脉冲中子全谱饱和度测井技术在高水淹油藏中的应用研究
Study on the Application of Pulsed Neutron Full-Spectrum Saturation Logging Technology in Highly Waterflooded Reservoirs
DOI: 10.12677/ag.2026.163036, PDF, HTML, XML,   
作者: 卞亚军, 陈 颖, 黄 耀, 臧 燕, 王全贵:中国石化江苏油田分公司采油一厂,江苏 扬州;仲振东, 杜石峰:中国石化经纬公司华东测控分公司,江苏 扬州
关键词: 脉冲中子全谱饱和度测井高水淹油藏剩余油评价Pulsed Neutron Full-Spectrum Saturation Logging Highly Waterflooded Reservoir Remaining Oil Evaluation
摘要: 针对东部老油田开发中后期挖潜的难题,本文深入研究了脉冲中子全谱饱和度测井技术的物理基础、技术优势及工程应用价值。该技术基于先进的中子–伽马能谱分析原理,通过创新性地融合非弹性散射与热中子俘获双谱信息进行反演解释,有效克服了油藏高水淹后地层水矿化度多变、孔隙结构复杂化等因素对传统测井方法计算含油饱和度的严重干扰。研究以江苏油田典型高水淹区块为例,通过系统性的现场测井数据与生产动态、岩心分析等数据的多源信息融合与对比分析,验证了该技术在划分水淹层、识别低阻油层、寻找剩余油富集层段方面的卓越能力。研究结果表明,通过构建多参数交会图版与响应特征模型,该技术能够有效识别弱、中、强不同等级的水淹层,并对未解释层段进行准确判别。最终,该技术为高含水后期油藏的措施挖潜(如补孔、堵水、压裂)及开发层系、井网的调整提供了精准可靠的依据。
Abstract: Addressing the challenge of precisely evaluating remaining oil saturation in highly waterflooded reservoirs, this paper conducts an in-depth study of the physical principles, technical advantages, and engineering application value of pulsed neutron full-spectrum saturation logging technology. Based on advanced neutron-gamma spectroscopy analysis principles, this technology innovatively integrates dual-spectrum information (inelastic scattering and thermal neutron capture) for inversion interpretation. This effectively overcomes the severe interference caused by varying formation water salinity and complex pore structure after severe waterflooding, which hampers traditional logging methods in calculating oil saturation. Using a typical highly waterflooded block in the Jiangsu Oilfield as a case study, the research systematically integrates and compares multi-source data, including field logging data, production performance data, and core analysis data. This validates the technology’s outstanding capabilities in distinguishing water-flooded zones, identifying low-resistivity oil layers, and locating remaining oil-enriched intervals. The results demonstrate that by constructing multi-parameter crossplots and response characteristic models, the technology effectively identifies water-flooded zones of different intensities (weak, moderate, strong) and accurately discriminates uninterpreted intervals. Ultimately, this technology provides precise and reliable guidance for potential tapping measures (such as reperforation, water shut-off, and fracturing) and adjustments to development layers and well patterns during the late high-water-cut stage of reservoirs.
文章引用:卞亚军, 仲振东, 陈颖, 杜石峰, 黄耀, 臧燕, 王全贵. 脉冲中子全谱饱和度测井技术在高水淹油藏中的应用研究[J]. 地球科学前沿, 2026, 16(3): 398-410. https://doi.org/10.12677/ag.2026.163036

1. 引言

随着江苏油田主力区块普遍进入高含水、高采出程度的“双高”开发阶段,真武、曹庄、永安等区块综合含水已突破89%,部分井组超过98%,整体采出程度约50%。油藏水淹现象严重,剩余油分布呈现出“整体高度分散、局部相对富集”的极度复杂态势。油田正面临水淹通道“大孔道”化、层内层间干扰加剧、套损井年增20口、地面系统高含盐含硫采出水腐蚀速率超0.5 mm/y等多重难题,水淹层测井解释符合率低于75%。如何精准、定量地评价储层剩余油饱和度,并清晰刻画其空间分布规律,已成为制约老油田稳产增产、提高最终采收率的首要技术瓶颈。

