Fe基纳米晶的高性能磁流体研究
Study on High-Performance Fe-Based Nanocrystals Magnetorheological Fluids
DOI: 10.12677/app.2026.164022, PDF, HTML, XML,    国家自然科学基金支持
作者: 潘妍燕*, 袁 博, 苗蕴卿, 巴雅尔:沈阳工业大学理学院,辽宁 沈阳;李志杰#:沈阳工业大学理学院,辽宁 沈阳;辽宁省复合金属纳米材料与磁性技术重点实验室,辽宁 沈阳
关键词: 磁流变液Fe基机械合金法饱和磁化强度热稳定性粘度Magnetorheological Fluids Fe-Based Mechanical Alloying Method Saturation Magnetization Thermal Stability Viscosity
摘要: 为优化磁流变液的热稳定性与磁学性能,采用机械合金法制备Fe基软磁合金纳米晶粒子,经表面改性后与高粘度载液混合,通过搅拌与热处理获得具有高磁性能与热稳定性的磁流变液。用X射线衍射仪分析磁性粒子的物相;扫描与透射电子显微镜观察磁性粒子的微观形貌特征;振动样品磁强计测试磁流变液的磁滞回线参数;并利用旋转粘度计评估磁流变液的粘度变化及热稳定性。结果表明:在两种磁流变液体系中,Fe70Ni12B14Si4纳米晶粒子饱和磁化强度(Bs) 165.78 emu/g,剩磁(Br) 7.29 emu/g,矫顽力(Hcb) 10.63 kA/m;Fe82B14Si4的Bs为160.19 emu/g,Br为6.98 emu/g,Hcb为11.19 kA/m。经表面改性后,两种合金纳米晶粒子的磁性能均出现小幅下降。无论是改性前还是改性后,Fe70Ni12B14Si4粒子的饱和磁化强度与剩磁均高于Fe82B14Si4粒子。表明其所含Ni元素可有效增强合金的磁性能。随着磁性粒子质量分数的增加,两种磁流变液的磁性能显著提升,而粘度则随温度升高呈逐渐下降趋势。在25℃下,当磁性粒子的质量分数为35%时,Fe70Ni12B14Si4磁流变液Bs为75.60 emu/g;Br为7.35 emu/g;Hcb为9.18 kA/m;粘度为7.56 × 104 mPa·s;Fe82B14Si4磁流变液Bs为60.91 emu/g;Br为7.05 emu/g;Hcb为8.51 kA/m;粘度为7.08 × 104 mPa·s。该磁流变液具有较高的磁性能和优异的热稳定性,为高性能磁流变液材料提供了重要依据。
Abstract: To optimize the thermal stability and magnetic properties of magnetorheological fluids, Fe-based soft magnetic alloy nanocrystals were prepared using the mechanical alloying method. After surface modification, they were mixed with a high-viscosity carrier liquid, and through stirring and heat treatment, magnetorheological fluids with high magnetic performance and thermal stability were obtained. The phase of the magnetic particles was analyzed using X-ray diffraction; the microscopic morphology characteristics of the magnetic particles were observed with scanning and transmission electron microscopes; the hysteresis loop parameters of the magnetorheological fluid were tested using a vibrating sample magnetometer; and a rotational viscometer was used to evaluate the viscosity changes and thermal stability of the magnetorheological fluid. The results showed that in two magnetorheological fluid systems, Fe70Ni12B14Si4 nanocrystals had a saturation magnetization (Bs) of 165.78 emu/g, remanence (Br) of 7.29 emu/g, and coercivity (Hcb) of 10.63 kA/m; Fe82B14Si4 had a Bs of 160.19 emu/g, Br of 6.98 emu/g, and Hcb of 11.19 kA/m. After surface modification, the magnetic performance of both alloy nanocrystals showed a slight decrease. Regardless of whether they were modified or not, the Fe70Ni12B14Si4 particles had higher saturation magnetization and remanence than the Fe82B14Si4 particles, indicating that the Ni element effectively enhances the alloy’s magnetic performance. With the increase in the mass fraction of magnetic particles, the magnetic properties of both magnetorheological fluids were significantly improved, while the viscosity gradually decreased with increasing temperature. At 25˚C, when the mass fraction of magnetic particles was 35%, the Fe70Ni12B14Si4 magnetorheological fluid had Bs of 75.60 emu/g, Br of 7.35 emu/g, Hcb of 9.18 kA/m, and viscosity of 7.56 × 104 mPa·s; the Fe82B14Si4 magnetorheological fluid had Bs of 60.91 emu/g, Br of 7.05 emu/g, Hcb of 8.51 kA/m, and viscosity of 7.08 × 104 mPa·s. These magnetorheological fluids possess high magnetic performance and excellent thermal stability, providing an important basis for high-performance magnetorheological fluid materials.
文章引用:潘妍燕, 李志杰, 袁博, 苗蕴卿, 巴雅尔. Fe基纳米晶的高性能磁流体研究[J]. 应用物理, 2026, 16(4): 228-241. https://doi.org/10.12677/app.2026.164022

