对该问题,本文构建了一类考虑媒体宣传干预的新型SEIICCR传染病动力学模型。通过严格的理论分析,证明了在任意非负初始条件下,模型所有状态变量的解均满足非负性与有界性,确保了模型的生物学合理性;采用下一代矩阵法求解模型的基本再生数R0,并推导得出当R0 < 1时系统存在唯一无病平衡点E0,结合Routh-Hurwitz准则与构造的合适Lyapunov函数,严格证实了无病平衡点E0的局部渐近稳定性与全局渐近稳定性。通过数值模拟验证了理论分析的有效性,并量化揭示了关键参数对R0的影响。最后,基于新疆维吾尔自治区近年病例数据开展实证分析,研究结果为该区域内肺结核与流感的联合防控提供了科学依据与实践参考。
Abstract: The co-transmission of tuberculosis and influenza has led to a superimposed dual epidemic, posing a significant threat to human health and public health security. To address this issue, this paper constructs a novel SEIICCR dynamic model of infectious diseases that incorporates media publicity intervention. Through rigorous theoretical analysis, it is proved that the solutions of all state variables in the model are non-negative and bounded under any non-negative initial conditions, which ensures the biological rationality of the model. The basic reproduction number R0 of the model is derived using the next-generation matrix method, and it is shown that the system has a unique disease-free equilibrium E0 when R0 < 1. Combined with the Routh-Hurwitz criterion and an appropriately constructed Lyapunov function, the local asymptotic stability and global asymptotic stability of E0 are rigorously verified. Numerical simulations are conducted to validate the effectiveness of the theoretical analysis and quantitatively reveal the influence of key parameters on R0. Finally, an empirical analysis is carried out based on recent case data from the Xinjiang Uygur Autonomous Region. The results provide scientific and feasible decision-making references for the prevention and control of the dual epidemic of tuberculosis and influenza in the region.
文章引用:李晓玉. 媒体宣传干预下肺结核–流感混合传播动力学模型构建与分析[J]. 应用数学进展, 2026, 15(3): 491-503. https://doi.org/10.12677/aam.2026.153121

1. 引言

传染病的流行与传播始终是威胁全球公共卫生安全、影响社会经济稳定的核心因素。自Kermack与McKendrick开创性地提出仓室模型以来,传染病动力学仓室模型已发展成为揭示疾病传播机理、预测流行趋势及评估防控措施效力的关键定量工具。经典的SIR、SEIR模型及其众多扩展形式,已被广泛应用于单一传染病的动力学研究,为政府制定防控策略提供了重要的理论支撑[1]-[3]。但此类模型多针对单一疾病设计,难以适配多种传染病混合传播的复杂场景,其局限性随多疾病叠加流行的频发日益凸显。

现实世界中,传染病传播多呈现多类型共同流行的特征,此类叠加流行因传播机制复杂、疾病间存在交互作用,防控难度显著提升,已成为当前公共卫生领域亟待通过数学建模解决的难题。肺结核与流行性感冒(简称流感)的混合传播便是典型代表:肺结核具有潜伏期长、传播隐蔽、易复发的特征,流感则表现为传播速度快、抗原变异频繁、季节性暴发显著的特点,两者均以呼吸道飞沫为主要传播途径,且感染一种疾病会通过免疫抑制等机制增加对另一种疾病的易感性与严重程度[4] [5]。这种复杂的交互作用使得传统单一疾病仓室模型难以精准刻画实际流行态势,给联合防控策略的定量建模带来极大困难。

近些年来,学者们已开始探索多传染病混合传播的数学模型,提出了多仓室扩展模型[6] [7];另有研究将经典的SIR模型拓展为双疾病框架,用于分析两类传染病的简单叠加传播过程[8]-[10]。但此类研究仍存在明显不足,难以适配肺结核–流感混合传播的实际需求:其一,数学模型结构上,缺乏对两类传染病之间特定转化路径(如流感诱发潜伏结核再激活)的细致生物学与数学刻画,使得模型与实际传播场景脱节;其二,研究导向层面,多数研究侧重于理论推导与数值模拟,缺乏基于真实世界流行病学数据的区域实证校准,导致模型的实践指导价值受限,难以支撑特定地区的联合防控决策;其三,在干预因素刻画上,现有模型未充分融入媒体宣传干预的作用——已有研究证实,媒体宣传可通过影响人群接触行为进而显著降低疾病传播规模[11] [12],故缺失会降低模型的实用性。

针对上述建模与应用层面的不足,本文基于肺结核–流感混合传播的特征,构建一类考虑媒体宣传干预的SEIICCR传染病动力学仓室模型,通过严格的理论分析(包括模型解的非负性与有界性、无病平衡点的存在性与稳定性)与区域实证校准,揭示两类疾病混合传播的规律及关键参数的影响机制。本文的研究可为理解肺结核–流感混合传播动力学机制提供新的数学方法,同时为区域双疾病联合防控提供有效的决策参考,其模型构建思路也可为其他多类型传染病的动力学建模研究提供借鉴。

