CS-g-PDN的制备及性能研究
Preparation and Properties of CS-g-PDN
摘要: 本文以壳聚糖(CS)、N,N-二甲基丙烯酰胺(NAM)和甲基丙烯酰氧乙基三甲基氯化铵(DMC)为原料,通过水热自由基聚合成功制备了新型三元共聚絮凝剂CS-g-PDN。研究采用单因素与正交实验优化合成条件,确定最佳条件为反应温度55℃、时间3.5 h、单体质量比CS:DMC:NAM = 1:2:3。该絮凝剂对阴离子染料(苋菜红、刚果红、酸性橙G)具有优异去除效果(最高>98%),且在pH = 3~7范围内性能稳定。表征结果(FT-IR, XRD, SEM, BET)证明DMC与NAM成功接枝,产物具有更大比表面积和三维多孔结构,显著提升了吸附与桥联能力。与CS-g-PDA相比,CS-g-PDN絮凝速率更快,24 h内可达最大去除率,具备高效、环保的应用潜力。
Abstract: In this study, a novel ternary copolymer flocculant CS-g-PDN was successfully synthesized via hydrothermal free radical polymerization using chitosan (CS), N,N-dimethylacrylamide (NAM), and methacryloxyethyltrimethylammonium chloride (DMC) as raw materials. Single-factor and orthogonal experiments were employed to optimize the synthesis conditions, with the optimal parameters determined as follows: reaction temperature of 55˚C, reaction time of 3.5 h, and monomer mass ratio of CS:DMC:NAM = 1:2:3. The flocculant exhibited excellent removal efficiency (>98%) for anionic dyes (Amaranth, Congo Red, Acid Orange G) and maintained stable performance within the pH range of 3~7. Characterization results (FT-IR, XRD, SEM, BET) confirmed the successful grafting of DMC and NAM, with the product demonstrating a larger specific surface area and a three-dimensional porous structure, which significantly enhanced its adsorption and bridging capabilities. Compared with CS-g-PDA, CS-g-PDN exhibited a faster flocculation rate, achieving maximum removal efficiency within 24 hours, demonstrating promising potential for efficient and environmentally friendly applications.
文章引用:蒋天冰, 汤霞, 魏燕, 韩甜, 李育桐. CS-g-PDN的制备及性能研究[J]. 材料化学前沿, 2026, 14(2): 85-99. https://doi.org/10.12677/amc.2026.142011

1. 引言

壳聚糖(CS)作为天然改性高分子絮凝剂,具有安全环保、亲水及可定向接枝改性等优势[1]。但前期研制的CS-g-PDA对阴离子染料絮凝时存在投加量大、时间长的问题。研究发现,引入单体N,N-二甲基丙烯酰胺(NAM)可提升聚合物的抗水解性[2] [3]且无有害副产物[4]。本工作旨在以CS为主链,DMC和NAM为单体,通过水热自由基聚合法制备新型絮凝剂CS-g-PDN,以期在保持高去除率的同时,实现更低投加量、更短絮凝时间的目标。

2. 实验仪器及试剂

2.1. 实验试剂

本实验所用到的实验药品及试剂如表1所示:

Table 1. Materials

1. 实验药品及试剂

药品及试剂

分子式

级别

生产厂家

N,N-二甲基丙烯酰胺(NAM)

C5H9NO

AR

上海阿拉丁生化科技股份有限公司

甲基丙烯酰氧乙基三甲基氯化铵(DMC)

C9H18ClNO2

AR

上海阿拉丁生化科技股份有限公司

壳聚糖(CS)

(C6H11NO4)n

AR

上海阿拉丁生化科技股份有限公司

过硫酸铵

(NH4)2S2O8

AR

上海麦克林生化科技有限公司

苋菜红

C20H11N2Na3O10S3

AR

上海麦克林生化科技有限公司

酸性橙G

C16H10N2Na2O7S2

AR

上海麦克林生化科技有限公司

刚果红

C32H22N6Na2O6S2

AR

上海麦克林生化科技有限公司

丙酮

CH3COCH3

AR

兰州嘉特星工贸有限公司

盐酸

HCl

AR

国药集团化学试剂有限公司

醋酸

CH3COOH

AR

利安隆博华(天津)医药化学有限公司

氢氧化钠

NaOH

AR

国药集团化学试剂有限公司

无水乙醇

C2H5OH

AR

利安隆博华(天津)医药化学有限公司

2.2. 实验仪器

本实验所用设备仪器如表2所示:

