炮楼对建筑屋顶单坡架空光伏屋面风荷载的影响研究
Effect of Turret on the Roof of the Building Single Slope Overhead Photovoltaic Roof
DOI: 10.12677/hjce.2026.153067, PDF, HTML, XML,    科研立项经费支持
作者: 陈文刚, 李永贵*, 胡亚军, 谈 伶, 李驰宇:湖南科技大学土木工程学院,湖南 湘潭;湖南科技大学结构抗风与振动控制湖南省重点实验室,湖南 湘潭
关键词: 架空光伏屋面炮楼风洞试验风荷载 Overhead Photovoltaic Roof Turret Wind Tunnel Test Wind Load
摘要: 屋顶架空光伏单坡屋面在强风或极端风气候中的破坏易发生,风荷载是其主要控制荷载之一。通过刚性模型测压试验,系统分析了不同位置下炮楼对对建筑屋顶架空光伏屋面平均风压和极值风压的影响。结果表明:炮楼对架空光伏屋面上表面影响较小,而对光伏屋面下表面平均风压系数影响较为显著,炮楼位置的变化均能增大平均风吸力。处于屋面低檐下的炮楼对架空光伏屋面平均风压影响较大。炮楼位置的变化对架空光伏屋面的极值风压影响较大,特别是,位于光伏屋面高檐中部的炮楼,依据《屋盖结构风荷载标准》分区,总体上可以确保光伏屋面的抗风安全。
Abstract: The damage of roof photovoltaic single-slope roof is easy to occur in strong wind or extreme wind climate, and wind load is one of the main control loads. Through the rigid model pressure test, the influence of the turret on the mean wind pressure and peak wind pressure of the overhead photovoltaic roof of the building roof under different positions was systematically analyzed. The results show that the turret has little effect on the upper surface of the overhead photovoltaic roof, but has a significant effect on the mean wind pressure coefficient of the lower surface of the photovoltaic roof. The change of the location of the turret can increase the mean wind suction. The turret under the low eaves of the roof has a great influence on the mean wind pressure of the overhead photovoltaic roof roof. The change of the location of the turret has a great influence on the peak wind pressure of the overhead photovoltaic roof, especially located in the middle of the high eaves of the photovoltaic roof. According to the “roof structure wind load standard” partition, the wind resistance safety of photovoltaic roof can be ensured in general.
文章引用:陈文刚, 李永贵, 胡亚军, 谈伶, 李驰宇. 炮楼对建筑屋顶单坡架空光伏屋面风荷载的影响研究[J]. 土木工程, 2026, 15(3): 190-203. https://doi.org/10.12677/hjce.2026.153067

1. 引言

屋顶架空光伏屋面的风致破坏时有发生,风荷载是其结构设计时必须考虑的关键因素。目前对于光伏屋面风荷载取值的研究主要集中于地面上独立车棚,雨棚等棚式结构,而对于安装在屋顶上的架空光伏棚式屋面的风荷载研究少之又少。由于不同区域风压相差较大,屋面坡度、女儿墙高度及其与建筑的相对位置[1]等因素对风荷载也有不同程度的影响。如何去考虑这种影响是屋顶架空光伏屋面设计存在的主要问题,该问题不仅是光伏屋面抗风安全需要考虑的问题,也直接影响到光伏发电的成本与效益。

在车棚,雨棚的风荷载研究方面,Gumley等[2]通过风洞试验研究了单面封闭的双坡雨棚的极值风压,分析长宽比,内部堆积物等因素对极值风压的影响,并与规范进行对比,发现规范值与试验值比较吻合。Robertson等[3]通过现场实测与风洞试验对比分析了双坡雨棚的风荷载,发现两者结果存在显著差异,且模型比例对风洞试验结果具有显著影响。Ginger等[4]通过风洞试验中研究了双坡雨棚的风压,发现在30˚风向下,雨棚边缘出现了最大极值风压。Natalini等[5]基于平屋面雨棚的风洞试验研究,雷诺数和湍流强度对其风荷载特性有一定的影响。郭明霞[6]通过数值模拟分析了斜板型雨棚、Y型雨棚和折板型雨棚的风压系数,发现斜板型雨棚最大风压系数和负压系数出现在固定端和悬挑端边缘处。Wang等[7]通过数值模拟分析了屋顶雨棚上下方的流场特征,重点探讨了该区域的风能利用潜力。蒋媛等[8] [9]通过风洞试验研究了建筑高度以及突出建筑高度对平屋顶雨棚结构的风荷载特性,发现底部建筑高度和突出建筑高度对顶部雨棚上下表面风荷载分布影响较大,其中建筑高度为12 m时出现最不利风压。

