高速列车隧道进口波辐射特征数值模拟研究
Numerical Simulation Study on the Radiation Characteristics of Tunnel Entry Waves Induced by High-Speed Trains
摘要: 高速列车进入隧道时,除在隧道内形成传播的压缩波外,还会在隧道入口向外部空间辐射低频压力脉冲,即隧道进口波,其可能对隧道口周边环境与人员产生影响。为系统研究该压力波的辐射特性,本文基于三维非定常计算流体力学方法,对我国典型高速列车以350 km/h速度进入山体隧道工况下的进口波进行了数值模拟。计算采用雷诺平均Navier-Stokes方程,结合重叠网格技术及二阶空间和时间离散格式,通过动模型试验结果对数值方法的可靠性进行了验证。在此基础上,分析了列车头车与尾车进入隧道过程中隧道外压力波的时域演化特征、空间分布规律及频域组成。结果表明,进口波在隧道外空间中呈现明显的非对称辐射特性,其中头车进入隧道时产生的负压波幅值更大、影响范围更广,是外部环境压力波动的主要来源。隧道入口近场区域的压力变化同时受到列车绕流与进口波的共同影响,而远场区域的压力变化主要由进口波主导,并随距离增加呈近似球面扩散衰减。频域分析显示,压力波能量主要集中在次声及低频范围,可听频段占比较低,不同方位和距离处的声压级分布存在差异。研究结果可为高速铁路隧道入口区域的环境影响评估与减振降噪设计提供参考。
Abstract: When a high-speed train enters a tunnel, low-frequency pressure pulses are directly radiated from the tunnel portal into the surrounding environment, in addition to the compression wave propagating inside the tunnel. These pressure waves, known as tunnel entry waves, may affect the environmental conditions near tunnel portals. In this study, three-dimensional unsteady computational fluid dynamics simulations were performed to investigate the radiation characteristics of tunnel entry waves generated by a typical high-speed train entering a mountain tunnel at a speed of 350 km/h. The Reynolds-averaged Navier-Stokes equations were solved using an overset grid technique with second-order spatial and temporal discretization schemes, and the numerical approach was validated against moving-model experimental data. Based on the validated model, the temporal evolution, spatial distribution, and frequency characteristics of pressure waves outside the tunnel during the entry of the head and tail cars were analyzed. The results show that the radiated pressure waves exhibit pronounced spatial asymmetry, with the negative pressure wave generated by the head car entry having a larger amplitude and wider affected region, dominating the environmental pressure response. In the near-field region, pressure variations are influenced by both train-induced flow and entry waves, whereas in the far field the pressure fluctuations are mainly governed by the entry waves and attenuate with distance in an approximately spherical manner. Frequency-domain analysis indicates that the wave energy is mainly concentrated in the infrasound and low-frequency range, with a limited contribution in the audible band. The results provide a reference for environmental impact assessment and noise mitigation design at high-speed railway tunnel portals.
文章引用:李宝贤. 高速列车隧道进口波辐射特征数值模拟研究[J]. 流体动力学, 2026, 14(1): 90-99. https://doi.org/10.12677/ijfd.2026.141009

1. 引言

随着高速列车速度的不断提升,列车通过隧道时引发的空气动力学效应已成为影响环境与安全的关键问题。列车驶入隧道瞬间,除在隧道内产生向出口传播的压缩波外,还会直接从隧道入口向外部空间辐射低频压力脉冲,即隧道进口波[1]。该波主频位于次声频段(小于20 Hz),虽绝对声压级通常较低,但随着列车速度的不断提高,其引发的洞口附近建筑窗框振动与可听“喀喇”声等环境侵扰已不容忽视[2] [3]。因此,系统揭示进口波的生成机理、传播规律,对完善高速铁路空气动力学理论、评估与防控环境噪声具有重要价值。

在进口波的研究方面,已有工作奠定了多方法结合的研究范式。日本学者IIDA [1]通过现场测量和缩尺模型实验,最早确认了进口波由头车驶入产生的负脉冲和尾车驶入的正脉冲产生。梅元贵等人[4]和王瑞丽等人[3]针对我国CRH系列列车及典型隧道断面的三维非定常CFD模拟,重现了进口波的双脉冲结构,量化分析了车速、阻塞比等参数的影响。此外,Lockard [5]和Zingg、Lomax [6]等针对长距离线性波传播进行了高精度、低色散数值格式研究,以及Bellenoue [7]采用低速气体混合物实现高马赫数现象缩比模拟的创新实验方法,均为本问题的精细化研究提供了关键方法论支持。