Table 2. Instruments and equipment

2. 实验仪器

实验仪器名称

型号

生产厂家

恒温加热磁力搅拌器

DF-101S

郑州贝楷

磁力搅拌器

78-1

常州苏瑞仪器

电子天平

YP10002

上海佑科

电热恒温干燥箱

DHG-9036A

上海精宏

真空干燥箱

DZF-6020

上海精宏

分析天平

GL2004B

上海佑科

离心机

TG16G

湖南凯达

紫外–可见分光光度计

UV-2600

日本岛津

红外光谱仪

VERTEX70

瑞士布鲁克

X-射线衍射仪

BRUKER D8ADVANCE

德国布鲁克

纳米粒度及Zeta电位分析仪

Malvern Zetasizer Nano ZS90

英国马尔文

扫描电子显微镜

ZEISS Gemini SEM 500

德国卡尔蔡司

氮气吸附脱附仪

19003570

美国麦克

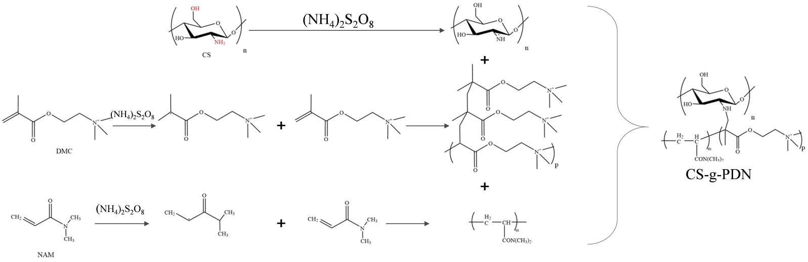
3. CS-g-PDN的制备

将1.00 g壳聚糖(CS)溶于200 mL 1%乙酸溶液中,在氮气保护和机械搅拌下,加入1.00 g过硫酸铵引发剂,随后滴加NAM与DMC单体混合液,于设定温度下反应。反应结束后冷却,用无水乙醇洗涤三次,粗产物再以乙醇–丙酮(3:2, v/v)索氏提取7 h纯化,最后经60℃真空干燥至恒重,得到CS‑g‑PDN接枝共聚物。合成机理如图1所示。

Figure 1. Synthesis mechanism of CS-g-PDN

1. CS-g-PDN的合成机理

4. 实验水样和絮凝测试方法

4.1. 实验水样

(1) 探究最佳反应条件(温度、时间、单体配比):称取25 mg的苋菜红用1 L的去离子水溶解,制备25 mg/L浓度的苋菜红染料。

(2) 探究絮凝剂添加量对染料去除率的影响:分别配制浓度为0.25 g/L的刚果红、苋菜红和酸性橙G溶液(各0.25 g染料溶于1 L去离子水)。使用1 mol/L HCl与1 mol/L NaOH溶液调节各染料溶液pH至7。

(3) 探究絮凝剂的pH对染料去除率的影响:分别取0.25 g的刚果红、刚果红和酸性橙G溶于1 L的去离子水中,配置浓度为0.25 g/L的溶液备用。取50 ml配置好的0.25 g/L的三种溶液9份,分别将pH值调至3、4、5、6、7、8、9、10、11。

(4) 探究染料初始浓度对絮凝剂去除率的影响:分别称取0.2 g、0.33 g、0.5 g、1.25 g、1.5 g、2 g的刚果红,苋菜红和酸性橙G分别溶于1 L的去离子水中,制备0.2 g/L、0.33 g/L、0.5 g/L、1.25g /L、1.5 g/L、2g /L的三种染料溶液,使用配置好的浓溶液调节预制浓度的刚果红、苋菜红和酸性橙G溶液pH至6。