在建筑结构中,为满足生产、生活或设备等功能需求,常在顶部设置附属性建筑物,通常称为屋顶炮楼。炮楼是指高出屋面的部分,一般是突出屋面的楼梯间,水箱间,电梯井机房或者其他突出的附属部分。来流对屋顶炮楼有一定的影响。国内外学者主要集中于对屋顶炮楼本身风荷载的研究。Doddipatla等[10]通过风洞实验研究调查了在1:50比例的屋顶安装设备上的锚固和包络风荷载,发现与锚固设计相关的风荷载和设备尺寸、屋顶以上高程和屋顶位置有关。Cao等[11]通过风洞试验研究了两种中高层建筑平屋顶上安装了不同位置的立法体模型的风荷载,发现当模块位于屋顶角落时,其侧向和升力系数达到最不利值,超出了规范值,随着女儿墙高度的增加,风荷载逐渐减小。Zou等[12]通过风洞试验研究了女儿墙和屋顶突出结构对平屋顶风场特性的影响。屋顶上的风速受到突出结构周围气流和女儿墙尾流的影响,尤其是在屋顶上Z点的高度为1 m时。

综上所述,为深入探究炮楼对单坡架空光伏屋面风荷载的影响,本文通过刚性模型风洞测压试验,研究屋顶上炮楼位置的变化对架空光伏屋面平均风压,极值风压的影响规律。

2. 试验概况

2.1. 试验模型

选取模型的几何缩尺比为1:40,底部建筑模型尺寸为450 mm × 300 mm × 270 mm (长 × 宽 × 高),顶部为一块470 mm × 320 mm的ABS板,整体模型刚度满足试验要求。模型测点及风向角布置如图1(a)所示,共布置了198个测点,其中上、下表面各布置99个测点,且保持一一对应,考虑到模型的对称性,选取风向角为0˚~180˚,间隔为15˚。模型面板立面图见图1(b),其中,光伏光伏屋面中心处离底部建筑屋顶的高度为5 mm,光伏屋面倾角5˚。

(a) 模型测点布置图

(b) 模型面板立面图

Figure 1. Test model

1. 试验模型

炮楼模型尺寸为120 mm × 60 mm × 55 mm (长 × 宽 × 高),在屋顶上总共有6个位置变化。见图2。试验模型在风洞中的布置如图3所示。

(a) 炮楼与底部模型示意图

(b) 炮楼位置变化图

Figure 2. Tower positions and its size definition

2. 炮楼位置及尺寸定义

Figure 3. Wind tunnel testing

3. 风洞试验图

2.2. 风场模拟

本实验在湖南科技大学直流吸入式大气边界层风洞中进行。该风洞试验段尺寸为4.0 m (宽) × 3.0 m (高) × 21.0 m (长)。采用尖劈和粗糙元模拟了《建筑结构荷载规范》(GB 50009-2012)中的B类风场。图4(a)给出了理论和试验的平均风速和湍流强度剖面,其中,Z为高度,H为参考高度,选取架空光伏屋面的跨中位置处离地高度,取0.345 m,UzZ高度下的平均风速,UH为参考高度处的平均风速,由图4(a)可以看出,试验模拟的风速剖面和湍流强度剖面与理论值均较为接近。图4(b)给出了参考高度(H = 0.345 m)的顺风向脉动功率谱,与Karman谱吻合较好。试验中的风速缩尺比取1:3,由几何缩尺比和风速缩尺比得出时间缩尺比为3:40,对应为实际10 min下的45 s。本实验的采样频率为333 Hz。

(a) 平均风速剖面和湍流强度剖面

(b) 顺风向脉动功率谱

Figure 4. Conditions of approaching flow

4. 来流条件

2.3. 数据处理方法

光伏屋面测点i上下表面的风压系数分别为:

C pui ( t )= p ui ( t ) p 0.5ρ U H 2 (1)

C pdi ( t )= p di ( t ) p 0.5ρ U H 2 (2)