2. 媒体宣传干预下肺结核–流感混合传播的SEIICCR模型

媒体宣传可提升公众防护意识,促使易感者采取保持社交距离、接种疫苗、减少暴露等防护行为,使其在行为意义上不再具备被感染与传播疾病的风险。为刻画这种由行为改变带来的保护效应,本文将这部分因行为改变而退出易感状态的人群从易感者仓室S转入康复者仓室R。此处的R为广义康复/防护仓室,既包含疾病康复后获得免疫的个体,也涵盖因采取有效防护行为而不再参与疾病传播链的易感人群,以此精准地刻画“宣传–行为改变–风险降低”的真实传播调控路径。基于上述机制,本文将总人口N分为易感个体、潜伏性肺结核携带者、单一肺结核感染者、单一流感感染者、潜伏性肺结核与流感混合感染者、肺结核与流感混合感染者、以及康复者七个群体。设 S( t ) E( t ) I T ( t ) I F ( t ) C 1 ( t ) C 2 ( t ) R( t ) 分别表示t时刻七个仓室中个体的数量。基于肺结核和流感的传播机制,建立媒体宣传干预下肺结核–流感混合传播的SEIICCR模型如下:

{ dS dt =Λ β t S I T β f S I F β c 1 S C 1 β c 2 S C 2 (m+μ)S, dE dt = β t S I T + γ 1 C 1 ρ e E I F ( γ e + d e + α 1 +μ )E, d I T dt = α 1 E+ γ 2 C 2 ρ I T I F ( γ t + d t +μ ) I T , d I F dt = β f S I F + γ 3 C 1 + γ 4 C 2 ρ I F I T ( γ f + d f +μ ) I F , d C 1 dt = β c 1 S C 1 + β c 2 S C 2 + ρ e E I F +ρ I F I T ( α 2 + γ 1 + γ 3 + d 1 + δ 1 +μ ) C 1 , d C 2 dt =ρ I T I F + α 2 C 1 ( γ 2 + γ 4 + d 2 + δ 2 +μ ) C 2 , dR dt =mS+ γ e E+ γ t I T + γ f I F + δ 1 C 1 + δ 2 C 2 μR. (1)

表1提供了模型中参数的生物意义,图1展示了疾病传播的流程图。

Table 1. Definition of parameters in the SEIICCR model

1. SEIICCR模型中参数的定义

参数

定义

参数

定义

Λ

易感者的输入率

d 2

C 2 的因病死亡率

μ

自然死亡率

γ e

E 的康复率

m

媒体宣传驱动S的行为改变的速率

γ t

I T 的康复率

β t

I T 的有效传播率

γ f

I F 的康复率

β f

I F 的有效传播率

γ 1

C 1 中流感的康复率

β c 1

C 1 的有效传播率

γ 2

C 2 中流感的康复率

β c 2

C 2 的有效传播率

γ 3

C 1 中肺结核潜伏者的康复率

α 1

E 转化为 I T 的速率

γ 4

C 2 中肺结核的康复率

α 2

C 1 转化为 C 2 的速率

ρ

I T I F 接触形成 C 1 / C 2 的速率

d e

E 的因病死亡率

ρ e

E I F 接触形成 C 1 的速率

d t

I T 的因病死亡率

δ 1

C 1 的康复率

d f

I F 的因病死亡率

δ 2

C 2 的康复率

d 1

C 1 的因病死亡率

Figure 1. Flowchart of SEIICCR model

1. SEIICCR模型的流程图

3. 模型分析

3.1. 模型解的非负性与有界性

为保证模型的生物学合理性,本小节将严格证明系统(1)在任意给定的非负初值下,其解具有非负性与有界性,定理如下:

定理 3.1 对任意给定的非负初值 S( 0 )0,E( 0 )0, I T ( 0 )0, I F ( 0 )0, C 1 ( 0 )0, C 2 ( 0 )0,R( 0 )0 ,系统(1)的解 S( t ),E( t ), I T ( t ), I F ( t ), C 1 ( t ), C 2 ( t ),R( t ) t0 时均是非负的且有界的。

证明: u( t )= β t I T + β f I F + β c 1 C 1 + β c 2 C 2 +m+μ ,根据系统(1)的第一个方程可以得到

dS dt +u( t )S=Λ.

将上述方程的两边同时乘以积分因子 exp{ 0 t u ( τ )dτ } 得到

dS( t )exp{ 0 t u ( τ )dτ } dt =Λexp{ 0 t u ( τ )dτ }0.

