生物质焦与煤混合燃烧特性实验及动力学研究
Experimental Investigation and Kinetic Analysis of the Co-Combustion Characteristics of Biomass Char and Coal Blends
DOI: 10.12677/mp.2026.162002, PDF, HTML, XML,   
作者: 刘钦栋:江苏大学汽车与交通工程学院,江苏 镇江;国能太仓发电有限公司,江苏 太仓
关键词: 生物质焦煤炭混合燃烧燃烧特性动力学活化能燃烧效率转化率Biomass Char Coal Mixed Combustion Combustion Characteristics Kinetics Activation Energy Combustion Efficiency Conversion Rate
摘要: 目的:探究不同掺量下生物质焦与煤混合燃料的燃烧特性,分析混合燃料的动力学特性,为筛选最优配比的混合燃料奠定基础。方法:选取玉米秸秆、锯末、花生秸秆作为主要生物质原料,以烟煤为主要煤炭原料,对实验原料开展元素分析与工业分析,并配备多种分析仪器与实验设备,随后开展实验测试。设定生物质焦与煤混合燃料的配比方案,利用高温管式炉进行混合燃料的制备。制备过程中,先对生物质原料进行热解反应,再将其与煤粉混合,得到混合燃料,随后进行成型处理,最终获得混合燃料样品。分别对样品进行燃料特性分析和动力学分析,记录其分析过程的相关数据。结果:在对生物质焦与煤混合燃料的燃烧特性分析时,H004实验组总热量析出为127.92 kW/kg;在对生物质焦与煤混合燃料进行动力学分析时,H004实验组在转化率为0.6时,活化能数值达到最大,为249.29 kJ/mol。结论:生物质焦含量为60%、烟煤含量为40%时,得到的混合燃料在实际应用中的燃烧性能最好,能够析出最多的热量。
Abstract: Objective: To investigate the combustion characteristics and kinetic properties of biomass char-coal blended fuels across different mixing ratios, providing a basis for identifying the optimal fuel blend formulation. Methods: Corn straw, sawdust, and peanut straw were selected as primary biomass feedstocks and bituminous coal as the primary coal feedstock. The experimental materials underwent elemental and industrial analysis. Utilizing various analytical instruments and experimental setups, a series of tests was conducted. Blending schemes for biomass char and coal mixtures were designed, and the blended fuels were prepared using a high-temperature tubular furnace. The preparation process involved pyrolysis of the biomass feedstock, followed by mixing with pulverized coal to form the blended fuel, which was then molded to obtain test samples. Fuel characteristic analysis and kinetic analysis were performed on the samples, with relevant data recorded throughout the procedures. Results: During the analysis of combustion characteristics of biomass char-coal blended fuels, the H004 experimental group exhibited a total heat release of 127.92 kW/kg. In the kinetic analysis of biomass char-coal blended fuels, the H004 group reached a maximum activation energy of 249.29 kJ/mol at a conversion rate of 0.6. Conclusion: The blended fuel comprising 60% biomass char and 40% bituminous coal demonstrated the best combustion performance in practical applications, yielding the highest heat release.
文章引用:刘钦栋. 生物质焦与煤混合燃烧特性实验及动力学研究[J]. 现代物理, 2026, 16(2): 15-24. https://doi.org/10.12677/mp.2026.162002

1. 引言

煤炭在燃烧过程中,会生成大量的污染物,如氮氧化物、硫化物等,这些污染物会给空气带来较大的影响,严重的话会影响人类的居住环境[1]。同时,生物质资源涵盖农业、林业废弃物等,产量巨大,可通过光合作用转化为理想的低碳能源。在实际应用中,生物质单独燃烧能量较低,且受季节影响显著,限制了其广泛应用[2]。为此,将生物质经热解处理转化为生物质焦,再与煤混合燃烧,既能提高燃料的燃尽性能,又能减少燃烧过程中的污染物产生。

