二碘化钐催化有机反应的研究进展
Research Progress on Samarium Diiodide-Catalyzed Organic Reactions
DOI: 10.12677/jocr.2026.141014, PDF, HTML, XML,   
作者: 贾 荣:浙江师范大学化学与材料科学学院,浙江 金华
关键词: 二碘化钐单电子转移催化循环还原偶联Samarium Diiodide Single-Electron Transfer Catalytic Cycle Reductive Coupling
摘要: 二碘化钐(SmI2)作为一种独特的单电子转移(SET)还原剂,自1977年被Kagan课题组首次系统报道以来,已成为有机合成中构建复杂分子骨架的核心工具。传统SmI2反应依赖化学计量比试剂,存在原子经济性低、废弃物排放多等局限。近年来,催化量SmI2体系的开发突破了Sm3+产物络合物难以解离的关键瓶颈,通过还原剂再生、电子循环、光化学驱动等策略实现了催化剂的高效循环。本文系统综述了SmI2催化反应的核心机制:使用化学计量比的牺牲金属还原剂、通过反向电子转移(BET)将电子循环回收钐,以及光化学再生的最新进展。
Abstract: Samarium diiodide (SmI2), as a unique single-electron transfer (SET) reductant, has become a central tool in constructing complex molecular frameworks in organic synthesis since it was first systematically reported by Kagan’s group in 1977. Traditional SmI2 reactions rely on stoichiometric amounts of reagents, which have limitations such as low atom economy and high waste generation. In recent years, the development of catalytic SmI2 systems has overcome the key bottleneck of difficult dissociation of Sm3+-product complexes, achieving efficient catalyst turnover through reductant regeneration, electron cycling, as well as electrochemical and photochemical driving strategies. This review systematically summarizes the core mechanisms of SmI2-catalyzed reactions: the use of stoichiometric sacrificial metal reductants, electron cycling back to Sm through back electron transfer (BET), and the latest advances in photochemical regeneration.
文章引用:贾荣. 二碘化钐催化有机反应的研究进展[J]. 有机化学研究, 2026, 14(1): 152-163. https://doi.org/10.12677/jocr.2026.141014

1. 引言

SmI2是一种独特的二价镧系还原剂,其还原电位在THF中为−1.55 V vs. SHE [1] [2]。可通过添加剂(如HMPA、水/胺体系)灵活调控,能够选择性激活羰基、卤代烃、烯烃、亚胺等多种官能团[3]-[7]。在过去四十余年中,SmI2介导的反应已广泛应用于还原偶联、环化反应、去芳构化、脱保护等领域,尤其在复杂天然产物全合成的后期关键步骤中展现出不可替代的价值[4] [5]。然而,传统化学计量比的使用模式导致钐资源浪费、产物分离复杂,且产生大量金属盐废弃物,与可持续合成的发展理念相悖。

开发催化型SmI2体系的核心挑战在于Sm3+的高效再生。Sm3+与反应产物(如醇盐、酯基)形成的络合物稳定性高,难以自发解离,如图1。近年来,催化策略的革新不仅解决了可持续性问题,更解锁了传统化学计量体系难以实现的反应路径,推动SmI2在药物合成、材料化学、绿色化工等领域的广泛应用。截至2025年,已有超过13,500篇相关研究报道,但催化类研究仅占0.3%,仍存在巨大的发展空间[8]

Figure 1. The most common method for preparing SmI2 solution in THF and its electronic structure

1. THF中SmI2溶液制备的最常用方法及其电子结构

2. 二碘化钐的基础特性与催化核心机制

2.1. 物理化学特性

SmI2常温下为深色固体,在四氢呋喃(THF)中形成深蓝色溶液,是其最适反应体系。该试剂对氧气和水高度敏感,需在惰性气体氛围下储存与操作,常用制备方法为金属钐与碘代烷在THF中直接反应。其核心特性在于可调的还原能力,添加HMPA后还原电位可降至−2.05 V,能够激活酯、酰胺等更难还原的官能团。此外,SmI2的反应活性与选择性可通过配体、添加剂、溶剂等多重因素调控。例如,路易斯碱(如HMPA、DMPU)可通过与Sm2+配位增强其给电子能力,质子源(如t-BuOH、三氟乙醇)则可促进Sm3+产物络合物的解离,提升催化循环效率。

