基于像元微观仿真的面阵CCD激光饱和与串扰机制研究
Research on Laser Saturation and Crosstalk Mechanisms of Area Array CCD Based on Pixel-Level Micro-Simulation
摘要: 行间转移型电荷耦合器件(CCD)在强激光辐照下极易产生致眩与串扰现象,严重制约了光电探测系统的成像质量。本文针对1064 nm连续波激光对硅基面阵CCD的干扰效应展开了系统性的微观机理仿真与宏观实验研究。首先,基于半导体器件物理理论,利用COMSOL软件构建了CCD光电转换区及垂直转移沟道(VCCD)的二维数值模型,微观剖析了光生载流子的产生、聚集以及势阱满阱后的多级溢出物理过程。在此基础上,搭建了以1064 nm连续波激光器、索雷博PM200高精度功率计(配合S130VC探头)以及内置SHARP RJ33J3AA0DT传感器的面阵CCD相机为核心的激光干扰实验测试平台。借助MATLAB软件对采集的系列干扰图像进行精准的灰度值提取与光斑分布特征分析,定量揭示了随入射激光功率增加,CCD由单像元饱和依次向第一类、第二类及第三类串扰现象递进的演化规律。研究结果表明,不同功率密度下的宏观串扰图像特征与微观层面的垂直/水平沟道电荷级联溢出机制高度吻合。本研究将微观多物理场仿真与宏观光学实验相统一,为面阵CCD的抗激光干扰效能评估及光电防护设计提供了坚实的理论依据与实验数据支撑。
Abstract: Interline transfer charge-coupled devices (CCDs) are highly prone to dazzling and crosstalk phenomena under intense laser irradiation, which severely restricts the imaging quality of photoelectric detection systems. In this paper, systematic microscopic mechanism simulations and macroscopic experimental research were conducted on the interference effects of 1064 nm continuous-wave lasers on silicon-based area-array CCDs. Firstly, based on semiconductor device physics theory, a two-dimensional numerical model of the CCD photoelectric conversion region and vertical transfer channel (VCCD) was constructed using COMSOL software, microscopically analyzing the generation and accumulation of photogenerated carriers, as well as the physical process of multi-stage overflow after reaching the full-well capacity. On this basis, a laser interference experimental test platform was established, with a 1064 nm continuous-wave laser, a Thorlabs PM200 high-precision power meter (equipped with an S130VC probe), and an area-array CCD camera integrating a SHARP RJ33J3AA0DT sensor as the core components. Utilizing MATLAB software, precise grayscale value extraction and spot distribution characteristic analysis were performed on the acquired series of interference images, quantitatively revealing the evolutionary progression of the CCD advancing from single-pixel saturation sequentially to Type I, Type II, and Type III crosstalk phenomena with the increase of incident laser power. The research results indicate that the macroscopic crosstalk image characteristics under different power densities are highly consistent with the microscopic mechanism of charge cascading overflow in the vertical and horizontal channels. By unifying microscopic multi-physics simulations with macroscopic optical experiments, this study provides a solid theoretical basis and experimental data support for the evaluation of anti-laser interference efficacy and the design of photoelectric protection for area-array CCDs.
文章引用:杨宏阳, 魏智. 基于像元微观仿真的面阵CCD激光饱和与串扰机制研究[J]. 应用物理, 2026, 16(4): 210-227. https://doi.org/10.12677/app.2026.164021

1. 引言

电荷耦合器件(Charge-Coupled Device, CCD)作为一种高灵敏度的固体光电成像传感器,凭借其体积小、灵敏度高、动态范围大及功耗低等优势,被广泛应用于工业监测、天文观测及军用光电探测等领域。然而,正是由于其极高的光电转换灵敏度,CCD在面对强光尤其是高强度激光辐照时极易受到干扰,其响应会由线性工作区逐步进入非线性甚至失效状态。因此,深入剖析激光辐照下CCD内部电荷的演化与溢出规律,具有重要的理论探索价值与实际工程意义。