传统的过套管电阻率测井[1] [2]、中子寿命测井[3] [4]、碳氧比能谱测井等方法在高水淹油藏评价中面临显著挑战。中子寿命测井对于地层水矿化度极为敏感,仅在矿化度较高且稳定的地层中效果良好[5] [6]。然而,在长期注水开发过程中,由于注入水(常为淡水或低矿化度水)与原生地层水的混合,导致地层水矿化度在纵向上和平面上分布极不均匀,且动态变化,这使得基于热中子俘获截面的中子寿命测井解释结果充满不确定性,甚至产生误导。碳氧比能谱测井虽不受矿化度影响,但其探测深度较浅,易受井筒环境(如井径、泥浆类型、套管尺寸)的影响,且信噪比较低,统计起伏大,在低孔隙度地层或高含水饱和度条件下分辨率显著下降。

脉冲中子全谱饱和度测井技术是近年来发展起来的一项新一代核测井技术(图1图2)。它摒弃了传统方法仅利用部分能窗信息的局限,通过采集并解析脉冲中子源发出的中子与地层元素发生相互作用后产生的全谱(非弹性散射伽马谱、俘获伽马谱)信息,提取更丰富的地层元素特征(表1)。通过综合非弹性散射和热中子俘获两种不同机制的信息,进行多参数协同反演,极大地增强了对储层流体性质的识别能力,有效弥补了单一参数的不足,为复杂条件下剩余油饱和度的精确评价提供了全新的解决方案[7]-[12]

本研究旨在系统阐述脉冲中子全谱饱和度测井技术的物理机理与技术特点,并结合江苏油田高水淹区块的实际应用案例,通过多源数据融合分析,综合评价该技术在剩余油分布预测、水淹级别判断及开发调整方案优化中的实际效果与应用价值,以期为同类油藏的精细挖潜提供技术借鉴和理论支持。

Figure 1. Schematic diagram of a pulsed neutron logging tool

1. 脉冲中子测井仪结构示意图

Figure 2. Pulsed neutron logging tool

2. 脉冲中子测井仪

Table 1. Comparison of neutron full-spectrum saturation logging and traditional neutron logging

1. 中子全谱饱和度测井与传统中子测井对比

对比维度

中子全谱饱和度测井

传统中子测井(补偿中子/孔隙度中子)

能量段利用

全谱分析,提取多元素信息

单一能量段(热中子/超热中子),仅利用氢元素相关信息

纵向分辨率

30~50 cm (受中子作用范围影响,分辨率较低)

15~25 cm (计数率测量对地层变化响应更灵敏)

孔隙度计算精度

误差 ≤ 1% (可校正矿物骨架、黏土干扰,

输出有效孔隙度)

误差3%~5% (易受黏土、含氯矿物干扰,输出视孔隙度)

地层水矿化度依赖

无需依赖,可通过Cl特征峰直接计算矿化度

强依赖(需已知矿化度才能校正含氯地层影响,否则误差大)

矿物成分校正能力

具备(通过Si、Ca、Fe等特征峰识别矿物,

消除骨架干扰)

无(需结合密度、声波测井间接校正,精度有限)

流体识别能力

可区分油、气、水三相

(通过氢含量差异 + 氯含量辅助)

仅能区分含流体层与干层,无法有效识别油、气、水类型

抗干扰能力

强(可自主校正黏土、含氯矿物、重矿物干扰)

弱(黏土、盐岩、石膏等会导致孔隙度计算

严重偏差)

2. 脉冲中子全谱饱和度测井原理及应用实例

中子全谱饱和度测井通过测量地层对快中子的慢化与俘获能谱,利用不同元素(尤其是氢、氯)的特征俘获γ能峰差异,实现对地层孔隙度、矿物成分及流体饱和度的精准计算[13]-[16],核心是突破了传统中子测井仅利用单一能量段信息的局限。该技术在国内多个油田的开发作业中得到广泛应用,且取得显著成效。

2.1. 测井原理

2.1.1. 中子与地层的相互作用

脉冲中子发生器以一定的频率发射能量为14 MeV的快中子脉冲。这些快中子进入地层后,主要发生以下两种核反应:

1) 非弹性散射:发生在中子脉冲发射的瞬间(<108 s)。高能快中子与地层原子核(如C、O、Si、Ca等)发生非弹性碰撞,使其激发并在退激时发射出特征伽马射线。其中,碳(C)和氧(O)的特征非弹性散射伽马射线是计算碳氧比(C/O)并进而求取含油饱和度的直接物理基础。

2) 热中子俘获:快中子经过一系列弹性散射后能量衰减成为热中子(10−6 s)。热中子被地层原子核俘获,并发射出特征伽马射线。氯(Cl)元素具有异常大的热中子俘获截面,其释放的高能特征伽马射线是计算热中子俘获截面(Σ)和硅钙比(Si/Ca)等参数的关键,用于评价地层水矿化度和区分岩性。

2.1.2. 全谱数据采集与信息提取

全谱测井技术的核心在于使用高分辨率伽马探测器(如BGO、GSO晶体)和高速数字谱采集系统,完整记录整个能域(如0~8 MeV)的伽马能谱,而不是像传统方法那样只划分几个固定的能窗进行计数率测量。

通过对时间谱和能量谱进行解谱分析,可以将混合的总伽马谱分解为非弹性散射伽马谱和热中子俘获伽马谱。利用最优化拟合或氧化物闭合模型等先进算法,可以从这两套谱中定量提取出各种元素的产额(如C、O、Si、Ca、Fe、H、Cl、S等)。这些元素产额是反映地层矿物成分和流体性质的最原始、最丰富的信息。

2.1.3. 双参数融合反演与饱和度计算

传统方法或单独使用非弹性散射信息(C/O),或单独使用俘获信息(Σ)。全谱技术的先进性体现在对这两类信息的同步测量与融合应用。

非弹性散射信息:主要提供对含氢量的敏感响应,计算碳氧比(C/O)和钙硅比(Ca/Si)。C/O比与含油饱和度直接相关,且基本不受地层水矿化度影响。

热中子俘获信息:主要提供对热中子吸收体的敏感响应,计算热中子俘获截面(Σ)和硅钙比(Si/Ca)。Σ值对高矿化度地层水中的氯离子非常敏感。

在高水淹油藏中,地层水矿化度(PPM)未知且多变是全井段饱和度评价的最大障碍。全谱技术通过建立C/O-Σ交会图版或更复杂的多参数响应方程,实现了双参数同时反演求解含油饱和度。

此外,利用提取的多种元素产额,还可以计算更多衍生参数,如地层宏观俘获截面(Σ)、氢指数(HI)、sigma含气指数(SGF)等,共同参与综合判断,进一步提高流体识别的准确性。

2.2. 国内应用实例

冀东南堡油田主力开发层系的砂岩储层富含钙质,这给识别储层流体带来极大困难,基于常规测井资料制定的措施符合率仅70%。对此,技术人员针对性研发了基于脉冲中子全谱饱和度测井的碳氧比解释的钙质校正方法,通过建立测井仪与当地套管井实际结构模型,借助蒙特卡罗粒子输运数值模拟,掌握了碳氧比和俘获钙产额测井值随地层岩性与孔隙度的变化规律。应用该校正方法后,测井成果为油田堵水、补孔方案的制定提供了可靠依据,超过90%的井在采取对应措施后增油显著,累计增油达5.17 × 104 t。

大庆萨中油田曾受困于原有测井仪功能单一,老井剩余油饱和度计算误差较大的问题,脉冲中子全谱测井技术有效解决了这一难题。西丁6-P3井曾完全出水不产油,通过该技术探测到1030.5~1034.0 m层位氧活化指数曲线偏移,确定此层为出水层。措施部门据此实施化学封堵后,该井产液和产油均显著提升,含水维持在合理水平。

3. 成果分析与验证

江苏油田开发层系发育古近系河流–三角洲沉积砂体,优质储层以细砂岩、粉砂岩为主,孔隙度主要分布在18%~25%,渗透率差异较大。油田经过40多年的注水开发,综合含水率已超过90%,进入特高含水期。长期的注水开发,导致地层原始水矿化度平衡被打破,纵向上水淹情况复杂,层间、层内矛盾突出,剩余油分布认识不清,常规生产测井和中子寿命测井评价效果不佳。