(5) 探究混合溶液中的絮凝性能:分别配置0.5 g/L的刚果红、苋菜红和酸性橙G溶液按照1:1:1的体积比混合,调节pH至6。

4.2. 实验方法

(1) 为探究最佳反应条件,以25 mg/L苋菜红溶液的去除率为指标,对不同反应时间、温度及单体配比下合成的絮凝剂进行性能测试。分别取50 mL上述染料溶液,加入0.05 g不同合成条件的絮凝剂,搅拌15分钟后静置72小时,离心后取上清液,使用UV-Vis分光光度计测定吸光度并计算染料去除率,以此确定最佳合成条件。

染料去除率根据以下公式计算:

A=abc (4.2.1)

R= ( C C i )/ C 0 100% (4.2.2)

式中:A为吸光度,a为吸光系数,b为比色皿内壁宽度,c为染料浓度,R为染料去除率,C0为合成染料的初始浓度,Ci为絮凝后合成染料浓度。

为验证最佳反应条件,按正交实验设计(实验1~16)制备絮凝剂,以25 mg/L苋菜红溶液(50 mL)为处理对象,投加0.05 g絮凝剂,搅拌15 min后静置72 h,离心取上清液,通过UV-Vis测定吸光度并按公式(4.2.1)、(4.2.2)计算去除率。

(2) 探究添加量影响:分别取0.25 g/L的三种染料溶液各50 mL,投加0.025~2 g范围内不同质量的絮凝剂(最佳条件制备),静置72 h后离心,测定并计算去除率。

(3) 探究pH影响:取不同pH (3~11)的三种染料溶液各50 mL,分别投加0.0125 g、0.0625 g和0.0875 g絮凝剂(最佳条件制备),静置72 h后离心,测定并计算各pH下的去除率。

(4) 探究初始浓度影响:取不同浓度(0.2~2 g/L)的三种染料溶液各50 mL,分别投加0.0125 g、0.0625 g和0.0875 g絮凝剂(最佳条件制备),静置72 h后离心,测定并计算各浓度下的去除率。

(5) 探究混合染料絮凝性能:取50 mL混合染料溶液,投加适量絮凝剂(最佳条件制备),静置72 h后离心,测定并计算混合染料去除率。

(6) 对比CS-g-PDA与CS-g-PDN絮凝时间:取50 mL苋菜红溶液,分别投加0.025 g CS-g-PDA与CS-g-PDN,在3~72 h内不同时间点取样离心,测定并计算去除率,对比絮凝动力学。

5. 实验结果与讨论

5.1. 最佳合成条件的探究

(1) 如图2(a),反应时间3.5 h时对苋菜红的去除率最高(97.19%)。时间不足则接枝不充分,超过3.5 h易导致接枝链过长或主链交联,降低絮凝效果[5] [6],故确定最佳反应时间为3.5 h。

(2) 图2(b)显示,在3 h反应时间下,55℃时去除率最高(98.5%)。适度升温可促进接枝,但温度过高易引起链过长、交联或单体自聚,降低有效接枝率与分子柔性[7],影响絮凝性能。

(3) 图2(c)表明,在50℃、3.5 h条件下,单体配比CS:DMC:NAM为1:2:3时去除率最高(98.7%)。比例过低则电荷密度不足;过高易导致单体自聚或胶体再稳[8],故最佳配比为1:2:3。

(a)

(b) (c)

Figure 2. Optimization of the synthesis conditions

2. 最佳合成条件的探究

5.2. 正交实验优化合成条件

采用L16(43)正交实验(表3),以反应时间、温度及单体质量比为变量,苋菜红(25 mg/L)脱色率为指标,优化CS‑g‑PDN的合成条件。

Table 3. Orthogonal design matrix (factors and levels) for CS-g-PDN synthesis

3. CS-g-PDN絮凝剂合成正交因素水平表

序号

反应时间(h)

反应温度(℃)

