不同碱剂在酸性矿山废水中和处理中的效能对比
Performance Comparison of Different Alkaline Agents for Neutralization of Acid Mine Drainage
DOI: 10.12677/wpt.2026.142006, PDF, HTML, XML,   
作者: 王雨龙*, 高 渊, 姚溪蕊, 宋 辰, 朱国燕:伊春鹿鸣矿业有限公司,黑龙江 伊春;吴晓亭:中铁环境科技工程有限公司,湖南 长沙;李 伟#:西安建筑科技大学环境与市政工程学院,陕西 西安
关键词: 酸性矿山废水化学中和法氢氧化钙经济分析最优药剂Acid Mine Drainage Chemical Neutralization Calcium Hydroxide Economic Analysis Optimal Reagent
摘要: 化学中和法是酸性矿山废水(AMD)治理中应用最广泛的技术之一。受水力停留时间(HRT)限制,不同碱剂的反应动力学差异常导致实际投加量与理论值之间存在较大偏差。为系统比较典型碱剂的中和特性,以鹿鸣钼矿酸性矿山废水为研究对象,在25℃、搅拌速率350 rpm、HRT为30 min的条件下,系统评估了氢氧化钠(NaOH)、氢氧化钙(Ca(OH)2)和氢氧化镁(Mg(OH)2)的中和性能及其对重金属离子的去除效果。结果表明,不同碱剂的中和效率依次为NaOH > Ca(OH)2 > Mg(OH)2。按照理论值投加NaOH,1分钟内即可将水样pH提升至目标值10.5;而若想在规定的HRT内将溶液pH提升至10.5,Ca(OH)2和Mg(OH)2的实际投加量分别为理论值的1.6倍和2.7倍。另外,酸性矿山废水中重金属的去除率主要受溶液pH值影响,与碱剂种类关系不大。综合考虑碱性剂单价及实际投加量,Ca(OH)2的吨水处理成本显著低于NaOH和Mg(OH)2,因此可作为酸性矿山废水中和处理的优选碱剂。
Abstract: Chemical neutralization is one of the most widely applied techniques for the treatment of acid mine drainage (AMD). Due to limitations in hydraulic retention time (HRT), differences in the reaction kinetics of various alkaline agents can lead to significant deviations between actual and theoretical dosages. To systematically compare the neutralization characteristics of typical alkaline agents, AMD from the Luming molybdenum mine was used as the study object. Under conditions of 25˚C, a stirring rate of 350 rpm, and HRT of 30 min, the neutralization performance of sodium hydroxide (NaOH), calcium hydroxide (Ca(OH)2), and magnesium hydroxide (Mg(OH)2) and their effects on heavy metal removal were systematically evaluated. The results indicated that the neutralization efficiency of the alkaline agents followed the order NaOH > Ca(OH)2 > Mg(OH)2. At the theoretical dosage, NaOH was able to raise the water sample pH to the target value of 10.5 within 1 min. In contrast, to achieve a target pH of 10.5 within the specified HRT, the actual dosages of Ca(OH)2 and Mg(OH)2 needed to be 1.6 and 2.7 times their theoretical values, respectively. In addition, the study revealed that the heavy metal removal efficiency in AMD was primarily influenced by the solution pH rather than the type of alkaline agent. Considering both the unit cost of the alkaline agents and the actual dosage required, the treatment cost per ton of water using Ca(OH)2 was significantly lower than that using NaOH or Mg(OH)2, indicating that Ca(OH)2 is the preferred alkaline agent for AMD neutralization.
文章引用:王雨龙, 高渊, 姚溪蕊, 宋辰, 朱国燕, 吴晓亭, 李伟. 不同碱剂在酸性矿山废水中和处理中的效能对比[J]. 水污染及处理, 2026, 14(2): 53-59. https://doi.org/10.12677/wpt.2026.142006

1. 引言

酸性矿山废水(Acid Mine Drainage, AMD)是一类典型工业废水,主要来源于矿山开采或废弃矿石堆积过程中硫化矿物的氧化反应。在水体和空气的作用下,黄铁矿等硫化矿物会发生氧化反应,生成硫酸并释放出Fe2+、Mn2+等金属离子,因此酸性矿山废水通常呈现强酸性(pH < 3)并伴有多种高浓度重金属离子[1] [2]。为降低其对周边生态环境的危害,国家相关法规要求酸性矿山废水必须经处理达标后方可排放[3]

