基于GRU的可见光LOS/NLOS识别与高精度室内定位方法
GRU-Based Visible Light LOS/NLOS Identification and High Precision Indoor Positioning Method
摘要: 针对可见光室内定位系统中非视距(NLOS)传播导致定位精度急剧下降的问题,本文提出了一种基于门控循环单元(GRU)的LOS/NLOS识别与高精度定位方法。首先,构建了包含均值、标准差、峰度、偏度及中位数等5维统计特征的输入向量,以全面刻画接收信号强度(RSS)序列在视距与非视距条件下的分布差异与时序特性。其次,设计并训练了双层GRU深度学习网络,通过挖掘特征间的非线性依赖关系,实现了对链路状态的精准分类,输出各LED链路的LOS置信概率。在此基础上,提出了一种基于概率排序的动态LED优选策略,摒弃传统的硬判决剔除机制,转而选取LOS概率最高的三个LED作为定位锚点,并结合最小二乘法(LS)进行坐标解算,有效平衡了信号可靠性与几何精度因子。仿真结果表明,该方法在随机单遮挡场景下的LOS/NLOS识别准确率达到78.56%,LOS召回率高达82.95%;在定位性能方面,平均定位误差由基准方法的1.046 m降低至0.620 m,降幅达40.7%,且累积分布函数(CDF)曲线紧密逼近理论最优解(实际LOS)。该研究验证了所提方法在抑制NLOS误差、提升系统鲁棒性方面的显著优势,为复杂室内环境下的高精度可见光定位提供了有效的技术途径。
Abstract: Addressing the severe degradation of positioning accuracy caused by Non-Line-of-Sight (NLOS) propagation in Visible Light Positioning (VLP) systems, this paper proposes a high-precision positioning method based on Line-of-Sight (LOS)/NLOS identification using Gated Recurrent Units (GRU). First, a 5-dimensional statistical feature input vector, comprising mean, standard deviation, kurtosis, skewness, and median, is constructed to comprehensively characterize the distribution differences and temporal characteristics of Received Signal Strength (RSS) sequences under LOS and NLOS conditions. Second, a dual-layer GRU deep learning network is designed and trained to mine nonlinear dependencies among features, achieving precise classification of link states and outputting the LOS confidence probability for each LED link. Building on this, a dynamic LED selection strategy based on probability ranking is proposed. Departing from traditional hard-decision exclusion mechanisms, this strategy selects the three LEDs with the highest LOS probabilities as positioning anchors and employs the Least Squares (LS) method for coordinate estimation, effectively balancing signal reliability and Geometric Dilution of Precision (GDOP). Simulation results demonstrate that in random single-occlusion scenarios, the proposed method achieves an LOS/NLOS identification accuracy of 78.56% and an LOS recall rate of 82.95%. In terms of positioning performance, the average positioning error is reduced from 1.046 m in the baseline method to 0.620 m, representing a 40.7% improvement. Furthermore, the Cumulative Distribution Function (CDF) curve of the positioning error closely approximates the theoretical optimum (Ground Truth LOS). These findings validate the significant advantages of the proposed approach in mitigating NLOS errors and enhancing system robustness, offering an effective technical pathway for high-precision VLP in complex indoor environments.
文章引用:禤智钊. 基于GRU的可见光LOS/NLOS识别与高精度室内定位方法[J]. 光电子, 2026, 16(1): 19-32. https://doi.org/10.12677/oe.2026.161003

1. 引言

全球定位系统(GPS)虽主导室外导航,但在室内及城市角落中因信号遮挡而失效[1]。面对智能仓储等场景对厘米级“最后一米”定位的迫切需求,基于可见光通信(Visible Light Communication, VLC)的定位技术(Visible Light Positioning, VLP)凭借抗干扰、高安全及复用LED设施等优势,成为填补室内高精度定位空白的关键方案[2]。然而,障碍物引发的非视距(Non Line of Sight, NLOS)传播导致信号畸变与测距失真,是制约VLP精度的核心瓶颈[3]。鉴于NLOS误差对定位的影响巨大,有效识别并剔除NLOS信号以保留可靠视距(Line of Sight, LOS)数据,已成为实现高精度可见光定位的关键。

现有的非视距(NLOS)/视距(LOS)识别方法大致可分为传统方法和基于机器学习(ML)的方法。传统方法通常依赖于对测量信号参数的统计或几何分析。基于统计的技术提取由多径传播和散射引起的时延扩展、功率分布和相位变化等特征,并基于奈曼–皮尔逊(Neyman-Pearson)检验或信号参数分析等准则构建检测模型[4]-[6]。基于几何的方法则利用距离、角度或空间约束来检测被遮挡的信号,代表性示例包括结合异常检测的多维缩放算法[7]、基于凯莱–门格(Cayley-Menger)行列式的分组方法[8]。尽管这些方法具有物理可解释性,但其性能高度依赖于准确的特征提取和几何假设,这限制了它们在动态和复杂传播条件下的适应性。