2.2. 催化核心机制

SmI2催化反应的本质是Sm2+/Sm3+的氧化还原循环,核心过程分为三步:单电子转移(SET),中间体转化,解离Sm3+产物络合物,将Sm3+还原为Sm2+,完成催化循环。其中,Sm3+产物络合物的解离与Sm3+的还原是催化循环的关键步骤。

3. 二碘化钐催化的策略与进展

3.1. 牺牲金属还原剂

为解决早期SmI2化学反应中固有的化学计量试剂使用局限性,早期研究者率先探索了牺牲末端金属还原剂的应用策略。该方法采用化学计量的廉价易得还原剂(通常为低价金属),SmII通过还原性单电子转移(SET)向底物传递电子,引发所需的自由基化学反应。当羰基还原时,生成的自由基会与SmIII结合。自由基反应通常产生产物结合型SmIII中间体。将底物转化后生成的SmIII副产物再生为活性SmII物种,从而实现催化循环。如图2所示:

Figure 2. General cycle using a stoichiometric sacrificial terminal reductant for SmII-catalysis

2. 使用化学计量牺牲末端还原剂的SmII催化一般循环

3.1.1. 利用化学计量比牺牲还原剂实现SmII再生

该策略是最早发展的SmI2催化模式,通过添加廉价低Valent金属(如Mg、Zn、混合稀土金属)作为牺牲还原剂,实现Sm3+的再生,同时需引入亲电添加剂(如Me3SiCl、MgI2)促进Sm3+产物络合物的解离。

1997年[9],Corey及其同事在催化酮环化反应中应用了SmI2/Zn(Hg)汞齐体系,该反应可生成螺内酯产物。在此体系中,碘化锂和三甲基硅基三氟甲磺酸酯(Me3SiOTf)被发现对于提高催化周转率至关重要(如图3)。

1999年[10],Namy及其研究团队开创性地将廉价的混合金属作为SmI2催化反应的有效末端还原剂。他们提出,SmII的再生过程是通过混合金属还原SmIII醇盐实现的,该过程可能涉及盐的复分解步骤和有机钐中间体。值得注意的是,该体系在某些偶联反应中省去了硅基亲电试剂的使用,虽然简化了实验流程,但也导致稀土金属废料的产生量进一步增加(如图4)。

Figure 3. SmI2-catalyzed ketone cyclization reaction

3. SmI2催化酮环化反应

Figure 4. Mixed-metal reduction SmI2 catalytic system

4. 混合金属还原SmI2催化体系

采用低价金属还原剂在SmI2化学反应中实现催化周转,标志着向更进一步研究迈出的关键第一步。这些研究还强调添加剂在促进SmIII释放及高效SmII再生中的关键作用,并为后续方法优化奠定了基础。

2005年[11],Greeves团队采用四乙二醇二甲醚作为螯合添加剂,与SmI2、Mg(0)及二氯二甲基硅烷共同应用于分子间蒎烷偶联反应(如图5)。同年,Kanomata团队报道了Mg(0)/HMPA/Me3SiCl体系用于SmI2催化的分子内蒎烷偶联反应,但需过量牺牲性还原剂与亲电试剂才能实现催化转化[12]

Figure 5. SmI2-catalyzed coupling reaction

5. SmI2催化的偶联反应

2019年[13],Maity和Flowers团队对Mg(0)/Me3SiCl基催化体系进行了深入的机理研究,发现引入质子供体(如三氟乙醇)可显著提升催化效率。他们的研究提供了有力证据:活性催化剂会随反应时间推移发生演变—当氯化硅添加剂生成氯化物时,SmI2会转化为更强效的还原剂SmCl2。这种钐盐的复分解反应,解释了为何某些催化体系能还原那些通常难以被化学计量比SmI2还原的底物。

这些研究的共同点在于使用廉价的牺牲性低价金属还原剂和硅烷化试剂。通过优化反应条件,试剂化学计量、加成速率和添加剂的选择,以实现高效催化。尽管成功减少了对化学计量SmI2的依赖,但该策略在整体效率、成本和废物产生方面仍面临局限并且添加剂常以化学计量使用,进一步降低了整体工艺的原子经济性。