单体配比

1

2.5

45

1:2:1

2

3.0

50

1:2:2

3

3.5

55

1:2:3

4

4.0

60

1:3:2

依照表3设计的絮凝剂合成因子水平表,将其设计为正交实验表,实验结果如表4所示:

Table 4. Orthogonal experimental design matrix

4. 正交实验表

序号

反应时间(h)

反应温度(℃)

单体配比(CS:DMC:NAM)

染料去除率(%)

实验1

2.5

45

1:2:1

91.24

实验2

2.5

50

1:2:2

97.76

实验3

2.5

55

1:2:3

96.58

实验4

2.5

60

1:3:2

93.59

实验5

3

45

1:2:2

95.75

实验6

3

50

1:2:1

94.68

实验7

3

55

1:3:2

94.47

实验8

3

60

1:2:3

96.75

实验9

3.5

45

1:2:3

97.75

实验10

3.5

50

1:3:2

95.66

实验11

3.5

55

1:2:1

92.35

实验12

3.5

60

1:2:2

96.35

实验13

4

45

1:3:2

93.74

实验14

4

50

1:2:3

97.33

实验15

4

55

1:2:2

94.24

实验16

4

60

1:2:1

90.69

均值1

94.79

94.62

92.24

均值2

95.41

96.35

96.02

均值3

95.53

94.41

97.10

均值4

94.00

94.34

94.36

极差

1.53

2.01

4.87

表4正交实验结果表明,影响染料去除率的因素主次顺序为:单体配比 > 反应温度 > 反应时间。最优合成条件为:反应时间3.5 h、温度55℃、单体质量比(CS:DMC:NAM) 1:2:3。在此条件下制备的三批产物,其去除率均高于98%,验证了正交实验成功优化了合成条件。

6. CS-g-PDN的表征

6.1. CS-g-PDN的红外光谱图

红外光谱分析(图3)显示:CS在3400 cm1 (O-H/N-H伸缩振动及氢键)、2953 cm1 (C-H伸缩振动)及897 cm1 (六元环伸缩振动)等处具有特征峰。CS‑g‑PDN谱图中壳聚糖特征峰仍存在,但1523 cm1处伯胺N‑H振动峰明显减弱,表明接枝发生在‑NH2基团;同时出现1730 cm1 (DMC季铵盐)与1389 cm1 (NAM酰胺基C–N伸缩振动)两个新吸收峰,证明DMC与NAM已成功接枝到壳聚糖主链[9],产物制备成功。

Figure 3. XRD pattern of CS-g-PDN

3. CS和CS-g-PDN的X射线衍射分析图

6.2. CS-g-PDN的XRD分析

Figure 4. FT-IR spectra of CS and CS-g-PDN

4. CS和CS-g-PDN的红外光谱图

XRD分析(图4)显示:壳聚糖(CS)在2θ ≈ 10˚和20˚处呈现尖锐的衍射峰,表明其为结晶度较高的半结晶聚合物。而产物CS‑g‑PDN的相应衍射峰明显减弱、宽化,说明接枝改性破坏了原有的有序结构,产物的结晶度下降、呈现无定形态。该结果与红外光谱相互印证,证实DMC与NAM单体已成功接枝到CS主链上。

6.3. CS-g-PDN的扫描电镜分析

对CS、CS-g-PDN的表面形貌进行研究。扫描电镜图像结果如图5所示,分别为CS和CS-g-PDN在10 μm,2 μm和1 μm下的扫描电镜图像。形貌分析显示CS表面光滑致密,孔隙稀少;而CS‑g‑PDN呈现明显的鳞片状三维立体结构。该结构显著增大了比表面积和反应位点,有利于污染物的附着与捕获,从而提升絮凝性能。形貌变化也证实了NAM和DMC成功接枝到CS主链上。

Figure 5. SEM images of CS and CS-g-PDN

5. CS和CS-g-PDN的扫描电镜图像

6.4. CS-g-PDN的BET分析

Figure 6. N2 adsorption-desorption isotherms of CS and CS-g-PDN

6. CS和CS-g-PDN的N2吸附-脱附等温线

图6(a)图6(b)分别为CS和CS-g-PDN的N2吸附–脱附等温线,均为IV型等温线(IUPAC分类),表明存在典型的介孔(中孔)材料[10]