为克服上述局限性,基于机器学习的方法应运而生,其利用数据驱动模型捕捉更复杂的信号模式。经典机器学习模型,如利用到达时间差(TDOA)测量的支持向量机(SVM) [9]、结合接收信号强度(RSS)时间序列的最小二乘SVM和高斯过程模型[10],以及利用多个时域特征的随机森林分类器[11],均展现出优于传统方法的分类准确率。将SVM与模糊置信度度量或动态阈值相结合的混合策略进一步增强了鲁棒性[12]。尽管现有方法取得了一定进展,但仍存在一定的局限性。为此,本文提出了一种基于门控循环单元(Gated Recurrent Unit, GRU)的可见光LOS/NLOS识别与高精度室内定位方法。本文的创新之处在于构建了基于统计特征驱动的自适应分类模型,不再直接依赖原始时间序列的逐点递归处理,而是通过提取RSS时间序列的五个关键统计特征(均值、标准差、峰度、偏度、中位数)。这些特征能够有效表征NLOS信号在统计分布上的非高斯特性和波动规律,从而在保留时序核心信息的同时,显著降低了模型的计算复杂度与过拟合风险。进一步地,本文将训练好的GRU网络嵌入到可见光定位解算流程中,构建了一套“识别–去除–定位”的闭环系统,仅利用被识别为高置信度的LOS信号进行位置解算。通过在仿真环境中进行多场景、多动态干扰因素的验证,结果表明该方法不仅能以高准确率识别NLOS信号,还能将定位误差从传统方法的分米级降低至0.62 m,且在保证高精度的同时具有更优的实时推理效率和部署便捷性,为实现高可靠、低成本的室内可见光定位提供了一种新的技术途径。

2. 系统模型和相关工作

2.1. 光无线信道模型

Figure 1. The model of optical wireless channel

1. 光无线信道模型

图1展示了一个典型可见光传输路径的几何构型。在室内环境中,大多数光信号通过视距路径和一次反射路径传播。因此,本研究中的光无线信道模型同时包含这两个分量,其对应的直流信道增益可表示为[13]

h los = ( m+1 )A 2π d 2 cos m ( ϕ ) T S ( ψ )g( ψ )cos( ψ ) (1)

h ref ( t ) =  ( m+1 )Aρ A wall 2 π 2 d 1 2 d 2 2 cos m ( ϕ )cos( α )cos( β ) T S ( ψ )g( ψ )cos( ψ ) (2)

A A wall 分别表示光电二极管(PD)的检测区域和反射元件的面积; d d 1 d 2 分别代表LED与PD之间的距离、LED与反射点之间的距离以及反射点与PD之间的距离; ϕ ψ α ,和 β 分别表示LED和PD处的辐射角与入射角,以及反射点处的入射角与辐射角。此外,m为朗伯发射阶数, T S ( ψ ) g( ψ ) 是光学滤波器与聚光器的增益系数, ρ 为表面反射率因子。

考虑到视距传播和反射传播的共同作用,离散时间信道响应可表示为

h=[ h( 0 ) h( 1 ) h( L1 ) ] (3)

其中,L为信道路径数,第l条路径增益表示为

h( l )={ h los l=1 τ 0 +( l1 ) T s τ 0 +l T s h ref ( t )dt , l2 (4)

其中, τ 0 表示LOS路径信号的到达时间, T s 表示接收器的采样间隔。

在接收器中,PD可以通过TDMA测量来自各个LED的接收功率。接收到LED的光功率可通过以下公式计算:

P r = P t l=0 L1 h ( l ) (5)

其中 P t 表示LED的发射功率。

在室内环境中,个体或物体的随机移动可能导致可见光信号被遮挡。对接收器而言,这主要表现为占据接收信号主导地位的视距(LOS)分量消失,仅剩下非视距(NLOS)分量。当LOS信号被阻挡时,公式(5)中信道增益的第一项随之消失。因此,在信号受阻条件下,NLOS分量的接收光功率可表示为:

P r,NLOS = P t l=2 L h( l ) (6)

2.2. DCO-OFDM系统

本小节简要介绍DCO-OFDM系统,训练数据采用Shapiro-Rudin序列。通过施加埃尔米特对称性和快速傅里叶逆变换(IFFT),生成长度为N的时域训练符号,其元素满足如下奇偶对称性[14]