在众多酸性矿山废水处理工艺中,化学中和法因工艺简单、处理效率高且易于工业化应用,已成为当前应用最为广泛的技术途径[4] [5]。其基本原理是利用碱性药剂(如氢氧化钠、氢氧化钙和氢氧化镁)与废水中的H+发生反应,提升溶液pH并生成低溶解度的氢氧化物,从而实现重金属离子的沉淀去除[6]。在实际酸性矿山废水处理工程中,受反应池体积限制,酸碱中和反应的水力停留时间(HRT)也相对固定,不同类别碱剂在溶解性、反应速率和沉淀特性等方面的差异可能会导致其实际中和效果存在显著差别。因此,合理选择中和剂不仅能够确保废水在有限时间内快速达标,还可优化处理操作流程,降低药剂消耗和运行成本。

本文以黑龙江鹿鸣钼矿酸性矿山废水为研究对象,系统对比了在有限水力停留时间内氢氧化钠、氢氧化钙和氢氧化镁的中和性能及其对主要重金属污染物的去除效能。结合药剂投加量、反应效率及经济成本分析,筛选出实际应用中具有最佳综合性能的中和药剂。

2. 材料与方法

2.1. 试剂与水样

实验所用碱剂氢氧化钠(NaOH)、氢氧化钙(Ca(OH)2)以及氢氧化镁(Mg(OH)2)均为分析纯,购于中国国药集团化学试剂有限公司。实际酸性矿山废水样品采集自黑龙江伊春鹿鸣矿业有限公司水处理站进水口处,样品储存在密闭的高密度聚乙烯(HDPE)瓶中,并放置于4℃下保存。酸性矿山废水样品的主要水质特征如下:pH = 2.62、总铝浓度313 mg/L、总铁浓度161 mg/L、总铬浓度102 mg/L、总铜浓度68 mg/L、总锌浓度58 mg/L、总锰浓度51 mg/L、硫酸根浓度3155 mg/L。

2.2. 实验方法

实验在500 mL烧杯中进行,水温控制在25℃ ± 1℃。根据实验设计分别投加不同质量的碱剂,反应体系采用磁力搅拌器以350 rpm搅拌30 min,并在搅拌过程中实时监测溶液pH (Metrohm 949 pH计,瑞士)的变化。待反应结束后取上清液,经0.45 µm滤膜过滤后采用电感耦合等离子体质谱仪(ICP-MS,安捷伦7900,美国)测定不同重金属的浓度。

3. 结果与讨论

3.1. 理论投加量条件下溶液pH变化

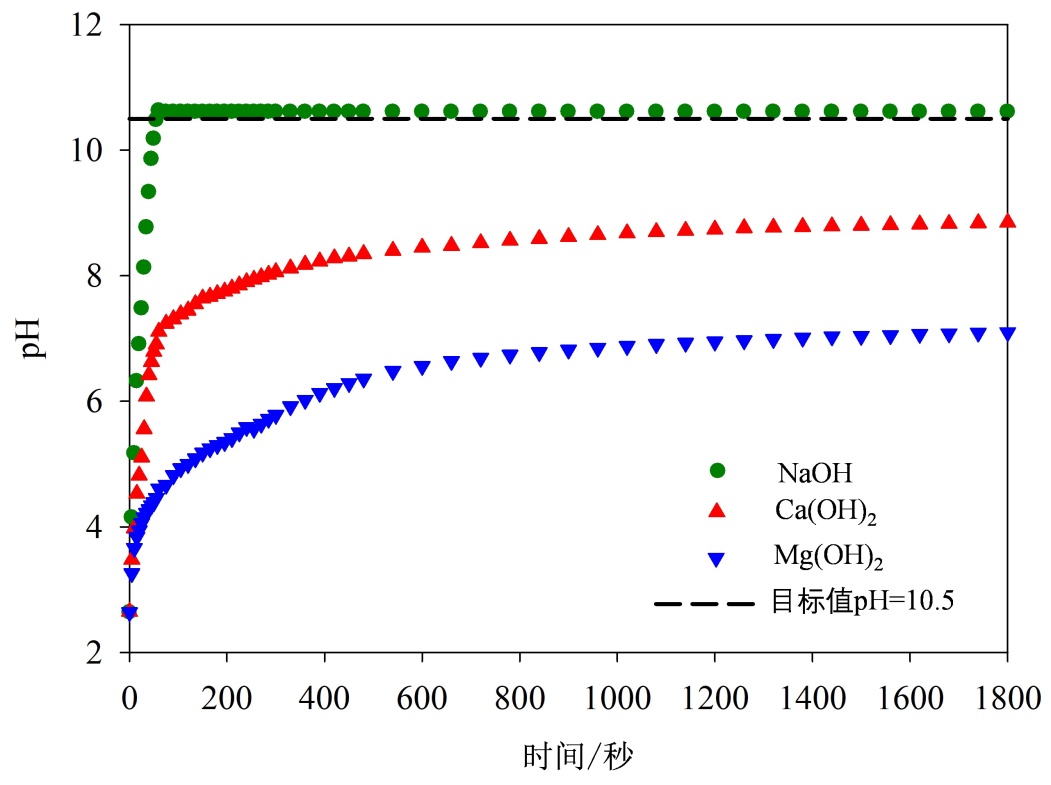
利用氢氧化钠对酸性矿山废水进行滴定,可得中和体系达到目标值pH = 10.5所需的[OH]理论浓度为91.33 mM。依据物质的能量守恒原理,可计算出NaOH、Ca(OH)2与Mg(OH)2的理论投加量分别为3.65 g/L、3.38 g/L和2.66 g/L。将三种碱剂按照理论值分别加入酸性矿山废水中进行中和实验,并在反应过程中记录溶液pH随时间的变化,以系统比较不同碱剂的中和性能。

