高温条件下低浓度瓦斯氧化反应动力学特性研究
Study on the Kinetic Characteristics of Gas Oxidation Reaction under Low Concentration under High Temperature
DOI: 10.12677/me.2026.142048, PDF, HTML, XML,    国家自然科学基金支持
作者: 郭玉印:济宁市金桥煤矿,山东 济宁;王 栋:济宁市煤矿安全生产监测监控中心,山东 济宁;巩 超:济宁市金桥煤矿教育培训办公室,山东 济宁;孔维奕, 李凯乐:山东科技大学安全与环境工程学院,山东 青岛;刘述勋:济宁市金桥煤矿通防科,山东 济宁
关键词: 瓦斯爆炸高温条件爆炸压力爆炸温度反应动力学Gas Explosion High-Temperature Conditions Explosion Pressure Explosion Temperature Reaction Kinetics
摘要: 为了研究不同初始温度和不同初始瓦斯浓度对低浓度瓦斯(5%以下)氧化反应特性的影响,本文利用CHEMKIN软件对不同初始条件下的瓦斯氧化反应进行模拟研究。研究结果表明:初始温度升高(1200~1400 K)加速自由基的链式反应,使点火延迟时间缩短92%,最大反应温度上升5%,而最大反应压力下降10%;促进一氧化氮和二氧化氮的生成,最终摩尔分数分别上升21.8%和1.2%,而二氧化碳的最终摩尔分数下降4.6%,同时一氧化碳的最大摩尔分数在0.04上下波动。初始瓦斯浓度升高(1%~5%)增加可燃物总量,使点火延迟时间延长64%,最大反应压力与温度分别上升57.96%和56.91%;促进二氧化碳、一氧化氮和二氧化氮的生成,最终摩尔分数分别上升45%、1.4%、1.6%,而一氧化碳的最大摩尔分数在0.00784~0.0402范围内。表明温度影响氧化反应的反应速率,瓦斯浓度影响能量释放上限。研究提出,实际应用中需平衡温度与瓦斯浓度,优先控制温度阈值以抑制致灾性气体,并通过浓度梯度优化来提升蓄热氧化效率,为低浓度瓦斯的安全利用提供理论支撑。
Abstract: In order to study the effects of different initial temperatures and different initial gas concentrations on the oxidation reaction characteristics of low-concentration gas (below 5%), CHEMKIN software was used to simulate the gas oxidation reaction under different initial conditions in this paper. The results show that the increase of initial temperature (1200~1400 K) accelerates the chain reaction of free radicals, and the ignition delay time is shortened by 92%, the maximum reaction temperature is increased by 5%, and the maximum reaction pressure is decreased by 10%. After promoting the production of nitric oxide and nitrogen dioxide, the final mole fraction increased by 21.8% and 1.2%, respectively, while the final mole fraction of carbon dioxide decreased by 4.6%. At the same time, the maximum mole fraction of carbon monoxide fluctuated around 0.04. The increase of initial gas concentration (1%~5%) increased the total amount of fuel, prolonged the ignition delay time by 64%, and increased the maximum reaction pressure and temperature by 57.96% and 56.91%, respectively. It promoted the production of carbon dioxide, nitric oxide and nitrogen dioxide, and the final mole fraction increased by 45%, 1.4% and 1.6%, respectively, while the maximum mole fraction of carbon monoxide was in the range of 0.00784 to 0.0402. The results show that temperature affects the reaction rate of oxidation reaction and gas concentration affects the upper limit of energy release. It is proposed that in practical application, it is necessary to balance temperature and gas concentration, give priority to controlling the temperature threshold to suppress the disastrous gas, and improve the heat storage and oxidation efficiency through concentration gradient optimization, so as to provide theoretical support for the safe utilization of low-concentration gas.
文章引用:郭玉印, 王栋, 巩超, 孔维奕, 刘述勋, 李凯乐. 高温条件下低浓度瓦斯氧化反应动力学特性研究[J]. 矿山工程, 2026, 14(2): 456-471. https://doi.org/10.12677/me.2026.142048

1. 引言

煤矿通风中的瓦斯浓度非常低,单位热值低,基本不具备直接利用的价值[1] [2],导致大部分瓦斯被排入大气,造成能源浪费并加剧了温室效应[3] [4]。蓄热氧化技术是能够更加安全、高效、经济利用低浓度瓦斯气体的有效手段之一[5]-[7]。工业化试验显示浓度约0.3%的瓦斯可使蓄热氧化装置自热平衡,余热可用于发电供暖,其产热效率与瓦斯浓度成正比。混配抽采与乏风瓦斯提高浓度能增加产热效率,但温度升高会导致瓦斯爆炸下限降低,且提高瓦斯浓度也会增加装置运行的风险。目前针对高温条件下瓦斯氧化反应特性的测定没有统一的方法和标准,因此,开展高温条件下低浓度瓦斯氧化反应动力学特性的研究,可为在安全前提下提高低浓度瓦斯蓄热氧化利用提供理论基础,同时对提高低浓度瓦斯利用率和经济效益具有重要意义。