{ t( 2i )=t( N22i ) t( 2i+1 )=t( N12i ) t( 2i+1 )=t( N/2 22i ) i=0,1,,N/4 1 (7)

在添加循环前缀后,即可获得实数值的直流偏置光正交频分复用(DCO-OFDM)信号 x( n ) 。在可见光通信(VLC)系统中,发光二极管(LED)的非线性特性是影响DCO-OFDM性能的关键因素。为缓解这种影响,需对时域信号进行削波处理,将符号幅度限制在LED的线性工作范围内,从而得到削波信号 x clip ( n ) 。经过数模(D/A)转换后,通过添加直流偏置 B DC 来生成LED驱动信号:

x DCO ( t )= x clip ( t )+ B DC (8)

在接收端,经过模数(A/D)转换的基带信号可表示为

r( n )=h( n ) x DCO ( n )+w( n ) (9)

其中表示卷积运算,是信道脉冲响应,而是加性高斯白噪声(AWGN),包含热噪声和散粒噪声[13]

3. 研究方法

3.1. 方法简介

本文识别及定位算法流程如图2所示。

定位过程中,对某个位置的PD采集所有LED提供的RSS时间序列,将其统计特征提取及归一化后输入LOS/NLOS识别模型进行筛选,选出判断最有可能为LOS信号的LED作为单点定位的输入,计算定位结果。

Figure 2. Overall process of detection and positioning algorithms

2. 识别及定位算法流程

3.2. LOS/NLOS识别及定位算法

3.2.1. 特征提取及标准化

对于LOS/NLOS识别模拟,将4米 × 4米的室内区域离散化为空间分辨率为10厘米 × 10厘米的网格,为评估定位性能提供了足够的粒度。在每个网格点,在LOS和NLOS条件下,从四个LED收集十个RSS时间序列R(i),长度为T = 50,总共获得了V = 128,000个原始样本,每个样本表示为通过RSS特征形成的行向量,这些特征用作模型训练的输入向量。

在VLC系统中,RSS对堵塞特别敏感。在NLOS条件下,由于LOS信号的损失,接收器主要捕获反射的光信号,导致RSS比LOS条件下弱得多。因此,对光信号的RSS时间序列提取其统计特征,表示为 F RSS

通过在LOS和NLOS条件下对大量RSS序列样本进行统计分析,得出了RSS序列的以下判别特征。

均值和标准差( F RSS mean , F RSS std ):平均值反映了序列的平均能量水平,而标准差则衡量波动性。NLOS传播会引入多径效应和波动,通常会降低平均值并增加标准偏差。

F RSS mean = 1 T i=0 T R( i ) (10)

F RSS std = 1 T i=0 T ( R( i ) F RSS mean ) 2 (11)

峰度( F RSS kurt ):测量概率分布的峰度。我们使用基于正态分布(峰度为0)的超值峰度。LOS条件产生具有较高峰度的集中分布,而NLOS条件分散能量,产生更平坦的分布和较低的峰度值。

F RSS kurt = 1 T i=0 T ( R( i ) F RSS mean ) 4 F RSS std 4 3 (12)

偏度( F RSS skew ):量化分布不对称性。在LOS下,RSS序列集中对称,偏斜度较低。在NLOS下,多次反射会导致非对称、分散的分布,具有更高的偏斜度。

F RSS skew = 1 T i=0 T ( R( i ) F RSS mean ) 3 F RSS std 3 (13)

中位数( F RSS med ):一个对脉冲噪声等异常值不太敏感的稳健指标。中位数为均值和方差提供了补充信息,特别是在嘈杂的环境中。

F RSS med =R ( i ) T 2 (14)

其中 R ( i ) 表示在RSS序列中按升序或降序重新排列元素后的顺序。

图3显示了LOS/NLOS条件下RSS序列各项统计特征的分布。如图3(b)~(d)所示,LOS和NLOS场景下的RSS分布重叠很大,提供了不同角度的可分离性。如图4(a)图4(e)所示,这些统计特征捕捉到LOS/NLOS条件之间的明显分布差异,从而能够进行更可靠的分类。

Figure 3. Histograms of different feature distributions

3. 不同特征的分布直方图

由于RSS序列提取的原始特征具有不同的单位和数值范围,因此有必要进行特征标准化,以确保训练过程中的均衡贡献。采用Z-score归一化方法,将每个特征映射到均值为1和方差为0的分布:

X j = X j μ j σ j   ( j=1,2,,5 ) (15)

