不同矿物成分花岗岩剪切声发射特性研究
Study on Shear Acoustic Emission Characteristics of Granite with Different Mineral Compositions
DOI: 10.12677/hjce.2026.154076, PDF, HTML, XML,   
作者: 王振杰:华北水利水电大学地球科学与工程学院,河南 郑州
关键词: 花岗岩岩石剪切矿物成分非均质性Granite Rock Shear Mineral Composition Heterogeneity
摘要: 本研究探讨了矿物成分对花岗岩剪切破坏过程中声发射特性的影响。研究选取了两种矿物成分不同的花岗岩样本,分析了其力学效应、声发射特性及裂纹扩展模式的差异。通过实验研究发现,矿物成分多的花岗岩表现出更为复杂的力学响应,具有较强的非线性和突发性破坏行为,而矿物成分少的岩石则呈现平稳、均匀的剪切行为。此外,矿物成分多的岩石在剪切过程中释放出更多的声发射能量和较高的振铃计数,表明其破坏过程更加频繁且复杂。矿物成分少的岩石则表现出较低的声发射强度和较少的局部破坏信号。在裂纹扩展方面,矿物成分丰富的岩石呈现复杂且快速的裂纹扩展模式,局部破坏频繁;而矿物成分少的岩石裂纹扩展则较为均匀,缺乏复杂的微裂纹交互作用。研究表明,矿物成分对岩石的微观结构、力学性质及破坏模式具有显著影响,矿物成分较多的岩石在剪切破坏过程中易出现突发的能量释放和裂纹扩展,因此在岩石力学性能预测和工程设计中,矿物成分可以作为评估岩石剪切行为和破坏机制的重要参数。
Abstract: This study investigates the effect of mineral composition on the acoustic emission (AE) characteristics during shear failure of granite. Two granite samples with different mineral compositions were selected to analyze their mechanical effects, acoustic emission characteristics, and crack propagation modes. Experimental results showed that granites with a higher mineral composition exhibited more complex mechanical responses, characterized by stronger nonlinearity and abrupt failure behavior, while those with fewer minerals demonstrated more stable and uniform shear behavior. Furthermore, granites with a higher mineral composition released more acoustic emission energy and higher ringing counts during shear, indicating a more frequent and complex failure process. In contrast, granites with fewer minerals exhibited lower acoustic emission intensity and fewer localized failure signals. Regarding crack propagation, rocks with a rich mineral composition displayed complex and rapid crack propagation modes, with frequent localized failures, whereas those with fewer minerals exhibited more uniform crack propagation, lacking complex micro-crack interactions. The study highlights that mineral composition significantly influences the microstructure, mechanical properties, and failure modes of rocks. Granites with a higher mineral composition are more prone to abrupt energy release and crack propagation during shear failure. Therefore, mineral composition can serve as an important parameter for evaluating rock shear behavior and failure mechanisms in rock mechanics performance prediction and engineering design.
文章引用:王振杰. 不同矿物成分花岗岩剪切声发射特性研究[J]. 土木工程, 2026, 15(4): 17-25. https://doi.org/10.12677/hjce.2026.154076

1. 引言

岩土颗粒材料基本是由多种矿物质组成的复杂多晶体,如花岗岩的主要矿物有石英、云母和长石等,沉积形成的岩石还可能含有孔隙、有机物、砂等,如砂岩就是由石英颗粒胶结形成的[1]。因此,从本质来讲,岩土颗粒材料是典型的细观非连续、非均质、各向同性的脆性材料,探究难点在于对真实颗粒的细观非均质度差异很大、难以统一量化并分析非均质性对宏观力学特性的影响机理。

Bruno (1989) [2]提出了沉积岩的微观结构包括不同大小的晶体、颗粒、胶结材料和空隙。这些元素的排列和相互作用决定了岩石的物理性质,如强度和渗透性,微观结构的详细描述对于理解岩石的破坏和断裂行为至关重要。指出沉积岩的强度不仅取决于其组成材料的固有强度,还受到胶结密度、颗粒大小和形状以及孔隙度的影响,并开发了一个非连续介质模型,用于模拟沉积岩在微观层面上的断裂过程;Blair和W Cook (1998) [3]通过参数敏感性分析探讨了不同类型颗粒尺度异质性对脆性、非均质材料(如岩石)在压缩试验中断裂过程和抗压强度的相对重要性,探讨了颗粒形状和加载引起的局部应力场异质性、位置强度异质性或位置异质性对宏观性质的影响;吕兆兴等(2007) [4]通过探究非均质参数对岩石强度尺寸效应的影响提出了尺寸效应影响参教,表现为其值越大,岩石强度的尺寸效应越明显,岩石是一种非均质材料,不同岩石的组分有别且分布不同,另外其内部存在微小缺陷,这些均是引起其力学性质尺寸效应的关键因素;夏海城等(2021) [5]探讨了岩石材料强度分布不均匀性和材料空间组构随机性这两种非均质性特征,指出这些特征对岩石的力学特性有显著影响,采用了DDA方法和正态分布函数来构建非均质脆性岩石的单轴压缩数值实验模型,以研究非均质度和材料组构对岩石强度的具体影响。