由于瓦斯具有易燃易爆的特性,国内外学者对瓦斯爆炸机理做了大量的研究工作[8]-[13],研究表明,热爆炸理论和链式反应一直作为瓦斯等可燃气体爆炸机理研究的两个方向,目前针对瓦斯燃烧反应常用的化学反应机理是GRI-Mech 3.0。由于特殊工况下的瓦斯爆炸实验存在局限性,只能展现特定工况下温度、压力等宏观层面的参数,不能对爆炸机理中的微观反应动力学特性进行度量,因此数值模拟技术被引入到瓦斯爆炸研究之中[14]。罗振敏[15]、李东方[16]等通过FLACS软件模拟瓦斯爆炸传播中的压力、温度和火焰的发展变化过程。周振兴[17]选用Fluent软件模拟分析含尘瓦斯爆炸传播特性。而许多学者的研究也证实了瓦斯爆炸受到初始温度、初始瓦斯浓度等因素的影响[18]-[21]。Pekalski [22]、Gieras [23]、Zhang [24]和Ning [25]等人实验研究了不同初始温度条件(273~513 K)下瓦斯爆炸过程中的压力变化,得到了瓦斯爆炸压力在不同初始温度下的变化规律,并发现随着初始温度的升高最大爆炸压力降低,而最大压力上升速率变化并不明显。Huang [26]和Niu [27]等对不同瓦斯浓度(8%~11%)下的爆炸过程进行了研究,分析了压力、火焰等特征参数随浓度的变化规律。Gao等[28]通过数值模拟分析了井下回风巷内低浓度瓦斯对瓦斯爆炸火焰和冲击波传播规律的影响,得出随着瓦斯体积浓度从0%增加至3%,最大超压比线性增加,而火焰传播速度呈加速–减速–加速–减速的变化趋势。Chen等[29]使用自主研发的氧化反应器,分析1%~1.5%的低浓度瓦斯在1000℃高温下的氧化特性,通过测定反应器内气体的氧化压力曲线及气体的进出口压力来判定是否发生了瓦斯爆炸。

综合上述研究发现,瓦斯的浓度和温度在很大程度上影响瓦斯的爆炸特性。因此,本文利用CHEMKIN软件中的封闭零维均质反应器模型,模拟低浓度瓦斯(1%~5%)在高温条件(1200~1400 K)下的反应过程,所得结论可为低浓度瓦斯蓄热氧化的安全利用提供理论基础,对提高煤矿低浓度瓦斯利用率和经济效益具有重要意义。

2. 机理及模型

2.1. 反应机理

国内外众多学者对瓦斯燃爆机理进行了大量的研究,普遍应用的还是GRI-Mech 3.0机理。它具有53种组分、325个基元反应,具有广泛的适用性。为研究不同初始温度和初始瓦斯浓度对瓦斯氧化反应特性的影响,设定当量比为1,温度为1200~1400 K,压力为0.1 MPa,满足GRI-Mech 3.0机理的适用条件,具体如表1所示[30]

Table 1. Application conditions of GRI-Mech 3.0 mechanism and simulation setting conditions

1. GRI-Mech 3.0机理适用条件及模拟设定条件

适用当量比

适用温度/(K)

适用压力/(atm)

设定当量比

设定温度/(K)

设定压力/(MPa)

0.1~5

1000~2500

0.01~10

0.1~5

1200~1400

0.1

2.2. 控制方程

采用CHEMKIN软件中封闭零维均质反应器模型,其体积恒定且处于绝热状态,组分方程和能量方程分别如式(1)和式(4)所示[31]

d Y i dt =v w ˙ i W i ( i=1,2,, k g ) (1)

w ˙ i = k=1 N g v ik k fk j=1 k g [ X j ] v ik ( i=1,, k g ) (2)

k fk = A k T b k exp[ E ak RT ]( k=1,, N g ) (3)