1. 引言

磁流变液是一种由磁性粒子、基载液以及表面活性剂共同组成的胶体体系[1],它独特之处在于同时具备液体的流动性和固体磁性材料的磁性。在没有外加磁场时,它就像普通的液体一样;一旦施加磁场,表面结构发生变化并受外磁场控制。Fe基磁流变液因来源广、成本低等优势,成为磁流变液研究的核心方向之一[2],其在外加磁场作用下可快速响应[3],拥有传感[4]、密封[5]、阻尼[6]、润滑[7]等独特的性能。其应用已广泛覆盖航空航天、机械工程[8]、能源[9]、生物医药、密封器件等,而在密封等领域,磁流变液密封技术[10]尤为重要。磁流变液密封技术通过将固体的磁性粒子与液体的流动性相结合,解决了传统密封技术中的诸多难题。随着新材料和新设计的不断涌现,这项技术有望在更广泛的领域展现其应用价值。因此,如何筛选与设计高性能磁性粒子,是制备先进磁流变液的关键,亦是当前的研究热点[11]。通过非晶前驱体结晶[12]获得的具有较高的磁性能和较低的矫顽力铁基纳米基软磁合金是现在主流的方法[13] [14]。Suzuki等人[15]以Fe-M-B (M = Zr/Hf/Nb/Ta等)合金为NANOPER合金,因其具有较高的Fe含量,故饱和磁感应强度较高,Zr等元素虽能有效优化磁流变液的分散稳定性、抗沉降性及磁响应灵敏度,但其本身天然储量稀缺、提纯工艺复杂导致价格昂贵,大规模量产时原料采购成本占比过高,且难以通过低成本替代方案实现同等改性效果,因此其在磁流变液规模化制备与产业化应用中受到严格限制。Willard等人发现[16]以(Fe, Co)-B-M-Cu (M = Zr/Hf/Nb/Ta等)非晶纳米晶合金体系为HITPERM合金,其饱和磁感应强度(Bs)高,并兼具高磁导率与低磁损的优点。采用此类Fe基非晶/纳米晶磁性粒子制备的磁流变液,通常表现出更高的磁性能、更低的矫顽力及更好的稳定性[11]。Nastb等人[17]以直接快淬法制备的Fe80B10Si8Nb1Cu1非晶纳米晶合金具有高饱和磁化与低矫顽力。Pan等人[18]-[20]指出,Ni加入Fe-Si-B后优先占据Fe-Si团簇,通过Ni-Si排斥作用使Si向α-Fe(Si)固溶,加速其形核长大并抑制Fe-B相;同时,Ni添加引起的晶格收缩可降低磁晶各向异性,从而使矫顽力显著下降,软磁性能提升。在非晶及纳米晶合金体系中,Si元素的引入可固溶于非晶基体,形成体心立方(bcc)结构的α-Fe(Si)固溶体相,该相既能有效降低合金的磁致伸缩系数,又可显著提升其磁导率[21]。用化学共沉淀法制备的Mn掺杂钆铁氧体氟醚油基磁性液体具有稳定的磁性能、较高的耐温性和良好的稳定性[22]。Wang [23]等人的研究表明,添加Ni可将合金过冷液相区从49 K升高至75 K,同时提升合金的热稳定性与软磁性能。FeNi合金(如坡莫合金)具有高饱和磁化强度、低矫顽力及优异的温度稳定性,将其与Fe复合可通过“协同磁效应”提升粉末磁性能[24]

本论文采用机械合金法成功制备含有B、Si,Ni的Fe基软磁合金粉末,来改善以上不足之处,其中添加Ni元素可降低成本。使用油酸和煤油混合溶液为表面活性剂,进行磁性粒子表面改性。将改性后的粒子放入由高真空硅脂、7501活性剂与高粘度硅油组成的基载液中,制备出以Fe基软磁合金为磁性粒子的磁流变液。探究了Fe基软磁合金粒子磁流变液的磁性能、流变性能以及热稳定性等性能。

2. 实验方法

2.1. 实验原料

所用实验原料见表1

Table 1. Experimental materials and reagents

1. 实验原料及试剂

材料与试剂

规格/纯度

生产厂家

铁粒

99.90%

沈阳市鑫科实验用品

镍粒

99.99%

沈阳市鑫科实验用品

Si-Fe合金(Si含量)

75%

沈阳市鑫科实验用品

B-Fe合金块(B含量)

20%

沈阳市鑫科实验用品

油酸(C18H34O2)

分析纯

天津市大茂化学试剂厂

煤油(C15H32)

分析纯

天津市大茂化学试剂厂

无水乙醇(C2H6O)