随着技术手段的发展,室内物理试验通常运用CT扫描、SEM电镜扫描等特殊技术获取岩石的颗粒参数,Baek (1994) [6]认为自然断裂通常在岩石的微观结构中形成,并沿着微观结构的弱点扩展,通过使用显微镜对自然和实验断裂进行了观察,揭示了自然断裂和实验断裂在微观结构上的差异;郎颖娴等(2019) [7]对不同孔隙分布特征和孔隙率的玄武岩试样进行CT扫描,构建了三维细观巴西盘数值模型,研究岩石三维细观孔隙对其宏观破坏机制及力学性质的影响;Ramon等(2021) [8]使用汞侵入孔隙度(MIP)和扫描电子显微镜(SEM)分析来量化材料异质性,并观察其对力学响应的影响,研究了天然石膏岩相的强度和蠕变响应;Heap等(2023) [9]探讨了在熔岩穹丘的不稳定性模型中,材料属性的异质性(“扩散”异质性)是否能促进穹丘的不稳定性,利用X射线计算机断层扫描技术显示熔岩穹丘样本具有高微结构异质性;侯圣山等(2024) [10]通过在偏光显微镜下对岩石薄片进行观察,获取岩石的矿物成分和微结构;王帅等(2024) [11]以相颗粒砂砾岩为研究对象进行CT扫描试样,发现孔隙形状、孔隙直径和孔隙度可以表征孔隙结构的非均匀性,孔隙直径是影响孔隙结构非均匀性的关键因素。

综上所述,岩石成分和结构非常复杂,因此具有强非均匀性。例如,岩石基质中存在许多天然裂缝和孔隙,岩体内部的矿物成分、矿物颗粒的大小和分布表现为非均匀性,进而导致岩石的力学参数弹性模量、泊松比、抗压强度等存在显著的差异,非均质性导致岩石内部不同组分接触时更容易产生应力集中效应,从而引发损伤。因此本文从岩石的细观非均质性角度出发,考虑花岗岩的矿物组成对剪切破坏作用下岩石损伤破坏进行声发射监测。

2. 试验方案

2.1. 试样选取

Figure 1. Polarizing microscope image and XRD data

1. 偏光显微镜及XRD数据

花岗岩通常是由石英、长石和云母组成,图1为选取岩样的偏光显微镜鉴定与XRD测试数据,本次实验选取两种花岗岩在矿物成分上差异较小,都包含石英和两种长石,并且都为中细粒径,控制其余变量对试验结果的影响,H花岗岩为矿物成分多的花岗岩,而B花岗岩为矿物成分少的花岗岩。

2.2. 试验装置

本文直剪试验所使用的仪器为RJLW-2000伺服控制剪切流变系统,该设备的轴向/剪切能力为2000 kN/600 kN,此次实验的所有仪器装置包括:

LVDT位移传感器(精度为0.001 mm)

EDC数字数据采集系统

声发射PCI-2 AE检测系统

AE门槛值、前置放大器和采集频率分别为45 dB、40 dB和1MSPS

为了更好地监测AE信号使用凡士林将6个声发射传感器(谐振频率为50 kHz)以交叉不共面的形式固定在试样表面上,如图2所示以此阵列增强空间覆盖范围,确保更好的AE信号质量、更少的信号衰减和更高的到达时间差分辨率。基于记录的声发射信号可以建立一个方程组,将到达各个传感器的声发射信号的高分辨率时间差、P波速度以及每个传感器和声发射源的空间坐标联系起来。该声发射系统的解给出了声发射源的三维坐标,这代表了声发射源到达时差方法的基本原理,在AEwin软件中执行上述定位方程的计算。在开始正式实验之前采用断铅测试来标定P波的速度,验证了传感器布置和定位方法的可靠性。