本次研究选取了工区内具有代表性的6口关键井,进行了脉冲中子全谱饱和度测井。测井前进行了严格的井径、套管等井况调查。数据采集后,先对原始能谱数据开展漂移校正与增益标准化预处理;采用时间门控技术实现非弹性散射谱与俘获谱的精准分离;依托标准元素谱库,通过最小二乘解谱算法提取C、O、Ca、Si、H、Cl等关键元素产额:

W 1 = ε c1,1 c c1 + ε c2,1 c c2 ++ ε cn,1 c cn

W 2 = ε c1,2 c c1 + ε c2,2 c c2 ++ ε cn,2 c cn

W x = ε c1,x c c1 + ε c2,x c c2 ++ ε cn,x c cn (1)

其中:

Wx——第x道能谱;

εc1,x、εc2,x、εcn,x——元素c1、元素c2、元素cn对应的第x道敏感因子;

cc1、cc2、ccn——元素c1、元素c2、元素n的含量。

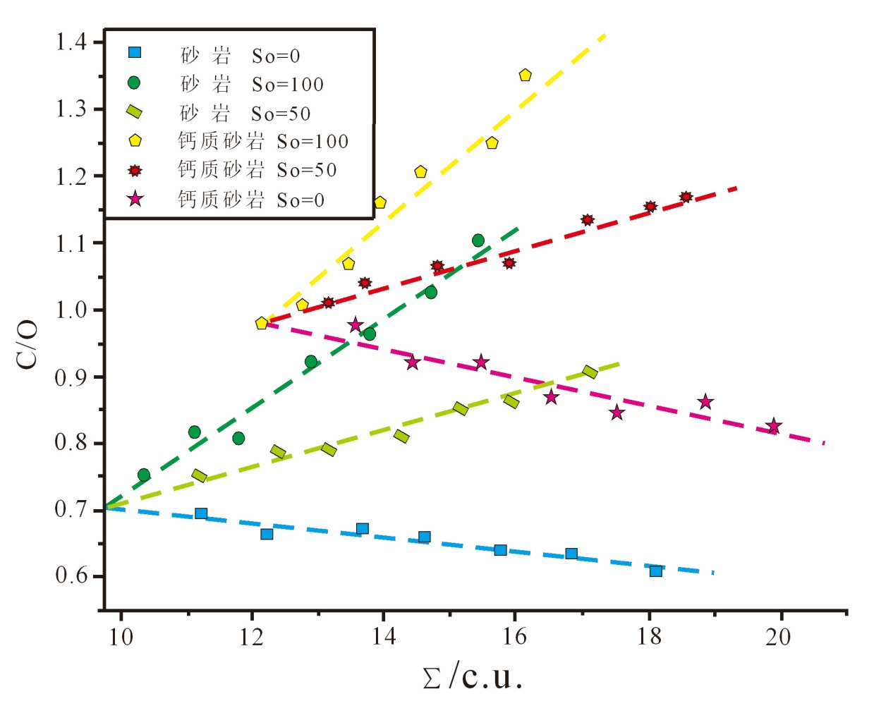
最后基于元素产额计算C/O、Σ、Ca/Si及产水率指数(SI)等评价参数;结合研究区本地化岩心分析数据与实验模型,建立适配本区地质条件的C/O-Σ交会图版解释模型(图3),利用双参数反演模型逐点定量计算地层剩余油饱和度与地层总孔隙度。

由于碳氧比测井测量的是非弹性散射伽马能谱中碳峰与氧峰的计数比。在理想情况下,该比值正比于地层中碳原子数与氧原子数之比:

( C O ) meas = N c N o = ϕ S o C oil +( 1ϕ ) C matrix ϕ S w O water +( 1ϕ ) O matrix (2)

通常假设骨架不含C和O (即Cmatrix ≈ 0;Omatrix ≈ 0),则公式(2)简化为:

C O = ϕ S o C oil ϕ( 1 S o ) O water = S o 1 S o · C oil O water (3)

通常 C oil O water 为常数,记为Kco,因此:

C O = K co S o 1 S o (4)

热中子俘获截面服从体积加权线性混合:

∑ = ϕSoΣoil + ϕ (1 − So) Σwater + (1 − ϕ) Σmatrix (5)

将(4)和(5)联立,构成关于Soϕ的非线性方程组,并求解含油饱和度和孔隙度。

上述参数ϕ:地层总孔隙度(fraction);

So:含油饱和度(fraction),则含水饱和度Sw = 1 − So

Coil:单位体积油中的碳原子数(atoms/cm2);

Owater:单位体积水中的氧原子数;

Cmatrix,Omatrix:骨架中的碳、氧含量(通常近似为0);

∑oil,∑water,∑matrix:油、水、骨架的宏观热中子俘获截面(单位C.u.,Capture units)。

Figure 3. C/O-Σ intersection explanation diagram

3. C/O-Σ交会解释图版

3.1. 精确划分水淹层水淹级别

沙26断块为断层遮挡形成的断鼻构造,主要含油层系为E1f23、E1f1,含油井段长,1999年投入开发,现已进入高含水阶段。为挖潜沙26断块E1f23高部位剩余油,论证部署实施采油井沙26-26井。地层水取样化验显示,沙26块储层地层水矿化度在5000~53,000 ppm,低矿化度是由于注入清水所致。其中新部署的沙26-26井邻近有10口注水井,现完钻储层地层水矿化度不明。

图4是沙26-26井完井资料,2#、4-9#电阻率较高。高电阻率是高含油饱和度还是低矿化度引起的,无法判定,因此只能定性解释为水淹层。为准确划分水淹层水淹级别,套后进行了脉冲中子剩余油测井(图5)。全谱资料显示2#、4#、7#、9#层上部是剩余油富集区,而5#、7#层下部有剩余油但饱和度较低,6#层中上部呈现水层特征,综合分析评价2#、4#层为低水淹层,8-9#层为中水淹层,5#、7#层为高水淹层,6#层为特高水淹层。射开2#、4#及9#层上部2.0 m合采,初期日产液8.5 t,产油6.4 t,含水24.8%,与解释结论相符。该井未射开7#层上部剩余油富集区,主要考虑7#层与特高水淹层6#层距离近,存在窜通可能。

结合脉冲中子全谱资料分析完井资料,沙26-26井5-6#及7#下部电阻率高是因为低矿化度注入水水淹造成的。

Figure 4. Well completion data chart for well Sha 26-26

4. 沙26-26井完井资料图

Figure 5. Complete well profile data diagram for sha 26-26 Well

5. 沙26-26井全谱资料图

3.2. 识别低阻油层

曹11-4井位于高邮凹陷邵伯次凹曹庄构造曹11断块,是2011年投产的一口老井。测井前生产19#、21#层,日产液9.9 t,含水83.2%。1-18#所在井段未投入生产。完井资料(图6)显示2#、10#、13#电阻率3.5~6.5 Ω∙m,相对本井的其它油层电阻率值明显偏低,故解释为油水同层。全谱资料(图7)显示2#、10#、13#层实测碳氧比与纯水层碳氧比叠合图包络面积大,且形态饱满,呈现油层特征,解释将2#、10#、13#层提升为油层,井温资料显示21#层为主出层位。

根据全谱资料解释结论卡封21#层,补开2#、10#、13#、16#层与19#层合采,初期日产油12.8 t,不含水,措施效果显著,生产情况与解释结论相符。

Figure 6. Cao 11-4 well completion data diagram

6. 曹11-4井完井资料图

Figure 7. Cao 11-4 well complete profile data map

7. 曹11-4井全谱资料图

3.3. 已采产层中寻找剩余油富集层段

真检4井是2012年投入开发的一口老井,主力油层已全部射开生产(图8),测井前因全水停抽半年。全谱资料(图9)显示,已生产过的10#层剩余油富集,建议射开10#层顶部2.0 m生产。措施后真检4井日产油5.9 t,含水59.2%,与解释结论相符。2013年8月10#层单采时日产油1.2 t,含水95.1%。此次测试措施后10#层含水大幅度下降,综合分析认为注水水驱作用导致剩余油重新分布。