Figure 1. Variation of solution pH with reaction time after adding different alkalis to acid mine drainage at their theoretical dosages

1. 按理论量向酸性矿山废水中投加不同碱后溶液pH随反应时间的变化

图1所示,投加NaOH后,反应体系的pH在1 min内迅速升高至目标值10.5,并在随后反应过程中保持稳定。相较而言,Ca(OH)2在反应初期(约1 min)使溶液pH迅速上升,随后上升速率逐渐减缓,在30 min时反应体系的pH为8.85;而投加Mg(OH)2的pH变化趋势与Ca(OH)2相似,但总体上升幅度较低,30 min时反应体系的pH仅升高至7.22,远低于预期值10.5。因此,在理论投加量条件下,三种碱剂对酸性矿山废水样品的中和效率依次为NaOH > Ca(OH)2 > Mg(OH)2。该现象可能主要源于不同碱剂溶解度及其饱和溶液pH的差异。NaOH在水中可完全电离,因此可迅速释放大量OH,从而能够实现快速中和反应。相比之下,Ca(OH)2的溶解度为1.73 g/L (25℃时),其饱和溶液pH约为12.4,导致中和过程相对缓慢[7]。而Mg(OH)2的溶解度更低,仅为0.009 g/L (25℃),其饱和溶液pH在10.6左右;由于Mg(OH)2在水中的溶解速率极慢且平衡pH较低,可释放的OH数量有限,因而其对酸性矿山废水中酸性成分的中和能力最弱。

3.2. 投加不同量Ca(OH)2时溶液pH的变化

为实现在有限的HRT内(30 min)将酸性矿山废水pH提升至目标值10.5,实验设置了不同投加量的Ca(OH)2以探究其对溶液pH变化的影响。如图2所示,随着Ca(OH)2投加量的增加,溶液pH均呈现先快速上升后缓慢升高的变化趋势。在理论投加量条件下,反应30分钟后pH仅升高至8.85;当投加量增加至理论值的1.2倍时,pH可升至9.45;而实际投加量达到理论值的1.6倍时,溶液pH恰好达到目标值10.5。

实验结果表明,即使投加过量Ca(OH)2,溶液pH仍难以像NaOH那样在短时间内迅速升高至目标值,该现象可能归因于Ca(OH)2的低溶解性及其OH缓慢的释放速率。由于酸性矿山废水溶液pH较低,酸碱平衡使得pH在初始阶段迅速升高[8];随着溶液中H+浓度逐渐下降,Ca(OH)2的低溶解度限制了OH的进一步释放,导致pH上升速率明显减缓。在投加量较小的情况下,限定HRT内释放的OH不足以将溶液pH提升至目标值,因此需要提高Ca(OH)2投加量以提供更多OH,从而达到预期pH。

Figure 2. Variation of solution pH with reaction time after adding different dosages of Ca(OH)2 to acid mine drainage