分析纯

天津市富宇精细化工有限公司

高真空硅脂

295-3

摩润油脂有限公司

硅油

高粘度

摩润油脂有限公司

活性剂

7501

重庆市佐成油业有限公司

2.2. 磁性粒子的制备

为制备出Fe70Ni12B14Si4和Fe82B14Si4两种合金磁性粒子,首先依据其化学计量比计算所需各原料的质量。使用AL-104型电子分析天平准确称量各原料,使每批次合金总质量为25 g。将称量好的原料置于VSD-450型高真空电弧熔炼炉中。在0.05 MPa氩气保护气氛下进行熔炼,并利用磁力搅拌器辅助搅拌,反复熔炼数次以确保成分均匀。随后,将熔炼得到的合金锭封装在石英管中,经真空封管机封好管后放入马弗炉里面进行固熔处理。固熔后的合金锭通过熔炼炉配套的高真空甩带喷铸系统制成条带状非晶带材。将获得的非晶带材封装于石英管中,进行真空封结后,置于马弗炉中进行热处理。将该合金带材置于GN-2型高能球磨机中,以乙醇为研磨介质,按球料比10:1及大中小球直径为10 mm、8 mm、3 mm的配比为5:4:3,在转速为70 r/min下分别球磨8 h,12 h,16 h,探究粒径对磁性能的影响。球磨完成后,将球磨罐置于60℃真空干燥箱中干燥12 h。随后在充氩手套箱中取出粉末,过筛后得到最终所需的合金粒子。

2.3. 磁性粒子的表面改性

图1,将油酸与煤油按体积比2:1混合、搅拌均匀,置于60℃水浴中保温30分钟。将制备的合金粒子缓慢加入该溶液中,随后用玻璃棒手动搅拌30分钟,以初步打散团聚体,确保粒子充分浸润。然后将混合体系转移至KQ-100型超声波清洗器中,于60℃下超声处理2 h,使合金粒子充分分散。再移入HH-1型数显恒温水浴锅中,在60℃下机械搅拌4 h,使油酸分子在粒子表面完成充分吸附与包覆。随后停止搅拌待溶液静置值室温后倒掉多余的液体。再放入DZF-6050型真空干燥箱内,在200℃恒温下真空干燥2 h,再于65℃下真空干燥12 h,对干燥好的样品手动研磨2h,最终获得表面改性的、分散性良好的合金粒子。Fe基粉末遇水易氧化生锈,油酸包覆全程需保持器具干燥,体系无水残留。

Figure 1. Flowchart of surface modification of magnetic particles

1. 磁性粒子表面改性流程图

2.4. 磁流变液的制备

表2中4组质量分数比例,先取高真空硅脂、7501活性剂与高粘度硅油,置于30℃恒温环境中,通过机械搅拌2h充分混合,确保油相体系均匀;随后加入经表面改性的合金粒子,继续机械搅拌2 h,使其与溶液充分混合,保证粒子均匀分散,制得图2中稳定的磁流变液;图2(a)为静止状态下的磁流变液,图2(b)为添加磁场条件下的磁流变液,出现针尖状。

Table 2. Content of each component in the ferrofluid

2. 磁流变液各成分含量

组别

合金粒子

高粘度硅油

7501活性剂

高真空硅脂

A

20%

40%

15%

25%

B

25%

40%

15%

20%

C

30%

40%

15%

15%

D

35%

35%

15%

15%

Figure 2. Prepared magnetic fluid (a) without magnetic field, (b) with magnetic field

2. 制备的磁流变液(a) 未加磁性状态,(b) 加磁性状态

2.5. 测试与表征

采用以下设备对样品进行表征:利用MiniFlex-600型X射线衍射仪(XRD)分析磁性粒子的物相组成;采用BKT-4500Z型振动样品磁强计(VSM)测磁性粒子和磁流变液的磁滞回线;通过激光粒度仪测出合金粒子的粒径分布。使用RM100T型旋转粘度计测量磁流变液的粘度,并考察其随温度的变化规律;用扫描电子显微镜(SEM)观察样品表面形貌;透射电镜(TEM)观察样品微观形态。

3. 结果与讨论

3.1. 粉体的表征

利用XRD对所制备的两种软磁合金粒子进行物相分析,结果如图3所示,两种样品的主衍射峰位于2θ ≈ 44.67˚处。该峰为α-Fe相(110)面的衍射角,而与Fe3Si相的衍射峰相近,说明合金中Fe-Si团簇优先形成晶核。在2θ ≈ 65˚处观察到的次强峰,归属α-Fe的(200)晶面。此外,在2θ ≈ 45˚附近检测到一弱衍射峰,与Fe2B相的(002)晶面匹配,表明熔炼过程中FeB有部分与Fe再结合形成Fe2B化合物。图3(a)所示的是Fe70Ni12B14Si4样品,Ni元素的引入对衍射峰产生了进一步影响。与图3(b)所示Fe82B14Si4样品相比,其主衍射峰进一步向高角度方向偏移,Ni的引入导致引起的晶粒细化,使衍射峰宽化。Fe与Ni的原子半径相近(分别为126 pm与124 pm),这种适度的尺寸错配有利于形成固溶体。对比改性前后的XRD图谱,改性后样品的各特征衍射峰位置未发生明显变化,且未检测到油酸分解或其他杂质的衍射峰。这表明表面改性处理并未改变合金粒子的核心晶体结构。然而,改性后衍射峰的强度普遍减弱,同时半高宽有所增加。根据XRD原理,衍射峰强度与结晶度相关,而半高宽与晶粒尺寸和微观应变有关。将两种改性前后的合金利用谢乐公式推算出晶粒尺寸,Fe70Ni12B14Si4初始粒子晶粒大小为4.64 nm,改性后的为5.21 nm;Fe82B14Si4初始粒子晶粒大小为4.93 nm,改性粒子为5.63 nm。上述变化表明,表面改性过程引入油酸和煤油非晶相导致结晶度略有下降或非晶相成分增加。经XRD分析表明,表面改性处理主要在粒子表面产生吸附层,并未破坏其内部的晶体结构完整性,这为制备结构稳定的磁流变液奠定了重要的物相基础。