其中 X j 表示RSS序列的第j个原始特征( j=1,2,,5 ,对应于RSS序列的均值、标准差、峰度、偏度和中位数),而 μ j σ j 是其在所有V个训练样本上的均值和标准差。

在这项研究中,采用了五个特征——即RSS序列的均值、标准差、偏度、峰度和中位数——来构建一个五维特征向量,第v个样本的特征向量如下:

xv=FRSSmean',FRSSstd',FRSSkurt',FRSSskew',FRSSmed' (16)

3.2.2. 数据集生成与训练

对于每个样本v,将其混合特征向量与其对应的标签连接起来,形成一个长度为5 + 1的训练样本。具体来说,前5个元素对应于从RSS序列导出的标准化特征,最后一个元素对样本标签进行编码。一旦处理了所有原始样本,就会生成一个包含V行和6列的标准化数据集,作为训练GRU的输入。图4说明了获取和提取RSS特征数据并将其准备用于模型输入的过程。

Figure 4. Structure diagram of feature data collection, extraction, and training

4. 特征数据采集、提取和训练的结构图

3.2.3. 选取LOS信号进行定位

传统的LOS/NLOS识别方法通常依赖硬判决(Hard Decision),即根据分类器输出的离散标签 y{ 0,1 } (0代表LOS,1代表NLOS)直接剔除被判定为NLOS的信号。然而,这种二值化处理忽略了分类器输出的置信度信息,且容易因临界状态的误判导致可用锚点数量减少。为此,本文提出一种基于概率排序的动态LED优选策略,结合最小二乘法(Least Squares, LS)实现高精度定位。

(a) LOS概率置信度建模:利用训练好的GRU网络对第k个LED链路信号的特征向量xk进行推理。输出层通过Softmax函数得到属于各类别的后验概率分布。设输出向量为 p k = [ p k,0 , p i,1 ] T ,其中 p k,0 表示为LOS (标签0)的概率。定义第k个LED的LOS置信度为:

P LOS ( k ) = p k,0 = e z k,0 e z k,0 + e z k,1 (17)

其中 z k,u 为网络输出层对应第u类的logits值。 P LOS ( k ) [ 0,1 ] 越接近1,表明该信号受多径干扰越小,测距可靠性越高。

(b) 动态LED选择策略:设室内LED集合为 λ={ 1,2,3,4 } ,为了从中筛选出最优子集用于定位,首先将所有LED按 P LOS (k) 排降序列,得到排序后的索引序列 ς={ s 1 , s 2 , s 3 , s 4 } ,满足:

P LOS ( s 1 ) P LOS ( s 2 ) P LOS ( s 3 ) P LOS ( s 4 ) (18)

本实验设定随机遮挡场景下最多仅有1个LED处于NLOS状态(即系统中至少存在3个可靠的LOS信号),故保留前三个LOS概率最大的LED信号构建定位锚点集合 ς select ={ s 1 , s 2 , s 3 }

(c) 最后将 ς select 集合输入,运用LS定位方法得到最终坐标。

4. 仿真结果和分析

4.1. 仿真设置

模拟室内环境覆盖4米×4米的水平区域,天花板高度为3米,使得发射器与接收器之间存在2米的垂直间距。四盏LED灯分别安装在水平坐标(1, 1)、(3, 1)、(1, 3)和(3, 3) (单位:米)位置。数据采集过程中,整个空间被离散化为间距10厘米的网格点。每个网格点采集两次RSS序列数据——分别记录每盏LED灯无遮挡与被遮挡时的状态。训练数据集包含10组预生成地图数据,每组含40 × 40个位置样本。测试数据则在评估阶段动态生成以确保无偏性能评估。在线测试时随机遮挡单盏LED灯以模拟真实场景。此外,每个网格点进行100次LOS/NLOS识别试验以考量随机波动并提升统计可靠性。主要仿真参数汇总于表1

Table 1. Simulation parameters

1. 仿真参数

参数

符号

参数

符号

朗伯辐射阶数

m

2.6

PD的有效面积

A

1 cm2

反射面积

A wall

1 cm2

LED发射功率

P t

2 W

PD的FOV半角

θ FOV

80˚

PD响应度

γ

0.5 A/W

墙体反射系数

ρ

0.33

导频符号数量

N

512

CP的长度

N g

16

PD高度

h PD

1 m

光滤波器增益

T s ( θ )

1

接收机信号的采样间隔

T s

4 ns

聚光器增益

g( θ )

1

带宽

B

125 MHz

为了评估提出方法的识别性能和定位性能,给出以下指标:

accuracy= LR+NR LR+NR+LW+NW (19)