近年来,国内外学者针对不同波长与体制的激光对CCD的干扰损伤效应开展了大量研究。张震等系统研究了可见光CCD的光致过饱和与致眩现象,分析了光生电荷扩散及串扰线缺口现象的底层物理机制[1]。王世勇、王金宝等分别对激光辐照面阵CCD探测系统的局部干扰效应及点破坏机制进行了详细的实验测量与评估[2] [3]。针对应用最为广泛的行间转移型(Interline Transfer) CCD,张检民等提出了一种基于理论模型的激光干扰效应阈值估算方法[4]。在特定波段的干扰特性方面,王玺等开展了1064 nm激光对可见光CCD的干扰实验分析[5];于程浩等则详细梳理了连续波激光辐照面阵CCD所产生串扰现象的时空分布特性[6]。此外,在器件的底层物理模拟上,舒平等探讨了CCD图像传感器像元的二维数值建模与微观电荷仿真分析方法[7]

尽管现有的研究已通过大量实验和宏观理论证实了激光对CCD的致眩与串扰效应,但针对行间转移型面阵CCD在1064 nm连续波激光辐照下的多层级串扰机理(尤其是区分光电转换区溢出、垂直转移沟道级联溢出及水平传输沟道溢出的渐进演化特征),从半导体载流子微观输运层面结合有限元仿真与实验的系统性剖析仍较为缺乏。在实际的干扰过程中,单像素饱和、光斑饱和、各类串扰及全屏致盲并非相互孤立,而是随激光功率密度增加而连续演化的不同表现形式。

基于此,本文以行间转移型面阵CCD为核心研究对象,系统探讨其在1064 nm连续波激光辐照下的干扰演化机理。首先,借助COMSOL Multiphysics有限元仿真软件,分别建立光电转换区和垂直转移沟道(VCCD)的二维数值模型,从微观层面动态模拟光生电子的产生、聚集以及多相时钟驱动下的电荷转移过程。随后,搭建1064 nm连续激光辐照工业级面阵CCD的精密实验测试平台,通过高精度调节入射激光功率,定量提取并验证了从单像素饱和到第一类、第二类及第三类串扰现象的递进演化规律。本研究旨在将宏观的光学串扰图像特征与微观下的势阱电荷溢出机制相统一,为提升CCD光电成像系统的抗激光干扰能力及光电防护设计提供坚实的理论支撑与实验依据。

2. 行间转移型CCD的理论基础及干扰机理

2.1. 行间转移型CCD理论基础

行间转移面阵CCD的结构,如图1所示,在二维像素栅格内,每个像素把光敏的光电二极管与遮光的垂直CCD寄存器(VCCD)并置成一对“条带”,列方向上由VCCD贯通整列、行方向上由转移栅(TG)跨行连通。曝光期内电荷仅在光电二极管产生并积累;曝光结束后,全阵列同时抬高TG,将每行光电二极管中的电荷瞬时注入紧邻的VCCD条带,实现电子全局快门,此过程被称为信号电荷的读出转移;随后VCCD列内垂直时钟VΦ按既定相序推进,电荷包逐级下移至行末与水平寄存器对接,这一过程称为垂直转移;最终水平CCD寄存器(HCCD)中的电荷包在水平时钟HΦ的驱动下依次传输到输出端,完成

Figure 1. Structure of interline transfer CCD

1. 行间转移型CCD结构

水平转移。随后信号电荷包通过CCD末端总和相的时钟控制越过带有一定直流偏置的输出栅(OG),进入浮置扩散区(FD)。在每一像素读出前,先通过复位栅(RG)将FD拉至设定的复位电平,以清除残余电荷并建立参考基线;随后关断RG,使FD处于浮置状态。当前像素的信号电荷包注入FD后改变其节点电位,并经与FD相连的源跟随管(SF)缓冲至芯片输出端(OUT)。模拟后处理链路利用相关双采样(CDS)对复位电平和信号电平作差,配合后续的增益放大(PGA)与模数转换(A/D),最终得到与入射光强对应的数字像素值。

行间转移型面阵CCD像素结构由光电转换区与CCD电荷转移通道组成如图2,其中光电二极管为光电转换区的核心元件,负责信号电荷的产生与积累;旁边的MOS电容栅极串成CCD电荷转移通道,通过栅极电压的时序变化,驱动电荷包的定向移动,实现信号电荷的有序输出。