使用BET方程计算结果在表5,CS和CS-g-PDN的比表面积分别为1.3122为m2/g和27.3304 m2/g,孔容积分别为0.003589 cm3/g和0.009897 cm3/g。使用BJH方法计算结果在表5中,CS和CS-g-PDN的平均孔径分别为约10.0959 nm和15.0109 nm。在NAM和DMC接枝在壳聚糖上之后,表面积、孔容积和中孔率都显著增加,为染料的吸附和捕获提供了更多的位点,增加了产物的去污能力。N2物理分析结果与SEM报告结果一致说明壳聚糖改性后表面结构发生变化,更有利于染料的吸附。

Table 5. Specific surface area calculated by the BET method

5. 使用BET方程计算结果

样品

SBET

(m2/g)a

Pore volume

(cm3/g)b

Average poresize

(nm)c

CS

1.3122

0.003589

10.0959

CS-g-PDN

27.3304

0.009897

15.0109

6.5. CS-g-PDN的EDS能谱分析

CS-g-PDA的EDS能谱如图7所示和元素分布如表6所示,根据图7表6,采用EDS能谱对CS-g-PDN接枝共聚物进行元素组成分析。实测元素含量与产物呈现良好一致性,这从元素化学计量关系角度证实NAM与DMC单体已通过自由基接枝共聚反应成功键合至壳聚糖主链。

Figure 7. Zeta potential of CS and CS-g-PDN as a function of pH

7. CS和CS-g-PDN的Zeta电位随pH变化

Table 6. EDS elemental analysis results of CS-g-PDN

6. CS-g-PDN的元素分布

元素

Wt%

Wt% Sigma

C

51.62

0.77

N

10.77

1.08

O

30.55

0.50

S

6.40

0.14

Cl

0.33

0.05

总量:

100.00

6.6. CS-g-PDN的Zeta电位分析

将样品研磨至5 µm,称取0.05 g待测样品置入100 mL烧杯中,并加入1 mM的NaCl溶液,用质量浓度为1%的HCl溶液和NAOH溶液调节溶液pH,置于磁力搅拌器上搅拌15 min,静置10 min后,吸取少量上清液,用NanoZs-90zeta电位分析仪对其进行电位测量,测量三次取平均值作为最终的测量值。

CS-g-PDA的Zeta电位如图8所示,相比于CS,CS-g-PDA的整体正电性大幅提升,在整个测试范围内,Zeta电位值始终高于CS。而且等电点显著右移,证明了携带季铵基团的DMC的成功接枝,为聚合物带来了更强、更稳定的正电性,为增强絮凝剂电荷中和能力提供条件。

Figure 8. Elemental mapping images of CS-g-PDN

8. CS-g-PDN的EDS能谱

7. 絮凝条件对于染料性能的影响

7.1. 添加量对于染料性能的影响

(a) (b)

Figure 9. Effect of dosage on the flocculation performance of CS-g-PDN

9. 添加量对于CS-g-PDN絮凝性能的影响

在初始浓度0.25 g/L、pH = 7条件下,考察了絮凝剂投加量对三种染料去除率的影响(图9)。对于刚果红,投加量为0.025 g/L时去除率为84.25%,0.25 g/L时达到98%,1 g/L时超过99%。综合成本与效果,其最佳投加量为0.25 g/L。对于苋菜红,投加量从0.025 g/L (80.31%)增至1.25 g/L (98.9%),后续增加无显著提升,最适投加量为1.24 g/L。酸性橙G在0.025 g/L时去除率为71.44%,增至1.5 g/L时达91.23%,继续增加效果不明显。

图9(b)所示,随投加量增加,更多壳聚糖分子提供正电荷,有效中和染料颗粒的负电荷,减弱颗粒间排斥,促进聚集。同时,其长链发挥架桥作用,形成易沉降的大絮体;足量时还可形成三维网状结构[11],进一步捕获悬浮颗粒。