Recall LOS = LR LR+LW (20)

Recall NLOS = NR NR+NW (21)

P l = LW LR+LW (22)

P n = NW NR+NW (23)

ME= 1 N m=1 N ( x m x ^ m ) 2 + ( y m y ^ m ) 2 + ( z m z ^ m ) 2 (24)

RMSE= 1 N m=1 N [ ( x m x ^ m ) 2 + ( y m y ^ m ) 2 + ( z m z ^ m ) 2 ] (25)

其中,这里,LRNR分别表示正确分类的LOS和NLOS样本数,对应的误分类样本数表示为LWNW。上述指标共同衡量模型的LOS/NLOS识别精度、召回率、虚警率和故障率。 N 为仿真的样本数量, ( x m , y m , z m ) 表示PD的真实坐标, ( x ^ m , y ^ m , z ^ m ) 表示估计的PD的估计坐标。ME计算的是所有误差的简单平均值,不会像RMSE放大较大误差的影响,更适用于描述误差的整体趋势,而非突出较大误差的影响;RMSE对较大误差更加敏感,因此能更直观地反映定位误差的整体水平。表2总结了GRU的主要训练参数。

Table 2. Training parameters of GRU

2.GRU网络训练参数

训练参数

训练参数

GRU层数

2

最大训练批次

300

隐藏单元数

64

下降周期

每50个epoch

最小批大小

1024

Shuffle

每个epoch

初始学习率

0.001

学习率调度

分段下降

优化算法

Adam

下降因子

0.5

4.2. 性能评估

4.2.1. 识别性能评估

图5展示了在所提出的室内布局下,本文方法的平均识别准确率三维空间分布,每个数值均为100次独立试验的平均结果。结果表明,基于RSS特征的GRU方法准确率在房间边缘和角落区域相对较低,这些地方多径反射与信号衰减比较严重。随着向中心区域靠近,LOS与NLOS特征的可区分度提高,准确率随之提升,表现更为稳定且更高。

表3列出了GRU模型在两种LED遮挡场景下的LOS/NLOS识别性能指标。在仅遮挡1个LED的条件下,模型整体识别准确率为78.56%,其中LOS类别召回率为82.95%,NLOS类别召回率为62.20%;对应的虚警率为17.05%,误警率为37.80%。当遮挡条件扩展至任意数量LED时,整体准确率下降至71.93%,但LOS召回率基本保持稳定(82.88%),NLOS召回率略有降低(62.12%),虚警率与误警率亦无明显变化(分别为17.12%和37.88%)。

Figure 5. Three-dimensional distribution map of average accuracy of GRU method

5. GRU方法的平均准确率的3维分布图

Table 3. Identification performance

3. 识别性能指标

识别性能指标

GRU

准确率(%)

78.56

LOS召回率(%)

82.95

NLOS召回率(%)

62.20

虚警率(%)

17.05

误警率(%)

37.80

上述结果表明,该模型在不同遮挡强度下均能维持较高的LOS信号检出能力,同时其NLOS判别性能受环境复杂度影响较大,存在系统性漏检倾向。从定位系统功能需求出发,高LOS召回率有助于确保可用测量值的充足性,从而保障后续定位的可行性;而相对可控的虚警率则表明模型未过度引入错误LOS假设,有利于抑制定位误差累积。因此,该识别模块输出的分类结果可作为定位算法的有效输入,在保证系统鲁棒性的同时提升最终定位精度。

4.2.2. 定位性能评估

在本节的定位性能评估中,我们重点考察单LED随机遮挡场景。本仿真系统共部署了4个LED发射源,而LS定位算法求解三维坐标至少需要3个有效的距离观测值(即至少3个LOS链路)。若遮挡LED数量超过1个,剩余可用LOS链路将少于3条,导致定位方程欠定而无法直接求解。因此,单LED遮挡既是本系统能维持几何可解性的极限工况,也是检验NLOS抑制算法有效性的关键场景。