Figure 2. Single pixel structure

2. 单像素结构

2.2. 行间转移型CCD干扰机理

在激光辐照条件下,CCD图像传感器的响应会由线性工作区逐步进入非线性甚至失效状态,其干扰过程大致呈现出由全局、由点状到面状的渐进演化特征。随着入射激光功率密度的提高,CCD靶面上依次出现单像素饱和、由器件内部载流子溢出与扩散引起的三类串扰现象,最终发展为整个成像面的全饱和致盲。这一系列现象共同构成了激光干扰CCD成像的主要物理机制基础。

为直观说明单像素饱和的产生过程,图3给出了激光光斑在CCD上的空间分布及对应像素“电荷桶”模型。当干扰激光功率密度较低时,其在CCD靶面上的能量分布近似为高斯型,光斑中心处的少数像元首先达到势阱容量上限,出现单像素饱和现象。此时,仅个别像元的输出灰度接近或达到饱和值,而周围像元仍处于线性响应区,整体图像基本保持正常,仅在干扰位置形成局部高亮点,对目标与背景信息的整体性信息影响有限。

在单像素饱和基础上,若入射光功率密度继续增大,光斑区域像元及其转移沟道内的载流子数目会超过CCD各级势阱的最大存储容量,过量载流子在器件内部发生溢出与扩散,诱发严重的串扰效应。从器件结构和载流子输运过程看,串扰机理如图4,可以归纳为三类:光电转换区溢出及向垂直转移沟道注入的第一类串扰、垂直转移沟道内势阱级联溢出的第二类串扰以及水平传输沟道中的溢出即第三类串扰。

第一类串扰现象的特征为:

(1) 串扰线穿过饱和光斑中心,沿同一条垂直沟道连续分布,线宽基本均匀;

(2) 串扰线沿列方向灰度较为一致且整体上不饱和;

Figure 3. Schematic diagram of single pixel saturation

3. 单像素饱和示意图

Figure 4. Schematic diagram of three types of crosstalk mechanisms

4. 三类串扰现象示意图

(3) 在特定时序条件下,串扰线在光斑邻近位置会出现灰度显著降低甚至消失的暗段“缺口”,表现为沿列方向的亮线在靠近光斑一侧被截断一小段,且缺口长度随激光辐照强度增大而减小。

第二类串扰现象的特征为:

(1) 串扰线通过激光光斑中心,沿与光斑对应的同一条垂直转移沟道方向连续分布;

(2) 在垂直沟道满阱溢出对应的下游像元中形成一段灰度显著抬升、像元普遍饱和的高亮串扰带。

需要指出,在行间转移面阵CCD中,第二类串扰的产生依赖于第一类串扰为前提:强光首先通过收集势阱满阱溢出在VCCD中形成第一类串扰线,并使对应垂直沟道的传输势阱处于高电荷占据状态;仅当这一垂直沟道内的传输势阱进一步被灌满并发生满阱溢出时,才会出现沿沟道级联扩展的第二类串扰现象。

第三类串扰现象的特征为:

(1) 整体图像背景灰度整体抬升,呈现明显的面状亮度增益;

(2) 在多行像元中出现较为均匀、灰度平稳的行向亮带;

(3) 沿水平方向以饱和列为中心,亮度在其附近最高,向两侧逐渐减弱,呈现光晕面串扰分布。

当入射激光功率密度继续增加,光斑饱和与串扰区域进一步扩展,最终导致CCD有效绝大多数甚至全像元势阱以及垂直、水平传输沟道中的势阱均被填满,器件进入全饱和状态。此时,输出灰度在全视场范围内普遍接近饱和值,图像对比度几乎完全丧失,目标与背景信息无法分辨,从功能上等效于对CCD成像系统实现瞬时致盲。

3. 仿真过程研究

为了简化模型降低计算难度,本文将CCD仿真部分划分为光电转换区和VCCD两个部分进行模拟。

3.1. 光电转换区仿真研究

本节设计了CCD光电转换区的二维数值模型,模型总长度 W pixel ,氧化层厚度为 H OX P 型硅衬底厚度为 H Si 掺杂浓度为 N Sub ,并将衬底接地;在硅表面下方掺杂一个浓度 N n 结深 H y 的N型沟道,模型初始化的漏极电压为 V d ,栅极电压为 V g ,漏极低电压 V S ,光生载流子生成率 I light ,具体参数如表1所示。