Figure 3. XRD spectra of the initial particles and modified particles (a) Fe70Ni12B14Si4 powder, (b) Fe82B14Si4 powder

3. 初始粒子与改性粒子的XRD谱(a) Fe70Ni12B14Si4粉末,(b) Fe82B14Si4粉末

3.2. 粉体的形貌

SEM形貌分析(图4(a)图4(d))表明,两种合金的初始粒子均呈不规则片状,表面粗糙,且因强磁相互作用而发生显著团聚,形成尺寸不一的颗粒簇,单独分散的粒子较少。经表面改性后,TEM图像(图4(c)图4(f))清晰显示,两种粒子表面均已成功构筑了一层致密的油酸包覆层。Fe70Ni12B14Si4合金粒子较Fe82B14Si4合金粒子包覆层更加均匀,这一差异与其表面包覆状态有关:Ni元素的引入增强了粒子表面与油酸分子的吸附能,致使Fe70Ni12B14Si4粒子表面的包覆层更为致密、均匀。

3.3. 粉体的粒径分布

通过激光粒度仪测出粉末粒径分布。根据图5图6可知,在不同球磨时间下,无论是初始粒子还是改性粒子,Fe82B14Si4合金粒子的粒径均大于Fe70Ni12B14Si4合金粒子。如图5(a)球磨时间为8 h、12 h、16 h的Fe70Ni12B14Si4初始粒子D50分别为10.12 μm、8.65 μm、6.82 μm;改性后粒子D50分别为11.49 μm、9.68 μm、7.42 μm;如图5(b) Fe82B14Si4初始粒子D50分别为10.85 μm、9.21 μm、7.24 μm;改性粒子D50分别为12.46 μm、10.66 μm、8.36 μm。表明球磨时间越长,粒径越小。图6为两种合金粉末在球磨8 h下的粒径分布,图6(a)图6(b)分别为Fe70Ni12B14Si4合金粉末的初始粒子和改性粒子,其中改性粒子D50为11.49 μm,增加了13.54%;图6(c)图6(d)分别为Fe82B14Si4合金粉末的初始粒子和改性粒子,其中改性粒子D50为12.46 μm,增加了14.84%。综上,改性粒子粒径增加初步表明包覆成功。

3.4. 粉体的磁性能

为探究磁性粒子的磁性能,采用VSM对不同球磨时间下表面改性前后的Fe70Ni12B14Si4与Fe82B14Si4两种合金粒子进行测试。根据图7可知,不管是初始粒子还是改性粒子,球磨时间为8 h的磁性能均高于球磨时间为12 h和16 h的合金粒子,且球磨时间越长,机械破碎作用越充分,粒子粒径越小。磁性粒子粒径减小时,粒子比表面积显著增大,表面原子占比升高。表面原子的磁矩因缺乏相邻原子的磁交换耦合,呈无序排列状态,导致有效磁化原子数减少,宏观上表现为BsBr下降。微观晶粒尺寸约为5 nm,属于单畴晶粒。但宏观团聚体尺寸减小会导致晶粒间界面增多,界面处原子磁矩同样无序,进一步削弱整体磁矩耦合,导致Bs下降。当球磨时间为8 h时,Fe70Ni12B14Si4粒子的测试结果如图8(a)所示,初始粒子其BsBrHcb分别为165.78 emu/g、7.29 emu/g和10.63 kA/m,经表面改性后,BsBrHcb

Figure 4. SEM and TEM images of alloy particles (a) Morphology of initial Fe70Ni12B14Si4 particles, (b) Morphology of modified Fe70Ni12B14Si4 particles, (c) Fe70Ni12B14Si4 modified particle TEM, (d) Morphology of initial Fe82B14Si4 particles, (e) Morphology of modified Fe82B14Si4 particles, (f) Fe82B14Si4 modified particle TEM

4. 合金粒子SEM及TEM图(a) Fe70Ni12B14Si4初始粒子形貌,(b) Fe70Ni12B14Si4改性粒子形貌,(c) Fe70Ni12B14Si4改性粒子TEM;(d) Fe82B14Si4初始粒子形貌,(e) Fe82B14Si4改性粒子形貌,(f) Fe82B14Si4改性粒子TEM

Figure 5. Particle size of alloy particles under different ball milling times (a) Fe70Ni12B14Si4 alloy particles, (b) Fe82B14Si4 alloy particles

5. 不同球磨时间下合金粒子的粒径(a) Fe70Ni12B14Si4合金粒子,(b) Fe82B14Si4合金粒子

Figure 6. Particle size distribution of alloy particles after 8 hours of ball milling: (a) Fe70Ni12B14Si4 initial particles, (b) Fe70Ni12B14Si4 modified particles, (c) Fe82B14Si4 initial particles, (d) Fe82B14Si4 modified particles

