BaTiO3晶体薄膜波导在电光调制下的偏振态行为研究
Study of Polarization State Behavior of BaTiO3 Crystal Thin Film Waveguide under Electro-Optic Modulation
摘要: 钛酸钡作为一种新型集成电光材料,凭借其优异的高电光系数(泡克尔斯效应)与宽带宽特性,已成为高性能片上光调制器的核心材料之一。本文围绕钛酸钡晶体薄膜波导电光调制下的偏振态行为展开理论研究,建立了波导结构与电压–相位变化的关联模型,分析了波导结构对晶体双折射的调制作用;通过MATLAB仿真计算,得到了不同电极间隙下相位变化量随驱动电压的演化规律,以及半波电压与电极长度、电极间隙的依赖关系;进一步探究了特定结构参数(电极长度1 mm、电极间隙8 μm)下,光场偏振态随驱动电压的三维演化轨迹,明确了相位变化与偏振态演化的耦合机制。研究结果揭示了BaTiO3晶体薄膜波导电光调制下偏振态的调控规律,为设计超紧凑、低功耗的BaTiO3基偏振调制器提供了理论依据与结构优化思路。
Abstract: As a novel integrated electro-optic material, barium titanate (BaTiO3) has become one of the core materials for high-performance optical modulators due to its excellent high electro-optic coefficient (Pockels effect) and wide bandwidth characteristics. This paper focuses on the theoretical study of the polarization state behavior of BaTiO3 crystal thin-film waveguides under electro-optic modulation. A correlation model between the waveguide structure and voltage-phase change is established, and the modulation effect of the waveguide structure on the crystal birefringence is analyzed. Through MATLAB simulation, the evolution law of the phase shift with the driving voltage under different electrode gaps, as well as the dependence of the half-wave voltage on the electrode length and electrode gap, are obtained. Furthermore, the three-dimensional evolution trajectory of the optical field polarization state with the driving voltage under the specific structural parameters (electrode length 1 mm, electrode gap 8 μm) is investigated, and the coupling mechanism between the phase change and the polarization state evolution is clarified. The research results reveal the regulation law of the polarization state in BaTiO3 crystal thin-film waveguides under electro-optic modulation, providing a theoretical basis and structural optimization ideas for the design of ultra-compact, low-power BaTiO3-based polarization modulators.
文章引用:李金融, 孙德贵. BaTiO3晶体薄膜波导在电光调制下的偏振态行为研究[J]. 材料科学, 2026, 16(4): 1-9. https://doi.org/10.12677/ms.2026.164066

1. 引言

随着数据中心互联、5G/6G通信以及高性能计算的飞速发展,光互连技术对更高带宽、更高能效和更高集成度的需求日益迫切。电光调制器作为将电信号转换为光信号的核心器件,直接决定了光通信系统的传输速率、功耗与器件尺寸。下一代光调制器的关键发展目标包括:高带宽、低功耗,以及与CMOS工艺兼容的高集成度[1]-[3]。作为一种替代方案,探索兼具大电光系数(可实现短器件长度与低驱动电压)、高带宽、良好线性度、低比特能耗,且能与硅光子平台异质集成兼容的新型材料体系,具有至关重要的意义[4]-[7]

钛酸钡薄膜的集成工艺与调制机理已得到广泛研究。2015年与2016年,Castera等人分别研究探索了晶体取向对铁电性能的影响和最优晶畴结构与取向[8] [9]。2016~2017年,Abel等人对比了各类铁电材料的电光系数,并研究了钛酸钡薄膜与硅光子学的集成[10];随后Girouard等人利用光子晶体慢光效应提升有效电光系数[11] [12]。2018年,Luo与Sun提出基于二维光电场匹配的嵌入式电极结构,显著提高了重叠积分与调制效率[13]。2022年,孙娜等人提出了在相位–偏振调制(PPM)干涉输出理论模型基础上建立c轴相位–偏振加强型马赫曾德尔干涉仪型强度电光调制器,研究中实现了电光系数与双折射的高精度测量[14]、相位–偏振联合调制效应[15]。2024年,长春理工大学团队将偏振–相位调制方案用于钛酸钡(BaTiO3)薄膜波导马赫–曾德尔干涉仪(MZI)型电光调制器,实现了BaTiO3的电光系数r51增大、双折射绝对值|beo|减小时,BE进一步降低,为设计低功耗、小型化电光调制器提供了新路径,适用于下一代通信和绿色数据中心等场景[16]