Table 1. Specific parameters of the photodiode region

1. 光电转换区具体参数

参数

数值(单位)

参数

数值(单位)

W pixel

10 μm

N n

1.5e16 cm3

H OX

0.1 μm

V d

15 V

H Si

20 μm

V g

2 V

H y

0.5 μm

V S

4 V

N Sub

3e15 cm3

I light

1e22 cm3 s-1

在COMSOL Multiphysics中,建立二维沟道结构模型并导入参数与公式,设置模型初始条件、边界条件并对网格进行划分,网格划分图如图5所示,仿真为瞬态分析过程。

3.1.1. 光电转换区模型初始化

在建模与网格划分后,需要对模型进行初始化设置和加载适当工作电压。在初始化过程中,需要在N型沟道施加适当的漏极电压,漏极电压必须足够高,使得PN结和金属接触形成的耗尽区宽度能够完全覆盖整个像元宽度。在仿真过程中,从5 V开始扫描到25 V。观察到在15 V时,沟道中心电子以基本排空,故选15 V为漏极电压。为辅助排空,栅极应施加低电压或负电压。负电压会对沟道电子产生静电排斥作用,抬高沟道电势能,使电子更容易流向高电势的漏极。仿真表明,加载−5 V的负栅极电压可加速排空,但在15 V的漏极电压下,加载0 V栅极电压足够辅助排空,故选初始化过程中栅极电压为0 V,初始化结束后电子浓度如图6所示。

在初始化结束后,需要调节栅极电压以确保光电转换区可以正常工作。栅极电压必须高于初始化

Figure 5. Meshing diagram of the photodiode region

5. 光电转换区网格划分图

Figure 6. Electron concentration distribution of the photodiode region after initialization

6. 光电转换区初始化后电子浓度图

过程中的0 V,以形成存储光电子的势阱。栅极电压不能过高,垂直电压过强会将电子吸附到硅与二氧化硅交界面,导致器件退化为表面沟道CCD,引入界面态噪声并降低传输效率,为了成功锁住电子,防止电子溢出引入漏极低电压 V S ,通过多次调试最终选定栅极电压和漏极低电压分别为 V g = 2 V, V S = 4 V。

3.1.2. 光电转换区仿真结果

在恒定光照辐照下,光生电子在电场作用下迅速向势能最低点漂移并聚集。图7展示了积分进行至3 μs时的二维电子浓度分布。可以看到高浓度的电子电荷包被限制在 N 型沟道的中心区域,且未与左右两侧的漏极接触,表明栅极与漏极的电位配置实现了电荷的横向限制。

Figure 7. Electron concentration distribution after 3 μs integration

7. 积分3 μs后电子浓度图

为进一步验证器件“埋沟”工作模式,提取了像元中心沿深度方向的一维导带能级分布,如图8所示。从图中可以看出,势阱的最低点位于表面约0.4 μm的深度,而非硅表面,再一次证明了器件工作在埋沟模式,并且可以看出在积分时间 t exp =10 μs 时,坑底被抬高了4 V,这说明沟道里已经填充了电子。

通过对N型埋层区域内的电子总数进行全局积分,得到电子数量随积分时间变化的响应曲线,如图9

从图中可以看出0~2.5 μs电子数量随时间线性增长,表现出较好的光电线性度;随着势阱内积累的电子增多,自感应电场抵消了部分栅极电势,导致势阱变浅,当积分时间超过3.5 μs,曲线趋于平坦,此时存储的电荷量达到满阱电荷量。

3.2. VCCD仿真研究

基于CCD的像元结构,可以把CCD像元分为光电二极管部分与沟道截面两个独立的模型进行分析。其中,光电转换区载流子的产生和存储过程在上一节的仿真中完成模拟,本节将针对其转移过程进行模拟。

本节设计了VCCD沟道截面的二维数值模型。沟道中的信号电荷本应该来源于光电二极管,但为了简化模型便于分析,因此假设信号电荷直接由激光辐照产生。

Figure 8. Comparison of conduction band energy levels after 10 μs integration and initialization