Figure 8. Comparison histogram of well test 4 log interpretation conclusions and core samples

8. 真检4井测井解释结论与岩心对比柱状图

Figure 9. Complete well log data chart for Zhenjian 4 Well

9. 真检4井全谱资料图

3.4. 完井未解释井段发现潜力层

永7平2井2006年投入开发,完井解释井段2500.00~3150.00 m,属于戴南砂层组。为了解该井上部三垛砂层组含油情况,脉冲中子全谱饱和度测量了三垛组2177.00~2308.00 m和戴南组2650.00~2812.00 m井段,全谱资料(图10)在三垛组解释新增了加4-加6#三个差油层,下部戴南组已采井段发现6#、8#层是潜力层。射开加4-加6#层和6#、8#层合采,初期日产液9.6 t,产油3.9 t,含水59.6%,后因为物性较差等原因导致液量下降,但含水基本稳定在50%左右。

Figure 10. Complete spectrum data chart of Yong 7 Ping 2 Well

10. 永7平2井全谱资料图

3.5. 时间推移测井了解剩余油重新富集过程

注水开发油田,注入水水线推进及剩余油重新富集动态变化过程是油藏描述的基础。庄2-5井于2013、2016、2024年进行了三次脉冲中子全谱饱和度测井(图11),25#层由于邻井注水的影响,实测碳氧比值逐渐升高,且与纯水层碳氧比包络面积越来越大,显示该层的剩余油饱和度逐渐升高,水淹级别也由高水淹变成中水淹。分析认为邻近的注水井长期注水使得剩余油重新聚集到高部位(图12)。

Figure 11. Complete well spectrum data diagram for Zhuang 2-5

11. 庄2-5井全谱资料图

Figure 12. Zhuang 2-Block injection and mining well network diagram

12. 庄2块注采井网构造图

3.6. 氧活化指示水流,识别主产水层

高6-94井生产10-16#层,测井前日产液17.1 t,油0.3 t,含水98.0%。测井时井口有溢流。全谱资料(见图13)显示,15#层向上井段长源距氧活化计数高于短源距活化计数、井温梯度突变、自然伽马值异常升高,均明确指示15#层以上井段存在向上水流。桥塞卡封10-16#层,射开9号层单采,日产油3.4 t,增油效果明显。

Figure 13. Complete well data chart for well Gao 6-94

13. 高6-94井全谱资料图

4. 讨论

虽然脉冲中子全谱饱和度测井技术具有能够穿透套管进行长期监测、通过碳氧比实现岩性无关的饱和度计算,以及提供俘获截面、快中子截面等多种参数进行综合解释等多方面的独特优势,但其技术效能在低孔隙度储层与复杂井身结构的双重挑战下会受到显著削弱。具体而言,在低孔隙度(例如<15%)条件下,微小的孔隙空间导致地层中可供探测的流体原子核数量严重不足,造成非弹性散射伽马射线等关键信号极其微弱,碳氧比等核心参数对油水变化的灵敏度下降,统计涨落增大,使定量解释的不确定性升高。同时,在存在多层套管、厚水泥环、大尺寸井眼或砾石充填防砂筛管等复杂井身结构时,大量的入射中子会在穿透管柱和井眼流体的过程中被提前吸收或散射,严重衰减了进入地层的初始中子通量;而地层返回的伽马信号在抵达探测器前又会再次被井筒环境衰减和干扰,导致探测器接收到的有效信号信噪比急剧恶化,来自地层的有用信息被淹没在强烈的井眼背景噪声中,使得后续的环境校正变得异常复杂和困难,最终影响剩余油饱和度或气层识别结果的精度与可靠性。