3.1.2. SmIII烷氧基化合物的质子解离

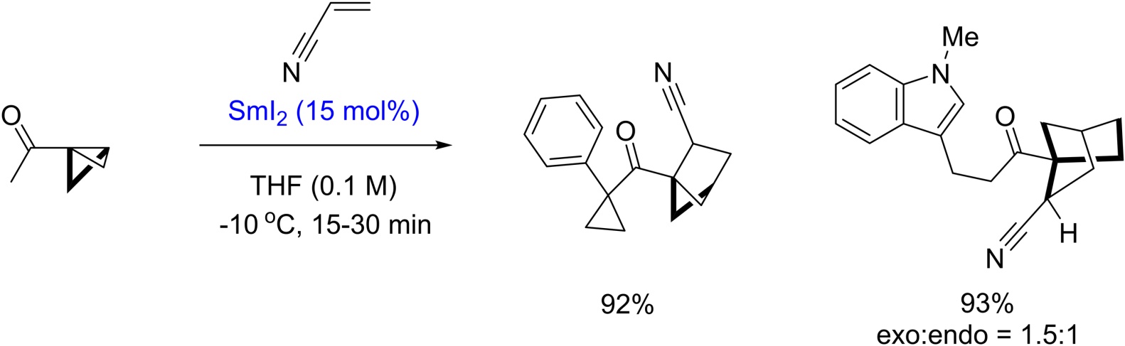
2024年[14],Reisman和Peters及其同事报道了在使用锌作为化学计量还原剂的SmII催化领域的一项重要进展(如图6(a))。该研究的核心焦点是长期以来由羰基底物生成酮基自由基时形成的强SmIII-O键所引发的高效催化难题,这些键也存在于交叉偶联产物中。为解决这一问题,作者采用吡啶鎓盐与化学计量碘源碘化镁相结合,裂解SmIII-O键并生成SmI3 (如图6(b))。

Figure 6. SmII-catalyzed ketone-alkene coupling/cyclization using a SmIII-alkoxide protonolysis approach

6. 使用SmIII-醇盐质子化方法的SmII催化酮烯烃偶联/环化

3.2. 电子循环

自由基接力催化(又称“电子循环”)是SmII催化的一种现代替代方案,具有优异的原子经济性[15]。该方法的典型应用包括还原邻近应变环的功能基团,通过自由基裂解促进环加成反应。通用催化循环始于SmII对功能基团A的SET还原,形成SmIII-A键(如图7)。由于新生成的自由基邻近应变环体系,可发生β裂解生成自由基。随后C位捕获自由基并发生自由基环化,使自由基重新回到A位。最终通过BET至SmIII,断裂SmIII-A键,释放产物并再生SmII催化剂。迄今为止,SmI2自由基接力催化已在环加成反应中成功形成两个新的碳碳键。该策略成功实施的关键考量包括:i) 初始自由基与产物自由基的不稳定性差异;ii) 自由基在整个催化循环中的转移效率与SmII还原生成碳负离子的效率对比。

Figure 7. General catalytic cycle for SmII-catalysis exploiting a radical relay mechanism

7. 利用自由基接力机制的SmII催化的一般催化循环

3.2.1. 环丙基酮的开环反应

2021年,Procter课题组发表一系列研究,展示利用自由基传递策略驱动SmI2催化反应的成果。该方法无需化学计量比的还原剂和亲电添加剂,多数情况下仅需催化量的SmI2。反应工艺已从分子内自由基(3 + 2)环加成发展至芳基环丙基酮的分子间偶联反应,近期更拓展至反应活性较低的烷基酮(如图8(a)) [16] [17]。早期涉及芳基酮底物的工艺实现了高产率立体控制的复杂五元环体系和高度修饰的环戊基体系(如图8(b))。这些实验方案仅需简单的实验装置且无需外源反应物,相较于化学计量比牺牲还原剂策略,能显著减少副产物生成。

Figure 8. Radical relay mechanisms drive SmI2-catalyzed (3 + 2)-cycloadditions

8. SmI2催化的(3 + 2)环加成反应

2024年[18],Procter课题组采取烷基环丙基酮类底物,这类底物因氧化还原电位较低且反应活性不足而具有挑战性(如图9)。拓展了催化自由基(3 + 2)环加成的底物范围。利用酮基自由基介导环丙烷环开启的策略,实现与烷烃和醛类的单组分多组分立体选择偶联。该方法利用双氮二硼基作为双作用剂。它促进了CPK的自由基介导环开启,随后通过烯基二硼基序参与醛的立体选择性加成。

Figure 9. Intermolecular coupling of alkyl ketones with alkynes/alkenes catalyzed by SmI2