8. 积分至10 μs与初始化后导带能级对比图

Figure 9. Response curve

9. 响应曲线

垂直转移沟道二维几何结构如图10所示,模型总长度为 L tot ,栅深度为Dsi,单个栅极长度为 L g ,栅间隙为 L 0 ,每三个转移栅构成一个完整像元,整个模型共五个像元,激光源加到 G 4 G 5 G 6 三个栅极构成的像元2上。模型的衬底为掺杂浓度为 N A 均匀掺杂的 P 型硅基底,并将衬底接地;在硅表面下方掺杂一个高斯型分布结深为 d ,掺杂浓度为 N D N 型沟道;在硅表面上方镀一层厚度为 d 0 Si O 2 氧化层,除金属电极外,其余外边界均为绝缘边界,栅极电压分别由高压 V g 和低压 V l 控制,模型初始化电压为 V b ,入射光功率为 P ,硅表面反射率为 R ,参数如表2所示。

Figure 10. Two-dimensional geometric structure of the vertical transfer channel

10. 垂直转移沟道二维几何结构图

Table 2. Specific parameters of the VCCD

2. VCCD具体参数

参数

数值(单位)

参数

数值(单位)

L tot

52 μm

V g

5 V

Dsi

10 μm

V l

−12 V

L g

3 μm

V b

25 V

L 0

0.05 μm

N A

3.5e15 cm3

d

0.8 μm

N D

8e16 cm3

d 0

0.075 μm

R

0.3

在COMSOL Multiphysics中,建立二维沟道结构模型并导入参数与公式,设置模型初始条件、边界条件并对网格进行划分,网格划分图如图11所示,仿真为瞬态分析过程。为降低计算复杂程度,本模型忽略防饱和溢出结构和重叠栅极,采用薄绝缘栅极模型代替具有一定厚度的金属栅极。

Figure 11. Mesh generation map

11. 网格划分图

3.2.1. 仿真模型初始化设置

在建模与网格划分后,需要对模型进行初始化并选择适当的工作电压。在初始化过程中,需要在两个高掺杂的 N + 区施加适当的初始化电压 V b ,使得 N 沟道中的电子几乎完全耗尽,形成具有电荷存储能力的耗尽区,模型耗尽区如图12所示,可以看到沟道中几乎没有电子存在,显示为正电性,符合模型初始化预期。

Figure 12. Electron concentration distribution after initialization

12. 初始化后电子浓度图

Figure 13. Structure diagram of the CCD channel

13. CCD沟道结构图

在完成模型初始化后,需要调整栅极电压以确保沟道可以正常工作。根据图13,当栅极电压升高时,厚度为 d 1 的耗尽区缩小,厚度为 d 2 的耗尽区扩张,当 d 2 扩张到硅表面时,CCD工作模式由BCCD变为SCCD;当栅极电压降低时, d 1 扩张, d 2 缩小, d 1 扩展到整个 N 型沟道,存储电荷的势阱消失;需要指出,由于仿真模型与实际器件之间在组成结构、掺杂工艺等方面存在差别,因此直接采用实际工作电压可能会导致,模型无法正常工作。因此,在软件中调整并选择合适的工作电压是有必要的,经过多次仿真调制,最终选取栅极高压和栅极低压分别为 V g =2V V l =1V 。在加载激光前,在每个像元的中间栅极加载栅极高压使其下方形成势阱相,用以储存电荷,左右两个栅极加载栅极低压使其下方形成势垒相,用以限制信号电荷的移动,势垒和势阱的纵向电势分布图14所示。电势最大值出现在 0.4μm 处,此深度处的横向电势分布如图15所示,其中 G 2 G 5 G 8 G 11 G 14 为势阱位置,用于存储模型载流子,符合模型预期。