其中:Cpui(t)和Cpdi(t)分别为光伏屋面测点i上、下表面的风压系数时程,Pui(t)、Pdi(t)分别为光伏屋面测点i上、下表面的压力值时程,P为参考静压, ρ 为空气密度,取1.225 kg/m3UH为模型参考高度处的平均风速,为8.23 m/s。测点i的净风压系数表达式为:

  C pi ( t )= C pui ( t ) C pdi ( t ) (3)

由此可得平均净风压系数表达式:

C ¯ pi = 1 N t 1 t N C pi ( t ) (4)

式中:N为一个风压时程获得的样本数据量,试验中风压采样频率为333 Hz,采样时间45 s,对应的N = 15,000。净风压为负值时表示风吸力,为正值时表示风压力。

在各个风向均采集10个样本,通过Cook-Mayne法[13]估算每个测点的极值风压系数。

3. 平均风压系数

为了更好分析炮楼位置对架空光伏屋面平均风压的影响,考虑模型等因素,选取长边中心线为对象,考虑0˚、180˚、225˚、270˚、315˚典型风向角下平均风压系数深入分析。其中x为距光伏屋面短边边缘的距离,D为光伏屋面长边尺寸。

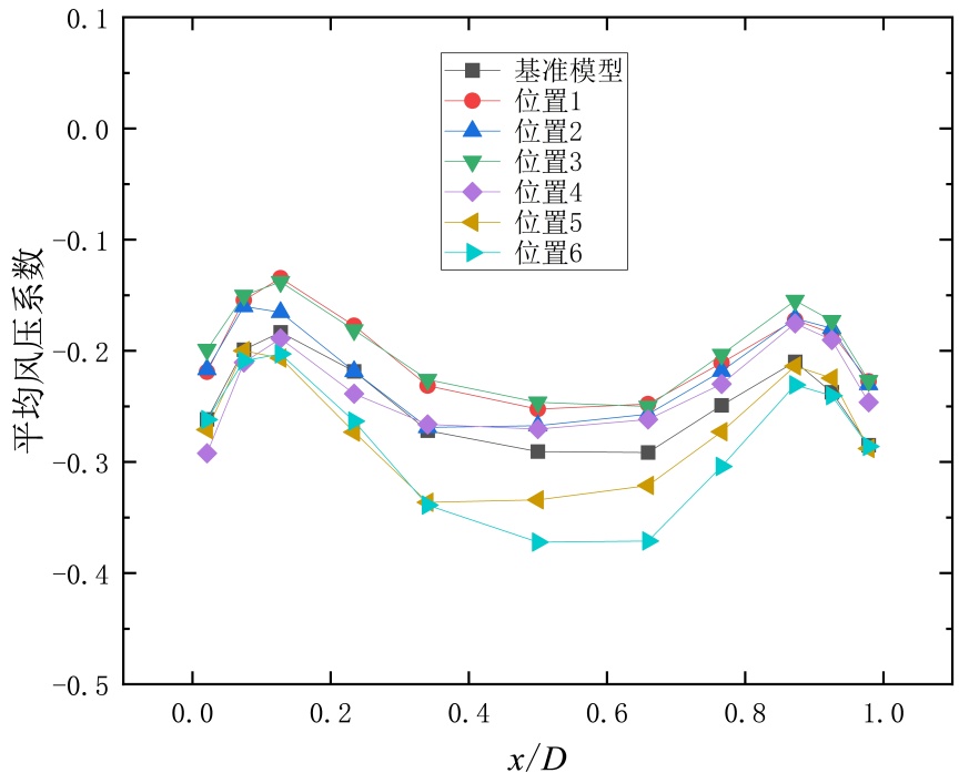
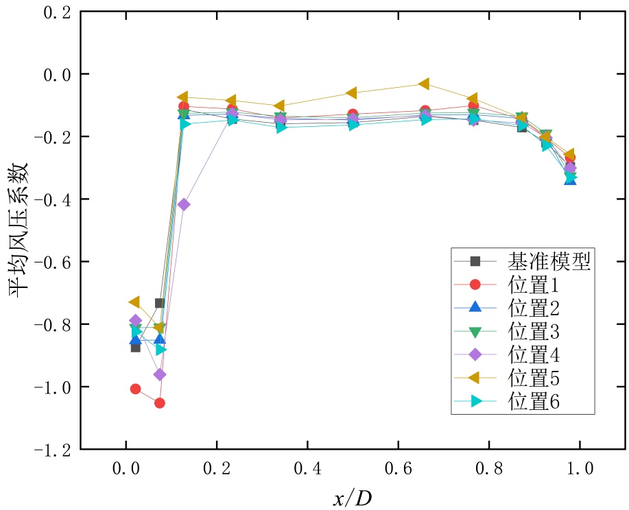
图5(a)显示了0˚风向角时不同炮楼位置下模型沿光伏屋面上表面长边中心线的平均风压系数变化。不同位置下的平均风压系数变化相似,总体在−0.4~−0.1区间变化。与基准模型相比,炮楼位置为1~4时,均能减小平均负风压,位置1~4变化幅度较为接近,而位于迎风方向的位置5,6的平均风压系数变化幅度较大,且均增大平均负风压,相较于位置5,位于屋顶前缘中间的位置6,平均风压系数变化较为明显。考虑是由于气流在位置6发生分流绕行,导致上表面负风压系数的增大。