式中: Y i 为第i种组分的质量分数;t为时间; v 为混合气的比容; w ˙ i 为第i种组分的化学反应速率; W i 为第i种组分的分子量; k g 为组分总数; N g 为反应总步数 v ik 为第i种组分在第k步反应的计量系数; k fk 为第k步反应的正反应速率常数; [ X j ] 为第j种组分的浓度; v ik 为第i种组分在第k反应步的反应物物种计量系数;T为混合气体的温度; A k 为第k步反应的指前因子; b k 为第k步反应的温度指数; E ak 为第k步反应的活化能;R为混合气的气体常数。

c V dT dt +v i=1 k g e i w ˙ i W i =0 (4)

式中: c V 为混合气的定容比热;T为温度; e i 为第i种组分的内能。

2.3. 初始计算条件

模拟过程在零维均质反应器中进行,用混合气体的初始温度代替高温热源,参数设置具体如表2表3所示。

Table 2. Setting of operating condition parameters at different initial temperatures

2. 不同初始温度的工况参数设置

初始参数

工况1

工况2

工况3

工况4

工况5

初始温度/K

1200

1250

1300

1350

1400

初始压力/MPa

0.1

0.1

0.1

0.1

0.1

CH4摩尔分数

0.05

0.05

0.05

0.05

0.05

O2摩尔分数

0.1995

0.1995

0.1995

0.1995

0.1995

N2摩尔分数

0.7505

0.7505

0.7505

0.7505

0.7505

Table 3. Setting of operating condition parameters at different initial gas concentrations

3. 不同初始瓦斯浓度的工况参数设置

初始参数

工况1

工况2

工况3

工况4

工况5

初始温度/K

1300

1300

1300

1300

1300

初始压力/MPa

0.1

0.1

0.1

0.1

0.1

CH4摩尔分数

0.01

0.02

0.03

0.04

0.05

O2摩尔分数

0.2079

0.2058

0.2037

0.2016

0.1995

N2摩尔分数

0.7821

0.7742

0.7663

0.7584

0.7505

3. 初始温度对瓦斯氧化反应特性的影响

3.1. 瓦斯反应压力和温度

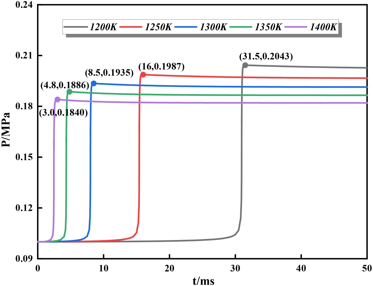
不同初始温度模拟条件下,瓦斯反应压力和温度随时间变化的曲线如图1图2所示。瓦斯反应压力和温度在时间变化上都呈现出先急剧上升然后趋于稳定的趋势,压力和温度急剧上升时瓦斯瞬时发生爆炸。由图1可知,随着初始温度的升高,瓦斯最大反应压力呈下降趋势,由1200 K时的0.2043 MPa下降到1400 K时的0.1840 MPa,下降幅度为10%。根据理想气体状态方程PV = nRT,在初始压力恒定、体积不变的条件下,初始温度升高导致初始气体密度降低。虽然反应放热量基本不变,但气体初始密度下降导致反应过程中气体膨胀做功能力减弱,因此最大反应压力随初始温度升高而下降。由图2可知,随着初始温度的升高,最大反应温度呈上升趋势,由1200 K时的2438 K上升到1400 K时的2553 K,上升幅度为5%。经过对比分析,每条温度变化曲线从初始温度上升到最大反应温度的升幅保持一致,表明瓦斯氧化反应释放的热量基本不变,最大反应温度的增加主要是由于初始温度升高。

Figure 1. Variation curve of gas reaction pressure under different initial temperature conditions

1. 不同初始温度条件下瓦斯反应压力变化曲线

Figure 2. Variation curve of gas reaction temperature under different initial temperature conditions

2. 不同初始温度条件下瓦斯反应温度变化曲线

图3是瓦斯最大反应压力、最大反应温度及其到达时间随初始温度变化的拟合曲线。拟合结果显示:最大反应压力与初始温度呈线性衰减关系,而最大反应温度与初始温度呈线性上升关系。最大反应压力与温度的到达时间均随初始温度升高呈指数衰减趋势。由于瓦斯最大反应压力和最大反应温度到达时间相同,故拟合曲线为同一条。随着初始温度的升高,最大反应压力和温度的到达时间缩短,且两者在同一时刻达到峰值。到达时间从1200 K时的31.5 ms下降到1400 K时的3 ms,所需时间缩短了90%,高温环境加速了自由基链式反应的触发。表明温度是影响反应速率的关键因素,而反应速率影响瓦斯最大反应压力、温度到达时间,当反应体系中的温度上升时,反应体系中的能量增加,活化分子的数量就会增加,同时分子运动变得更加剧烈,有效的碰撞使反应速率迅速增加,进而最大反应压力、温度的到达时间缩短。