Figure 2. Experimental setup

2. 试验装置

3. 力学机制

3.1. 剪切破坏机制

图3所示,矿物成分多的花岗岩应力应变曲线表现出显著的非线性特征,特别是在接近破坏点时,应力的上升较为陡峭。通常,这样的岩石具有更高的抗压强度和抗剪强度,这也使得其在受力过程中更加复杂。矿物成分较多可能导致裂纹和微裂纹的多样化扩展,造成局部应力集中,从而引发突发的破坏,表现为应力应变曲线的剧烈变化。此外,这种类型的岩石在高应变下往往能够承受较大的应力,表现出较高的应变硬化效应。

相比之下,图4矿物成分少的花岗岩应力应变曲线较为平缓,表现出较低的应变硬化效应。由于其矿物成分的简单性,岩石的整体结构更加均匀,缺少矿物界面的复杂互动,因此在剪切破坏过程中没有过多的局部应力集中现象,导致破坏过程更为平缓。矿物成分少的岩石在初期剪切时,虽然会发生微裂纹扩展,但这些微裂纹的扩展较为均匀,不会像矿物成分多的岩石那样形成局部的裂纹突发破坏。

Figure 3. Relationship among stress, energy, and ring counts of H-type granite

3. H花岗岩应力、能量、振铃计数关系

Figure 4. Relationship among stress, energy, and ring-down counts of B-type granite

4. B花岗岩应力、能量、振铃计数关系

3.2. 矿物成分影响机制

矿物成分多的花岗岩通常具有更复杂的矿物结构。其矿物颗粒种类多,颗粒之间的界面可能会增加裂纹扩展的复杂性,使得岩石在剪切破坏过程中表现出更强的非线性行为。矿物成分多的岩石由于具有更多的矿物界面,导致其在初期受力时便会发生局部破坏,从而释放出较多的声发射能量。随着应变的增大,裂纹和微裂纹扩展的速度也加快,导致声发射信号显著增加。

矿物成分少的花岗岩,其矿物颗粒相对简单,颗粒间的界面较少,材料的内部结构更加均匀。这种均匀的结构可能使得其在受剪切应力时,发生破坏的方式更加简单和规则。由于缺乏复杂的矿物界面,裂纹的扩展较为直接,破坏模式较为简单。相应地,在声发射能量释放方面,矿物成分少的岩石表现为较低的声发射强度和振铃计数。这也反映了其相对简单的微裂纹扩展过程,缺乏复杂的局部破坏模式。

4. 声发射特性

声发射(AE)技术作为一种无损检测手段,能够实时监测岩石在剪切过程中的微裂纹活动。声发射信号的强度和数量与岩石的破坏过程密切相关。

图3中的矿物成分多的花岗岩,其声发射能量在剪切初期就开始快速增加,且在接近破坏点时达到峰值。这表明该岩石在初期受力时,便开始发生裂纹的形成和扩展,并伴随有较强的声发射能量释放。在剪切过程中,随着应变的增大,岩石中的矿物界面和粒度不均匀性导致的局部破坏变得更加频繁,形成了大量的声发射信号。与矿物成分多的花岗岩相比,矿物成分少的花岗岩在剪切过程中表现出较低的声发射能量。图中可以看到,在整个剪切过程中,其声发射能量的增加速度较慢,峰值较低。这表明,矿物成分少的岩石在剪切过程中,裂纹扩展较为均匀,局部破坏较少,导致了较少的声发射信号和振铃计数。

振铃计数的增加反映了材料内部的微观振荡,通常与裂纹的扩展和局部破坏有关。矿物成分丰富的花岗岩由于其复杂的矿物结构和更高的局部破坏活动,导致了较多的振铃计数。振铃计数在矿物成分少的花岗岩中同样存在增加的趋势,但其增加幅度较小。这说明,该岩石在破坏过程中虽然也会产生微裂纹和局部振荡,但相较于矿物成分多的岩石,其破坏模式较为简单,产生的局部振荡频次较低。