(a) 上表面 (b) 下表面

(c) 净压力

Figure 5. Mean wind pressure coefficients along the centerline of the roof slab’s long side at 0˚ wind angle

5. 0˚风向角模型沿光伏屋面长边中心的平均风压系数

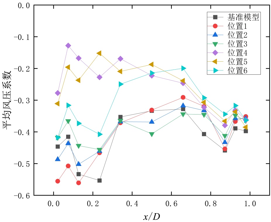
图5(b)显示了0˚风向角时不同炮楼位置下模型沿光伏屋面下表面长边中心线的平均风压系数变化。与上表面不同,炮楼位置变化均能减小下表面的平均负风压。炮楼位置变化使下表面平均风压系数变化较为复杂,表明下表面对炮楼位置变化较为敏感。位于迎风后缘下的位置1~3减幅大于迎风前缘下的位置4~6,这是来流撞击在位于迎风后缘的位置1~3的炮楼发生流动分离,导致减幅较大。

图5(c)显示了0˚风向角时不同炮楼位置下模型沿光伏屋面长边中心线的平均净风压系数变化。不同位置下的平均风压系数变化相似,均为正值。炮楼位置变化均能减小平均正风压。与上表面一致,位于屋顶前缘中间及相近的位置5~6对光伏屋面平均净风压系数值影响较为明显,其中,减幅出现前4个点,表明前缘对光伏屋面下的炮楼更加敏感。

图6(a)显示了180˚风向角不同炮楼位置下模型沿光伏屋面上表面长边中心线的平均风压系数变化。与基准模型相比,不同位置下的平均风压系数变化相似,沿长边中心线的平均风压系数均与基准模型工况下的结果较为接近,说明在180˚风向角下,炮楼位置变化对光伏屋面上表面的平均风压影响较小。

(a) 上表面 (b) 下表面

(c) 净风压

Figure 6. Mean wind pressure coefficients along the centerline of the roof slab’s long side at 180˚ wind angle

6. 180˚风向角时模型沿光伏屋面长边中心的平均风压系数

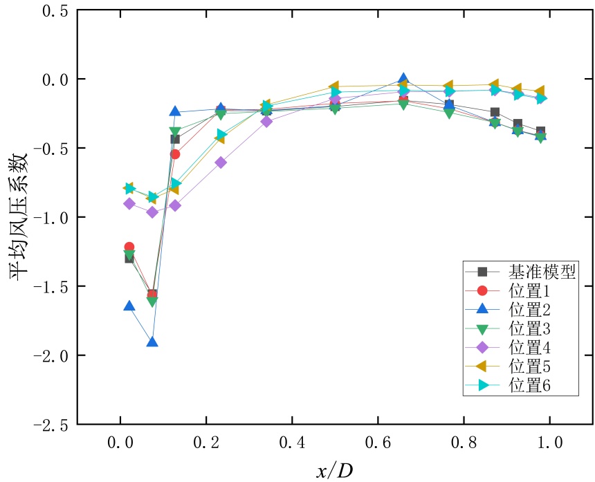
图6(b)显示了180˚风向角不同炮楼位置下模型沿光伏屋面下表面长边中心线的平均风压系数变化。与上表面不同,炮楼位置对光伏屋面下表面的影响较大,而与0˚风向角相比,位置4~6的炮楼对下表面平均风压影响较大,减小光伏屋面下表面的负压,基准模型工况下光伏屋面沿长边中心线的平均风压系数在−0.55~−0.32之间,而位置4工况下光伏屋面沿长边中心线在−0.38~−0.13之间。说明光伏屋面下表面对位置4下的炮楼更为敏感。