Figure 3. Fitting curve of maximum reaction pressure, temperature and arrival time of gas with temperature

3. 瓦斯最大反应压力、温度及其到达时间随温度变化的拟合曲线

3.2. 瓦斯氧化反应点火延迟时间

点火延迟时间是指从点火源开始作用到瓦斯与空气混合气体开始发生爆炸反应的时间间隔。在定容绝热反应器模型中,点火延迟时间可以定义为燃烧过程中释放最大热量的时间,或者选择某一物质组分浓度达到最大值时对应的时间,此处定义点火延迟时间为反应中OH自由基浓度达到最大值所对应的时间[32]。不同初始温度模拟条件下,瓦斯氧化反应的点火延迟时间拟合曲线如图4所示。随初始温度的升高,点火延迟时间从1200 K时的30.9 ms缩短到1400 K时的2.47 ms,缩短了92%。在1200~1400 K的温度范围内,点火延迟时间随初始温度的升高而缩短,点火敏感性提高。若温度继续升高,则点火延迟时间将进一步缩短。然而,由于爆炸反应需要经历能量的累积才能进行,因此点火延迟时间不可能缩短为零。

3.3. 瓦斯氧化反应后部分致灾性气体生成规律

瓦斯氧化反应会产生一定量的致灾性气体,主要为CO、CO2、NO及NO2。CO2属于温室效应气体,CO具有可燃性且在密闭环境中易引发燃爆反应。NO是一种极不稳定的气体,在常温下能很快与空气中的氧化合成NO2。NO2具有腐蚀性,其与CO混合后还会形成酸性气溶胶。图5~8显示了不同初始温度条件下,瓦斯氧化反应过程中CO、CO2、NO及NO2的摩尔分数随时间的变化情况。图5中CO摩尔分数经过一段反应时间后,迅速上升至峰值后下降,且峰值均在0.04上下波动,表明CO为中间产物,其生成与消耗动态平衡。CO通过不完全氧化生成,并进一步氧化为CO2。CO的最终摩尔分数随初始温度的升高而增加,从1200 K时的0.0026上升到1400 K时的0.00474,增长率达到82%。图6中CO2摩尔分数持续增加至稳定值,符合完全氧化产物的累积规律。但随着初始温度的升高,CO2的最终摩尔分数逐渐减少,从1200 K时的0.07392下降到1400 K时的0.07054,下降率达到4.6%。

Figure 4. Fitting curve of ignition delay time under different initial temperature conditions

4. 不同初始温度条件下点火延迟时间拟合曲线

Figure 5. Curve of CO mole fraction with time under different initial temperature conditions

5. 不同初始温度条件下CO摩尔分数随时间变化曲线

Figure 6. Curve of CO2 mole fraction with time under different initial temperature conditions

6. 不同初始温度条件下CO2摩尔分数随时间变化曲线

Figure 7. Curve of NO mole fraction with time under different initial temperature conditions

7. 不同初始温度条件下NO摩尔分数随时间变化曲线

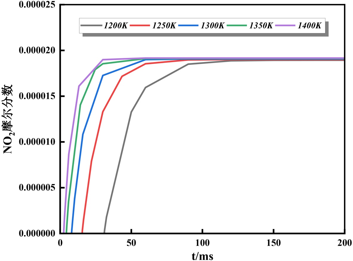
图7中可以看出,NO的摩尔分数随时间变化呈现快速上升后趋于稳定的特征,且初始温度的升高会提高NO摩尔分数的最大值,由1200 K时的0.01348升高到1400 K时的0.01642。这是由于高温条件下链式反应中关键自由基的含量增加促进NO的生成。从图8中看出,NO2的摩尔分数在反应初期升高后趋于稳定,其最大值也随初始温度升高而升高,由1200 K时的1.89316 × 105升高到1400 K时的1.91637 × 105。随着初始温度的升高NO、NO2达到最大值的时间缩短,表明高温加速了反应体系的动力学进程。通过对比发现NO2的摩尔分数与NO相比相差3个数量级,这是由于NO的生成是通过高温下N2和O2的反应,该反应在高温环境下反应速率相对较快。而NO2主要由NO进一步氧化生成,这一反应步骤相对较为复杂,其反应速率受到多种因素的限制,导致NO2的摩尔分数增长幅度较小,且其最大值远低于NO的摩尔分数最大值。

Figure 8. Curve of NO2 mole fraction with time under different initial temperature conditions