Figure 14. Longitudinal potential distribution of potential wells and barriers

14. 势阱与势垒纵向电势分布图

Figure 15. Transverse potential distribution of potential wells and barriers

15. 势阱与势垒横向电势分布图

3.2.2. 仿真模型仿真结果

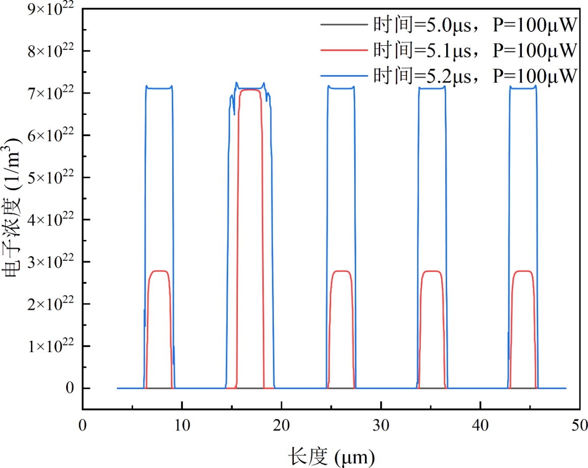
仿真模型激光设置为1064 nm,对模型施加100 μW的激光功率,在不同辐照时间下,激光辐照位置模型纵向电子浓度分布如图16

根据图16可以看到,当激光功率为100 μW时,在辐照时间为5 μs、5.1 μs和5.2 μs,电子浓度逐渐增多,且从图中可以看出当辐照时间为5.2 μs时,电子溢出势阱,符合模型预期。

当辐照时间为5.1 μs时,激光功率分别为0.1 μW、10 μW、100 μW时,辐照位置 G 5 电子浓度随激光功率的变化如图17。由图可以看出随激光功率的增加电子浓度逐渐增加,符合模型预期结果。

Figure 16. Variation of electron concentration under different irradiation times

16. 不同辐照时间下电子浓度变化图

Figure 17. Electron concentration distribution under different laser powers

17. 不同激光功率下电子浓度图

4. 实验研究

本实验为研究1064 nm连续激光对行间转移型CCD的干扰效应,实验所用激光器为1064 nm功率可调的固体激光器,激光输出功率为0~600 mW。在前人所做1064 nm波长激光的实验研究中得知其饱和功率密度阈值通常在微瓦级别,因此需要衰减系统来获得所需激光功率范围,实验中采用ND = 3.0的衰减片来衰减激光功率,根据ND值与透过率T的对数关系 T= 10 ND ×100% ,得到透过率为0.1%,通过索雷博PM200功率计来测量激光功率,量程范围为50 nW~50 mW,波长范围为400~1100 nm。实验所用CCD为迈德威视MV-GED130M-T工业相机,其感光芯片为1/3英寸Sharp RJ33J3AA0DT。

4.1. 实验装置

实验装置如图18所示,激光束通过衰减片进行功率调节,随后由分光镜分为两路:一路用于入射功率计探头,用于实时检测激光功率;另一路经聚焦透镜后聚焦于CCD进行干扰,CCD收集到的图像信息通过计算机实时接收并储存。

Figure 18. Experimental setup diagram

18. 实验装置图

为最大限度降低环境光干扰,实验于全暗室内进行,确保CCD仅接受激光源辐照。整个光路系统经精确校准,使激光束聚焦入射于CCD感光面中央区域。通过逐级调节激光功率,记录CCD响应图像的演化过程,以分析从线性响应至全屏饱和的典型干扰行为。

4.2. 入射光斑参数的测量与标定

准确获取入射激光在CCD靶面上的光斑尺寸与能量分布,是研究CCD干扰机理的关键前提。为了精确定量入射激光的有效直径,实验采用基于成像法的光斑分析系统进行测量,并针对激光辐照实验中可能出现的图像饱和及环境杂散光干扰问题,提出了一种基于灰度加权质心与连通域分析的图像处理算法。

实验采用迈德威视MV-GED130M-T工业相机进行光斑采集,像元尺寸为 3.75×3.75 μm 。在测量过程中,通过调节激光功率,使光斑中心灰度值处于相机线性响应区,以保证信噪比。

原始采集图像 I raw ( x,y ) 包含环境背景噪声及暗电流噪声。首先选取图像边缘非光照区域背景基底噪声均值 N bg ,并对全图进行背景扣除处理得到净信号图像 I net ( x,y )

I net ( x,y )=max( 0, I raw ( x,y ) N bg )

本文对 I net 进行自适应阈值二值化,并利用形态学连通域标记算法,提取图像中面积最大的连通区域作为主光斑区域 R main ,从而剔除周围离散的反射杂光干扰。