再将上述方程的两边分别从0到t取积分,可以得到

S( t )exp{ 0 t u ( τ )dτ }S( 0 )= 0 t Λ exp{ 0 x u ( τ )dτ }dx0.

由上式易知,对于任意的 S( 0 )0 ,显然 S( t ) 是非负的。同理可得 E( t ), I T ( t ), I F ( t ), C 1 ( t ), C 2 ( t ),R( t ) 都是非负的。

为了证明解的有界性,将系统(1)等号两边的式子相加得到

dS dt + dE dt + d I T dt + d I F dt + d C 1 dt + d C 2 dt + dR dt =Λμ( S+E+ I T + I F + C 1 + C 2 +R )                                                                     d e E d t I T d f I F d 1 C 1 d 2 C 2 .

dN dt =ΛμN d e E d t I T d f I F d 1 C 1 d 2 C 2 .

基于 E( t ), I T ( t ), I F ( t ), C 1 ( t ), C 2 ( t ) 的非负性可得 dN dt ΛμN ,因此

limsup t N( t ) Λ μ .

这说明 S( t ),E( t ), I T ( t ), I F ( t ), C 1 ( t ), C 2 ( t ),R( t ) 都是有界的,证明完毕。

3.2. 基本再生数与无病平衡点分析

为了方便,引入以下记号:

Δ 1 = γ e + d e + α 1 +μ, Δ 2 = γ t + d t +μ, Δ 3 = γ f + d f +μ,  Δ 4 = α 2 + γ 1 + γ 3 + d 1 + δ 1 +μ,  Δ 5 = γ 2 + γ 4 + d 2 + δ 2 +μ,

R 1 = β f Λ ( m+μ ) Δ 3 , R 2 = α 1 β t Λ ( m+μ ) Δ 1 Δ 2 , R 3 = ( α 2 β c 2 + β c 1 Δ 5 )Λ ( m+μ ) Δ 4 Δ 5 , R 4 = β c 1 Λ ( m+μ )( Δ 4 + Δ 5 ) .

利用下一代矩阵法[13]可求得模型(1)的基本再生数为: R 0 =max{ R 1 , R 2 , R 3 , R 4 }

对于多疾病混合传播模型,无病平衡状态具有重要意义。下面讨论模型(1)的无病平衡点及其渐近稳定性。

S 0 = Λ ( m+μ ) , R 0 = mΛ μ( m+μ ) , g 1 = γ 1 Δ 5 α 1 + γ 2 Δ 1 α 2 α 1 Δ 4 Δ 5 ( 1 R 3 ) , g 2 = γ 3 Δ 5 + γ 4 α 2 Δ 4 Δ 5 ( 1 R 3 ) , A=( 1+ β c 2 S 0 Δ 5 ) g 1 + Δ 1 α 1 ( γ 2 Δ 5 1 ),  B=[ 1( 1+ β c 2 S 0 Δ 5 ) g 2 + γ 4 Δ 5 ]( 1 g 1 g 2 ).

定理 3.2 (1) 如果 R 0 <1 ,则系统(1)存在唯一的无病平衡点 E 0 =( S 0 ,0,0,0,0,0, R 0 ) ,并且 E 0 是局部渐近稳定的。(2) 如果 R 0 <1,  g 1 <1  AB ,则 E 0 是全局渐近稳定的。

证明:(1) 系统(1)的平衡点满足以下方程

{ Λ β t S I T β f S I F β c 1 S C 1 β c 2 S C 2 ( m+μ )S=0, β t S I T + γ 1 C 1 ρ e E I F Δ 1 E=0, α 1 E+ γ 2 C 2 ρ I T I F Δ 2 I T =0, β f S I F + γ 3 C 1 + γ 4 C 2 ρ I F I T Δ 3 I F =0, β c 1 S C 1 + β c 2 S C 2 + ρ e E I F +ρ I F I T Δ 4 C 1 =0, ρ I T I F + α 2 C 1 Δ 5 C 2 =0, mS+ γ e E+ γ t I T + γ f I F + δ 1 C 1 + δ 2 C 2 μR=0. (2)

根据无病平衡的定义,令 E= I T = I F = C 1 = C 2 =0 ,于是有 Λ( m+μ ) S 0 =0 m S 0 μ R 0 =0 。直接解方程组可得 S 0 = Λ ( m+μ ) , R 0 = mΛ μ( m+μ ) 。因此,系统(1)唯一的无病平衡点为 E 0 =( S 0 ,0,0,0,0,0, R 0 ) 。模型(1)在 E 0 处的特征方程为

| λ+( m+μ ) 0 β t S 0 β f S 0 β c 1 S 0 β c 2 S 0 0 0 λ+ Δ 1 β t S 0 0 γ 1 0 0 0 α 1 λ+ Δ 2 0 0 γ 2 0 0 0 0 λ( β f S 0 Δ 3 ) γ 3 γ 4 0 0 0 0 0 λ( β c 1 S 0 Δ 4 ) β c 2 S 0 0 0 0 0 0 α 2 λ+ Δ 5 0 m γ e γ t γ f δ 1 δ 2 λ+μ |=0.