6. 球磨8 h时,合金粒子的粒径分布(a) Fe70Ni12B14Si4初始粒子,(b) Fe70Ni12B14Si4改性粒子,(c) Fe82B14Si4初始粒子,(d) Fe82B14Si4改性粒子

Figure 7. Magnetic properties of particles before and after modification with different ball-milling times: (a) Fe70Ni12B14Si4 initial particles, (b) Fe70Ni12B14Si4 modified particles; (c) Fe82B14Si4 initial particles, (d) Fe82B14Si4 modified particles

7. 不同球磨时间改性前后粒子的磁性能(a) Fe70Ni12B14Si4初始粒子,(b) Fe70Ni12B14Si4改性粒子,(c) Fe82B14Si4初始粒子,(d) Fe82B14Si4改性粒子

Figure 8. Magnetic properties of alloy particles after 8 hours of ball milling: (a) Fe70Ni12B14Si4 powder before and after modification, (b) Fe82B14Si4 powder before and after modification

8. 球磨时间为8h时,合金粒子的磁性能(a) Fe70Ni12B14Si4改性前后粉末,(b) Fe82B14Si4改性前后粉末

分别下降了约13.04%、17.28%和24.64%。Fe82B14Si4粒子的结果如图8(b)所示,其初始粒子BsBrHcb分别为160.19 emu/g、6.98 emu/g和11.19 kA/m,表面改性后,三者分别下降了约18.86%、12.46%和23.6%。尽管表面改性导致两种合金粒子的各项磁性能参数均出现一定程度的下降,但其仍保持了较高的Bs,表明其核心磁性能未被严重破坏。横向对比两种合金体系:改性前后,Fe70Ni12B14Si4粒子的BsBr均显著高于Fe82B14Si4粒子。同时,Fe70Ni12B14Si4的矫顽力也始终低于后者。Fe70Ni12B14Si4不仅在初始态具有更优的磁性能,其在改性后的磁性能降幅也普遍小于Fe82B14Si4。改性后粒子表面包覆油酸吸附层,宏观粒径增大,粒子间间距被包覆层撑开,磁偶极相互作用减弱,一定程度上缓解了磁矩抵消,但因其包覆层为非磁性相(油酸吸附层),稀释了磁性核心的占比,所以,磁性能会下降。而饱和磁化强度与原子磁矩密切相关,Ni的引入可缩小合金中Fe原子间的平均原子间距[25],其原子核外d层电子会影响Fe原子的电子云交换作用,从而改变Fe原子对的电子云重叠程度;由此产生的加和能促使相邻未抵消的原子磁矩趋于同向排列[26],最终提升Fe原子对的平均原子磁矩,实现饱和磁化强度的提升。

3.5. 磁流变液的表征

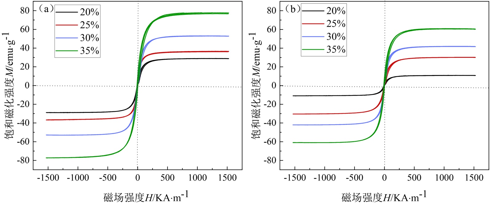
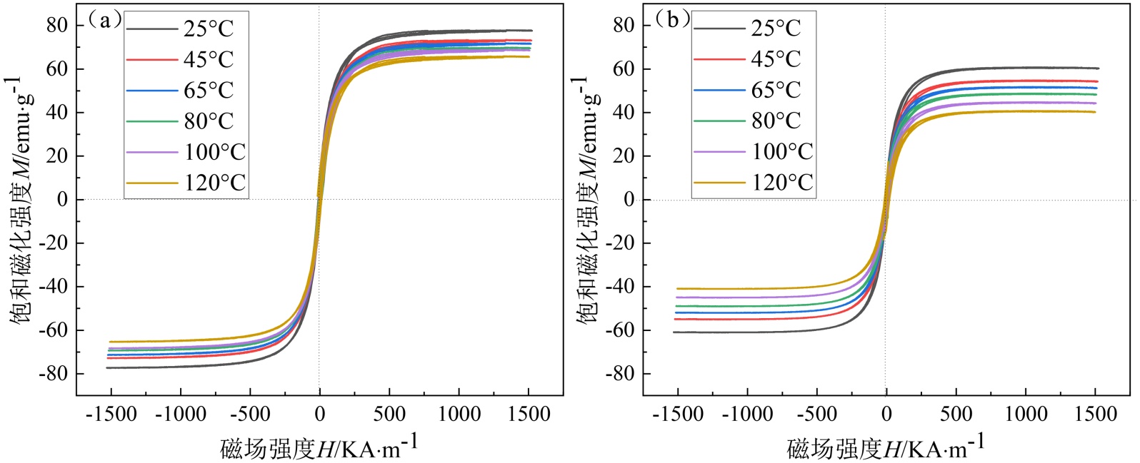
根据3.2中,当球磨时间为8 h时的磁性粒子磁性能最高,Fe70Ni12B14Si4磁性粒子Bs为165.78 emu/g,Fe82B14Si4磁性粒子Bs为160.19 emu/g,因此,选用球磨时间为8 h的磁性粒子制备磁流变液。由图9可知,Fe基合金磁流变液的磁性能随磁性粒子质量分数的增加而显著增强。这主要是由于更高浓度的磁性粒子提供了更多的磁矩,导致宏观磁化强度增加。图10表明,磁性粒子质量分数为35%时,两种磁流变液的饱和磁化强度均随温度升高而逐渐降低。但在同一温度下,Fe70Ni12B14Si4磁流变液的Bs值始终高于Fe82B14Si4磁流变液。如图11所示,磁流变液的BsBr均随磁性粒子质量分数的增加而单调递增。这表明磁性粒子的质量分数可调控磁流变液磁性能,含Ni体系在BsBr上均展现出系统性的优势,这表明Ni元素对增强合金内部磁矩耦合的积极作用。此外,两种体系磁流变液的矫顽力均保持在较低水平且变化平缓,表明所制备的材料兼具良好的磁响应能力和低磁滞损耗,这为其在对磁滞敏感的应用领域(如磁流变液密封)的潜在应用提供了性能基础。