为此,在该研究背景下,本文对生物质焦与煤混合燃烧特性实验及动力学展开了研究。本研究可分析不同掺量生物质焦与煤混合燃烧时的燃烧特性,揭示生物质焦对煤炭燃烧的催化作用,提高燃烧效率。同时,本研究可固定煤炭中的硫元素,降低二氧化硫等污染物的排放浓度,实现废弃资源的再利用,提高清洁能源在能源领域的占比。

2. 实验准备

2.1. 实验原料

2.1.1. 生物质选择

实验选择的生物质主要为玉米秸秆、锯末和花生秸秆,均为农业和林业废物。将选择的生物质原料放置在干燥箱中,设定干燥箱温度为105℃,烘干时间为12 h,再应用粉碎机将烘干的样品粉碎,再用100目的金属筛振筛进行筛选,得到不同生物质粉[3]。生物质粉如图1所示。

Figure 1. Biomass powder

1. 生物质粉

生物质粉的工业分析与元素分析结果如表1所示。

Table 1. Industrial analysis and elemental analysis of biomass powder

1. 生物质粉的工业分析与元素分析

生物质粉

玉米秸秆

锯末

花生秸秆

工业分析/%

水分

7.327

5.490

8.107

灰分

7.325

0.940

6.923

挥发分

80.783

84.032

80.125

固定碳

16.390

12.235

16.888

元素分析/%

39.64

46.11

41.26

5.33

5.55

5.36

0.173

0.06

0.32

12.36

13.02

7.54

发热量/(MJ/kg)

15.92

17.75

16.05

表1所示,在上述三种生物质中,锯末的发热量最高,花生秸秆与玉米秸秆的发热量较低,且二者发热值较为接近[4]。基于此,将玉米秸秆、锯末、花生秸秆三种生物质粉按照1:2:1的比例进行混合,得到生物质样品,用于实验。

2.1.2. 煤炭选择

实验选择的煤炭为烟煤,其在使用前需与生物质原料一同进行干燥处理,再应用粉碎机和研磨机对其进行粉碎和研磨,应用标准振筛机对其进行振筛,使得煤粉的粒径在80~100目之间。再对煤粉进行分析[5]。得到的工业分析如下:水分占比为0.227%、灰分占比为12.29%、挥发分占比1.37%、固定碳占比为86.23%,元素分析如下:碳(94.96%)、氢(0.27%)、硫(0.95%)、汞(4.44%),发热量为28.358 MJ/kg。

2.2. 实验仪器配置

主要实验仪器及主要技术参数如表2所示。

Table 2. Main experimental instruments and main technical parameters

2. 主要实验仪器及主要技术参数

实验仪器

主要参数

参数数值

5E-AC/PT自动量热仪

测温范围

5~35℃

温度分辨率

0.0001℃

测试时间

约16 min/个

精密度

RSD ≤ 0.2%

5E-S3200电脑测硫仪

测硫分辨率

0.01%

测硫范围

0.01%~20%

测试时间

4~8 min

测试温度

1150℃(煤)

5E-CHN2000元素分析仪

测量范围

Cad:0.005%~100%

Had:0.02%~50%

Nad:0.008%~50%

准确度

Cad:0.5%;Had:0.15%;Nad:0.08%

分析时间

4~5 min

5E-MAG6700/6600B

全自动工业分析仪

炉温范围

100~1000℃

分析精度

满足

GB/T 212-2008;DL/T 1030-2006;

ASTM D542-2009;GB/T 2001-1991

气体要求

氮气:纯度99.9%、减压后压力0.1 MPa

减压器:高端0~25 MPa;低端:0~4 MPa

HCT-1/2综合热分析仪

热重量程

1~200 mg

温度范围

室温~1150℃

热重解析度

0.1 μg

升温速率

0.1~80℃/min

同步配备了多种设备,如高温管式炉、破碎机、干燥箱、研磨机等。

3. 实验方法

3.1. 生物质焦–煤混合燃料制备

设定多种混合配比方案[6],生物质焦–煤混合燃料配比方案如表3所示。

Table 3. Biomass char-coal mixed fuel ratio scheme

3. 生物质焦–煤混合燃料配比方案

实验编号

生物质焦/%

烟煤/%

H001

-

100

H002

20

80

H003

40

60

续表

H004

60

40

H005

80

20

H006

100

-

H001、H006为烟煤和生物质焦空白对照组。生物质焦–煤混合燃料的制备流程如图2所示[7]