通过计算可得

( λ+μ )( λ+m+μ )[ λ( β f S 0 Δ 3 ) ][ ( λ+ Δ 1 )( λ+ Δ 2 ) α 1 β t S 0 ][ ( λ( β f S 0 Δ 4 ) )( λ+ Δ 5 ) α 2 β c 2 S 0 ]=0.

容易看出上述特征方程的根为: λ 1 =μ<0,  λ 2 =( m+μ )<0,  λ 3 = β f S 0 Δ 3

λ 4 = ( Δ 1 + Δ 2 )+ ( Δ 1 Δ 2 ) 2 +4( Δ 1 Δ 2 α 1 β t S 0 ) 2 ,  λ 5 = ( Δ 1 + Δ 2 ) ( Δ 1 Δ 2 ) 2 +4( Δ 1 Δ 2 α 1 β t S 0 ) 2 , λ 6 = [ ( β c 1 S 0 Δ 4 ) Δ 5 ]+ [ Δ 5 +( β c 1 S 0 Δ 4 ) ] 2 +4 α 2 β c 2 S 0 2 , λ 7 = [ ( β c 1 S 0 Δ 4 ) Δ 5 ] [ Δ 5 +( β c 1 S 0 Δ 4 ) ] 2 +4 α 2 β c 2 S 0 2 .

显然,如果 R 1 <1 ,则 λ 3 = β f S 0 Δ 3 <0 。如果 R 2 <1 ,则 α 1 β t S 0 < Δ 1 Δ 2 ,从而可推导出 λ 5 <0

[ ( Δ 1 Δ 2 ) 2 +4( Δ 1 Δ 2 α 1 β t S 0 ) ] 2 ( Δ 1 + Δ 2 ) 2 = ( Δ 1 + Δ 2 ) 2 4 α 1 β t S 0 ( Δ 1 + Δ 2 ) 2 <1.

由上式可得 λ 4 <0 。如果 R 3 <1,  R 4 <1 成立,则有 ( α 2 β c 2 + β c 1 Δ 5 ) S 0 < Δ 4 Δ 5 ,  β c 1 S 0 < Δ 4 + Δ 5

[ [ Δ 5 +( β c 1 S 0 Δ 4 ) ] 2 +4 α 2 β c 2 S 0 ] 2 = Δ 5 2 + ( β c 1 S 0 Δ 4 ) 2 +2 Δ 5 β c 1 S 0 2 Δ 4 Δ 5 +4 α 2 β c 2 S 0 < Δ 5 2 + ( β c 1 S 0 Δ 4 ) 2 +2[ Δ 5 β c 1 S 0 ( α 2 β c 2 + β c 1 Δ 5 ) S 0 ]+4 α 2 β c 2 S 0 = Δ 5 2 + ( β c 1 S 0 Δ 4 ) 2 +2 α 2 β c 2 S 0 < Δ 5 2 + ( β c 1 S 0 Δ 4 ) 2 +2( Δ 4 Δ 5 β c 1 Δ 5 S 0 ) = Δ 5 2 + ( β c 1 S 0 Δ 4 ) 2 2 Δ 5 ( β c 1 S 0 Δ 4 ) = [ Δ 5 ( β c 1 S 0 Δ 4 ) ] 2 .

由此可得出 λ 6 <0 λ 7 <0 。综合以上分析特征方程的所有根都有负的实部,根据Routh-Hurwitz准则,当 R 0 <1 时,系统(1)唯一的无病平衡点 E 0 是局部渐近稳定的。

(2) 定义一个非负的李雅普诺夫函数: U= u 1 E+ u 2 I T + u 3 I F + u 4 C 1 + u 5 C 2 ,其中

u 1 = α 1 Δ 1 Δ 2 ,   u 2 = 1 Δ 2 ,   u 3 =( 1 g 1 g 2 ) u 1 ,   u 4 = g 1 u 1 + g 2 u 3 , u 5 =( γ 2 Δ 1 α 1 Δ 5 + β c 2 S 0 Δ 5 g 1 ) u 1 +( γ 4 Δ 5 + β c 2 S 0 Δ 5 g 2 ) u 3 .