然而,现有研究仍存在若干有待深化之处。首先,经典理论及实验结论多基于特定国外技术条件,其在我国的隧道及列车型号下的适用性与预测精度需进一步校验。其次,进口波的产生涉及列车近场非定常流与入口几何的复杂相互作用,其三维瞬态流场结构与远场辐射声场的详细关联机制,仍需更高精度的数值模拟予以阐明。

本文拟运用高精度CFD数值模拟,对我国典型高速列车隧道进口波的传播特性进行系统研究。揭示其压力波形、空间分布特性;并结合声学分析,探讨其对周围环境的影响。本研究旨在为深入理解隧道口气动噪声源提供新见解,并为更高速度列车运营下的隧道环保设计提供理论依据。

2. 数值计算模型与计算方法

2.1. 几何模型与边界条件

研究用到的列车模型是我国目前正在运营的某一型号列车,简化为三编组,保留头尾车和一节中间车,并删除转向架。列车的特征高度H = 3.6 m,以列车高度H作为特征尺寸,对列车尺寸进行无量纲化处理,如图1所示。

隧道山体如图2(a)所示,为了进一步模拟真实地形,设计了一种理想形状的山体。隧道为净空面积为100 m2的双线隧道,线路间距为1.39H,将轨道简化为矩形截面形状,保留轨道板,如图2(b)所示。

Figure 1. Geometric model of the train

1. 列车几何模型

Figure 2. Geometric model of the mountain and tunnels

2. 山体与隧道几何模型

由于仅考虑列车从头部到达隧道入口至尾部完全进入的这段时间,因此采用出口截断的隧道,以节省网格、提高计算效率。图3展示边界条件和计算域尺寸设置。列车、轨道、地面、隧道、山体设置为壁面边界条件,计算域四周、顶部以及隧道出口设置为自由流边界。隧道的净空面积为100 m2,根据列车的特征高度H将计算域的尺寸进行无量纲化。为避免列车启动时产生的数值压力波对研究产生影响,将列车的初始位置设置在距离隧道入口55.56H的地方,同时根据Kwon等[8] [9]提出的光滑启动方法,使列车缓慢加速,列车加速的距离设置为27.78H,经检验,在此启动距离下能够有效地避免数值压力波的产生。列车以350 km/h的匀速驶过27.78H的距离后到达隧道入口。

Figure 3. Computational domain model and boundary conditions

3. 计算域模型与边界条件

2.2. 网格划分

列车进口波是一种低频声波,频域范围集中在0至50 Hz的范围内。根据每个最小波长内的网格点数(Grid Points Per Shortest Wavelength, PPW)准则">[10],具体公式见式(1)和式(2)

λ min = c f max (1)

Δx λ min N (2)

其中 λ min 是研究频率范围的声波最小波长, c 是声速,在本研究中取340 m/s, f max 为研究频率范围的最大频率。 Δx 是研究区域的网格尺寸, N 是每波长点数的值,基于计算效率和计算精度的考量, N 在本文的研究中定为20。因此最终确定的测点区域所需要的网格尺寸为0.3 m,即0.083H。根据这个基准网格尺寸,进一步确定了各个位置的网格大小,如图4所示:在头车和尾车流线型区域,尾流区域以及列车底部流动剧烈区域设置了加密块,网格尺寸为0.042H;重叠网格区域内的其它位置,重叠网格交界面两侧网格尺寸为0.083H。背景区域中,对列车运行的明线、隧道区域和隧道外进口波影响的区域进行加密,网格尺寸为0.083H,其它区域网格尺寸为0.67H

2.3. 湍流模型与求解器设置

在高雷诺数流动中,直接求解瞬态Navier-Stokes方程计算成本极高,因而本文采用雷诺平均Navier-Stokes (RANS)方法对湍流流动进行建模。RANS方法通过对瞬态流动变量进行时间平均,引入雷诺应力

Figure 4. Grid setting for computational domain

4. 计算域网格设置

项以表征湍流脉动对平均流动的影响,从而将问题转化为求解平均流动控制方程。然而,由于雷诺应力项未知,必须借助湍流模型进行封闭。基于涡粘性假设的两方程模型在计算效率与工程适用性之间取得了较好平衡,因此被广泛应用于工程数值模拟中[11]-[13]