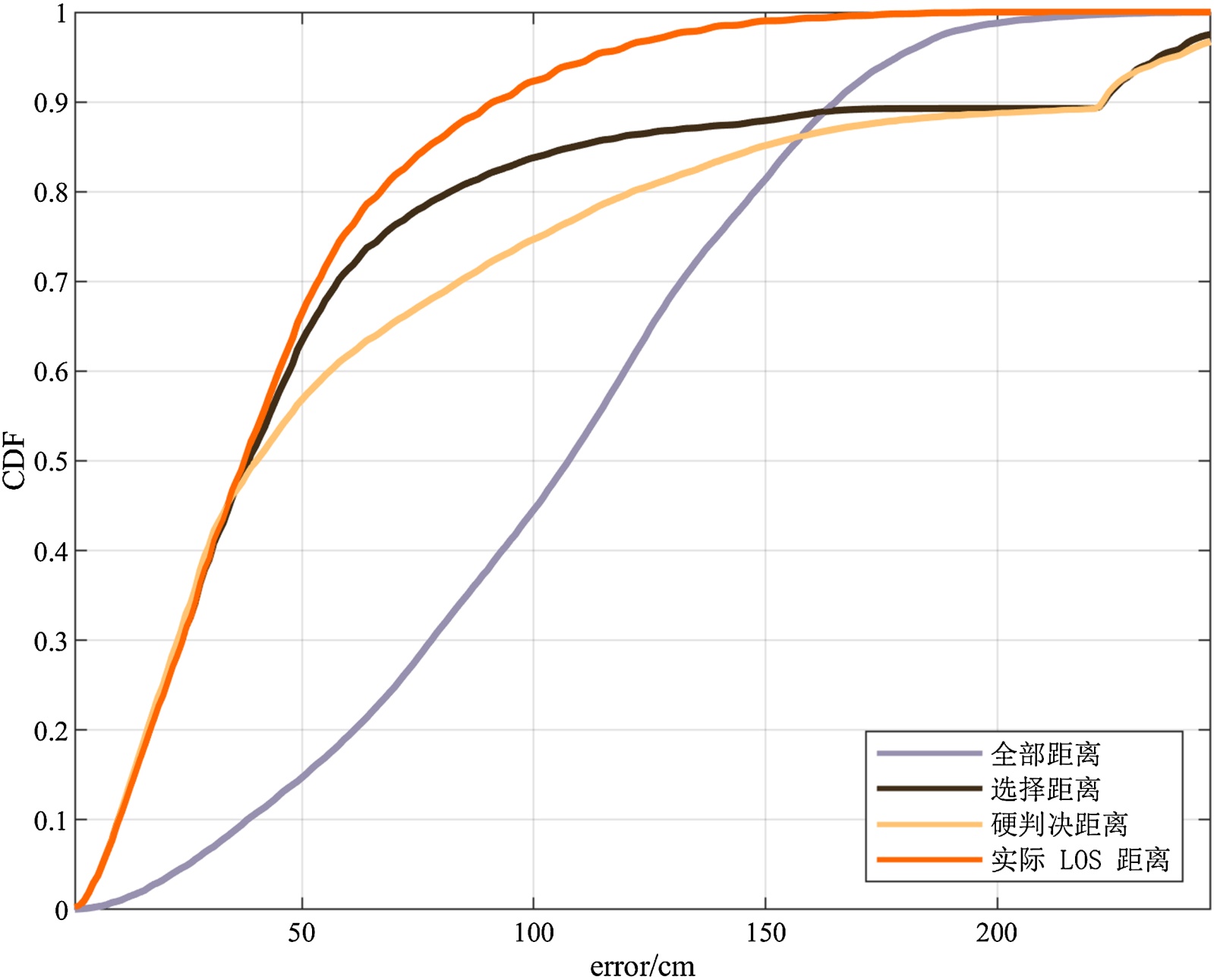
图6展示了四种定位策略下平均定位误差的累积分布函数(CDF)对比,其中“实际LOS距离”(橙色曲线)基于真实标签构建,代表了当前场景下的理论最优性能边界;“选择距离”(黑色曲线)则利用本文GRU模型输出的连续概率值对测量值进行排序筛选,旨在最大化保留高置信度LOS信号。数据显示,“选择距离”策略在0至80 cm的关键低误差区间内与理论最优曲线高度重合,表明该方法能够精准识别并优先利用高质量测量值,从而在绝大多数情况下实现了接近理想环境的定位精度。相比之下,“全部距离”(紫色曲线)因未抑制NLOS干扰导致误差分布离散,而“硬判决距离”(黄色曲线)由于采用二元阈值强行剔除疑似NLOS样本,误删了部分有效但概率较低的LOS信号,致使其中高误差段(>100 cm)的累积概率显著低于“选择距离”策略,证明了离散决策机制在复杂环境下存在明显的信息损失。

Figure 6. CDF chart of average error of all LEDs, LOS-selected LEDs, LOS-HD LEDs and LOS-actual LEDs