R main 区域内,采用灰度加权质心法计算光斑的几何中心 ( x c , y c ) 。该方法利用像素灰度值作为权重,有效克服了光斑中心饱和导致的定位模糊问题,计算公式如下:

x c = ( x,y ) R main x I net ( x,y ) ( x,y ) R main I net ( x,y ) , y c = ( x,y ) R main y I net ( x,y ) ( x,y ) R main I net ( x,y )

通过提取经过质心 ( x c , y c ) 的水平截面光强分布曲线。定义光斑直径 D 为光强下降至峰值 1/ e 2 处的宽度。利用线性插值算法精确计算截面曲线与 1/ e 2 阈值的亚像素交点坐标。

光斑测量结果如图19所示。经计算,实验所用入射激光在 1/ e 2 标准下的有效直径为 424.18 μm ,记为D。该测量值为后续开展的激光辐照实验提供了准确的参数依据。

Figure 19. Spot measurement results

19. 光斑测量结果图

4.3. 1064 nm连续激光辐照下光斑饱和现象研究

4.3.1. 单像素饱和研究

实验中通过调节激光功率,观察到激光功率 P in =83 nW 时的干扰图像,如图20所示。需要注意的是,本实验虽在暗室中进行,但由于激光过强,光束打到光学系统由于散射或二次反射。这些散射光照射到黑色框架上,使其被相机捕捉到。

Figure 20. Saturated spot analysis diagram

20. 饱和光斑分析图

实验结果显示,当激光功率密度超过CCD线性工作范围时,光斑中心区域的像元势阱被光生电荷迅速填满。如图20(b)所示,受干扰区域的输出灰度值均达到量化上限(255),呈现出显著的灰度拉平特征。这种现象表明,随着激光能量向光斑边缘扩展,大部分像元进入满阱饱和状态,导致局部对比度骤降为零,目标与背景的细节特征完全被强干扰信号淹没。实验观测到的局部干扰区域验证了光斑饱和机理:即通过势阱饱和效应实现对视场局部区域信息的强效遮蔽,而视场边缘区域受影响较小。

结合实测光斑有效直径424.18 μm,计算得到光斑中心峰值功率密度阈值为 0.117  mW/ cm 2 ,该指标将作为衡量后续实验中激光过饱和程度的归一化物理基准。

4.3.2. 第一类串扰现象研究

激光功率为3.2 μW时出现串扰图像如图21(a)所示,由图21(b)所示的A处灰度值可以看出光斑中心已经达到饱和状态,此外,由图21(c)所示的B处灰度值可以看出,串扰线宽度均匀分布,同列串扰线的灰度值接近,并且灰度均未达到饱和。通过数据分析这一现象,是由于光斑中心产生的光生电荷量远超收集势阱的满阱容量,在光电转换与垂直转移同步进行的过程中,过剩载流子无法被有效束缚,从而直接溢出至相邻的垂直转移势阱中形成叠加。此实验结果符合上文阐述的第一类串扰特征,即信号电荷溢出源于光电二极管收集势阱,导致串扰线穿过饱和区、宽度均匀且在纵向上呈现非饱和的灰度抬升。

Figure 21. Image analysis of the first type of crosstalk

21. 第一类串扰图像分析图

此外,受面阵CCD读出时序中垂直消隐期的影响,载流子溢出的发生时刻将决定串扰线的空间分布特征:若溢出发生于消隐期初段,串扰线主要显现于饱和光斑上游;若发生于末段,则主要显现于下游。

4.3.3. 第二类串扰现象研究

随着入射激光功率密度的进一步提升,实验观测到的串扰形态发生了显著质变。如图22(a)所示,当激光功率达到0.88 mW时,穿过光斑中心的垂直条纹演变为一条贯穿视场的高亮宽带,其亮度极值区域在垂直方向上显著拉长。

结合图22(b)的A处灰度值分析,该垂直串扰带内的像素灰度值分布呈现出完全的硬饱和特性。不同于第一类串扰中观察到的非饱和灰度抬升,此时垂直沟道下游区域的灰度值几乎达到饱和。这一数值特征表明,垂直转移沟道内部的信号电荷状态已发生根本性改变:传输势阱内的载流子积累量已完全超过其最大存储容量。