8. 不同初始温度条件下NO2摩尔分数随时间变化曲线

4. 初始瓦斯浓度对瓦斯氧化反应特性的影响

4.1. 瓦斯反应压力和温度

不同初始瓦斯浓度模拟条件下,瓦斯反应压力和温度随时间变化的曲线如图9图10所示。瓦斯反应压力和温度的变化趋势是先急剧上升然后趋于稳定,在达到最大值之前有轻微波动。随着初始瓦斯浓度的升高,瓦斯最大反应压力由0.1225 MPa上升到0.1935 MPa,上升幅度为57.96%。瓦斯最大反应温度由1592 K上升到2498 K,升高幅度为56.91%。表明瓦斯浓度的增加会提升单位体积内可燃物质的总化学能,增强自由基链式反应的链分支效应,从而加速能量释放速率。

Figure 9. Variation curve of gas reaction pressure under different concentration conditions

9. 不同浓度条件下瓦斯反应压力变化曲线

Figure 10. Variation curve of gas reaction temperature under different concentration conditions

10. 不同浓度条件下瓦斯反应温度变化曲线

Figure 11. Fitting curve of maximum reaction pressure, temperature and arrival time of gas with concentration

11. 瓦斯最大反应压力、温度及其到达时间随浓度变化的拟合曲线

与上文初始温度对压力和温度的影响对比显示,初始温度的升高加速链式反应,使自由基生成速率提升,但单位体积内反应物密度降低,抑制反应压力的积累。而瓦斯浓度的增加提升可燃物的总量,增强链分支效应,可以释放更多的化学能。表明温度通过动力学速率影响瓦斯氧化反应的压力和温度,而瓦斯浓度通过反应物总量决定能量释放的上限。

图11为瓦斯最大反应压力、最大反应温度及其到达时间随瓦斯浓度变化的拟合曲线。拟合结果显示:到达时间随浓度升高呈指数上升趋势,到达时间从1%时的6.7 ms升高到5%时的8.5 ms,所需时间延长了26.87%。这是由于瓦斯浓度升高增加了燃料总量,但根据表3中的数据,氧气摩尔分数从20.79%降至19.95%,即氧气分压下降。根据碰撞理论,反应物分压降低会减少有效碰撞频率,延缓链引发与传播速率,从而导致到达时间延长。同时,燃料增加带来的总放热量提升,但因氧气相对不足,部分中间产物的氧化路径可能受限,进一步影响了能量释放的动态进程。最大反应压力和温度与瓦斯浓度呈线性上升趋势。初始瓦斯浓度的升高使得初始CH4含量增多,在O2充足的情况下CH4与O2发生反应,释放出更多的热量。这些热量积聚在有限的空间内,导致温度升高,同时也使得气体膨胀更加剧烈,从而产生更大的压力,故呈正线性相关关系。

4.2. 瓦斯氧化反应点火延迟时间

不同初始瓦斯浓度模拟条件下,瓦斯爆炸的点火延迟时间拟合曲线如图12所示。从图12中可以看出,随着初始瓦斯浓度的升高,点火延迟时间逐渐增长,点火延迟时间从1%时的4.89 ms上升到5%时的8.02 ms,增长了64%。瓦斯浓度升高使反应体系中CH4总量增加,但氧气分压相应降低。这导致单位体积内CH4与O2的有效碰撞频率下降,自由基链引发与传播的初始阶段被延缓,需要更长时间积累足够的活性中间体以达到爆炸临界状态,因此点火延迟时间增长。与上文初始温度对点火延迟时间的影响对比显示,温度对点火延迟时间的调控强度显著高于浓度的影响系数,表明温度是主导反应速率的敏感参数。

Figure 12. Fitting curve of ignition delay time under different concentration conditions

12. 不同浓度条件下点火延迟时间拟合曲线

4.3. 瓦斯氧化反应后部分致灾性气体生成规律

图13~16显示了不同初始瓦斯浓度条件下,瓦斯氧化反应过程中CO、CO2、NO及NO2的摩尔分数随时间的变化情况。从图13中可以看出,CO摩尔分数经过反应时间后,迅速上升至峰值后下降。CO最大摩尔分数随初始瓦斯浓度的升高而升高,从1%时的0.00784上升到5%时的0.0402。从图14中可以看出,CO2摩尔分数持续增加至稳定值。随初始瓦斯浓度的升高,CO2的摩尔分数从1%时的0.001上升到5%时的0.046,上升率达到45%。对比初始温度条件下的生成规律,浓度的增加促进CO的生成,同时CO作为中间产物的生成速率超过其进一步氧化为CO2的速率。从图15图16中可以看出,NO和NO2的摩尔分数随时间变化呈现快速上升后趋于稳定的特征,且初始浓度的升高会提高NO和NO2最大摩尔分数。NO和NO2在反应初期阶段,与CO和CO2相比发生反应的所需时间较长。以瓦斯浓度为5%为例,CO和CO2在7 ms内反应,而NO和NO2在70 ms内反应,甚至时间更长。CO和CO2的快速生成通过直接氧化反应,而NO和NO2的生成需要通过复杂的链式反应。因此,NO和NO2由于动力学路径复杂性表现生成延迟,其反应时间较CO和CO2延长一个数量级以上。