图6(c)显示了180˚风向角时不同炮楼位置下模型沿光伏屋面长边中心线的平均净风压系数变化。光伏屋面沿长边中心线的平均风压系数变化趋势与上表面一致,表明光伏屋面平均净风压系数主要由上表面主导。与下表面一致,位置4~6工况下的光伏屋面净风压变化幅度较大,且最大差异出现前面4点,在下风向的4个点,不同位置下的净风压相似,说明迎风前缘对架空光伏屋面下的炮楼更为敏感。

图7(a)显示了225˚风向角不同炮楼位置下模型沿光伏屋面上表面长边中心线的平均风压系数变化,各工况下光伏屋面平均风压系数的绝对值呈现先增大后减小的趋势。风压绝对值最大值出现在第二点,这是由锥形涡引起的。在长边前5个点,炮楼位置变化对平均风压系数的影响较大。与基准模型相比,位置1、2工况与基准模型工况下较为接近,而位置为4~6工况下均减小了平均负压,并随位置往中间靠近,减小幅度越大。这说明来流在位置4~6下的炮楼发生了绕流分离,破坏了锥形涡的形成。

(a) 上表面 (b) 下表面

(c) 净风压

Figure 7. Mean wind pressure coefficients along the centerline of the roof slab’s long side at 225˚ wind angle

7. 225˚风向角时模型沿光伏屋面长边中心的平均风压系数

图7(b)显示了225˚风向角不同炮楼位置下模型沿光伏屋面下表面长边中心线的平均风压系数变化。与基准模型工况相比,总体上,除位置3工况下,各工况下平均风压系数均低于基准模型。其中,位置1、4对平均风压系数的增幅较大,在第4点由−0.13减至−0.55。对于最后4个点,位置1~3工况与基准模型较为接近,位置4~6工况会减小负压值。

图7(c)显示了225˚风向角不同炮楼位置下模型沿光伏屋面表面长边中心线的平均净风压系数变化。与上表面一致,在前3个点,位置为4~6工况下对平均净风压系数系数的影响较大,在第二点,炮楼位置为3时,平均净风压系数系数由基准模型下−1.62减小至−0.74。总体上,与基准模型相比,炮楼位置变化在前5个点减小光伏屋面的负压值,后6点增大正压值,这是由于上表面负压值的减小和下表面负压值增大引起的,朝对光伏屋面有利的方向进行。

图8(a)显示了270˚风向角不同炮楼位置下模型沿光伏屋面上表面长边中心线的平均风压系数变化。各工况下上表面的平均风压系数变化趋势一致,平均风压系数的绝对值沿长边呈现先增大后减小的趋势且稳步向0靠近,平均风压系数的绝对值的最大值出现在第二点,这是由于柱状涡引起的。炮楼位置变化对上表面的平均风压系数影响较小。

(a) 上表面 (b) 下表面

(c) 净风压

Figure 8. Mean wind pressure coefficients along the centerline of the roof slab’s long side at 270˚ wind angle

8. 270˚风向角时不同炮楼位置下模型沿光伏屋面长边中心的平均风压系数

图8(b)显示了270˚风向角不同炮楼位置下模型沿光伏屋面下表面长边中心线的平均风压系数变化。下表面的平均风压系数由正压开始减小,越过零点后,负压绝对值持续增大,炮楼位置变化对上表面的平均风压系数影响较大。其中,在光伏屋面长边中间附近,靠近光伏屋面中间的炮楼位置2~3及5~6平均风压系数变化幅值较大,而靠近迎风前缘的位置1、4与基准模型较为接近,这可能是来流在位置2~3、5~6的炮楼使气流分离绕行,位置1、4工况下能形成更完整的分离气流涡流。

图8(c)显示了270˚风向角不同炮楼位置下模型沿光伏屋面表面长边中心线的平均净风压系数变化。各工况下平均净风压系数系数呈现单调增大后稳步水平分布的趋势。炮楼能够减小光伏屋面的平均净风压系数。与下表面一致,平均净风压系数系数变化幅度较大的点出现在光伏屋面长边中间附近。