U 关于时间的导数为:

U ˙ = u 1 E ˙ + u 2 I T . + u 3 I F . + u 4 C 1 . + u 5 C 2 .    = u 1 ( β t S I T + γ 1 C 1 ρ e E I F Δ 1 E )+ u 2 ( α 1 E+ γ 2 C 2 ρ I T I F Δ 2 I T )n+ u 3 ( β f S I F + γ 3 C 1 + γ 4 C 2 ρ I F I T Δ 3 I F )      + u 4 ( β c 1 S C 1 + β c 2 S C 2 + ρ e E I F ρ I F I T Δ 4 C 1 )+ u 5 ( ρ I T I F + α 2 C 1 Δ 5 C 2 )    ( u 2 α 1 u 1 Δ 1 )E+( u 1 β t S 0 u 2 Δ 2 ) I T +( u 3 β f S 0 u 3 Δ 3 ) I F +( u 1 γ 1 + u 3 γ 3 + u 4 β c 1 S 0 + u 5 α 2 u 4 Δ 4 ) C 1      +( u 2 γ 2 + u 3 γ 4 + u 4 β c 2 S 0 u 5 Δ 5 ) C 2 +( u 4 u 1 ) ρ e I F E+( u 4 + u 5 u 2 u 3 )ρ I F I T    =0E+( R 2 1 ) I T +( R 1 1 ) u 3 Δ 3 I F +0 C 1 +0 C 2 +( g 1 u 1 + g 2 u 3 u 1 ) ρ e I F E+( g 1 u 1 + g 2 u 3 Δ 1 α 1 u 1 u 3 )ρ I F I T      +[ ( γ 2 Δ 1 α 1 Δ 5 + β c 2 S 0 Δ 5 g 1 ) u 1 +( γ 4 Δ 5 + β c 2 S 0 Δ 5 g 2 ) u 3 ]ρ I F I T    =0E+( R 2 1 ) I T +( R 1 1 ) u 3 Δ 3 I F +0 C 1 +0 C 2 +0 ρ e I F E+( AB ) u 1 ρ I F I T .

根据上式可以看出,如果 R 0 <1 AB 成立,则 U ˙ 0 ,当且仅当在 E 0 U ˙ =0 。因此,由LaSalle不变原理可得,无病平衡点 E 0 是全局渐近稳定的,证明完毕。

4. 数值模拟

4.1. 无病平衡点的稳定性

假设参数 β t =0.00001,  β f =0.000008,  β c 1 =0.000001,  β c 2 =0.0000012, Λ=110, m=0.004, μ=0.005,

γ 1 =0.005, γ 2 =0.04, γ 3 =0.03, γ 4 =0.02, γ t =0.12, γ e =0.1, γ f =0.8, α 1 =0.03,  α 2 =0.05, ρ=0.03,  ρ e =0.02,

d e =0.0003, d t =0.0002, d f =0.0001, d 1 =0.02, d 2 =0.0003, δ 1 =0.0001, δ 2 =0.015 。取五组初值分别为:

( S( 0 ),E( 0 ), I T ( 0 ), I F ( 0 ), C 1 ( 0 ), C 2 ( 0 ),R( 0 ) )=( 20000,1000,200,800,500,800,1000 ),

( S( 0 ),E( 0 ), I T ( 0 ), I F ( 0 ), C 1 ( 0 ), C 2 ( 0 ),R( 0 ) )=( 20000,2000,200,800,500,800,0 ),

( S( 0 ),E( 0 ), I T ( 0 ), I F ( 0 ), C 1 ( 0 ), C 2 ( 0 ),R( 0 ) )=( 20000,1000, 500,500,500,800,1000 ),

( S( 0 ),E( 0 ), I T ( 0 ), I F ( 0 ), C 1 ( 0 ), C 2 ( 0 ),R( 0 ) )=( 20000,1600,500,500,500,200,1000 ),

( S( 0 ),E( 0 ), I T ( 0 ), I F ( 0 ), C 1 ( 0 ), C 2 ( 0 ),R( 0 ) )=( 20000,1500,500,0,200,1000,1000 ),

通过计算可得基本再生数 R 0 =0.2165<1 ,根据定理3.2,系统随着时间会逐渐达到一个无病的平衡状态。从图2可以看出无病平衡点 E 0 =( 12222,0,0,0,0,0,9778 ) 是渐近稳定的。

Figure 2. The trajectories of S( t ),E( t ), I T ( t ), I F ( t ), C 1 ( t ), C 2 ( t ),R( t ) for the system (1) with the some initial value

2. 在一些初值下系统(1)中 S( t ),E( t ), I T ( t ), I F ( t ), C 1 ( t ), C 2 ( t ),R( t ) 的轨迹

4.2. 基本再生数R0

为确定模型中关键参数对基本再生数 R 0 的影响,选择与4.1中相同的参数值来完成 R 1 R 4 的敏感性分析(参数变化范围:1%)。从图3可以看出 β f , β t , β c 1 , β c 2 α 1 是较强敏感的正相关参数,而 γ f , γ t , γ e m 是较强敏感的负相关参数。图4显示增加 β f , β t , β c 1 , β c 2 α 1 会导致 R 0 的增加,而增加 γ f , γ t , γ e m 则会导致 R 0 的减少。因此可以通过降低传播率或提高恢复率与媒体宣传力度来降低基本再生数,使得系统达到无病平衡状态。