本论文将在现有研究基础上,从理论建模角度系统分析BaTiO3晶体薄膜波导的电光调制机理,量化波导结构参数(电极间隙、电极长度)对双折射、相位变化及半波电压的影响规律,重点探究电光调制下光场偏振态的演化特性,明晰驱动电压、相位变化与偏振态之间的内在关系,以期为BaTiO3电光调制器的结构设计与性能优化提供理论支撑,推动其在下一代光通信与集成光子学领域的实际应用。

2. 理论原理

BaTiO3晶体薄膜波导具有各向异性,其折射率张量会随光的偏振方向变化。当输入线偏振光的偏振方向与波导的快轴/慢轴不平行时,会被分解为寻常光(o光)和非常光(e光)。如图1所示的具有脊波导结构和电极嵌入式配置的相位调制器,其中Gx为两个电极之间的间隙,二维(2D)光电场重叠积分表示为 Γ 2D 。当一束光波射入波导时,形成单一的导模,并在阳极和阴极两个电极上施加驱动电压Vd,在x坐标方向上形成导模的调制电场,我们将这种调制称之为电光调制(Electro-Optic Modulation,简称EO调制)。因此,光学折射率双折射调制被创建,导致两个偏振分量之间的光学相位差。

Figure 1. Schematic diagram of ridge waveguide-electrode structure on BaTiO3 crystal thin film

1. BaTiO3晶体薄膜脊型波导–电极结构示意图

如果none分别是寻常光和非寻常光的折射率,Leo表示电光相互作用长度,在最大波长、离轴电光张量系数为r51的情况下,none的调制对总折射率调制总是有一个集合作用,即双折射增加,称为双折射调制,其中xz方向上的折射率调制可以由下面的方程确定:

δ n x = n o 3 r 51 2 [ E( x ) ] 2 2[ 1 n e 2 1 n o 2 ] δ n z = n e 3 r 51 2 [ E( x ) ] 2 2[ 1 n e 2 1 n o 2 ] (1)

其中, δ n x δ n z 分别代表非寻常光增量 δ n e 和寻常光增量 δ n o 。由于BaTiO3是负双折射晶体,根据方程(1)可以得出结论: δ n e 总是正的, δ n o 总是负的,所以e光和o光这两个偏振分量之间的总折射率差应为:

δ n eo = ( n o 3 + n e 3 )× r 51 2 [ E( x ) ] 2 2[ 1 n e 2 1 n o 2 ] (2)

则光学相位变化 Δ Φ m 是由公式(3)定义的折射率调制引起的:

Δ Φ m = 2π λ L eo δ n eo = π L eo λ × ( n e 3 + n o 3 ) [ 1 n e 2 1 n o 2 ] × ( Γ 2D r 51 V d G x ) 2 +Δ Φ 0 (3)

其中, Δ Φ 0 为BaTiO3晶体薄膜的初始双折射值与波导的不对称结构和长度共同引起的光相位,由总波导长度(lwg)决定。

由公式(3)可以看出,对于给定的电光相互作用长度,驱动电压的大小直接决定了光学相位调制,而半波电压 V π Leo之间的依赖关系如式(4)描述:

V π 2 L eo = λ[ 1 n e 2 1 n o 2 ] ( n e 3 + n o 3 ) ( Γ 2D G x r 51 ) 2 (4)

Figure 2. Elliptical polarization distribution of optical wave electric field vector induced by birefringence modulation in BaTiO3 crystal thin film waveguide

2. BaTiO3晶体薄膜波导双折射调制引起的光波电场矢量椭圆偏振分布

于是,从图2可知,当双折射引起光相位时,坐标系以角 α lp (称为椭圆方位角)旋转到一个新的椭圆方向,即X-Z坐标系,其中长、短轴分别为ambm。在这种情况下,椭圆方位角满足:

tan2 α lp =[ 2 n o n e / ( n o 2 n e 2 ) ]cosΔ Φ m (5)

光波在X-Z坐标系下的电场矢量满足椭圆方程

( X 2 / a m 2 )+( Z 2 / b m 2 )=1 (6)

其中,新椭圆轴的关系可由式(7a)~(7b)计算:

a m 2 = n o 2 cos 2 α lp + n e 2 sin 2 α lp + n o n e sin2 α lp cos( Δ Φ m ) (7a)

b m 2 = n o 2 sin 2 α lp + n e 2 cos 2 α lp n o n e sin2 α lp cos( Δ Φ m ) (7b)

a m b m =± n o n e sinΔ Φ m (8)

组合方程(7a)和(7b),椭圆的长、短轴之间的关系变为

a m 2 + b m 2 = n o 2 + n e 2 (9)