6. 所有LED、选择LOS、硬判决LOS和实际LOS的平均误差CDF图

图7以三维空间分布形式直观呈现了不同定位策略在室内区域平均误差的空间异质性特征。对比可见,“所有LED”方案(图7(a))误差曲面整体偏高且波动剧烈,尤其在房间边缘及角落区域误差峰值超过160 cm,反映出未抑制NLOS时多径效应与遮挡导致的系统性偏差广泛存在;而“选择LOS”策略(图7(b))显著平滑了误差曲面,中心区域误差稳定控制在20~40 cm区间,边缘高误差区范围大幅收缩,表明该策略通过概率排序机制有效过滤了低置信度测量值,从而在空间维度上实现了误差分布的均匀化与极值抑制。相较之下,“硬判决LOS”(图7(c))虽亦降低全局误差水平,但其曲面仍保留较多局部凸起,说明二元决策未能充分适配空间变化的信道条件,导致部分区域残留较高误差。

综合来看,本文策略不仅大幅降低了全局平均误差水平,更显著改善了误差分布的均匀性,有效滤除了遍布全场的中高误差噪声。尽管房间四角因物理遮挡严重仍存在局部误差抬升,但其高误差覆盖范围明显收缩且数值未恶化。这一结果直观证实了基于GRU概率排序的LOS筛选机制能有效抑制非视距传播引入的系统性偏差,显著提升了可见光定位系统在复杂环境下的空间鲁棒性与可用性。

表4定量对比了四种定位策略的误差统计指标,结果显示,“选择LOS”策略在平均误差(Mean = 0.620 m)与均方根误差(RMSE = 0.912 m)两项关键指标上均显著优于未进行NLOS抑制的“所有LED”

Figure 7. Three-dimensional distribution map of average error of all LEDs, LOS-selected LEDs and LOS-HD LEDs

7. 所有LED、选择LOS、硬判决LOS和实际LOS的平均误差3维分布图

Table 4. Comparison of positioning performance of different positioning strategies

4. 不同定位策略的定位性能对比

Mean/m

RMSE/m

所有LED

1.046

1.145

选择LOS

0.620

0.912

硬判决LOS

0.716

1.016

实际LOS

0.447

0.554

基准方法(Mean = 1.046 m, RMSE = 1.145 m),其平均误差降幅达40.7%,表明该策略能有效识别并剔除主要干扰源;同时,“选择LOS”性能亦全面超越基于二元分类的“硬判决LOS”方案(Mean = 0.716 m, RMSE = 1.016 m),证明概率排序机制相较于硬性阈值筛选可更充分保留有效信号、减少信息损失;尤为重要的是,“选择LOS”与理论最优的“实际LOS”(Mean = 0.447 m, RMSE = 0.554 m)差距极小,二者平均误差仅相差0.173 m进一步分析表明,“选择距离”策略通过引入概率排序机制,有效克服了硬判决方法因非黑即白分类导致的可用数据减少问题,在全误差范围内展现出更优的鲁棒性与覆盖完整性。

这种基于LOS概率选择的筛选方式,在无需依赖真实标签的前提下,成功平衡了NLOS抑制与信息保留之间的矛盾,既避免了全量数据带来的噪声污染,又防止了硬性剔除造成的有效信号丢失,从而以最小的计算代价实现了逼近理论极限的定位性能。

5. 结论

为了缓解NLOS传播导致的可见光室内定位精度下降问题,本文提出了一种基于RSS时间序列建模与GRU的LOS/NLOS识别与高精度定位方法。该方法构建了一个基于RSS时间序列得到高阶统计指纹的自适应识别模型,通过提取RSS信号分布的均值、标准差、峰度、偏度及中位数五个关键统计量,创新性地将其重构为具有逻辑递进关系的“统计特征序列”。不同于传统方法将统计特征视为独立并行输入的扁平化向量,本文利用GRU网络的序贯处理与门控机制,动态评估高阶特征(如峰度、偏度)对低阶基准(如均值)的修正权重,从而在特征维度较低的情况下,更精准地捕捉不同统计量之间复杂的非线性耦合关系与环境上下文依赖。基于此模型计算的链路状态置信度,本文进一步采用基于概率排序的动态LED选择策略去除NLOS信号,最后通过LS方法完成高精度定位。

仿真实验结果表明,在随机单遮挡场景下,所提识别模型的平均准确率达到78.56%,LOS召回率为82.95%。经NLOS缓解处理后,系统的平均定位误差降低至0.62 m,显著优于未进行NLOS去除时的基准性能(1.046 m),验证了基于统计特征的机器学习分类策略结合动态锚点选择的有效性。

然而,本研究仍存在一定的局限性。首先,识别模型的NLOS召回率仍有提升空间,部分复杂的NLOS样本因统计特征空间重叠而被漏检,导致少量受污染信号参与定位,限制了精度的进一步突破;另外,本研究完全依赖仿真数据,缺乏真实硬件平台的验证,实际环境中的噪声分布与仿真假设可能存在偏差。