Figure 3. Sensitivity analysis of R 1 , R 2 , R 3 and R 4 path parameters

3. R 1 , R 2 , R 3 , R 4 路径参数的敏感性分析

Figure 4. The impact of parameters ( β f , β t , β c 1 , β c 2 , α 1 ) and ( γ f , γ t , γ e ,m ) on R 0

4. 参数( β f , β t , β c 1 , β c 2 , α 1 )和( γ f , γ t , γ e ,m )对 R 0 的影响

5. 实证分析

5.1. 参数估计与数据拟合

本节选取2024年10月至2025年9月中国新疆维吾尔自治区报告的每月新增肺结核病例数据完成实证分析,数据来源于新疆维吾尔自治区卫生健康委员会(https://wjw.xinjiang.gov.cn/)。根据新疆维吾尔自治区统计公报(https://tjj.xinjiang.gov.cn/tjj/tjgn/ist.shtml)显示,该区第七次全国人口普查人口总数为25852345人,人口年均增长率与自然死亡率分别为0.0171和0.00445。因此,下面的数据拟合中取 Λ=36840 / μ=0.00037 / 。根据相关文献[14]-[19],我们合理的假设初值为 ( S( 0 ),E( 0 ), I T ( 0 ), I F ( 0 ), C 1 ( 0 ), C 2 ( 0 ),R( 0 ) )=( 25846637,1000,1308,1000,800,600,1000 ), ( γ 1 , γ 2 , γ 3 , γ 4 , α 1 , α 2 , δ 1 , δ 2 , d e , d t , d f , d 1 , d 2 )= (0.03, 0.02, 0.001, 0.0001, 0.000012, 0.0121, 0.00002, 0.000001, 0, 0.0003, 0, 0.000001, 0.00031) (单位:每月)。使用最小二乘法估计剩余的关键参数,估计值见表2。通过计算可得 R 0 =5.8349>1 ,因此判断未来两类传染病不会灭绝。从图5图6中可以看出 I T , I F , C 1 , C 2 的数量都呈现上升的趋势。