图9(a)显示了315˚风向角不同炮楼位置下模型沿光伏屋面上表面长边中心线的平均风压系数变化。与225˚风向角不同的是在315˚风向角下,各炮楼位置下的平均风压较为接近,且与基准模型平均风压差异较小,说明斜风向下,炮楼位置变化对上表面风压影响较小。

(a) 上表面 (b) 下表面

(c) 净风压

Figure 9. Mean wind pressure coefficients along the centerline of the roof slab’s long side at 315˚ wind angle

9. 315˚风向角时不同炮楼位置下模型沿光伏屋面长边中心的平均风压系数

图9(b)显示了315˚风向角不同炮楼位置下模型沿光伏屋面下表面长边中心线的平均风压系数变化。下表面受炮楼位置变化的影响较为明显。位置4在下表面的风压幅度均为最大,位置3次之。相较于基准模型,位置1~3工况下减小了负压值,而位置4~6增大了负压值,这是由于位置4靠近迎风角部,来流撞击炮楼使锥形涡强度增大,而位置3下来流在炮楼分离,改变了来流方向,使负压减小。

图9(c)显示了315˚风向角不同炮楼位置下模型沿光伏屋面表面长边中心线的平均净风压系数变化。与图9(b)一致,位置3、4风压幅度较大。位置4~6增大正压,位置1~3增大负压,这是由于下表面位置4~6增大了负压,朝有利的方向进行,而位置1~3反之。

4. 极值风压系数

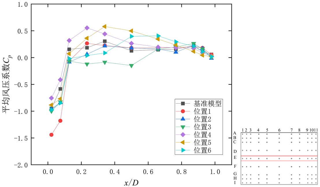
图10为不同炮楼位置下架空光伏屋面所受最大负风压系数随风向变化的变化趋势。可以看到,各位置工况下架空光伏屋面所受最大负风压系数变化相似。在0˚~90˚风向角下最大风压系数绝对值均呈现先增大后减小的趋势,以90˚为周期。炮楼可以减小架空光伏屋面的最大负风压,基准模型下最不利负压的风向角出现在135˚,位置1~2工况下最不利风向角出现在225˚,而位置3、6为135˚,位置4~5工况下最不利风向角为210˚,表明处于靠近屋顶角落位置的炮楼会改变出现最不利极值的风向角。位置4下的炮楼对光伏屋面所受最大负风压系数的绝对值减幅最大,基准模型下为−8.74,而位置4下为−7.91。

Figure 10. Maximum negative net wind pressure coefficient varies with wind direction