7.2. pH对染料去除率的影响

三种染料初始浓度均为0.25 g/L,絮凝剂添加量分别为刚果红0.25 g/L,苋菜红1.5 g/L,酸性橙G在1.5 g/L在pH为3~11的条件下分别探究了CS-g-PDN对于三种染料的去除率。由图10(a)中可知刚果红、苋菜红还是酸性橙G三种染料均在pH值为3~7 (酸性和中性)条件下表现出较高的去除率。刚果红在pH为3~7时去除率在97.5%以上;在pH值为8时下降到90%,且随着pH值的不断增大去除率降低。苋菜红在pH值为3~7去除率在96.14%以上;在pH值为8时下降到88%,且随着pH值的增大去除率下降。酸性橙G在pH值为3~7时在90%以上,在pH为8时下降到84%,随着pH的增大去除率下降。

CS-g-PDN随着pH值的增大,去除率先增大后减小这种趋势在图10(b)中可以更直观的观察到,因为絮凝剂CS-g-PDN在酸性条件下随着pH值的增大去除率增大,因为在pH过低的强酸环境下,会降低絮凝剂的结构稳定性。在弱酸条件下,CS-g-PDN能保持稳定的结构,同时壳聚糖的游离氨基与氢离子键合而带正电荷,加上阳离子单体DMC的接枝游离氢离子的质子化作用,能加强CS-g-PDN与阴离子染料的电荷中和作用,将去除率保持在一个较高水平。在碱性条件下,随着阴离子浓度的增大抑制的电荷中和作用,去除率因此降低。

(a) (b)

Figure 10. Effect of pH on the flocculation performance of CS-g-PDN

10. pH对CS-g-PDN絮凝性能的影响pH对CS-g-PDN絮凝性能的影响

7.3. 初始染料浓度对于染料性能的影响

图11(a)所示,在pH = 6及固定投加量(刚果红0.25 g/L,苋菜红1.25 g/L,酸性橙G 1.5 g/L)条件下,CS-g-PDN对不同初始浓度的染料表现出差异去除效果:对刚果红在0.25~2 g/L浓度范围内,去除率均高于98%;对苋菜红:浓度在0.25~1.5 g/L时去除率超过97.5%,浓度升至2 g/L时略降至95.8%;对酸性橙G:浓度在0.2~1.5 g/L时去除率达90%以上,浓度2 g/L时降至80%。

这种趋势在图11(b)中可以更直观的观察到。随着染料浓度的增大,去除率逐渐减小的原因包括:(1) 电荷中和不足:絮凝剂投加量固定时,高浓度染料所需的中和阳离子位点不足,导致电荷中和不彻底;(2) 桥联作用受限:高浓度下颗粒过于密集,阻碍絮凝剂分子伸展与架桥,降低絮凝效率;(3) 竞争吸附与空间位阻:过多染料颗粒竞争有限吸附位点,并产生空间位阻,影响絮体形成与沉降。污染物浓度过高时,颗粒之间的碰撞频率增加,但同时也可能因为颗粒过多而阻碍絮凝剂的吸附和桥联[12],形成较小的絮体,沉降性能变差[13]

(a) (b)

Figure 11. Flocculation performance of CS-g-PDN as a function of initial dye concentration

11. 初始染料浓度对于CS-g-PDN絮凝性能的影响

7.4. pH对染料去除率的影响

Figure 12. Variation in zeta potential of the supernatant

12. 絮凝过程上清液的Zeta电位变化图像

在最佳实验条件下CS-g-PDA对苋菜红絮凝过程中上清液的Zeta电位变化图像如图12所示,该图揭示了CS‑g‑PDN絮凝苋菜红的动态过程:0~2 h (快速电中和):阳离子絮凝剂迅速吸附染料颗粒,通过电荷中和使体系脱稳,形成微絮体;2~24 h (吸附架桥为主):电中和基本完成,转为依靠三维网状结构进行桥联与网捕,形成密实矾花并开始沉降;24~72 h (沉降平衡):大规模沉降结束,上清液澄清,Zeta电位趋于稳定,由残留微量絮凝剂或细小絮体碎片贡献。