Table 2. The estimated values of model parameters by the least-square method

2. 最小二乘法估计的模型参数值

参数

初值

估计值

参数

初值

估计值

β t

2.0 × 10−8

1.441365 × 10−6

γ e

2.0 × 10−2

8.130432 × 10−2

β f

1.5 × 10−4

1.969483 × 10−7

γ t

3.0 × 10−2

2.092759 × 10−6

β c 1

5.85 × 10−9

1.583118 × 10−9

γ f

1.00101 × 10−1

1.551832 × 10−1

β c 2

5.8 × 10−3

8.618175 × 10−8

ρ e

1.2 × 10−6

7.928207 × 10−5

ρ

2.35 × 10−6

1.603162 × 10−14

m

5.99 × 10−4

7.623850 × 10−3

Figure 5. Real data and fitted curve of new tuberculosis cases

5. 新增结核病例的真实数据与拟合曲线

Figure 6. The fitting curve of I F , C 1 and C 2

6. I F , C 1 C 2 的拟合曲线

5.2. 重要参数分析

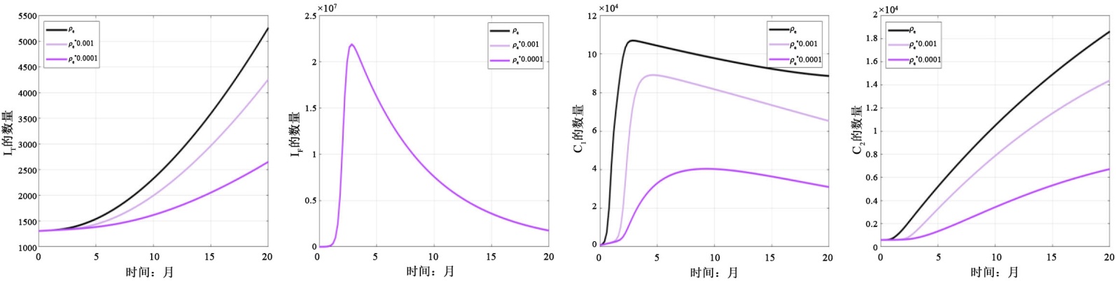
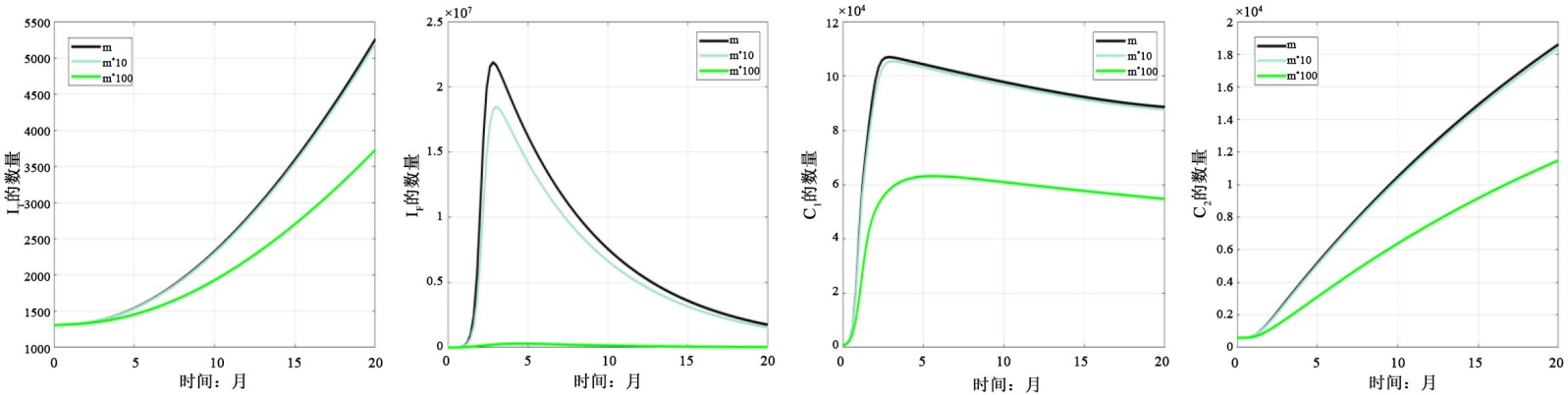
为更清晰地阐明估计的参数对四种感染者数量的影响,我们分别讨论了传播参数( β t , β f , β c 1 , β c 2 , ρ e )、康复参数( γ e , γ t , γ f )以及媒介宣传参数(m)的变化对( I T , I F , C 1 , C 2 )的影响。结果如图7~10所示。图7显示降低( β t , β f , β c 1 , β c 2 , ρ e )可减少 I T , I F , C 1 , C 2 的数量,从而实现无病平衡状态。图8~10表明媒体宣传(m)与康复干预( γ e , γ t , γ f )的重要性,这提示当地卫生部门可针对性优化防控资源配置,强化重点人群健康宣教与临床康复支持,从而更高效地遏制两类传染病的共同流行。

Figure 7. The impact of changes in β t , β f , β c 1 , β c 2 on I T , I F , C 1 , C 2

7. β t , β f , β c 1 , β c 2 的变化对 I T , I F , C 1 , C 2 的影响

Figure 8. The impact of changes in ρ e on I T , I F , C 1 , C 2

8. ρ e 的变化对 I T , I F , C 1 , C 2 的影响

Figure 9. The impact of changes in γ e , γ t , γ f on I T , I F

9. γ e , γ t , γ f 的变化对 I T , I F 的影响

Figure 10. The impact of changes in m on I T , I F , C 1 , C 2

10. m 的变化对 I T , I F , C 1 , C 2 的影响

5.3. 总结与讨论

本节利用所构建的SEIICCR动力学模型分析了新疆地区肺结核–流感两类疾病的传播。首先利用最小二乘估计法估计出模型参数,然后计算得基本再生数远大于1,表明现有条件下两类传染病不会趋于灭绝,该结论与当地实际流行态势一致。在此基础上,通过分析关键参数进一步探究防控路径,分析结果显示,降低传播参数、提高康复参数及媒体宣传参数,可有效减少各类感染者数量,推动系统趋向无病平衡状态,这为当地两类传染病的防控提供了重要现实指导。本小节研究结果验证了模型的实用性,为后续开展传染病流行趋势判断及防控策略分析提供了可靠支撑。同时,本研究构建的SEIICCR模型可为同类多疾病共同感染的动力学分析提供参考范式,为其他地区相关传染病防控研究提供借鉴。

结合防控实际,本研究的模型结论仍存在一定的讨论空间与延伸方向。肺结核为慢速传播、长病程传染病,流感为快速传播、短病程且具明显季节性的传染病,二者存在时间尺度分离,这是双病共存的显著特征之一。流感季节性爆发脉冲会通过降低人群免疫力、引发医疗资源挤兑等,间接影响肺结核传播与复发,进而改变其长期流行态势。在后续工作中,我们将考虑流感的季节性爆发脉冲对肺结核的长期流行趋势的影响,具体来说将流感传播系数 β f 设为季节性波动形式( β f ( t )= β f 0 ( 1+Asin( 2πt/T ) ) ,其中 β f 0 为流感基础传播系数,A为季节性振幅,T为周期)模拟流感冬春季高发、夏秋季低发的连续波动特征,设置有无流感脉冲的对照与实验组,重点观察肺结核活动性病例( I T )、潜伏/复发病例( C 1 / C 2 )的短期激增及长期累积变化,以此清晰揭示流感爆发对肺结核长期流行的具体影响,完善双病动力学分析。