Figure 2. Preparation process of biomass char-coal mixed fuel

2. 生物质焦–煤混合燃料的制备流程

图2所示,将处理后的生物质原料放在管式加热炉中,往其中通入高纯度氮气。通入氮气时,将氮气流通速度设定为50 mL/min,持续20 min,此过程可保证生物质原料在热解过程中发生氧化反应[8]。在通入氮气的过程中,需应用气体分析仪实时监测管内氧气浓度,确保其降至0.1%以下[9]。同时,结合管式炉配套的升温程序,对管式炉进行加热,设定加热速率为10℃/min,等到温度达到400℃时,加热停止,保持恒温,持续时间为30 min,由此确保热解反应充分进行[10]。按照程序对管式炉进行自然降温,同时持续通入氮气,等到温度降低到室温后,将其中的生物质焦取出。

通过二氧化碳对提取出的生物质焦进行活化处理,再对其进行洗涤和干燥,再将其按照表3所示的配比方案放入到搅拌机中,设定搅拌参数,对其进行充分搅拌,确保生物质焦与煤粉充分混合[11]

3.2. 性能测试

3.2.1. 燃烧特性测试

使用电子天平称取1 g混合燃料[12],均匀摊平在坩埚表面,以10℃/min的升温速率将样品从常温缓缓加热至1000℃,并静置30 min,计算燃料燃烧过程中的多个参数,如综合燃烧特性指数、平均燃烧速度等[13] [14]

v ¯ =β δ 1 δ 2 T a T b (1)

S n = v max v ¯ T a T b 2 (2)

式中, v ¯ 表示平均燃烧速率, β 表示温度提升速度, δ 1 表示燃料开始燃烧时的温度值, δ 2 表示燃料烧尽时的质量分数, T a 表示燃料烧尽时的温度值, T b 表示燃料开始燃烧时的温度值, S n 表示混合燃料的综合燃烧特性指数, v max 表示燃料燃烧的最大速度。

速率与综合指标变化如图3所示。

Figure 3. Rate and comprehensive index changes

3. 速率与综合指标变化

图3中,随着生物质焦比例的增加,平均燃烧速率显著上升,反映出生物质焦中丰富的挥发分与多孔结构促进了燃料的快速着火与燃尽;综合燃烧特性指数也呈现同步增长趋势,生物质焦在混合燃烧中兼具“催化”与“助燃”双重作用。

3.2.2. 动力学测试

燃烧过程的动力学方程为[15]

ϑ r = ω 0 ω t ω 0 ω a (3)

f r = ( 1 ϑ r ) n (4)

d ϑ r dT = S β f r exp( E PT ) (5)

式中, ϑ r 表示燃料在燃烧过程中的转化率, ω 0 表示混合燃料燃烧时的质量, ω t 表示燃烧过程的t时刻的燃料质量, ω a 表示燃烧结束后的残留物质量, f r 表示反应机理函数,n表示反应指数, S 表示燃料的燃烧因子, E 表示活化能, P 表示空气常数。

温度变化率与温度的关系如图4所示。

Figure 4. Relationship between temperature change rate and temperature

4. 温度变化率与温度的关系

图4揭示了不同配比下燃烧阶段的转变特征。曲线在低温区出现陡升,对应挥发分的快速析出与燃烧;中温区变化趋缓,反映固定碳的稳定燃烧过程;高温区则因灰分熔融与反应减缓而逐渐平缓。生物质焦比例高的组别在低温区响应更剧烈,表明其着火性能更优,而纯煤组(H001)则响应滞后。

温度变化率与温度的关系从热行为角度印证了生物质焦对降低着火温度、加速燃烧进程的贡献,为动力学分析中活化能变化提供了直观的温度–反应关联基础。

4. 实验结果分析与讨论

4.1. 生物质焦与煤混合燃烧特性分析

设H001、H006为空白对照组。生物质焦–煤混合燃料的燃烧特性参数如表4所示。

Table 4. Parameters of combustion characteristics for biomass char-coal mixed fuel