采用有限体积法在计算域内进行空间离散,通过对每个控制体进行守恒积分,确保质量、动量和能量在离散层面的严格守恒。对流通量采用二阶迎风格式进行重构,以在保证数值稳定性的同时提高空间离散精度,并有效降低数值耗散对流动结构的影响。时间推进采用二阶时间离散格式,相较于一阶隐式格式,该方法在非定常流动模拟中能够更准确地捕捉压力波动及瞬态流动特征。压力与速度场采用分离流求解器进行同步求解,该求解器基于压力–速度耦合算法,通过迭代方式依次求解动量方程与压力修正方程,适用于稳态及瞬态流动模拟。

求解的时间步长根据奈奎斯特采样定律以及CFL数准则进行确定。奈奎斯特采样定律确定压力的采样频率,公式如式3所示。

求解的时间步长根据CFL数准则进行确定。CFL的定义如式(3)所示,

f s 2 f max (3)

其中 f s 是采样频率, f max 是波的最高频率成分,在本研究中 f max 取50 Hz,确定采样频率 f s 至少为100 Hz,对应的时间步长最大为0.01 s。

此外还必须考虑CFL ≤ 1的要求,CFL的定义如式(4)所示,

Co= UΔt Δx (4)

其中 U 为列车速度, Δx 是重叠网格区域的最小网格尺寸,为0.042H,因此得到 Δt ≤ 0.0015 s。综上考虑,最终确定的时间步长为0.001 s。

2.4. 测点布置

为研究不同地形下列车进入隧道产生的进口波,以隧道中线与隧道入口平面交点处的地面为原点,如图5所示。在线路两侧布置了一系列测点,分为平地上的测点、斜坡上的测点。根据隧道的直径D = 10 m将计算域的尺寸进行无量纲化。其中平地上的测点从线路垂向1.2D距离开始布置,沿x方向和y方向每间隔1D布置一个测点,测点距离地面的高度z分别为0.15D和0.45D。命名测点时按照测点的三维坐标进行命名,比如x = −5Dy = 6.2Dz = 0.15D的测点名为“−5, 6.2, 0.15”。斜坡上的测点布置在坡顶、斜坡一半高度和坡底处,从入口平面开始,沿x负方向布置到−5D处,测点高度同样为0.15D和0.45Dy为正值,说明测点位于列车运行方向的左侧,y为负值,说明测点位于列车运行方向的右侧,对应了线路左右的地形。由于线路两侧地形是对称的,因此测点的布置情况是相同的。

Figure 5. Schematic diagram of the pressure measurement points outside the tunnel

5. 隧道外压力测点示意图

2.5. 数值方法验证

为保证本文网格策略、湍流模型和求解方法能够准确合理地模拟列车进入隧道时产生的压缩波和辐射出的微气压波,采用日本Doi等人[14]的动模型试验进行验证。采用1:1尺寸楔形头型的列车模型,探测其进入方形截面隧道时产生的进口波和隧道压缩波。列车进入隧道时的速度为96 m/s,隧道、列车、地面设置为无滑移壁面边界条件。设计了三种网格策略进行网格独立性的研究,网格规模为242万,447万和823万,其中中等数量网格策略的网格尺寸与2.2节采用的网格尺寸一致。采用全y +壁面处理,确保列车表面y+值在30至100之间,隧道壁面y+值在30至60之间。湍流模型、时间步等求解器设置与本文研究模型保持一致。

验证结果如图6所示,可以看到,三种网格得到的P1、P2波形与验证结果匹配性都很好,但中等

Figure 6. Moving model test validation results and mesh independence

6. 动模型试验验证结果与网格独立性

网格得到的P1点压力系数梯度峰值误差在10%以内,其它两种网格计算得到的P1点峰值误差超过了10%。对于P2点进口波,几种网格计算得到的峰值相对误差都在10%以内。综合考虑计算效率和计算结果的精确性,选用了中等网格尺寸的策略作为本文模型的网格策略,同时在这种网格尺寸下,能够满足对进口波压力和频率的分析要求。

3. 结果与讨论

3.1. 列车进入隧道时压力波的时空分布特征

图7分别展示了头车和尾车进入隧道时不同时刻下列车周围以及自由空间内的压力分布情况。以列车前进方向的左右对线路两侧进行命名,可以看到,受到列车偏置运行的影响,空间内的压力呈现出了明显的不对称性分布,在线路左侧空间内,压力波的影响更加明显。对比头尾车进入隧道时辐射出的压力波强度,可以看到,头车进入隧道时辐射出的负压对于环境压力的影响更加显著,影响范围也更广。尾车进入隧道时,负压区对环境压力的影响仅集中在隧道洞口较小的区域内,尾流正压区产生的压力波在自由空间内压力幅值的衰减较快,影响的范围同样比较小。这说明,在研究压力波对环境的影响时,应当将头车压力波作为主要的研究对象。