Figure 13. Curve of CO mole fraction with time under different gas concentration conditions

13. 不同瓦斯浓度条件下CO摩尔分数随时间变化曲线

Figure 14. Curve of CO2 mole fraction with time under different gas concentration conditions

14. 不同瓦斯浓度条件下CO2摩尔分数随时间变化曲线

Figure 15. Curve of NO mole fraction with time under different gas concentration conditions

15. 不同瓦斯浓度条件下NO摩尔分数随时间变化曲线

Figure 16. Curve of NO2 mole fraction with time under different gas concentration conditions

16. 不同瓦斯浓度条件下NO2摩尔分数随时间变化曲线

与上文初始温度对反应后部分致灾性气体的影响对比显示,温度促进中间产物CO生成并抑制CO2完全氧化,NO和NO2的生成速率随温度升高显著加快。瓦斯浓度升高显著增加CO与CO2的总量,同时浓度对有毒有害气体的生成影响程度明显高于温度。表明温度通过调控反应速率调节中间产物的动态平衡,而瓦斯浓度通过增加反应物总量强化反应路径。

5. 反应路径分析

由2.3、3.3部分的模拟结果可知低浓度瓦斯利用过程中产生的有毒有害气体主要为CO和CO2,对低浓度瓦斯氧化反应路径的分析可从动力学角度揭示CO和CO2的生成路径,分析不同低浓度瓦斯氧化反应路径的差异性,为低浓度瓦斯利用过程中毒害气体的预防及控制提供理论参考。在不同瞬态下的反应路径各不相同,当CH4转化率达到100%时,反应过程中生成的CO、CO2浓度最大,选择此时刻研究不同瓦斯浓度对CH4燃烧产生CO、CO2的化学反应路径影响更具有代表性。图17为不同初始浓度下瓦斯氧化反应路径图,其中黑色数值代表CH4浓度为1%,红色数值代表CH4浓度为2%,橙色数值代表CH4浓度为3%,绿色数值代表CH4浓度为4%,蓝色数值代表CH4浓度为5%。

图17中可以看出,初始瓦斯浓度的上升未改变瓦斯氧化反应路径,但其消耗的特定反应主要组分的摩尔百分比却不同。1300 K高温条件下瓦斯氧化反应的主要路径为CH4→CH3→CH2O→HCO→CO→CO2,首先CH4通过脱氢反应转化为CH3,在此过程中有少量CH3被还原成CH4,随后CH3分别被转化为CH2O和CH2,且以CH2O为主。随着初始瓦斯浓度的增加,CH3向CH2O转化的比例增加,向CH2转化的比例略有减小,之后通过一系列的中间反应CH4最终氧化为CO2。其中CO主要通过HCO与H、O、OH等自由基反应生成,同时CH2通过CH2 + O2 < = > OH + H + CO的基元反应产生了一定量的CO。CO2的生成路径有三条:一是CO直接氧化反应,是生成CO2的主要过路径;二是CH2与O2反应生成CO2;三是HCO与O自由基反应生成CO2。其中一三路径随着浓度的增加,反应速率增加,而CH2与O2的反应速率降低。表明浓度增加对O2产生稀释效果,且瓦斯氧化更倾向于生成CH3和CH2O,而非CH2,导致CH2的生成路径被抑制。

Figure 17. Gas oxidation reaction path diagram at different initial concentrations

17. 不同初始浓度下瓦斯氧化反应路径图

6. 结论

运用CHEMKIN软件及GRI-Mech 3.0化学动力学机理,研究了不同条件下瓦斯氧化反应特性,得到了不同模拟条件下瓦斯氧化反应的压力、温度、点火延迟时间和反应物方面的变化规律。主要结论如下:

1) 温度升高(1200~1400 K)加速自由基链式反应,点火延迟时间缩短92%;依据理想气体状态方程,初始气体密度下降导致最大反应压力降低10%,最大反应温度因初始温度升高提高5%。瓦斯浓度升高(1%~5%)增加可燃物总量,但氧气摩尔分数从20.79%降至19.95%,分压下降延长点火延迟时间64%;总化学能释放增强使最大反应压力与温度分别上升57.96%与56.91%。表明温度主导反应动力学速率,浓度决定能量释放上限。