4. 生物质焦–煤混合燃料的燃烧特性参数

实验编号

升温速率/(℃/min)

着火温度/℃

燃尽温度/℃

最大燃烧速率/(℃/min)

平均燃烧速率/(℃/min)

综合燃烧特性指数/(×107)

峰值温度/℃

H001

10

650

850

4.5

2.0

1.0

700

续表

H002

10

580

800

5.5

2.5

1.5

650

H003

10

520

750

6.0

3.0

2.2

600

H004

10

480

700

7.0

3.5

3.0

550

H005

10

450

680

7.5

3.8

3.5

520

H006

10

400

650

8.0

4.0

4.0

500

表4所示,在升温速率固定的前提下,随着生物质焦含量的上升,混合燃料着火温度显著降低,从纯煤的650℃下降到纯生物质焦的400℃,这是因为生物质焦中的挥发分较高,且其表面具有较多的小孔和比面积,能够加速挥发分的释放,降低着火温度。在对比其余燃烧特性参数时,随着生物质焦含量的增加,混合燃料的燃烧特性参数均呈现最大值。

由此可见,H005组混合燃料的燃烧特性最佳,其着火温度为450℃,燃尽温度为680℃,最大燃烧速率为8.0℃/min,平均燃烧速率为3.8℃/min,综合燃烧特性指数为3.5 × 107,峰值温度为520℃,仅燃烧特性参数低于纯生物质焦组(H006)。

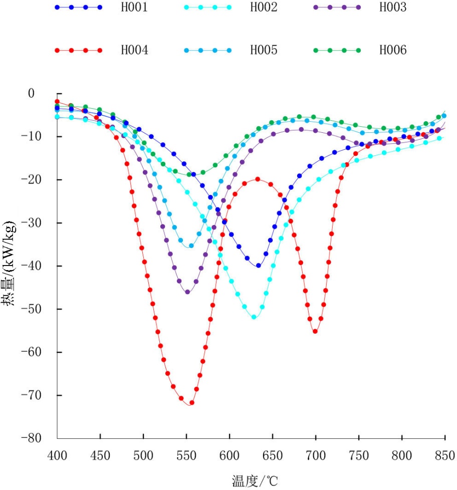
不同掺量生物质焦与煤混合燃料的热量释放曲线如图5所示。

Figure 5. Heat release curves of different proportions of biomass char mixed with coal fuel

5. 不同掺量生物质焦与煤混合燃料的热量释放曲线

图5所示,在该热量释放曲线中,可以明显看出,H004组有着两个明显的热量析出峰,第一个峰由生物质焦燃烧放热所致,第二个峰则由固体焦炭燃烧引起,其第一个峰热量析出为72.25 kW/kg。第二个峰的热量析出为55.67 kW/kg,总热量析出为127.92 kW/kg。这是因为生物质焦能有效提升烟煤的燃烧效率,既减少前期热量损失,又避免后期燃烧不充分,从而有效提高混合燃料的能量输出。与之相比,两组空白对照组的热量析出均不高,H001是受到烟煤燃烧不充分的影响,H006组则是由于生物质焦本身的热量析出较低。

由此可见,H004为最优的生物质焦与烟煤配比方案,能够有效提高混合燃料的燃烧效率。

4.2. 生物质焦与煤混合动力学分析

在分析生物质焦–煤混合燃料动力学特性时,设定样品转化率 ϑ r 取值范围为0.1~0.9,分析不同转化率取值下的不同实验组的活化能。不同掺量生物质焦与煤混合燃料的活化能变化结果如图6所示。

Figure 6. Variation of activation energy for different concentrations of biomass char mixed with coal fuel

6. 不同掺量生物质焦与煤混合燃料的活化能变化

图6所示,随着转化率的变化,不同掺量生物质焦与煤的混合燃料的活化能也在发生变化。从上述结果可以看出,H004、H005的最大活化能值分别为249.29 kJ/mol、169.75 kJ/mol,其对应的转化率为0.6,高于其余实验组的活化能。这是因为生物质焦含量会影响到混合燃料的活化能,在初始反应阶段,生物质焦的含量越高,越能促进燃烧效应,加上固定碳的燃烧反应,能够有效提高混合燃料的活化能,但随着生物质焦的过度增加,固定碳含量逐渐降低,其活化能也随之逐渐减少。同时,由于生物质焦会与烟煤产生协同效应,导致混合燃料的活化能波动较大。