据此,定义椭圆上任意点的坐标为(X, Z),该坐标处的辐射半径为rm,则折射率椭圆的坐标方位角θ定义为 X= r m cosθ Z= r m sinθ 。设光波输入电场为 E 0 ,则光波电场矢量在任一方位角θ时,电场分量在X坐标和Z坐标处相交,两坐标轴上的电场分量分别表示为:

E x = E 0 ( r m n o )cosθ (10)

E z = E 0 ( r m n e )sinθ (11)

3. 模拟与分析

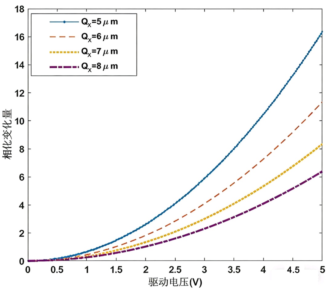
基于以上理论分析,依据式(3)使用MATLAB计算了不同电极间隙Gx下,钛酸钡薄膜波导中光信号的相位变化量随驱动电压Vd的变化规律,如图3所示,涉及的参数如表1所示。

Table 1. Parameters in simulation computation

1. 仿真计算涉及的参数

参数

中文名称

参数

中文名称

no

寻常光折射率[17]

λ

光波波长

ne

非寻常光折射率[17]

Leo

电光相互作用长度[15]

r51

电光系数[17]

Vπ

半波电压[17]

Ex

x方向电场分量[15]

Vd

驱动电压[15]

Ez

z方向电场分量[15]

Γ2D

二维重叠积分[17]

Gx

电极间隙[17]

从图中可以看出,相位变化量随驱动电压的增加呈现明显的非线性递增趋势,这与钛酸钡作为铁电材料在强电场下的非线性电光响应特性一致[17]。在相同驱动电压下,电极间距越短,相位变化量越大,这是因为电场强度 E= V d / G x ,更短的电极间距可在相同电压下产生更强的电场,从而引发更大的折射率变化和相位调制。

Figure 3. Relationship between phase shift and driving voltage at different electrode gaps

3. 不同电极间隙下相位变化量随驱动电压的变化关系

图4(a)图4(b)分别展示了在电极间隙Gx = 6 μm和Gx = 8 μm两种结构下,钛酸钡薄膜波导电光调制器的半波电压Vπ随电极长度的变化规律。从图中可以清晰地看到,半波电压随电极长度的增加呈现单调递减的趋势,且在电极长度较小时下降尤为显著,随着电极长度的增大,下降速率逐渐变缓。在相同电极长度下,电极间隙Gx = 6 μm对应的半波电压始终低于Gx = 8 μm的情况。例如,当电极长度Leo = 1.0 × 103 m时,Gx = 6 μm对应的半波电压约为7.5 V,而Gx = 8 μm时则约为10 V。这一现象符合电光调制的基本原理:在驱动电压固定时,更小的电极间隙会产生更强的局域电场,从而增强电光调制效率,使得实现π相位翻转所需的驱动电压(即半波电压)显著降低。

(a) (b)

Figure 4. Dependence of half-wave voltage on electrode length at different electrode gaps. (a) Corresponding dependence when the electrode gap is 6 μm; (b) Corresponding dependence when the electrode gap is 8 μm

4. 不同电极间隙时半波电压随电极长度的依赖关系。(a) 电极间隙为6 μm时对应的依赖关系;(b) 电极间隙为8 μm时对应的依赖关系

依据上述分析,选用了电极长度为1 mm,电极间隙为8 μm时的钛酸钡薄膜波导尺寸,当驱动电压从0扫描至4.96 V时,获得了如图5所示的光场 E( x,z ) 振幅值和偏振态的三维演化轨迹。从图中可以清晰地看到,随着驱动电压的增加,偏振态在庞加莱球上呈现出周期性的螺旋状旋转,从右旋线偏振态经椭圆偏振态、准圆偏振态,变为左旋线偏振态,这是由电光效应引起的双折射变化所导致的。

Figure 5. Electric-field amplitude and polarization state evolution trajectory

5. 光场振幅值和偏振态演化轨迹

图6为钛酸钡薄膜波导中,光场偏振态随相位变化演化的三维曲面图。该曲面直观地呈现了偏振态在ExEz空间中的连续变化轨迹,反映了电光调制下相位与偏振态之间的耦合关系。可以看出,若起始的偏振态是右45˚线偏振,光相位调制从0 ( Δ Φ m =0 )增加,偏振态变为椭圆偏振态;当 Δ Φ m 增加至 Δ Φ m =π/2 时,偏振态从椭圆偏振态变为圆偏振态;当 Δ Φ m 继续增加直到 Δ Φ m =π 时,偏振态从椭圆偏振态进一步变为左45˚线偏振,此时,半个周期的电光调制完成。这种演化过程是由BaTiO3晶体的电光效应引起的:驱动电压改变了晶体的折射率椭球,导致波导中o光与e光的有效折射率差发生变化,进而产生相位差,最终实现偏振态的连续调控。