9. SmI2催化烷基酮与炔烃/烯烃分子间偶联

2025年[19],Sharma及其同事采用Procter团队的催化体系和方法,利用催化SmI2/Sm0在环加成反应中合成空间位阻大的硼取代环戊烯,底物为二硼基取代的环丙基酮(如图10)。尽管在开发SmI2催化的环丙基酮环加成反应方面取得进展,该方法仍存在局限性。在处理更具挑战性、反应缓慢的底物时,需要亚化学计量零价钐。

Figure 10. SmI2-Catalyzed cyclopropyl ketone ring addition

10. SmI2催化环丙基酮环加成

3.2.2. 其他含酮张力环的开环

Procter课题组还研究了SmI2催化的其他含外环酮的应变体系的裂解与偶联反应[20]-[22]。2023 [23]年,他们报道了一种通过分子间作用实现SmI2催化合成取代双环[2.1.1]己基酮的方法。双环[1.1.0]丁基酮与缺电子烯烃的偶联反应(如图11)。这些BCH骨架作为新型饱和生物异构体,对邻位和间位二取代苯类化合物具有特殊研究价值[21]。该工艺效率高,仅需低剂量SmI2催化剂且无需任何添加剂,可制备一系列高价值的烷基和芳基酮。虽然自由基中催化法通常仅需SmI2即可实现,具有高原子经济性和操作简便性,但该方法目前仅适用于含有应变环的特定底物家族,其催化作用由应变环的断裂驱动。

Figure 11. SmI2-Catalyzed synthesis of substituted bicyclo [2.1.1] hexanones

11. SmI2催化合成取代双环[2.1.1]己基酮

3.3. 光化学策略

近年来,一种利用可见光能量催化SmIII盐还原的新方法应运而生。该方法通过含有发色团的配体,在牺牲性还原剂存在下实现催化。当光活性配体与SmII结合时,催化循环可沿两条不同路径进行:非产率型SmIII发光循环和产率型SmII催化循环(如图12) [24]。在SmIII发光循环(左侧循环),发色团与Sm结合进入激发态(SmII-PS*)。该光激发的发色团随后发生ISC和能量转移EnT至SmIII中心,生成SmIII激发态(*SmIII),最终通过发光淬灭[25],该过程本质上效率低下。在高效的SmII催化循环(右侧循环),SmIII络合物(SmIII-PS*)作为强效还原剂,直接将SmIII还原为SmII,生成自由基。该自由基阳离子可通过适当牺牲电子供体进行还原淬灭,从而完成目标还原转化并使循环闭合。成功实施该策略的关键因素包括光化学步骤的量子效率、光敏剂的选择以及电子供体在体系中的相容性。

Figure 12. A general photocatalytic cycle involving SmII bound to a photoactive ligand

12. 涉及SmII与光活性配体结合的一般光催化循环

3.3.1. 基于香豆素的配体用于光诱导电子转移(PET)

2023年[26],Borbas及其同事报道了通过原位还原具有光激发香豆素配体的钐上稳定的LnIII前体,光催化生成LnII还原剂(如图13)。尽管该研究主要关注EuII催化的反应,但制备了两种SmIII配合物并在多种反应中进行了测试。

Figure 13. Light-activated coumarin ligand

13. 光激发香豆素配体

在此基础上,2024年[27],Borbas团队报道了一种SmIII香豆素多联体,用于SmII光催化还原含羰基化合物以生成相应的醇或1,2-二醇产物(如图14)。其策略的关键在于利用可见光通过牺牲化学计量电子供体实现SmIII前催化剂的光化学再生SmII。随后,该策略还被应用于固氮反应及其他小分子(如CO、二氧化碳、MHCO3)的还原[28] [29]

3.3.2. 用于PET的蒽基配体

2024年[30],仓原、内本及其团队报道了一种可见光介导的SmII催化方法,该方法通过双齿膦氧化物配体DPA-1实现配体辅助光电子转移(如图15)。与Borbas团队的方法类似,该方法将SmIII预催化剂转化为具有催化活性的SmII物种,使其在整体净还原催化体系中发挥作用。总之,该研究提出了一种基于可见光驱动的SmII催化新策略,以使用蒽基配体进行的吡喃醇型偶联反应为例。当使用替代的、推测为氧化还原惰性的LnIII盐代替钐时,观察到存在适度的背景反应生成吡喃醇产物。