由此可见,H004实验组的活化能数值最大,为249.29 kJ/mol。

5. 结束语

本文研究将选择的生物质焦与烟煤进行混合,设定混合燃料配比方案,分析不同掺量生物质焦与煤混合燃料的燃烧特性,有效降低混合燃料的着火温度,缩短燃尽时间,提高混合燃料的燃烧性能。本研究能够实现对废弃物的循环利用,降低煤炭燃烧时的污染,降低燃料成本,为促进燃煤行业的绿色化转型提供数据支持。

参考文献

[1] 马砺, 李登宇, 刘虎, 等. 内蒙古鲁新煤矿褐煤燃烧特性及热动力学参数研究[J]. 煤矿安全, 2025, 56(10): 14-22.
[2] 刘国斌, 陆启均, 桂国阳, 等. 淮南煤-内蒙古煤配煤对灰熔融温度及燃烧特性的影响研究[J]. 洁净煤技术, 2025, 31(S1): 513-518.
[3] 杨琨, 张涛, 泮浩翔, 等. 氨煤混烧对墙式切圆锅炉燃烧的影响分析[J]. 动力工程学报, 2025, 45(6): 805-812.
[4] 刘沁雯, 叶恒冰, 张逸伟, 等. 煤与禽类粪便混合燃料的加压富氧燃烧特性研究[J]. 化工学报, 2025, 76(7): 3487-3497.
[5] 徐帅, 张虹, 刘雪景. 内构件调控下高温热解煤焦理化性质与燃烧动力学[J]. 科学技术与工程, 2025, 25(14): 5976-5982.
[6] 王峰, 彭德军, 郭彦强, 等. 神东高钙烟煤掺烧对高炉风口燃烧状态的影响[J]. 中国冶金, 2023, 33(2): 89-97, 134.
[7] 王广伟, 李海波, 吴君毅, 等. 工业化生产生物质水热炭高炉混煤燃烧性能研究[J]. 钢铁研究学报, 2025, 37(3): 297-305.
[8] 侯岩, 杨富鑫, 谭厚章, 等. 两段式沉降炉内生物质与煤掺烧的NOx生成规律[J]. 煤炭学报, 2025, 50(2): 1315-1324.
[9] 王成博, 雷昌奎, 邓存宝. 焦煤氧化燃烧特性参数与热动力学特征[J]. 西安科技大学学报, 2024, 44(4): 709-719.
[10] 余荣浩, 徐义书, 王华坤, 等. 分级空气高速射流对煤掺氨燃烧中氨预分解与NOx生成影响[J]. 洁净煤技术, 2024, 30(5): 72-84.
[11] 杨海明, 张弼强, 陈谋, 等. 基于数字孪生技术的煤炭生产流水线优化与监测系统[J]. 电子设计工程, 2025, 33(18): 31-34.
[12] 徐润生, 尉继勇, 叶涟, 等. 废塑料与高炉喷吹煤混合燃烧行为及其对理论燃烧温度的影响[J]. 钢铁研究学报, 2024, 36(1): 44-54.
[13] 赵林, 王长安, 孙瑞金, 等. 富氧分级条件下高碱煤燃烧积灰与NOx生成规律实验研究[J]. 西安交通大学学报, 2023, 57(8): 76-85.
[14] 焦然, 邢献军, 陈涛, 等. 烘焙芝麻秸秆与煤混合燃烧特性及动力学研究[J]. 合肥工业大学学报(自然科学版), 2023, 46(3): 313-319.
[15] 吴雪佼, 魏博, 刘坤朋, 等. 运行参数对330 MW燃煤锅炉掺混燃烧准东煤的影响[J]. 济南大学学报(自然科学版), 2023, 37(3): 380-388.