5. 结论与认识

1) 脉冲中子全谱饱和度测井技术在水淹层识别、剩余油分布等方面展示了其卓越性能。其中,沙26-26井,通过全谱资料将2#、4#层定性为低水淹层。该井初期生产数据为日产液8.5吨,产油6.4吨,含水24.8%,与解释结论高度吻合。曹11-4井,将原本解释为油水同层的2#、10#、13#层提升为油层,措施后该井初期日产油12.8吨,且不含水,精准验证了重新解释的正确性。真检4井,全谱资料发现已生产过的10#层仍有富集剩余油,措施后日产油5.9吨,含水59.2%。永7平2井,在三垛组新解释出三个差油层,措施后初期日产液9.6吨,产油3.9吨,含水59.6%。

2) 脉冲中子全谱饱和度测井技术可以克服矿化度的多变性,识别低阻油层。传统中子寿命测井对此极为敏感,而全谱技术无需预设矿化度,可通过C/O-Σ交会图版直接反演得出。沙26-26井的5-6#及7#层下部电阻率高是由低矿化度注入水水淹造成,这是传统方法难以准确识别的。

3) 脉冲中子全谱饱和度时间推移测井可以辅助动态监测与调整,辅助定量监测注入水推进和剩余油再富集的过程。庄2-5井25#层的实测碳氧比值逐渐升高,包络面积增大,显示剩余油饱和度从高水淹变成中水淹的动态变化,为注采调整提供了科学依据。

参考文献

[1] 孙中春, 罗兴平, 周继宏, 等. 过套管电阻率测井资料预处理方法[J]. 测井技术, 2011, 35(2): 151-154.
[2] 赵建鹏, 张胜强, 代保庆, 等. 过套管电阻率测井数据处理方法及应用[J/OL]. 地球物理学进展, 1-13.
https://link.cnki.net/urlid/11.2982.P.20250627.1140.029, 2026-03-23.
[3] 国庆忠. 中子与密度测井在中原油田的应用[J]. 测井技术, 2004, 28(5): 414-416.
[4] 刘天定, 阿茹罕, 陈阵, 等. 密度-中子测井法计算致密砂岩气层孔隙度[J]. 核电子学与探测技术, 2025, 45(11): 1770-1774.
[5] 仲艳华, 魏大农, 冯爱国, 等. 中子寿命测井技术在江汉油田的应用[J]. 测井技术, 2015, 39(2): 253-256.
[6] 王伟, 武正乾, 邓小卫, 等. 中子寿命测井在鄂尔多斯盆地西南缘砂岩型铀矿勘查中的应用[J]. 世界核地质科学, 2025, 42(4): 793-800+815.
[7] 罗辉. 脉冲中子全谱饱和度测井在储层评价中的应用[J]. 测井技术, 2016, 40(6): 746-750.
[8] 郑华, 白敬妍, 张雨桐, 等. 脉冲中子全谱三相饱和度测井在冀东储气库的应用[J]. 石油管材与仪器, 2025, 11(6): 93-99.
[9] 肖勇. PNST脉冲中子全谱测井技术在冀东油田的应用[J]. 石油管材与仪器, 2016, 2(5): 87-91, 95.
[10] 张博望麒. PNST脉冲中子全谱测井仪在长庆油田的应用[J]. 石化技术, 2019, 26(6): 110-111.
[11] 胡全发, 李晓宇, 郝身立, 等. RMT剩余油饱和度测井技术在塔河油田的应用[J]. 石油仪器, 2015, 1(1): 81-83.
[12] 柴德民, 安振芳, 刘显太, 等. 剩余油饱和度测井方法适应性分析与应用实践——以胜利油区为例[J]. 油气地质与采收率, 2022, 29(3): 20-28.
[13] 郑华, 董建华, 刘宪伟, 等. PNST脉冲中子全谱测井仪[J]. 测井技术, 2011, 35(1): 83-88.
[14] 宁卫东, 王英杰, 赵璐阳, 等. 脉冲中子全谱饱和度测井在N区块剩余油评价中的应用[J]. 测井技术, 2020, 44(5): 491-496.
[15] 张付明. 套管井剩余油饱和度测井新技术[J]. 测井技术2003(S1): 50-55+87.
[16] 祁峰. 套管井剩余油饱和度测井现状及展望[J]. 云南化工, 2022, 49(5): 7-9.