2) 初始温度升高(1200~1400 K)促进了NO与NO2的生成,其最终摩尔分数分别上升21.8%和1.2%;同时,高温环境加速了链式反应中中间产物的转化,抑制了CO2的完全氧化,使其最终摩尔分数下降4.6%,而CO作为关键中间产物,其最大摩尔分数在0.04附近波动。瓦斯浓度升高(1%~5%)增加了燃料总量与反应放热,推动CO2、NO和NO2的最终摩尔分数分别上升45%、1.4%和1.6%;随着浓度的提升,燃料/氧化剂比例增大,中间产物CO的生成量相应增加,其最大摩尔分数在0.00784~0.0402范围内逐步升高。

3) 反应路径分析表明,初始瓦斯浓度的变化并未影响瓦斯氧化反应路径,不同瓦斯浓度下其主要反应路径为CH4→CH3→CH2O→HCO→CO→CO2。其中CO主要通过HCO与H、O、OH等自由基反应生成,CO2主要由CO在高温条件下通过氧化反应转化生成。

4) 低浓度瓦斯蓄热氧化需在温度与瓦斯浓度间平衡,高温可缩短反应周期并抑制压力的积累,而提高瓦斯浓度能够增强能量释放效率。在实际应用中可优先控制温度阈值以避免致灾性气体超标,并且通过设计瓦斯浓度梯度优化热量利用率。