Figure 9. Magnetic properties of different magnetic particle contents: (a) Fe70Ni12B14Si4 magnetic fluid, (b) Fe82B14Si4 magnetic fluid

9. 不同磁性粒子含量的磁性能(a) Fe70Ni12B14Si4磁流变液,(b) Fe82B14Si4磁流变液

Figure 10. Variation of magnetic properties with temperature when the magnetic particle content is 35%: (a) Fe70Ni12B14Si4 magnetic fluid, (b) Fe82B14Si4 magnetic fluid

10. 磁性粒子含量为35%时磁性能随温度的变化(a) Fe70Ni12B14Si4磁流变液,(b) Fe82B14Si4磁流变液

Figure 11. Variation of magnetic properties of ferrofluids with different particle contents (a) Fe70Ni12B14Si4 ferrofluid, (b) Fe82B14Si4 ferrofluid

11. 不同粒子含量磁流变液的磁性能变化(a) Fe70Ni12B14Si4磁流变液,(b) Fe82B14Si4磁流变液

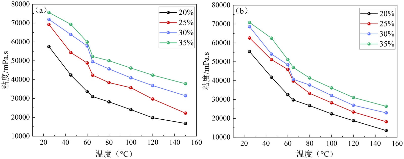
Figure 12. Variation of viscosity with temperature for different alloy particle contents: (a) Fe70Ni12B14Si4 magnetic fluid, (b) Fe82B14Si4 magnetic fluid

12. 不同合金粒子含量的粘度随温度的变化(a) Fe70Ni12B14Si4磁流变液,(b) Fe82B14Si4磁流变液

图12所示,两种磁流变液的粘度均随粒子质量分数的增加而单调上升。在25℃下,将粒子质量分数从20%提升至35%,Fe70Ni12B14Si4与Fe82B14Si4磁流变液的粘度分别显著增加了31.45%和27.80%,这直观体现了粒子浓度对体系粘度的决定性影响。当粒子质量分数达到35%时,Fe70Ni12B14Si4磁流变液在25℃下的粘度高达7.56 × 104 mPa·s。粘度的这种增长主要源于粒子浓度与内摩擦力的正相关性:更高的粒子浓度增加了粒子间碰撞与吸附的几率,同时也增强了粒子与基载液之间的流动阻力。温度是影响粘度的另一关键因素。如图12所示,两种磁流变液的粘度均随温度升高而整体下降,且下降过程呈现明显的两阶段特征:在低温区间(≤65℃),粘度下降迅速。例如,从25℃升至65℃,Fe70Ni12B14Si4与Fe82B14Si4磁流变液的粘度分别下降了约30.8%和33.8%。高粘度硅油的分子链在低温下呈缠绕状态,粒子间因磁引力易形成“链状团聚体”,内摩擦阻力大;温度升高时,硅油分子链运动能增加,缠绕解开,同时团聚体因热运动分散,内摩擦快速降低,因此粘度降幅显著;高温段(>65℃):从65℃到150℃,粘度下降幅度放缓,硅油分子链已充分舒展,油酸包覆层在高温下未发生分解,XRD无杂质峰,仍能阻隔粒子直接接触,因此内摩擦下降放缓,Fe70Ni12B14Si4磁流变液下降率为27.7%,体系逐渐趋于稳定;Fe82B14Si4磁流变液下降率为43.9%,但整体仍比低温段平缓。值得注意的是,在相同的温度与粒子质量分数下,Fe70Ni12B14Si4磁流变液的粘度普遍略高于Fe82B14Si4体系(例如,25℃、35%条件下,二者粘度分别为7.56 × 104 mPa·s和7.08 × 104 mPa·s)。这表明Ni元素的引入不仅改变了磁性能,也可通过影响粒子–基液界面相互作用或团聚状态,对磁流变液的流变行为产生微调作用。具体表现为相同条件下Fe70Ni12B14Si4磁流变液粘度略高,推测与Ni增强粒子表面亲油性、减少团聚体分散不均有关。温度升高使体系热能增加,加速分子与粒子的布朗运动,缩小磁性粒子与基载液间的旋转速度差,进而削弱体系内摩擦阻力,最终导致粘度下降。