10. 最大负极值净风压系数随风向的变化

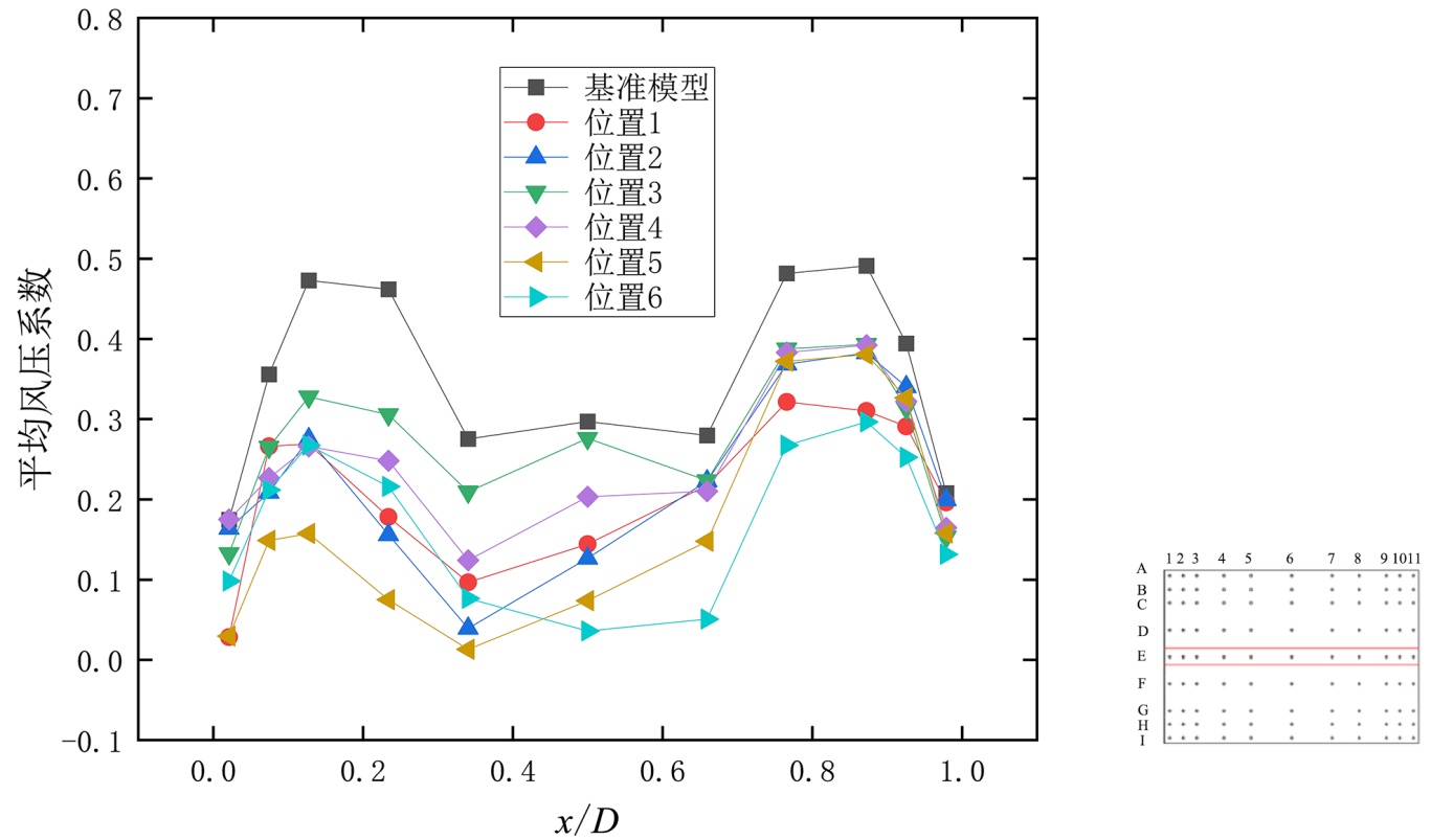
图11显示了全风向角下不同炮楼位置的架空光伏屋面每个位置的最不利极值风压。可以看到,靠近架空光伏光伏屋面边缘的区域具有较大的风压极值,最大值出现靠近角部的位置,与图10一致,这是由135˚、150˚、210˚、225˚风向引起的。在所有位置变化中,位置3下总体上均能减小负极值风压,其余位置均增大负极值净风压,部分区域减少。这可能是由于当气流到达炮楼时已重新附着光伏屋面,由于气流重新附着后被炮楼阻挡并往上进入光伏屋面。在位置3、6下,由于炮楼的存在,左、右上角涡流的形成明显减少,位于光伏屋面高檐中间处的炮楼对架空光伏屋面风荷载影响较大。

(a) 基准模型 (b) 位置1

(c) 位置2 (d) 位置3

(e) 位置4 (f) 位置5

(g) 位置6

Figure 11. Most unfavorable pressure coefficient at each position in all wind directions of different turret positions

11. 不同炮楼位置下架空光伏屋面全风向各位置最不利净极值风压系数

我国《屋盖结构风荷载标准》JGJ/T 481-2019 [14]给出了开敞式单坡屋盖的设计风荷载。中国规范基于特定风向角将屋面划分图12(a)所示的虚线外(Ra)和内(Rb) 2个区域,a = 30 mm。屋面某区的极值风压系数是指全风向下该分区测点极值风压系数面积加权平均值的最大值,考虑全风向的极值风压系数规范取值见表1。在Ra区域内,各工况的分区极值风压系数均小于规范值,除了位置2外,其他位置炮楼均能减小分区极值风压系数,位置3减幅最大,达到6%;在Rb区域内,各工况的分区极值风压系数均在规范值的70%左右;说明依据《屋盖结构风荷载标准》,总体上可以确保光伏屋面的抗风安全。

Figure 12. Standard zoning plan for roof

12. 屋盖标准分区方案

Table 1. Minimum wind pressure coefficients for overhead PV roofs based on Chinese code zoning provisions

1. 架空光伏屋面基于中国规范分区极值风压系数

模型工况

极值风压系数

Ra

Rb

规范值

−5.00

−4.00

基准模型

−4.75

−2.65

位置1

−4.61

−2.62

位置2

−4.76

−2.71

位置3

−4.29

−2.52

位置4

−4.65

−2.67

位置5

−4.65

−2.75

位置6

−4.56

−2.68

5. 结论

1) 炮楼对架空光伏屋面上表面影响较小,而对光伏屋面下表面平均风压系数影响较为显著,炮楼位置的变化均能增大平均风吸力。处于屋面低檐下的炮楼对架空光伏屋面平均风压影响较大。