Figure 6. 3D surface plot of polarization state evolution in barium titanate (BaTiO3) thin-film waveguides

6. 钛酸钡薄膜波导中偏振态演化的三维曲面图

基于以上分析,将本结构的性能指标与当下主流的薄膜铌酸锂(LNOI)电光调制器量化对比[18],如下表2。可以发现:LNOI通过行波电极、异质集成等设计,实现了远低于BaTiO3的半波电压和半波电压–长度积,现阶段调制效率更优;BaTiO3可通过减小电极间隙降低半波电压,仍有优化空间;LNOI则在双偏振调制(DP-IQ)、多通道集成上更具优势;BaTiO3在偏振态连续动态调控上具备独特的理论优势,相位与偏振态的耦合机制明确,适用于偏振调制类器件。

Table 2. System resulting data of standard experiment

2. 性能对比

性能指标

BaTiO3晶体薄膜波导电光调制器

LNOI电光调制器

半波电压

电极长度1 mm、电极间隙8 μm时,半波电压约10 V;电极间隙6 μm、同长度下约7.5 V

集总电极(2 mm):9 V;行波电极(20 mm):1.4 V;DP-IQ型(23.5 mm):1 V

偏振态调控能力

可实现偏振态连续动态调控,相位与偏振态 耦合机制明确

无明确偏振态连续调控特性,部分器件需偏振 控制器保证输入偏振纯度

器件集成特性

可与硅光子平台异质集成,适用于超紧凑、 低功耗器件设计

可实现与Si/Si3N4/Ta2O5异质集成,支持晶圆级 规模化生产

4. 结论

本文针对电光调制下BaTiO3晶体薄膜波导的偏振态行为开展了系统的理论建模与仿真分析,得到了波导结构参数、驱动电压对相位调制及偏振态演化的调控规律,主要研究结论如下:BaTiO3晶体薄膜波导的相位变化量随驱动电压呈非线性递增趋势,电极间隙是影响相位调制效率的关键结构参数;半波电压与电极长度呈单调递减的依赖关系,电极长度增加会显著降低半波电压,且电极间隙越小,相同电极长度下的半波电压越低;在电极长度1 mm、电极间隙8 μm的结构下,驱动电压从0扫描至4.96 V时,从右45˚线偏振态经椭圆偏振态、准圆偏振态转变为左45˚线偏振态,实现了偏振态的连续动态调控;而偏振态随相位变化的三维演化过程呈现出明确的周期特性,完成半个周期的电光调制,清晰揭示了相位变化与偏振态演化的耦合机制。本研究明确了BaTiO3晶体薄膜波导结构参数对电光调制性能及偏振态行为的调控规律,为低功耗、小型化BaTiO3基电光调制器的结构设计提供了重要的理论依据。后续研究可结合微纳加工工艺,进一步优化波导与电极的集成结构,提升光电场重叠积分,并通过实验验证偏振态调控规律,推动BaTiO3晶体薄膜在偏振复用、高阶调制等光通信前沿领域的工程化应用。