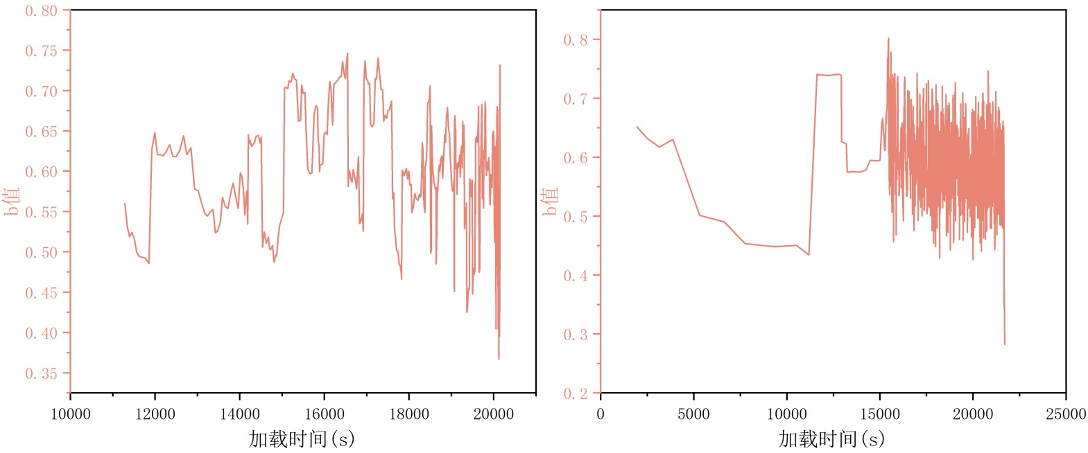
4.1. 动态b值

图5中矿物成分多的花岗岩的b值呈现出较为复杂的波动。大多数时间,b值处于0.5以上,并且随着加载时间的推移,b值会发生显著的波动。这种波动的原因可能与岩石中不同矿物成分的相互作用、裂纹扩展模式的变化密切相关。矿物成分多的花岗岩由于其复杂的矿物界面和矿物颗粒的相互作用,导致了裂纹的扩展更加复杂,可能会出现多个裂纹交汇、重新连接等现象,从而造成b值的剧烈波动。

Figure 5. Dynamic b-value of H-type granite

5. H花岗岩动态b值

在接近破坏点时,b值出现了一次急剧下降。这通常表示裂纹扩展的突发性增大,说明岩石的破坏过程即将到达临界点。由于矿物成分较多,局部区域可能发生应力集中,导致裂纹扩展的加速和能量释放的剧增,从而使得b值在短时间内急剧下降。

图6中矿物成分少的花岗岩的b值波动较为平缓,但在加载过程中仍然出现了若干次较大的波动。总体来说,矿物成分少的花岗岩的b值普遍较低,且波动范围相对较小。这表明该岩石的裂纹扩展相对简单,裂纹的增长没有像矿物成分多的花岗岩那样出现复杂的交互作用,因此b值的变化较为平稳。

类似于矿物成分多的花岗岩,矿物成分少的花岗岩在破坏临近时,b值也发生了显著下降。这一现象表明,矿物成分少的岩石在接近破坏时,其裂纹扩展突然加速,可能与岩石内应力的重新分布和局部裂纹的急剧增长有关。与矿物成分多的岩石相比,矿物成分少的岩石可能缺少足够的矿物结构来缓解这种应力集中现象。

Figure 6. Dynamic b-value of B-type granite

6. B花岗岩动态b值

4.2. 裂纹拓展机制

矿物成分多的花岗岩中,由于矿物界面的复杂性和多样性,裂纹扩展过程更加复杂和均匀,b值在较长时间段内维持较高水平,表示裂纹扩展较为平稳和连续。而矿物成分少的花岗岩,裂纹扩展较为简单,因此其b值变化相对平稳,且在局部区域出现急剧下降,表明裂纹扩展的不均匀性较为突出。

4.3. 动态RA-AF值

Figure 7. Dynamic RA-AF of H-type granite

7. H花岗岩动态RA-AF

图7中的RA值表现出显著的波动,尤其是在加载过程中的初期,RA值快速增加,达到较高的峰值。RA值的增加通常与材料的微裂纹扩展和局部破坏活动密切相关。矿物成分多的花岗岩中,随着应力的逐步增大,岩石内部微裂纹的扩展速度逐渐加快,导致RA值的剧烈上升。特别是在接近破坏点时,RA值呈现急剧的上升,反映出岩石内部的局部破坏和裂纹的急剧发展。与RA值相对应,AF值(频率)的变化趋势显示出显著的波动性。在接近破坏点时,AF值同样经历了急剧的增大,表明岩石内部的微裂纹扩展不仅增加了破坏的强度,还导致了更高频率的振荡和能量释放。这与矿物成分多的花岗岩在破坏过程中表现出较为复杂的微观裂纹扩展模式相符。AF值的快速上升通常表明,岩石中的裂纹以更高频率传播,表明其破坏过程具有较强的瞬时性和突发性。

在接近破坏的时刻,RA值和AF值都发生了剧烈的变化,尤其是AF值的急剧上升,意味着岩石的破坏过程出现了突发的增强。由于矿物成分较多,岩石的裂纹扩展不仅依赖于整体的材料强度,还受到矿物界面的影响,导致了破坏过程中的能量释放增大。