基金项目

新疆政法学院校长基金资助项目(项目编号:XZZK2025018)。

参考文献

[1] Zhao, Q., Wang, Y., Yang, M., Li, M., Zhao, Z., Lu, X., et al. (2021) Evaluating the Effectiveness of Measures to Control the Novel Coronavirus Disease 2019 in Jilin Province, China. BMC Infectious Diseases, 21, Article No. 245. [Google Scholar] [CrossRef] [PubMed]
[2] Kumar, A., Kumari, N., Mandal, S. and Kumar Tiwari, P. (2025) Autonomous and Non-Autonomous Dynamics of an SIRS Model with Convex Incidence Rate. Journal of the Franklin Institute, 362, Article 108236. [Google Scholar] [CrossRef
[3] Settati, A., Lahrouz, A., Zahri, M., Tridane, A., El Fatini, M., El Mahjour, H., et al. (2021) A Stochastic Threshold to Predict Extinction and Persistence of an Epidemic SIRS System with a General Incidence Rate. Chaos, Solitons & Fractals, 144, Article 110690. [Google Scholar] [CrossRef
[4] World Health Organization (2023) Global Tuberculosis Report 2023. World Health Organization.
[5] World Health Organization (2024) Global Influenza Programme: Review of the 2023 Influenza Season in the Temperate Zones of the Northern Hemisphere. World Health Organization.
[6] Nickbakhsh, S., Mair, C., Matthews, L., Reeve, R., Johnson, P.C.D., Thorburn, F., et al. (2019) Virus-Virus Interactions Impact the Population Dynamics of Influenza and the Common Cold. Proceedings of the National Academy of Sciences, 116, 27142-27150. [Google Scholar] [CrossRef] [PubMed]
[7] Wang, X., Chen, F. and Wu, D. (2025) Modelling and Analysis on Co-Infection of COVID-19 and TB and Optimal Control Strategy. International Journal of Applied and Computational Mathematics, 11, Article No. 83. [Google Scholar] [CrossRef
[8] Li, X., Li, Z. and Ding, S. (2025) Dynamic Properties of Deterministic and Stochastic SIIIRS Models with Multiple Viruses and Saturation Incidences. Computer Methods in Biomechanics and Biomedical Engineering, 28, 265-291. [Google Scholar] [CrossRef] [PubMed]
[9] Zhao, J., Wang, L. and Han, Z. (2018) Stability Analysis of Two New SIRS Models with Two Viruses. International Journal of Computer Mathematics, 95, 2026-2035. [Google Scholar] [CrossRef
[10] Kuddus, M.A., McBryde, E.S., Adekunle, A.I. and Meehan, M.T. (2022) Analysis and Simulation of a Two-Strain Disease Model with Nonlinear Incidence. Chaos, Solitons & Fractals, 155, Article 111637. [Google Scholar] [CrossRef
[11] Liu, X., Wu, Y. and Xu, X. (2020) The Intervention Role of Media in Epidemic Outbreaks: An Analysis Based on Infectious Disease Model Theory and COVID-19 Cases. Global Media Journal, 7, 169-185.
[12] Li, J., Wang, X., Guo, S., Liang, Y. and Guo, D. (2024) Dynamic Analysis of an Ebola Infectious Disease Model with Media Reporting Effect. Journal of Huazhong Normal University (Natural Sciences), 58, 298-303.
[13] van den Driessche, P. and Watmough, J. (2002) Reproduction Numbers and Sub-Threshold Endemic Equilibria for Compartmental Models of Disease Transmission. Mathematical Biosciences, 180, 29-48. [Google Scholar] [CrossRef] [PubMed]
[14] https://tjj.xinjiang.gov.cn/tjj/tjgn/ist.shtml
[15] https://wjw.xinjiang.gov.cn/
[16] https://www.stats.gov.cn/sj/ndsj/
[17] https://ceidata.cei.cn/
[18] Paziliya, A., Yipaer, A., Zhao, Y., Muhebuli, N., Wang, R., Gulijiamali, R. and Liu, N. (2025) Epidemiological Characteristics of Reported Pulmonary Tuberculosis in Xinjiang Uygur Autonomous Region, 2005-2023. China Tropical Medicine, 25, 1533-1539.
[19] Deng, L., Zhao, F., Li, Z., Zhang, W., He, G. and Ren, X. (2024) Epidemiological Characteristics of Tuberculosis Incidence and Its Macro-Influence Factors in Chinese Mainland during 2014-2021. Infectious Diseases of Poverty, 13, Article No. 34. [Google Scholar] [CrossRef] [PubMed]