NOTES

*通讯作者。

参考文献

[1] Wang, C., Zhang, M., Chen, X., Bertrand, M., Shams-Ansari, A., Chandrasekhar, S., et al. (2018) Integrated Lithium Niobate Electro-Optic Modulators Operating at CMOS-Compatible Voltages. Nature, 562, 101-104. [Google Scholar] [CrossRef] [PubMed]
[2] Winzer, P.J., Neilson, D.T. and Chraplyvy, A.R. (2018) Fiber-Optic Transmission and Networking: The Previous 20 and the Next 20 Years [Invited]. Optics Express, 26, Article 24190. [Google Scholar] [CrossRef] [PubMed]
[3] Kharel, P., Reimer, C., Luke, K., He, L. and Zhang, M. (2022) Breaking Voltage-Bandwidth Limits in Integrated Lithium Niobate Modulators Using Micro-Structured Electrodes. Optica, 8, Article 357. [Google Scholar] [CrossRef
[4] Dong, P., Chen, L. and Chen, Y. (2012) High-Speed Low-Voltage Single-Drive Push-Pull Silicon Mach-Zehnder Modulators. Optics Express, 20, Article 6163. [Google Scholar] [CrossRef] [PubMed]
[5] Green, W.M., Rooks, M.J., Sekaric, L. and Vlasov, Y.A. (2007) Ultra-Compact, Low RF Power, 10 Gb/S Silicon Mach-Zehnder Modulator. Optics Express, 15, Article 17106. [Google Scholar] [CrossRef] [PubMed]
[6] Liu, Y., Li, H., Liu, J., Tan, S., Lu, Q. and Guo, W. (2021) Low Vπ Thin-Film Lithium Niobate Modulator Fabricated with Photolithography. Optics Express, 29, Article 6320. [Google Scholar] [CrossRef] [PubMed]
[7] Xue, Y., Gan, R., Chen, K., Chen, G., Ruan, Z., Zhang, J., et al. (2022) Breaking the Bandwidth Limit of a High-Quality-Factor Ring Modulator Based on Thin-Film Lithium Niobate. Optica, 9, Article 1131. [Google Scholar] [CrossRef
[8] Castera, P., Gutierrez, A.M., Tulli, D., Cueff, S., Orobtchouk, R., Rojo Romeo, P., et al. (2016) Electro-Optical Modulation Based on Pockels Effect in BatiO3 with a Multi-Domain Structure. IEEE Photonics Technology Letters, 28, 990-993. [Google Scholar] [CrossRef
[9] Castera, P., Tulli, D., Gutierrez, A.M. and Sanchis, P. (2015) Influence of BatiO3 Ferroelectric Orientation for Electro-Optic Modulation on Silicon. Optics Express, 23, Article 15332. [Google Scholar] [CrossRef] [PubMed]
[10] Abel, S., Stoferle, T., Marchiori, C., Caimi, D., Czornomaz, L., Stuckelberger, M., et al. (2016) A Hybrid Barium Titanate-Silicon Photonics Platform for Ultraefficient Electro-Optic Tuning. Journal of Lightwave Technology, 34, 1688-1693. [Google Scholar] [CrossRef
[11] Girouard, P., Liu, Z., Chen, P., Jeong, Y.K., Tu, Y., Ho, S., et al. (2016) Enhancement of the Pockels Effect in Photonic Crystal Modulators through Slow Light. Optics Letters, 41, Article 5531. [Google Scholar] [CrossRef] [PubMed]
[12] Girouard, P., Chen, P., Jeong, Y.K., Liu, Z., Ho, S. and Wessels, B.W. (2017) χ(2) Modulator with 40-GHz Modulation Utilizing BatiO3 Photonic Crystal Waveguides. IEEE Journal of Quantum Electronics, 53, 1-10. [Google Scholar] [CrossRef
[13] Luo, M. and Sun, D. (2018) Ultra-Efficient Modulation of BatiO3 Crystal Thin Film Waveguide with a Two-Dimensional Optic-Electric Field Matching Scheme. Journal of Applied Physics, 123, Article 034503. [Google Scholar] [CrossRef
[14] Sun, N., Sun, D., Han, Y., Luo, M., Chen, Z. and Chen, C. (2020) Methodological Analysis for the Electrooptic Coefficient and Birefringence of Batio3 Crystal Films with Complementary Polarization Modulations. Measurement Science and Technology, 32, Article 015001. [Google Scholar] [CrossRef
[15] Sun, N. and Sun, D. (2022) Phase-Polarization Ensemble Modulation Effect of a BatiO3 Crystal Film Waveguide on Mach-Zehnder Interferometer Electrooptic Intensity Modulators. Applied Optics, 61, Article 1851. [Google Scholar] [CrossRef] [PubMed]
[16] Sun, N., Sun, D., Wu, D., Guo, Y., Fan, Y., Zou, F., et al. (2023) Lowering the Bit‐Energy of Electro‐Optic Modulators via Polarization‐Phase Modulation in Thin‐film Batio3 Ferroelectric Crystal Waveguide. Laser & Photonics Reviews, 18, Article 2300937. [Google Scholar] [CrossRef
[17] Sun, D., Fu, X., Hall, T.J. and Jiang, H. (2013) Analysis for the Nonlinear Electro-Optic Modulation Effect of BatiO3 Crystal Thin-Film Waveguide Modulators. Journal of Applied Physics, 113, Article 184502. [Google Scholar] [CrossRef
[18] 李韬, 赵瑞, 乔鹏飞, 等. 应用于星载通信的薄膜铌酸锂强度调制器[J]. 激光与红外, 2025, 55(10): 1650-1656.