2. 向酸性矿山废水中投加不同量Ca(OH)2后溶液pH随反应时间的变化

3.3. 投加不同量Mg(OH)2时溶液pH的变化

与投加Ca(OH)2类似,随着Mg(OH)2投加量的增加,溶液pH也逐步升高。如图3所示,在理论投加量条件下,反应30 min后溶液pH可由2.64升高至7.12;当投加量增加至理论量的1.5倍时,pH升至8.23;投加量达到理论量的2倍时,pH进一步升至9.32;当投加量达到理论量的2.7倍时,溶液pH可升高至10.45,略低于设定目标值10.5。

该实验结果主要受限于Mg(OH)2的溶解度和溶解动力学特性。Mg(OH)2的溶解度极低,在25℃下约为0.009 g/L,其饱和溶液的pH仅为10.6左右。由于起始溶液酸性较强(pH 2.64),大量H⁺离子的存在使得Mg(OH)2的溶解过程伴随着酸碱中和反应,但溶解速率较慢限制了OH的释放速度。随着投加量增加,Mg(OH)2可释放更多OH以中和酸性矿山废水中的酸性组分,从而逐步提高了溶液pH值。但由于其溶解受化学平衡限制,溶解产物达到饱和后其水解受到抑制,导致pH提升趋于缓慢。

Figure 3. Variation of solution pH with reaction time after adding different dosages of Mg(OH)2 to acid mine drainage

3. 向酸性矿山废水中投加不同量Mg(OH)2后溶液pH随反应时间的变化

3.4. 不同碱剂对酸性矿山废水中重金属离子的去除效果

向酸性矿山废水中分别投加NaOH、Ca(OH)2和Mg(OH)2,将溶液pH调节至10.5,沉淀后水中主要重金属离子的残留浓度如图4所示。结果表明,三种碱性剂均能有效提高酸性矿山废水的碱度,并显著降低其中的重金属离子浓度。其中,NaOH、Ca(OH)2和Mg(OH)2均可将总铁和总铜的浓度由239 mg/L和46 mg/L降至0 mg/L (低于方法检测限);而对于其他重金属离子,三种碱剂的去除效果存在一定差异。投加NaOH、Ca(OH)2和Mg(OH)2后,总铝浓度由313 mg/L分别降至10.2 mg/L、3.1 mg/L和5.2 mg/L;总铬浓度由102 mg/L分别降至1.4 mg/L、0.7 mg/L和1.9 mg/L;总锰浓度由47.2 mg/L分别降至1.1 mg/L、0.4 mg/L和0.8 mg/L;总锌浓度由28 mg/L分别降至4.5 mg/L、1.3 mg/L和2.8 mg/L;硫酸根浓度由3155 mg/L分别降低至3071 mg/L、2890 mg/L和2519 mg/L。综合而言,三种碱剂对废水中重金属和硫酸根均有良好的去除效果,其中Ca(OH)2的处理效果最佳,其次为Mg(OH)2和NaOH。

随着溶液pH的升高,Fe3+、Al3+、Mn2+、Zn2+等离子与溶液中OH发生反应,生成Fe(OH)3、Al(OH)3、Mn(OH)2、Zn(OH)2等低溶解度的氢氧化物沉淀,从而实现重金属离子的有效去除。然而,在相同pH条件下,不同碱剂对重金属的去除效果仍存在一定差异,这可能与Ca(OH)2和Mg(OH)2的低溶解度有关。两者在反应过程中可形成局部高碱度微环境,促进金属氢氧化物的生成与沉降;同时,Ca2+和Mg2+可与Fe、Al等形成多金属复合氢氧化物,并通过吸附、表面络合及共沉淀等机制进一步去除残余的Zn2+、Cr3+、Mn2+等离子[9]。此外,Ca(OH)2和Mg(OH)2生成的沉淀颗粒粒径较大、密度高、易于沉降,也有利于增强重金属的去除效果。相较而言,NaOH虽能迅速提高溶液pH,但由于溶解度高且缺乏二价阳离子的协同作用,体系中形成的沉淀多为粒径细小、结构疏松的胶体态物质,其吸附与共沉淀能力较弱,导致上清液中残留金属浓度相对较高。

Figure 4. Residual concentrations of heavy metals in acid mine drainage after pH adjustment to 10.5 sing different alkalis