4. 结论

本研究通过机械合金化与表面改性工艺,成功制备了以Fe70Ni12B14Si4和Fe82B14Si4合金粒子为核心的磁性能较高的磁流变液,表明:采用机械合金化法制备的Fe基合金粒子具有较高的磁性能,且与合金粒子粒径大小密切相关:球磨时间越长,粒子粒径越小,磁性能越低。球磨时间为8 h时,无论是初始粒子还是改性粒子均高于球磨时间为12 h和16 h的合金粒子,而Fe70Ni12B14Si4初始粒子表现出Bs (165.78 emu/g)、Br (7.29 emu/g)和Hcb (10.63 kA/m),为高磁响应磁流变液提供了理想的磁性粒子。表面改性后,两种粒子的核心晶体结构未被破坏,因非磁性包覆层的稀释作用导致磁性能小幅下降,但仍保持较高水平。

磁流变液的磁性能大小可通过粒子含量有效调控,且Ni元素的引入对磁性能起优化作用。Fe70Ni12B14Si4初始粒子D50为10.12 μm,改性粒子D50为11.49 μm;Fe82B14Si4初始粒子D50为10.85 μm,改性粒子D50为12.46 μm。D50粒径则均出现不同幅度的正向增长,初步证实两种合金粒子表面的改性包覆处理取得成效,包覆层的附着直接导致粒子整体粒径增大。Fe70Ni12B14Si4合金中引入的Ni元素,能够有效调控合金粒子表面的原子排布、电子云分布与表面能,大幅增强粒子表面活性位点与油酸分子中羧基、烷基链之间的物理吸附能与化学配位作用,促使油酸分子更有序、更紧密地吸附在粒子表面,进而形成致密性更高、均匀性更好、界面结合强度更优异的包覆层。磁流变液的饱和磁化强度与剩磁均随磁性粒子质量分数的增加而线性提升,矫顽力则保持稳定在较低水平。其中,含Ni的Fe70Ni12B14Si4体系在不同温度下均展现出优于Fe82B14Si4体系的磁性能,这一优势源于Ni元素可缩小Fe原子间平均间距、调控电子云交换作用,增强原子磁矩耦合,同时优化粒子表面包覆均匀性,提升体系稳定性。磁流变液的流变性能受粒子浓度与温度协同调控,并表现出优异的热稳定性。随着粒子质量分数增加,磁性能提升。当Fe70Ni12B14Si4质量分数为35%时,磁流变液在25℃下的饱和磁化强度达75.60 emu/g。磁流变液粘度随粒子质量分数增加而升高,随温度升高呈两阶段下降。而Ni元素的引入和稳定的油酸包覆层,使Fe70Ni12B14Si4磁流变液在120℃高温下仍能保持4.24 × 104 mPa·s的较高粘度,有效克服了传统磁流变液高温粘度急剧下降的现象。

综上所述,本研究通过引入Ni元素的成分设计与调控球磨时间、粒子质量分数的工艺控制,实现了Fe基磁流变液磁学性能、流变性能与热稳定性的协同优化。所制备的材料兼具高磁响应性、可控的粘度性能及卓越的热稳定性,为满足磁密封等应用场景对高性能磁流体的差异化需求提供了可靠的候选材料,也为高性能磁流体的成分设计与工艺优化提供了重要参考。