针对上述不足,未来的工作将集中在以下方面:一是探索更深层次的特征工程,尝试结合时频域联合特征或引入注意力机制以进一步提升分类器对微弱NLOS特征的敏感度;二是搭建真实的可见光定位实验平台,在实测环境中验证算法的泛化能力与实用性,推动该技术从理论仿真向实际应用转化。

参考文献

[1] Zhu, Z., Yang, Y., Chen, M., Guo, C., Cheng, J. and Cui, S. (2025) A Survey on Indoor Visible Light Positioning Systems: Fundamentals, Applications, and Challenges. IEEE Communications Surveys & Tutorials, 27, 1656-1686. [Google Scholar] [CrossRef
[2] Farahsari, P.S., Farahzadi, A., Rezazadeh, J. and Bagheri, A. (2022) A Survey on Indoor Positioning Systems for Iot-Based Applications. IEEE Internet of Things Journal, 9, 7680-7699. [Google Scholar] [CrossRef
[3] Liu, F., Liu, J., Yin, Y., Wang, W., Hu, D., Chen, P., et al. (2020) Survey on WiFi‐Based Indoor Positioning Techniques. IET Communications, 14, 1372-1383. [Google Scholar] [CrossRef
[4] Yu, K. and Guo, Y.J. (2009) Statistical NLOS Identification Based on AOA, TOA, and Signal Strength. IEEE Transactions on Vehicular Technology, 58, 274-286. [Google Scholar] [CrossRef
[5] Zhou, Z., Yang, Z., Wu, C., Sun, W. and Liu, Y. (2014) LiFi: Line-Of-Sight Identification with WiFi. IEEE INFOCOM 2014—IEEE Conference on Computer Communications, Toronto, 27 April-2 May 2014, 2688-2696. [Google Scholar] [CrossRef
[6] Fan, Z., Chu, H., Wang, F. and Lu, J. (2020) A New Non-Line-Of-Sight Localization Algorithm for Wireless Sensor Network. 2020 IEEE 6th International Conference on Computer and Communications (ICCC), Chengdu, 11-14 December 2020, 858-862. [Google Scholar] [CrossRef
[7] Zhu, Y., Ma, T., Li, Z., Sun, D., Sun, X., Zhao, X., et al. (2019) NLOS Identification and Correction Based on Multidimensional Scaling and Quasi-Accurate Detection. IEEE Access, 7, 53977-53987. [Google Scholar] [CrossRef
[8] Diao, H. and Zhao, J. (2019) CMD-Based NLOS Identification and Mitigation in Wireless Sensor Networks. 2019 IEEE International Conference on Communications Workshops (ICC Workshops), Shanghai, 20-24 May 2019, 1-6. [Google Scholar] [CrossRef
[9] Wu, C., Hou, H., Wang, W., Huang, Q. and Gao, X. (2018) TDOA Based Indoor Positioning with NLOS Identification by Machine Learning. 2018 10th International Conference on Wireless Communications and Signal Processing (WCSP), Hangzhou, 18-20 October 2018, 1-6. [Google Scholar] [CrossRef
[10] Xiao, Z., Wen, H., Markham, A., Trigoni, N., Blunsom, P. and Frolik, J. (2015) Non-Line-Of-Sight Identification and Mitigation Using Received Signal Strength. IEEE Transactions on Wireless Communications, 14, 1689-1702. [Google Scholar] [CrossRef
[11] Dong, Y., Arslan, T. and Yang, Y. (2022) Real-Time NLOS/LOS Identification for Smartphone-Based Indoor Positioning Systems Using WiFi RTT and RSS. IEEE Sensors Journal, 22, 5199-5209. [Google Scholar] [CrossRef
[12] Yang, H., Wang, Y., Seow, C.K., Sun, M., Si, M. and Huang, L. (2023) UWB Sensor-Based Indoor LOS/NLOS Localization with Support Vector Machine Learning. IEEE Sensors Journal, 23, 2988-3004. [Google Scholar] [CrossRef
[13] Wang, K., Liu, Y. and Hong, Z. (2022) RSS-based Visible Light Positioning Based on Channel State Information. Optics Express, 30, 5683-5699. [Google Scholar] [CrossRef] [PubMed]
[14] Wang, K., Liu, Y. and Hong, Z. (2021) A Novel Timing Synchronization Method for DCO-OFDM-Based VLC Systems. IEEE Photonics Journal, 13, 1-9. [Google Scholar] [CrossRef