Figure 7. Pressure distribution outside the tunnel at different times when the train enters

7. 列车进入时不同时刻隧道外压力分布

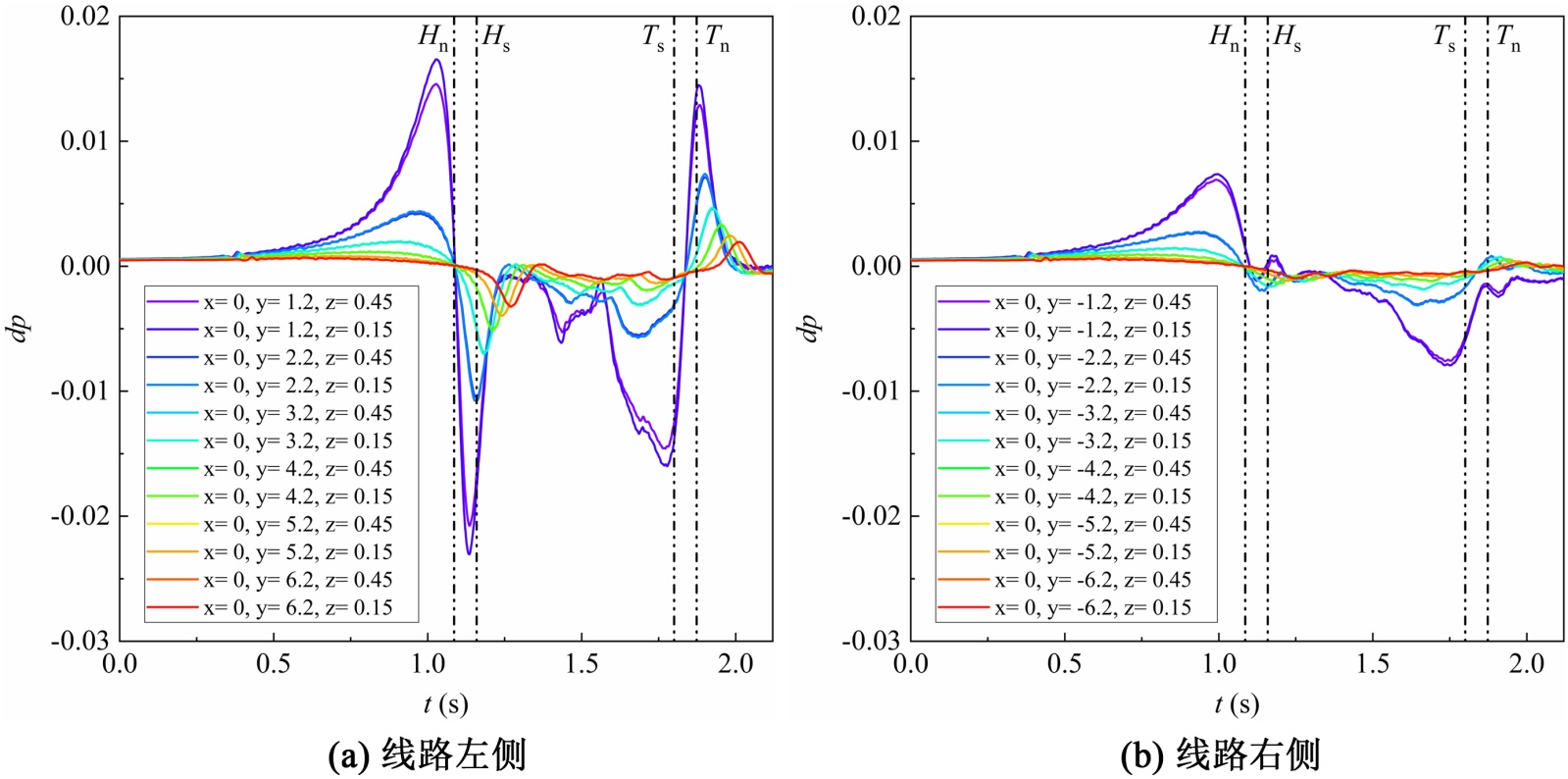
图8展示了入口平面线路两侧不同位置处测点的时间历程曲线,其中H和T分别代表头尾车到达隧道入口的时刻,n和s分别表示鼻尖以及流线型向平直车体过渡的列车肩部位置。可以看到,线路两侧压力波动情况差异明显,线路左侧的测点压力较大。最靠近列车的y = 1.2D处测点,受到列车外部绕流的影响明显,同时又叠加了压力波的影响,压力变化表现出了“正负负正”的变化规律。类似的,y = 2.2D处测点的压力变化也表现出列车外部绕流的规律,但幅值相对较低。线路左侧更远处的其它测点则几乎没有这种压力分布规律,说明列车车体压力波的影响范围有限,其它位置的压力变化主要受到列车进入隧道时产生的压力波影响,列车头车进入隧道时辐射出的压力波,使得测点压力下降,压力波经过后,压力基本恢复大气压;当列车尾车进入隧道时,辐射出的压力波使压力上升。线路右侧最靠近列车的y = −1.2D处测点,在头车进入隧道前,受到列车外部绕流正压区的影响,压力上升,但在头车进入隧道时,辐射出的压力波未对测点产生明显的影响。随后随着中间车以及尾车负压区的靠近,测点的压力缓慢下降,在尾车进入隧道时,辐射出的压力波同样未对测点产生明显的影响。这进一步印证了列车进入时压力波辐射传播的不对称性特性。此外,通过压力曲线可以看到,无论是线路左侧还是右侧,0.15D高度测点的压力幅值均大于0.45D高度处。图9展示了线路左右两侧斜向的压力分布情况,可以看到,随着