8. CS-g-PDN在混合染料废水中的应用

使用0.5 g/L的苋菜红、刚果红和酸性橙G等体积混合模拟污水。结果如图13(a)所示:当投加量为1 g/L时,在pH 3~7范围内,絮凝剂对混合溶液中刚果红和苋菜红的去除率均高于98.57%。对酸性橙G的去除效果(图13(b))显示,在相同pH范围内,投加量0.75 g/L时去除率 > 74.27%,1 g/L时 > 80%,1.5 g/L时 > 90%。CS-g-PDN在混合染料体系中对苋菜红和刚果红的去除效果仍优于酸性橙G,且与CS-g-PDA相比,达到相同处理效果所需投加量更低。

(a) (b)

Figure 13. CS-g-PDN for the treatment of mixed wastewater

13. CS-g-PDN在混合染料废水中的应用

9. CS-g-PDA和CS-g-PDN絮凝时间对比

使用0.5 g/L的苋菜红溶液,设置pH为6,探究时间对于絮凝剂CS-g-PDN絮凝性能的影响,同时对照相同添加量的CS-g-PDN和CS-g-PDA在相同溶液中在不同絮凝时间下的去除率,结果如图14所示。絮凝时间对去除率的影响如图14所示:CS‑g‑PDN在3 h时去除率为40.5%,随反应时间延长逐渐升高,至24 h达最大值99.27%;CS‑g‑PDA在3 h时去除率为63%,36 h时为94%,48 h才达到99.1%。两者均随时间延长而效率提升,源于更充分的电荷中和、架桥及网捕作用。CS‑g‑PDN絮凝速率更快,是由于其NAM单体中的酰胺基(–CON(CH3)2)亲水性强、甲基基团提供空间位阻,促进分子链伸展[13],从而增强了桥联效率。

表7所示,在最佳合成条件下,CS‑g‑PDN的接枝率、比表面积及阳离子度均高于CS‑g‑PDA。这是由于NAM为非离子单体,其聚合活性较高,且不中和DMC的正电荷,故CS‑g‑PDN阳离子度更高、接枝率更大。较高的阳离子度增强了其电中和能力与反应速率;更高的接枝率与略大的比表面积则使其桥联能力与物理吸附位点更多,有利于形成密实絮体并快速沉降,从而实现更高效的固液分离。

Figure 14. Comparison of flocculation time between CS-g-PDA and CS-g-PDN

14. CS-g-PDA和CS-g-PDN絮凝时间对比

Table 7. Comparative evaluation of CS-g-PDA and CS-g-PDN

7. CS-g-PDA与CS-g-PDN性能对比

性能指标

CS-g-PDA (最佳条件)

CS-g-PDN (最佳条件)

阳离子度

1.5 mmol/g

3.0 mmol/g

接枝率

160%

175%

比表面积

24.2503 (m2/g)a

27.3304 (m2/g)a

10. 小结

本文以CS、NAM和DMC为原料,通过自由基聚合制备了一种新型三元共聚絮凝剂CS-g-PDN。采用单因素实验法对影响染料去除率的温度、反应时间、单体配比进行了优化。结果表明在55℃、3.5 h、CS:NAM:DMC质量比为1:2:3时的絮凝效果最佳;利用正交实验验证确定三种条件对CS-g-PDN絮凝性能影响的顺序为单体配比(CS:DMC:NAM) > 反应时间(h) > 反应温度(℃)。在最佳反应条件下对苋菜红、刚果红、酸性橙G的最佳去除率可达98%、97.5%和90%。在三种ph值3~7的染料混合溶液中去除率达到了80%以上。采用FT-IR、XRD等手段对聚合物的化学结构、结晶形态进行表征,证明了CS-g-PDN的成功合成。通过SEM观察到CS-g-PDN表面出现呈现出鳞状小圆片状的三维立体结构;N2物理分析结果验证了改性后CS的比表面积、孔体积和平均孔径均有了明显增大,为该种聚合物具有良好的絮凝效果提供理论支持。对比CS-g-PDA在同等条件下,CS-g-PDN的达到最大絮凝效果的时间明显短于CS-g-PDN。是一种,能在短时间内高效便捷,不对环境造成二次污染的新型壳聚糖改性高分子絮凝剂。