Figure 14. Coumarin 343 system for SmII-photocatalyzed pinacol coupling

14. SmII光催化香豆素343体系的邻二醇偶联反应

Figure 15. Photocatalyzed SmII coupling reactions of aryl aldehydes and ketones

15. 光催化SmII催化芳基醛和酮的偶联反应

3.3.3. 利用外源光催化剂的途径

2024年[31],Peters及其同事报道了一种利用SmII的光催化催化方法,该方法通过光催化剂将SmIII再生为SmII,并采用Hantzsch酯作为还原剂。这项研究被应用于SmII催化的分子间酮烯交叉偶联与内酯化反应中(如图16)。光激发态*HEH2具有足够还原性,可将SmIII还原生成SmII [34]。然而文献报道HEH2的量子产率较低且激发态寿命较短,为此,开发了一种使用光氧化还原催化剂的方案,该催化剂能够生成高还原性IrII物种,并通过电子供体将SmIII转化为SmII。该研究标志着与以往SmII催化光化学策略的重要突破,将光催化这一成熟领域与SmII相结合,无需制备光活性SmII配合物。该方法最显著的特点是首次在提出的双催化体系中使用铱光催化剂,以应对SmI2催化的挑战。

Figure 16. Photocatalytic SmII-Catalyzed ketone-alkene coupling/cyclization

16. 光催化SmII催化酮–烯偶联/环化

4. 总结

本综述系统梳理了SmI2催化体系的多种研究路径。SmI2化学的独特反应活性与选择性备受关注,但令人意外的是,专门开发SmII催化体系的研究却寥寥无几,这充分说明该领域仍面临诸多挑战。近年来研究取得显著进展:不仅实现了化学计量金属还原剂与SmI2的协同催化,还涌现出借鉴光催化与电催化技术的创新SmII催化体系。部分研究还采用便捷的SmIII前催化剂,实现SmII的原位生成,如表1

Table 1. Comparison of different catalytic strategies

1. 不同的催化策略对比

策略

核心活化机制

局限性/缺点

典型适用反应类型

金属还原

(如Mg, Zn, Mn)

金属单质作为终端还原剂,消耗性地再生SmII

1) 需化学计量金属添加剂,反应体系可能变浑浊不均一。

传统Barbier型反应、偶联反应、需要强还原条件的底物。

自由基接力

(如HAT催化剂)

通过氢原子转移,将有机自由基中间体“接力”给SmI2,再生SmII

1) 依赖特定HAT催化剂(如硫醇、硅烷),成本可能较高。

2) 催化效率受HAT步骤动力学限制。

还原性自由基环化、官能团化、脱卤反应、与烯烃的加成反应。

光催化

光敏剂(PC*)在光激发下单电子氧化SmIII至SmII,实现闭环催化循环

1) 需额外光敏剂和专用光源,操作复杂度增加。

2) 反应可能受溶剂透光性和容器影响,对空气和水分敏感,需严格除氧。

对条件极其敏感的复杂分子后期官能团化、不对称合成、与高分子量生物活性分子的反应。

尽管新型SmII催化方法仍存在局限性,且在转化类型和选择性方面尚未实现普适性,但每一步进展都为理解其机理提供了关键依据,并为SmII化学研究开启了新篇章。特别是近年来的光催化体系,利用可见光以驱动SmII催化而备受瞩目。通过设计更有效的配体体系来更好地调控Sm配合物的配位与稳定性,有望在较低Sm负载量下实现更高效的催化。总之,相较于采用SmI2进行催化反应的“一刀切”方法,一套适用于SmII催化的实用体系可能很快就能提供所需的通用性。最终,利用SmI2在催化领域独特丰富的选择性化学特性,将带来突破性机遇。