Figure 8. Time-history and peak-value curves of micro-pressure waves at various pitch angles along the track

8. 线路两侧压力波时间历程曲线和最值曲线

Figure 9. Time-history and peak-value curves of micro-pressure waves at various pitch angles along the track

9. 线路方向不同俯仰角处微气压波时间历程曲线和最值曲线

距离的增加,压力的变化规律与入口平面基本相似,说明列车进入隧道时的压力波在远场近似呈球面在空间中辐射传播,因此后面的研究中,认为入口平面上的分布规律能够近似代表斜向的分布情况。

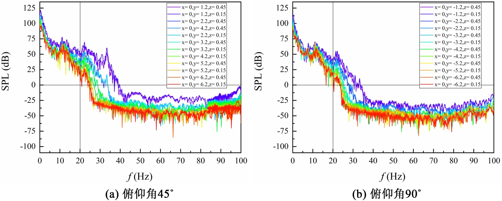
3.2. 列车进入隧道时压力波的频域分布特征

列车进入隧道辐射的压力波属于低频声波,对隧道入口附近人员的身体健康存在一定的影响。为分析不同位置测点压力波的频率组成,截取列车头车到达隧道时到尾车辐射的压力波经过最远测点两时刻间的压力数据,采用基于现代声学测量标准的核心方法进行频域分析。首先对压力时域信号进行去直流与趋势项预处理,并通过加Hanning窗、应用快速傅里叶变换(FFT)进行频谱计算。最后是将频谱能量按参考声压20 µPa进行归一化,通过20 µPa的参考声压进行归一化后,小于0 dB的部分认为是人耳难以听到的。同时,频率小于20 Hz的部分属于次声波范围,人耳同样难以听到。最终获得窄带声压级的频谱图,作为频域特性分析的主要依据。

图10展示了入口平面线路两侧不同位置处测点压力频域分布曲线,可以看到,能量集中的频率范围主要在次声波频段,线路左侧声压级整体要比线路右侧更大。线路两侧可听范围内的频率分布是有所差异的,呈现出非对称性特征。整体上,线路左侧,可听频率范围在20 Hz至39 Hz,并且存在着22 Hz和33 Hz的主频,声压级能够达到69 dB和60 dB;线路右侧,可听频率范围在20 Hz至33 Hz,存在着22 Hz的主频,声压级能够达到55 dB。随着测点与隧道入口距离的增加,可听频率范围也在不断减小,到6.2D处,可以听到的频率范围已经收窄至20 Hz至24 Hz左右。列车进入过程中压力的平均噪声水平处于一个人耳可以接受的范围内。

Figure 10. Peak-value curves of micro-pressure waves at different azimuth and pitch angles

10. 不同方位角和俯仰角处的微气压波最值曲线

4. 结论

本文通过三维非定常数值模拟,研究了高速列车进入隧道时产生的进口压力波辐射特征,分析了不同地形条件下隧道入口附近压力波的时域与频域分布规律。主要结论如下:

1. 列车进入隧道产生的压力波在空间中呈非对称分布,主要来自于列车运行位置与几何边界的不对称性。头车进入隧道时产生的负压波对环境影响更显著,作用范围更广、持续时间更长,在环境评估中应重点关注。

2. 隧道入口近场的压力变化同时受列车绕流与进口波影响,时程特征复杂;远场压力变化主要由进口波主导,绕流影响减弱。同一平面内,近地面测点压力幅值普遍高于高处,说明地面区域更易受进口波影响。

3. 压力波远离隧道入口后,传播形态近似球面扩散。入口平面压力分布规律可在一定程度上反映斜向传播特征,这为环境压力评估的简化提供了依据。

4. 压力波能量主要集中在次声波及低频段,可听频段占比较低。线路两侧及不同测点的频谱分布存在差异,线路一侧声压级较高,且可听频率范围随距离增加逐渐收窄。在本文工况下,隧道入口附近平均噪声水平可接受,但低频成分仍可能影响隧道附近人员的舒适性。

综上所述,本文从数值模拟角度揭示了高速列车进隧道时进口压力波的辐射特征与低频声学特性,研究结果可为隧道入口区域环境评估与减振降噪设计提供参考。

参考文献

[1] Iida, M., Tanaka, Y., Kikuchi, K. and Fukuda, T. (2001) Pressure Waves Radiated Directly from Tunnel Portals at Train Entry or Exit. Quarterly Report of RTRI, 42, 83-88. [Google Scholar] [CrossRef
[2] Iida, M., Tanaka, Y., Kikuchi, K., et al. (2001) Characteristics of the Pressure Wave Radiated from an Entrance Portal When a Train Enters a Tunnel. Theoretical and Applied Mechanics, 50, 371.
[3] 王瑞丽, 梅元贵, 许建林, 等. 高速铁路隧道进口波特性数值模拟研究[J]. 现代隧道技术, 2016, 53(2): 95-100, 113.
[4] 梅元贵, 张成玉, 许建林, 等. 高速列车隧道进口波基本特性数值研究[J]. 空气动力学学报, 2015, 33(5): 686-696.
[5] Lockard, D.P., Brentner, K.S. and Atkins, H.L. (1995) High-Accuracy Algorithms for Computational Aeroacoustics. AIAA Journal, 33, 246-251. [Google Scholar] [CrossRef
[6] Zingg, D.W., Lomax, H. and Jurgens, H. (1996) High-Accuracy Finite-Difference Schemes for Linear Wave Propagation. SIAM Journal on Scientific Computing, 17, 328-346. [Google Scholar] [CrossRef
[7] Bellenoue, M., Morinière, V. and Kageyama, T. (2002) Experimental 3D Simulation of the Compression Wave, Due to Train-Tunnel Entry. Journal of Fluids and Structures, 16, 581-595. [Google Scholar] [CrossRef
[8] Kwon, H., Kim, T., Lee, D. and Kim, M. (2003) Numerical Simulation of Unsteady Compressible Flows Induced by a High-Speed Train Passing through a Tunnel. Proceedings of the Institution of Mechanical Engineers, Part F: Journal of Rail and Rapid Transit, 217, 111-124. [Google Scholar] [CrossRef
[9] Kwon, H., Jang, K., Kim, Y., Yee, K. and Lee, D. (2001) Nose Shape Optimization of High-Speed Train for Minimization of Tunnel Sonic Boom. JSME International Journal Series C, 44, 890-899. [Google Scholar] [CrossRef
[10] Jameson, L. (2000) High Order Schemes for Resolving Waves: Number of Points per Wavelength. Journal of Scientific Computing, 15, 417-439. [Google Scholar] [CrossRef
[11] Alfonsi, G. (2009) Reynolds-Averaged Navier-Stokes Equations for Turbulence Modeling. Applied Mechanics Reviews, 62, 4. [Google Scholar] [CrossRef
[12] Versteeg, H.K. (2007) An Introduction to Computational Fluid Dynamics the Finite Volume Method, 2/E. Pearson Education India.
[13] Wilcox, D.C. (1998) Turbulence Modeling for CFD. DCW Industries La Canada, CA.
[14] Doi, T., Ogawa, T., Masubuchi, T. and Kaku, J. (2010) Development of an Experimental Facility for Measuring Pressure Waves Generated by High-Speed Trains. Journal of Wind Engineering and Industrial Aerodynamics, 98, 55-61. [Google Scholar] [CrossRef