NOTES

*通讯作者。

参考文献

[1] Zhao, Q., Wu, H., Shen, W., Han, X., Zheng, B. and Wang, Y. (2023) Dielectric Barrier Discharge Plasma-Modified Chitosan Flocculant and Its Flocculation Performance. International Journal of Biological Macromolecules, 251, Article ID: 126364. [Google Scholar] [CrossRef] [PubMed]
[2] Pérez-Calixto, M.P., Ortega, A., Garcia-Uriostegui, L. and Burillo, G. (2016) Synthesis and Characterization of N-Vinylcaprolactam/N,N-Dimethylacrylamide Grafted onto Chitosan Networks by Gamma Radiation. Radiation Physics and Chemistry, 119, 228-235. [Google Scholar] [CrossRef
[3] 甘颖, 陈千仟, 叶翠情, 等. 羧甲基壳聚糖接枝N,N-二甲基丙烯酰胺复合水凝胶的制备及性能研究[J]. 精细石油化工, 2018, 35(1): 61-65.
[4] 杨小华. N,N-二甲基丙烯酰胺聚合物的合成及其应用研究进展[J]. 应用化工, 2009, 38(10): 1509-1512.
[5] 张旺. 天然高分子接枝阳离子型絮凝剂的制备及絮凝性能研究[D]: [硕士学位论文]. 西安: 西北大学, 2021.
[6] 王柱, 陈洋, 李兴华, 等. 有机高分子型阳离子聚丙烯酰胺絮凝剂合成技术研究进展[J]. 造纸科学与技术, 2022, 41(6): 15-19.
[7] Wahlström, R., Kalliola, A., Heikkinen, J., Kyllönen, H. and Tamminen, T. (2017) Lignin Cationization with Glycidyltrimethylammonium Chloride Aiming at Water Purification Applications. Industrial Crops and Products, 104, 188-194. [Google Scholar] [CrossRef
[8] 任二辉, 肖红艳, 郭荣辉, 等. 阳离子度对疏水化阳离子型絮凝剂脱色性能的影响[J]. 染整技术, 2019, 41(10): 21-25.
[9] 于晓东, 张凯明, 程泽红, 等. 壳聚糖基接枝改性絮凝剂的合成及絮凝性能研究[J/OL]. 矿产综合利用, 1-10.
https://link.cnki.net/urlid/51.1251.TD.20250116.1645.010, 2026-03-25.
[10] Nguyen, N.T., Nguyen, N.T. and Nguyen, V.A. (2020) In Situ Synthesis and Characterization of ZnO/Chitosan Nanocomposite as an Adsorbent for Removal of Congo Red from Aqueous Solution. Advances in Polymer Technology, 2020, Article ID: 3892694. [Google Scholar] [CrossRef
[11] 欧文波, 祝方, 万鹏, 等. 壳聚糖絮凝剂对焦化废水生化出水的COD去除研究[J]. 科学技术与工程, 2014, 14(21): 167-172.
[12] Wu, P., Yi, J., Feng, L., Li, X., Chen, Y., Liu, Z., et al. (2020) Microwave Assisted Preparation and Characterization of a Chitosan Based Flocculant for the Application and Evaluation of Sludge Flocculation and Dewatering. International Journal of Biological Macromolecules, 155, 708-720. [Google Scholar] [CrossRef] [PubMed]
[13] Abdiyev, K.Z., Toktarbay, Z., Zhenissova, A.Z., Zhursumbaeva, M.B., Kainazarova, R.N. and Nuraje, N. (2015) The New Effective Flocculants—Copolymers of N,N-Dimethyl-N,N-Diallyl-Ammonium Chloride and N,N-Dimethylacrylamide. Colloids and Surfaces A: Physicochemical and Engineering Aspects, 480, 228-235. [Google Scholar] [CrossRef