参考文献

[1] Girard, P., Namy, J.L. and Kagan, H.B. (1980) Divalent Lanthanide Derivatives in Organic Synthesis. 1. Mild Preparation of Samarium Iodide and Ytterbium Iodide and Their Use as Reducing or Coupling Agents. Journal of the American Chemical Society, 102, 2693-2698. [Google Scholar] [CrossRef
[2] Namy, J.L., Girard, P., Kagan, H.B. (1977) Divalent Lanthanide Derivatives in Organic Synthesis. I. Mild Preparation of Samarium Diiodide and Ytterbium Diiodide and Their Use as Reducing or Coupling Agents. Nouveau Journal de Chimie, 1, 5-7.
[3] Nicolaou, K.C., Ellery, S.P. and Chen, J.S. (2009) Samarium Diiodide Mediated Reactions in Total Synthesis. Angewandte Chemie International Edition, 48, 7140-7165. [Google Scholar] [CrossRef] [PubMed]
[4] Gao, Y. and Ma, D. (2022) Samarium Iodide-Mediated C-C Bond Formation in the Total Synthesis of Natural Products. Nature Synthesis, 1, 275-288. [Google Scholar] [CrossRef
[5] Conticello, V.P., Gin, D.L. and Grubbs, R.H. (1992) Ring-Opening Metathesis Polymerization of Substituted Bicyclo[2.2.2]Octadienes: A New Precursor Route to Poly(1,4-Phenylenevinylene). Journal of the American Chemical Society, 114, 9708-9710. [Google Scholar] [CrossRef
[6] Ashida, Y., Arashiba, K., Nakajima, K. and Nishibayashi, Y. (2019) Molybdenum-Catalysed Ammonia Production with Samarium Diiodide and Alcohols or Water. Nature, 568, 536-540. [Google Scholar] [CrossRef] [PubMed]
[7] Szostak, M., Fazakerley, N.J., Parmar, D. and Procter, D.J. (2014) Cross-Coupling Reactions Using Samarium(II) Iodide. Chemical Reviews, 114, 5959-6039. [Google Scholar] [CrossRef] [PubMed]
[8] Procter, D.J., Flowers, R.A. and Skrydstrup, T. (2009) Organic Synthesis Using Samarium Diiodide: A Practical Guide. The Royal Society of Chemistry.
[9] Corey, E.J. and Zheng, G.Z. (1997) Catalytic Reactions of Samarium (II) Iodide. Tetrahedron Letters, 38, 2045-2048. [Google Scholar] [CrossRef
[10] Hélion, F. and Namy, J. (1999) Mischmetall: An Efficient and Low Cost Coreductant for Catalytic Reactions of Samarium Diiodide. The Journal of Organic Chemistry, 64, 2944-2946. [Google Scholar] [CrossRef] [PubMed]
[11] Aspinall, H.C., Greeves, N. and Valla, C. (2005) Samarium Diiodide-Catalyzed Diastereoselective Pinacol Couplings. Organic Letters, 7, 1919-1922. [Google Scholar] [CrossRef] [PubMed]
[12] Ueda, T., Kanomata, N. and Machida, H. (2005) Synthesis of Planar-Chiral Paracyclophanes via Samarium(II)-Catalyzed Intramolecular Pinacol Coupling. Organic Letters, 7, 2365-2368. [Google Scholar] [CrossRef] [PubMed]
[13] Maity, S. and Flowers, R.A. (2019) Synthesis of Planar-Chiral Paracyclophanes via Samarium(II)-Catalyzed Intramolecular Pinacol Coupling. Journal of the American Chemical Society, 141, 3207-3216. [Google Scholar] [CrossRef] [PubMed]
[14] Boyd, E.A., Shin, C., Charboneau, D.J., Peters, J.C. and Reisman, S.E. (2024) Reductive Samarium (Electro)Catalysis Enabled by SmIII-Alkoxide Protonolysis. Science, 385, 847-853. [Google Scholar] [CrossRef] [PubMed]
[15] Huang, H., Garduño-Castro, M.H., Morrill, C. and Procter, D.J. (2019) Catalytic Cascade Reactions by Radical Relay. Chemical Society Reviews, 48, 4626-4638. [Google Scholar] [CrossRef] [PubMed]
[16] Huang, H., McDouall, J.J.W. and Procter, D.J. (2019) SmI2-Catalysed Cyclization Cascades by Radical Relay. Nature Catalysis, 2, 211-218. [Google Scholar] [CrossRef
[17] Agasti, S., Beattie, N.A., McDouall, J.J.W. and Procter, D.J. (2021) SmI2-Catalyzed Intermolecular Coupling of Cyclopropyl Ketones and Alkynes: A Link between Ketone Conformation and Reactivity. Journal of the American Chemical Society, 143, 3655-3661. [Google Scholar] [CrossRef] [PubMed]