4. 不同碱调节酸性矿山废水pH至10.5后重金属的残留浓度

3.5. 成本分析

根据实验结果,为将酸性矿山废水样品的pH调节至目标值10.5,NaOH、Ca(OH)2和Mg(OH)2的实际投加量分别为3.65 g/L (理论值的1倍)、5.41 g/L (理论值的1.6倍)和7.18 g/L (理论值的2.7倍)。结合2025年10月市场报价,片碱(NaOH,含量 > 99%)为3433元/吨,氢氧化钙(含量 > 90%)为620元/吨,氢氧化镁(含量 > 92%)为1450元/吨。据此计算,采用NaOH、Ca(OH)2和Mg(OH)2将酸性矿山废水pH调节至10.5时的吨水处理成本分别约为12.66元、3.72元和11.32元,Ca(OH)2具有显著的水处理成本优势。

综上,虽然NaOH的理论投加量最低且中和反应速度快,但其高单价导致吨水处理成本最高;Mg(OH)2尽管单价低于NaOH,但由于溶解性较差且需要较高投加量,其综合处理成本仍高于Ca(OH)2。而Ca(OH)2虽需投加量高于理论值,但其单价低、沉淀性能优良,使得吨水处理成本最低,具有明显的经济优势。此外,从实际工程操作的角度来看,Ca(OH)2的沉淀物粒径较大、易于沉降,也有助于减少后续污泥处理难度,从而进一步降低综合运行成本。综合考虑投加量、反应特性及经济性,Ca(OH)2为酸性矿山废水中和处理工程的优选碱剂。

4. 结论

1、不同碱剂的中和效率存在显著差异,其反应速率顺序为NaOH > Ca(OH)2 > Mg(OH)2。在限定的HRT内,NaOH在理论投加量时即可将水样pH提升至目标值,而Ca(OH)2和Mg(OH)2需过量投加。

2、酸性矿山废水中重金属的去除率主要受溶液pH控制,而与碱剂种类关系较小。相比于投加NaOH形成的细小颗粒,Ca(OH)2和Mg(OH)2生成的沉淀物粒径更大且密实,具有更好的沉降性能。

3、为将酸性矿山废水水样pH调节至10.5,NaOH、Ca(OH)2和Mg(OH)2的吨水处理成本分别约为12.66元、3.72元和11.32元。综合考虑投加量、反应特性及经济性,Ca(OH)2具有明显优势,是酸性矿山废水中和处理的优选碱剂。

NOTES

*第一作者。

#通讯作者。

参考文献

[1] 袁加巧, 柏少军, 毕云霄, 等. 国内外矿山酸性废水治理与综合利用研究进展[J]. 有色金属工程, 2022, 12(4): 131-139.
[2] Mosai, A.K., Ndlovu, G. and Tutu, H. (2024) Improving Acid Mine Drainage Treatment by Combining Treatment Technologies: A Review. Science of the Total Environment, 919, Article ID: 170806. [Google Scholar] [CrossRef] [PubMed]
[3] 环境保护部, 国家质量监督检验检疫总局. GB26451-2011稀土工业污染物排放标准[S]. 北京: 中国环境科学出版社, 2011.
[4] 许昊洋, 宁寻安, 陈涛, 等. 酸性矿山废水中多种有价金属的高效分离[J]. 环境保护科学, 2024, 50(3): 119-127.
[5] Villa Gomez, D., Hong, P., Berry, L., Liu, D. and Edraki, M. (2023) Element Distribution in Electrochemically Treated Mine Wastewater for Efficient Resource Recovery and Water Treatment: A Pilot Study. Chemosphere, 339, Article ID: 139536. [Google Scholar] [CrossRef] [PubMed]
[6] 谢义曦, 吴攀, 李学先, 等. 分级化学沉淀法从酸性矿山废水中回收稀土元素试验研究[J]. 中国稀土学报, 2024, 42(2): 360-370.
[7] Zhou, C., Ni, J., Chen, H. and Guan, X. (2021) Harnessing Electrochemical pH Gradient for Direct Air Capture with Hydrogen and Oxygen By-Products in a Calcium-Based Loop. Sustainable Energy & Fuels, 5, 4355-4367. [Google Scholar] [CrossRef
[8] 杨江峰, 许良全, 李子建, 等. 碱改性污泥生物炭去除酸性矿山废水中的Cd(II) [J]. 矿冶, 2025, 34(1): 124-134.
[9] Wimalaweera, I.P., Wei, Y., Ritigala, T., Wang, Y., Zhong, H., Weerasooriya, R., et al. (2024) Enhanced Pretreatment of Natural Rubber Industrial Wastewater Using Magnetic Seed Coagulation with Ca(OH)2. Water, 16, Article 847. [Google Scholar] [CrossRef