2) 炮楼位置的变化对架空光伏屋面的极值风压影响较大,特别是,位于光伏屋面高檐中部处的炮楼。依据《屋盖结构风荷载标准》分区,总体上可以确保光伏屋面的抗风安全。

对于分析炮楼对光伏屋面中心线等风压变化不够全面,应将进一步分区分析风荷载作为未来研究方向。

基金项目

国家自然科学基金(52578581)。

NOTES

*通讯作者。

参考文献

[1] 傅继阳, 谢壮宁, 倪振华. 大跨悬挑平屋盖结构风荷载特性的试验研究[J]. 土木工程学报, 2003(10): 7-14.
[2] Gumley, S.J. (1984) A Parametric Study of Extreme Pressures for the Static Design of Canopy Structures. Journal of Wind Engineering and Industrial Aerodynamics, 16, 43-56. [Google Scholar] [CrossRef
[3] Robertson, A.P. and Moran, P. (1986) Comparisons of Full-Scale and Wind-Tunnel Measurements of Wind Loads on a Free-Standing Canopy Roof Structure. Journal of Wind Engineering and Industrial Aerodynamics, 23, 113-125. [Google Scholar] [CrossRef
[4] Ginger, J.D. and Letchford, C.W. (1992) Peak Wind Loads under Delta Wing Vortices on Canopy Roofs. Journal of Wind Engineering and Industrial Aerodynamics, 43, 1739-1750. [Google Scholar] [CrossRef
[5] Natalini, B., Marighetti, J.O. and Natalini, M.B. (2002) Wind Tunnel Modelling of Mean Pressures on Planar Canopy Roof. Journal of Wind Engineering and Industrial Aerodynamics, 90, 427-439. [Google Scholar] [CrossRef
[6] 郭明霞, 曹平周, 汪磊, 等. 大跨预应力高铁站台雨棚风荷载特性研究[J]. 河南大学学报(自然科学版), 2018, 48(1): 63-72.
[7] Wang, B., Cot, L.D., Adolphe, L. and Geoffroy, S. (2017) Estimation of Wind Energy of a Building with Canopy Roof. Sustainable Cities and Society, 35, 402-416. [Google Scholar] [CrossRef
[8] 蒋媛, 回忆, 陈波, 等. 中/低层建筑屋顶开敞棚式结构风荷载特性的试验研究[J/OL]. 建筑结构学报. 2026-03-17.[CrossRef
[9] Jiang, Y., Hui, Y., Li, M., Zhu, H. and Liu, M. (2025) Study on Wind Pressure of Side-Attached Canopies Atop Buildings with Setback. Journal of Wind Engineering and Industrial Aerodynamics, 261, Article ID: 106081. [Google Scholar] [CrossRef
[10] Doddipatla, L.S. and Kopp, G.A. (2021) Wind Loads on Roof-Mounted Equipment on Low-Rise Buildings with Low-Slope Roofs. Journal of Wind Engineering and Industrial Aerodynamics, 211, Article ID: 104552. [Google Scholar] [CrossRef
[11] Cao, J., Tamura, Y. and Yoshida, A. (2013) Wind Tunnel Investigation of Wind Loads on Rooftop Model Modules for Green Roofing Systems. Journal of Wind Engineering and Industrial Aerodynamics, 118, 20-34. [Google Scholar] [CrossRef
[12] Zou, Q., Li, Z., Zou, F., Zeng, X., Wang, C. and Pan, Y. (2021) A Study on the Characteristics of Roof Wind Field by Wind Tunnel Test. Journal of Building Engineering, 43, Article ID: 103155. [Google Scholar] [CrossRef
[13] Cook, N.J. and Mayne, J.R. (1980) A Refined Working Approach to the Assessment of Wind Loads for Equivalent Static Design. Journal of Wind Engineering and Industrial Aerodynamics, 6, 125-137. [Google Scholar] [CrossRef
[14] 杨庆山, 曹曙阳, 陈波, 等. JGJ/T 481-2019屋盖结构风荷载标准[S]. 北京: 中国建筑工业出版社, 2019.