[18] Mansell, J.I., Yu, S., Li, M., Pye, E., Yin, C., Beltran, F., et al. (2024) Alkyl Cyclopropyl Ketones in Catalytic Formal [3 + 2] Cycloadditions: The Role of SmI2 Catalyst Stabilization. Journal of the American Chemical Society, 146, 12799-12807. [Google Scholar] [CrossRef] [PubMed]
[19] Mini, A., Vyas, H., Gangani, A.J., Melada, M., Shin, A. and Sharma, A. (2025) Merging Ketyl Radical Chemistry and Allylboration via Strain Release: One-Pot Multicomponent Access to Sterically Congested Ketone-Functionalized Organoborons. Organic Letters, 27, 2902-2907. [Google Scholar] [CrossRef] [PubMed]
[20] Novaes, L.F.T., Liu, J., Shen, Y., Lu, L., Meinhardt, J.M. and Lin, S. (2021) Electrocatalysis as an Enabling Technology for Organic Synthesis. Chemical Society Reviews, 50, 7941-8002. [Google Scholar] [CrossRef] [PubMed]
[21] Agasti, S., Beltran, F., Pye, E., Kaltsoyannis, N., Crisenza, G.E.M. and Procter, D.J. (2023) A Catalytic Alkene Insertion Approach to Bicyclo[2.1.1]Hexane Bioisosteres. Nature Chemistry, 15, 535-541. [Google Scholar] [CrossRef] [PubMed]
[22] Roy, D., Mansell, J.I., Barison, G., Yu, S., Katavic, R., Romano, C., et al. (2025) SmI2‐Catalyzed Coupling of Alkyl Housane Ketones and Alkenes in an Approach to Norbornanes. Angewandte Chemie International Edition, 64, e202512018. [Google Scholar] [CrossRef] [PubMed]
[23] Walczak, M.A.A., Krainz, T. and Wipf, P. (2015) Ring-Strain-Enabled Reaction Discovery: New Heterocycles from Bicyclo[1.1.0]Butanes. Accounts of Chemical Research, 48, 1149-1158. [Google Scholar] [CrossRef] [PubMed]
[24] Subbaiah, M.A.M. and Meanwell, N.A. (2021) Bioisosteres of the Phenyl Ring: Recent Strategic Applications in Lead Optimization and Drug Design. Journal of Medicinal Chemistry, 64, 14046-14128. [Google Scholar] [CrossRef] [PubMed]
[25] Chen, R., Bai, Y. and Wei, B. (2025) Samarium Redox Catalysis. Chemical Synthesis, 5, 62. [Google Scholar] [CrossRef
[26] Parker, D., Dickins, R.S., Puschmann, H., Crossland, C. and Howard, J.A.K. (2002) Being Excited by Lanthanide Coordination Complexes: Aqua Species, Chirality, Excited-State Chemistry, and Exchange Dynamics. Chemical Reviews, 102, 1977-2010. [Google Scholar] [CrossRef] [PubMed]
[27] Tomar, M., Bhimpuria, R., Kocsi, D., Thapper, A. and Borbas, K.E. (2023) Photocatalytic Generation of Divalent Lanthanide Reducing Agents. Journal of the American Chemical Society, 145, 22555-22562. [Google Scholar] [CrossRef] [PubMed]
[28] Bhimpuria, R., Charaf, R., Ye, K., Thapper, A., Sathyan, H., Ahlquist, M., et al. (2025) A Sm(II)-Based Catalyst for the Reduction of Dinitrogen, Nitrite, and Nitrate to Ammonia or Urea. Chem, 11, Article 102547. [Google Scholar] [CrossRef
[29] Kuribara, T., Kaneki, A., Matsuda, Y. and Nemoto, T. (2024) Visible-Light-Antenna Ligand-Enabled Samarium-Catalyzed Reductive Transformations. Journal of the American Chemical Society, 146, 20904-20912. [Google Scholar] [CrossRef] [PubMed]
[30] Tomar, M., Bosch, C., Everaert, J., Bhimpuria, R., Thapper, A., Orthaber, A., et al. (2024) Photocatalyst for Visible-Light-Driven Sm(II)-Mediated Reductions. Organic Letters, 26, 10752-10756. [Google Scholar] [CrossRef] [PubMed]
[31] Johansen, C.M., Boyd, E.A., Tarnopol, D.E. and Peters, J.C. (2024) Photodriven Sm(III)-To-Sm(II) Reduction for Catalytic Applications. Journal of the American Chemical Society, 146, 25456-25461. [Google Scholar] [CrossRef] [PubMed]