根据前述现象分析,该现象验证了垂直沟道满阱级联溢出效应。即在强激光持续注入下,垂直传输势阱内的电荷浓度剧增,导致相邻势阱间的电势壁垒被“淹没”而失去隔离作用。多余的信号电荷因此突破势垒限制,沿垂直沟道从首端向末端发生大规模的级联迁移。

Figure 22. Analysis of the second type of crosstalk

22. 第二类串扰现象分析图

4.3.4. 第三类串扰现象研究

实验结果表明,随着激光功率的提升至2.4 mW,CCD成像系统的串扰形态发生了根本性演变,出现了典型的第三类串扰特征。如图23(a)所示,图像不再局限于垂直方向的条纹,而是呈现出以饱和列为中心的弥散状光晕,且非光斑区域的背景亮度出现了肉眼可见的显著增强。

为了验证这一现象的物理机理,对远离光斑中心的背景区域A,进行了灰度值采样分析。如图23(b)所示,该区域像元的灰度值分布在104至146之间,平均灰度值约为127。这一数值远高于传感器在无光照条件下的暗电平如图23(c)所示,证实了视场范围内的背景灰度发生了整体性抬升。

Figure 23. Analysis of the third type of crosstalk

23. 第三类串扰现象分析图

结合第三类串扰机理分析,该现象的产生原因是由于垂直转移沟道内的势阱在极高光强下发生大范围饱和,导致过剩载流子不仅在垂直方向级联溢出,更进一步溢出至水平读出寄存器。当多个垂直沟道同时发生此类溢出时,这种行向扩散效应在整个面阵上累积,最终导致了实验观测到的视场背景亮度非正常抬升及面状串扰分布。

通过图像处理技术提取了饱和像素比例随功率的变化图24。可以看出,在104 mW附近饱和像素比例几乎为零;当激光功率提升到103~102 mW时,饱和像元比例陡然上升,由不足10%快速跃迁至100%,说明在该功率区间CCD从线性成像状态转变为全场饱和状态。之后即使继续增加激光功率,饱和比例仍维持在约100%,表明感光器件的动态范围已完全被占满,对更高辐照功率不再敏感。

Figure 24. Saturated pixel ratio vs. power curve

24. 饱和像素比例-功率曲线图

5. 结论

本文结合微观物理仿真与宏观实验测试,系统揭示了1064 nm连续波激光辐照下行间转移型硅基面阵CCD的多级串扰演化规律与底层物理机理。研究通过构建光电转换区及垂直转移沟道(VCCD)的二维有限元数值模型,动态重现了势阱满载后光生载流子的级联溢出过程,并借助图像处理算法对采集的实验数据进行定量提取,明确了随着入射激光功率密度的提升,干扰效应由单像元饱和依次向第一类(纵向非饱和灰度拖尾)、第二类(贯穿视场的高亮宽带)乃至全视场致盲的第三类串扰非线性递进的规律,从而实现了宏观干扰图像特征与微观内部电荷传输失效机制的深度统一,为光电探测系统的抗激光干扰效能评估与防护设计提供了坚实的支撑。

NOTES

*通讯作者。

参考文献

[1] 张震. 可见光CCD的激光致眩现象与机理研究[D]: [博士学位论文]. 长沙: 国防科学技术大学, 2010.
[2] 王世勇. 激光对CCD探测器干扰损伤的研究及模糊评估[D]: [博士学位论文]. 长春: 中国科学院研究生院(长春光学精密机械与物理研究所), 2002.
[3] 王金宝. 激光辐照可见光面阵Si-CCD探测器实验研究[D]: [硕士学位论文]. 长沙: 国防科学技术大学, 2003.
[4] 张检民, 张震, 冯国斌, 等. 行间转移型CCD激光干扰效应阈值估算方法[J]. 光学学报, 2015, 35(3): 186-192.
[5] 王玺, 聂劲松, 李化, 等. 1064 nm高重频激光对可见光CCD探测器的干扰实验[J]. 红外与激光工程, 2013, 42(S2): 387-390.
[6] 于程浩, 叶继飞, 常浩, 等. 连续激光辐照面阵CCD串扰现象时空分布特性[J]. 激光杂志, 2023, 45(6): 39-43.
[7] 舒平. CCD图像传感器像元建模与仿真[D]: [硕士学位论文]. 成都: 电子科技大学, 2009.