与矿物成分多的花岗岩不同,图8中矿物成分少的花岗岩的 RA 值波动相对较小。虽然RA值也表现出一定的增长趋势,但整体上其变化幅度相对平缓。这说明矿物成分少的岩石在受力过程中,其裂纹扩展速度较慢,整体的破坏模式较为均匀,裂纹的扩展不会像矿物成分丰富的岩石那样出现复杂的相互作用,因而RA值的变化较为平稳。

Figure 8. Dynamic RA-AF of B-type granite

8. B花岗岩动态RA-AF

5. 结论

矿物成分对岩石剪切破坏过程的影响在力学效应、声发射特性和裂纹扩展方面表现出显著差异:

(1) 矿物成分丰富的花岗岩表现出更为复杂的力学响应,呈现出较强的非线性和突发性破坏行为;而矿物成分较少的岩石则表现出较为平稳、均匀的剪切行为,且破坏过程较为线性。

(2) 矿物成分多的岩石在剪切过程中释放出较大的声发射能量,并伴有较高的振铃计数,这表明其破坏过程较为频繁且复杂。相比之下,矿物成分少的岩石在剪切过程中声发射强度较低,破坏过程较为平稳、稳定。

(3) 矿物成分丰富的岩石呈现出复杂且快速的裂纹扩展模式,局部破坏较为频繁,裂纹扩展的速度较快。矿物成分较少的岩石则表现出较为均匀的裂纹扩展行为,缺乏复杂的微裂纹交互作用。

这些差异表明,矿物成分对岩石的微观结构、力学性质及破坏模式具有重要影响。矿物成分较多的岩石在剪切破坏过程中易出现突发的能量释放和裂纹扩展,因此在岩石力学性能预测和工程设计中,矿物成分可作为一个关键参数,用于评估岩石的剪切行为和破坏机制。

参考文献

[1] 黄泉水. 岩石颗粒的非均质性和形状对破碎特性的影响研究[D]: [博士学位论文]. 武汉: 武汉大学, 2021.
[2] Bruno, M.S. and Nelson, R.B. (1991) Microstructural Analysis of the Inelastic Behavior of Sedimentary Rock. Mechanics of Materials, 12, 95-118. [Google Scholar] [CrossRef
[3] Blair, S.C. and Cook, N.G.W. (1998) Analysis of Compressive Fracture in Rock Using Statistical Techniques: Part II. Effect of Microscale Heterogeneity on Macroscopic Deformation. International Journal of Rock Mechanics and Mining Sciences, 35, 849-861. [Google Scholar] [CrossRef
[4] 吕兆兴, 冯增朝, 赵阳升. 岩石的非均质性对其材料强度尺寸效应的影响[J]. 煤炭学报, 2007, 32(9): 917-920.
[5] 夏海城, 邬爱清, 卢波, 等. 非均质性对岩石宏观力学特性的影响机制[J]. 长江科学院院报, 2021, 38(3): 103-109.
[6] Baek, H. (1994) Evaluation of Fracture Mechanics Properties and Microstructural Observations of Rock Fractures. Ph.D. Thesis, The University of Texas at Austin.
[7] 郎颖娴, 梁正召, 董卓. 玄武岩三维细观孔隙模型重构与直接拉伸数值试验[J]. 工程科学学报, 2019, 41(8): 997-1006.
[8] Ramon, A., Caselle, C., Bonetto, S.M.R., Costanzo, D. and Alonso, E.E. (2021) Effect of Microstructure and Relative Humidity on Strength and Creep of Gypsum. Rock Mechanics and Rock Engineering, 54, 4121-4145. [Google Scholar] [CrossRef
[9] Heap, M.J., Harnett, C.E., Nazarbayov, T., Heng, Z., Baud, P., Xu, T., et al. (2023) The Influence of Heterogeneity on the Strength of Volcanic Rocks and the Stability of Lava Domes. Bulletin of Volcanology, 85, Article No. 49. [Google Scholar] [CrossRef
[10] 侯圣山, 何箫, 孟宪森, 等. 基于岩石CT扫描的冻融作用对花岗岩细观结构及力学强度影响研究[J]. 地质力学学报, 2024, 30(3): 462-472.
[11] 王帅, 许莹, 张艳博, 等. 粗颗粒砂砾岩内矿物颗粒和孔隙结构的非均匀性及量化表征细观试验研究[J]. 煤炭学报, 2024, 49(S2): 832-844.