基金项目

国家自然科学基金面上项目(52474240)。

参考文献

[1] Chen, J.H., Wen, G.C., Yan, S., Lan, X.Y., et al. (2020) Oxidation and Characterization of Low-Concentration Gas in a High-Temperature Reactor. Processes, 8, Article 481.
[2] Li, X.Y., Chen, H.Y., Li, H.X. and Chen, J.H. (2021) Change Law of Lower Limit of Gas Explosion at Ultra-High Temperatures. ACS Omega, 6, 35112-35123.
[3] 柏琳. 丁集煤矿超低浓度瓦斯氧化供热技术应用研究[J]. 煤炭工程, 2020, 52(9): 33-36.
[4] Marín, P., Vega, A., Díez, F.V. and Ordóñez, S. (2020) Control of Regenerative Catalytic Oxidizers Used in Coal Mine Ventilation Air Methane Exploitation. Process Safety and Environmental Protection, 134, 333-342. [Google Scholar] [CrossRef
[5] 陈金华. 低浓度瓦斯蓄热氧化供热系统的应用研究[J]. 矿业安全与环保, 2017, 44(2): 62-65.
[6] 高鹏飞, 孙东玲, 霍春秀, 等. 超低浓度瓦斯蓄热氧化利用技术研究进展[J]. 煤炭科学技术, 2018, 46(12): 67-73.
[7] 吕元. 煤矿通风瓦斯的蓄热氧化处理装置研究[D]: [博士学位论文]. 北京: 中国科学院研究生院(工程热物理研究所), 2012.
[8] 冯长根. 热爆炸理论[M]. 北京: 科学出版社, 1988.
[9] 赵江平, 王振成. 热爆炸理论在粉尘爆炸机理研究中的应用[J]. 中国安全科学学报, 2004, 14(5): 80-83.
[10] Lu, T. and Law, C.K. (2008) A Criterion Based on Computational Singular Perturbation for the Identification of Quasi Steady State Species: A Reduced Mechanism for Methane Oxidation with NO Chemistry. Combustion and Flame, 154, 761-774. [Google Scholar] [CrossRef
[11] 杨龙龙, 刘艳, 杨春丽. 不同湿度和近爆炸下限条件下甲烷-空气混合物爆炸特征[J]. 爆炸与冲击, 2021, 41(2): 166-175.
[12] 梁运涛, 王连聪, 罗海珠, 等. 激波诱导瓦斯爆炸反应动力学计算模型[J]. 煤炭学报, 2017, 42(6): 1475-1481.
[13] 贾进章, 朱金超, 甄纹浩. 乙炔对瓦斯爆炸的化学动力学影响模拟研究[J]. 中国安全科学学报, 2020, 30(9): 29-36.
[14] 李祥春, 聂百胜, 杨春丽, 等. 封闭空间内瓦斯浓度对瓦斯爆炸反应动力学特性的影响[J]. 高压物理学报, 2017, 31(2): 135-147.
[15] 罗振敏, 吴刚. 密闭空间瓦斯爆炸数值模拟研究[J]. 煤矿安全, 2020, 51(2): 1-4.
[16] 李东方, 刘会彩, 张锦. 基于层次分析法的受限空间瓦斯爆炸数值模拟研究[J]. 煤炭技术, 2022, 41(9): 108-111.
[17] 周振兴. 障碍物形状和数量对含尘瓦斯爆炸激励效应影响的数值模拟研究[D]: [硕士学位论文]. 廊坊: 华北科技学院, 2023.
[18] Jiang, B., Lin, B., Shulei, S., Zhu, C., Liu, Q. and Zhai, C. (2012) A Numerical Simulation of the Influence Initial Temperature Has on the Propagation Characteristics Of, and Safe Distance From, a Gas Explosion. International Journal of Mining Science and Technology, 22, 307-310. [Google Scholar] [CrossRef
[19] Van den Schoor, F. and Verplaetsen, F. (2006) The Upper Explosion Limit of Lower Alkanes and Alkenes in Air at Elevated Pressures and Temperatures. Journal of Hazardous Materials, 128, 1-9. [Google Scholar] [CrossRef] [PubMed]
[20] Gao, N. (2013) Effect of Initial Temperature on Free Radicals of Gas Explosion in Restricted Space. Advanced Materials Research, 798, 138-142. [Google Scholar] [CrossRef
[21] Li, C.W., Qiao, Z., Hao, M., et al. (2025) The Variation of Environmental Parameters after Gas Explosion in Semi-Closed Pipeline. Energy Sources, Part A: Recovery, Utilization, and Environmental Effects, 47, 11650-11664. [Google Scholar] [CrossRef
[22] Pekalski, A.A., Schildberg, H.P., Smallegange, P.S.D., Lemkowitz, S.M., Zevenbergen, J.F., Braithwaite, M., et al. (2005) Determination of the Explosion Behaviour of Methane and Propene in Air or Oxygen at Standard and Elevated Conditions. Process Safety and Environmental Protection, 83, 421-429. [Google Scholar] [CrossRef
[23] Gieras, M., Klemens, R., Rarata, G. and Wolański, P. (2006) Determination of Explosion Parameters of Methane-Air Mixtures in the Chamber of 40 dm3 at Normal and Elevated Temperature. Journal of Loss Prevention in the Process Industries, 19, 263-270. [Google Scholar] [CrossRef
[24] Zhang, Z., Lin, B., Li, G. and Ye, Q. (2013) Explosion Pressure Characteristics of Coal Gas. Combustion Science and Technology, 185, 514-531. [Google Scholar] [CrossRef
[25] Ning, J.G., Wang, C. and Lu, J. (2006) Explosion Characteristics of Coal Gas under Various Initial Temperatures and Pressures. Shock Waves, 15, 461-472. [Google Scholar] [CrossRef
[26] Zhian, H., Zhigang, L., Shengguo, C., Yansong, Z. and Yinghua, Z. (2012) Numerical Simulation and Study on the Transmission Law of Flame and Pressure Wave of Pipeline Gas Explosion. Safety Science, 50, 806-810. [Google Scholar] [CrossRef
[27] Niu, Y.H., Shi, B.M. and Jiang, B.Y. (2019) Experimental Study of Overpressure Evolution Laws and Flame Propagation Characteristics after Methane Explosion in Transversal Pipe Networks. Applied Thermal Engineering, 154, 18-23. [Google Scholar] [CrossRef
[28] Gao, K., Liu, Z., Wu, C., Li, J., Liu, K., Liu, Y., et al. (2021) Effect of Low Gas Concentration in Underground Return Tunnels on Characteristics of Gas Explosions. Process Safety and Environmental Protection, 152, 679-691. [Google Scholar] [CrossRef
[29] Chen, J., Wen, G., Yan, S., Lan, X. and Xiao, L. (2020) Oxidation and Characterization of Low-Concentration Gas in a High-Temperature Reactor. Processes, 8, Article 481. [Google Scholar] [CrossRef
[30] 吴云飞. 基于GRI-Mech 3.0的脉动燃烧NOx生成机理简化方法研究与分析[D]: [硕士学位论文]. 杭州: 浙江工业大学, 2012
[31] 高娜, 张延松, 胡毅亭, 等. 受限空间瓦斯爆炸链式反应动力学分析[J]. 中国安全科学学报, 2014, 24(1): 60-65.
[32] 李晓文. 采空区含瓦斯条件下煤自燃气体产物的爆炸特性及爆炸传输规律研究[D]: [硕士学位论文]. 徐州: 中国矿业大学, 2022.