基金项目

国家自然科学基金(NSFC: 12304273);辽宁省自然科学基金(LNSF: 2017054067)。

NOTES

*第一作者。

#通讯作者。

参考文献

[1] Pang, L.L., Inoue, A., Zanaeva, E.N., Wang, F., Bazlov, A.I., Han, Y., et al. (2019) Nanocrystallization, Good Soft Magnetic Properties and Ultrahigh Mechanical Strength for Fe82-85B13-16Si1Cu1 Amorphous Alloys. Journal of Alloys and Compounds, 785, 25-37. [Google Scholar] [CrossRef
[2] 赖欣, 毕剑, 高道江, 等. Fe3O4磁性流体的制备[J]. 磁性材料及器件, 2000, 31(3): 15-18.
[3] 刘晓红, 赵东林, 姚冉冉, 等. 超顺磁纳米Fe3O4磁性流体的制备及其在交变磁场中的发热性能[J]. 北京化工大学学报(自然科学版), 2016, 43(1): 40-44.
[4] 朱启晨, 吴张永, 王志强, 等. 低温下硅油基纳米磁流体沉降稳定性与黏度特性[J]. 化工进展, 2023, 42(10): 5101-5110.
[5] 曾群锋, 邓作炜, 张俊锋, 等. 磁流体密封原理及技术研究进展[J]. 润滑与密封, 2025, 50(1): 169-181.
[6] Huang, C., Yao, J., Zhang, T., Chen, Y., Jiang, H. and Li, D. (2017) Damping Applications of Ferrofluids: A Review. Journal of Magnetics, 22, 109-121. [Google Scholar] [CrossRef
[7] 廖文博, 张世昌, 周剑锋. 磁流体润滑螺旋槽机械密封中的空化效应[J]. 机械设计与制造工程, 2025, 54(7): 117-121.
[8] 朱启晨, 吴张永, 蒋佳骏, 等. 低温液压油基纳米磁流体的制备与流变特性研究[J]. 功能材料, 2024, 55(6): 6138-6147.
[9] 刘远清, 吴张永, 王瑞, 等. 双层包裹分散纳米铁酸镍磁流体的稳定性[J]. 材料科学与工程学报, 2020, 38(3): 382-386.
[10] 李新锐, 李正贵, 颜招强, 等. 大轴径磁流体真空动密封装置的优化设计[J]. 磁性材料及器件, 2022, 53(3): 53-59.
[11] 于长江, 刘文峰, 李晓雪, 等. 高性能铁基非晶/纳米晶合金软磁性能研究进展[J]. 磁性材料及器件, 2025, 56(1): 65-71.
[12] Bazlov, A.I., Milkova, D.A., Zanaeva, E.N., Strochko, I.V., Tabachkova, N.Y. and Inoue, A. (2024) Formation, Thermal Stability and Soft Magnetic Properties of Fe-Co-B-Si Amorphous Alloys with Ultrahigh Saturation Magnetic Induction of 2.0 T. Journal of Alloys and Compounds, 1006, Article 176247. [Google Scholar] [CrossRef
[13] Xia, G.T., Wang, Y.G., Dai, J. and Dai, Y.D. (2017) Effects of Cu Cluster Evolution on Soft Magnetic Properties of FE83B10C6Cu1 Metallic Glass in Two-Step Annealing. Journal of Alloys and Compounds, 690, 281-286. [Google Scholar] [CrossRef
[14] Hou, L., Fan, X., Wang, Q., Yang, W. and Shen, B. (2019) Microstructure and Soft-Magnetic Properties of FeCoPCCu Nanocrystalline Alloys. Journal of Materials Science & Technology, 35, 1655-1661. [Google Scholar] [CrossRef
[15] 王强, 赵丹, 孙伟. Fe基磁流体稳定性调控研究进展[J]. 材料导报, 2021, 35(15): 15060-15068.
[16] Ogawa, Y., Naoe, M., Yoshizawa, Y. and Hasegawa, R. (2006) Magnetic Properties of High Fe-Based Amorphous Material. Journal of Magnetism and Magnetic Materials, 304, e675-e677. [Google Scholar] [CrossRef
[17] Hosseini-Nasb, F., Beitollahi, A. and Moravvej-Farshi, M.K. (2015) Effect of Crystallization on Soft Magnetic Properties of Nanocrystalline Fe80B10Si8Nb1Cu1 Alloy. Journal of Magnetism and Magnetic Materials, 373, 255-258. [Google Scholar] [CrossRef
[18] Pan, F.S., Liu, T.T., Zhang, X.Y., et al. (2011) Effects of Scandium Addition on Microstructure and Mechanical Properties of ZK60 Alloy. Progress in Natural Science: Materials International, 21, 59-65. [Google Scholar] [CrossRef
[19] Herzer, G. (1990) Grain Size Dependence of Coercivity and Permeability in Nanocrystalline Ferromagnets. IEEE Transactions on Magnetics, 26, 1397-1402. [Google Scholar] [CrossRef
[20] Hays, C.C., Kim, C.P. and Johnson, W.L. (2000) Microstructure Controlled Shear Band Pattern Formation and Enhanced Plasticity of Bulk Metallic Glasses Containing in Situ formed Ductile Phase Dendrite Dispersions. Physical Review Letters, 84, 2901-2904. [Google Scholar] [CrossRef] [PubMed]
[21] Li, Q., Li, J., Gong, P., Yao, K., Gao, J. and Li, H. (2012) Formation of Bulk Magnetic Ternary Fe80P13C7 Glassy Alloy. Intermetallics, 26, 62-65. [Google Scholar] [CrossRef
[22] 台微, 颜招强, 杨凤, 等. 锰掺杂钆铁氧体纳米颗粒及氟醚油基磁性液体的制备[J]. 磁性材料及器件, 2025, 56(5): 1-7.
[23] Wang, A., Zhang, M., Zhang, J., Men, H., Shen, B., Pang, S., et al. (2011) Effect of Ni Addition on the Glass-Forming Ability and Soft-Magnetic Properties of FeNiBPNb Metallic Glasses. Chinese Science Bulletin, 56, 3932-3936. [Google Scholar] [CrossRef
[24] Makino, A., Suzuki, K., Inoue, A., Hirotsu, Y. and Masumoto, T. (1994) Magnetic Properties and Microstructure of Nanocrystalline Bcc Fe-M-B (M=Zr, Hf, Nb) Alloys. Journal of Magnetism and Magnetic Materials, 133, 329-333. [Google Scholar] [CrossRef
[25] 董丽荣, 张立文, 左彬, 等. Nb添加对Fe-Y-B合金非晶形成能力和磁性能的影响[J]. 电子元件与材料, 2013, 32(6): 53-56.
[26] 张雅楠, 王有骏, 孔令体, 等. Y对Fe-Si-B合金非晶形成能力及软磁性能的影响[J]. 物理学报, 2012, 61(15): 454-459.