围绝经期妇女心律失常与焦虑的相关性分析
Analysis of the Correlation between Arrhythmia and Anxiety in Perimenopausal Women
摘要: 目的:探究围绝经期妇女心律失常的发生情况与焦虑状态之间是否存在相关性。方法:选取2024年07月至2025年10月就诊于内蒙古自治区人民医院门诊心电图室的围绝经期妇女患者160例,依据常规12导联心电图检查结果,按照有无心律失常分为观察组(心律失常组)和对照组(无心律失常组),每组各80例。采用焦虑自评量表(SAS)、汉密尔顿焦虑量表(HAMA)评估两组焦虑状态,通过回顾性观察研究设计,运用Spearman相关性分析、多因素二元Logistic回归模型进行数据分析,探讨围绝经期妇女心律失常与焦虑的关联。结果:Spearman相关分析显示,SAS评估的焦虑状态与心律失常存在相关性(r = 0.389, p < 0.001);HAMA评估的焦虑状态与心律失常存在相关性(r = 0.351, p < 0.001)。多因素二元Logistic回归分析显示,SAS评分确定的焦虑状态单独影响心律失常发生,OR值为5.278 (2.630~10.591) (p < 0.05);HAMA评分确定的焦虑状态单独影响心律失常发生,OR值为4.914 (2.509~9.628) (p < 0.05)。围绝经期妇女心律失常的发生与不同焦虑状态的程度呈正相关。结论:围绝经期妇女心律失常的发生与其不同焦虑状态的程度具有显著相关性,焦虑是围绝经期妇女发生心律失常的独立危险因素。
Abstract: Objective: Investigating the Correlation Between the Incidence of Arrhythmia in Perimenopausal Women and Their Anxiety Levels. Methods: A total of 160 perimenopausal women who visited the outpatient electrocardiography department of Inner Mongolia Autonomous Region People’s Hospital between July 2024 and October 2025 were selected. Based on conventional 12-lead electrocardiogram results, they were divided into an observation group (arrhythmia group) and a control group (non-arrhythmia group) according to the presence or absence of arrhythmia, with 80 cases in each group. Anxiety levels in both groups were assessed using the Self-Rating Anxiety Scale (SAS) and the Hamilton Anxiety Rating Scale (HAMA). Employing a retrospective observational study design, data analysis utilized Spearman correlation analysis and a multivariate binary logistic regression model to investigate the association between arrhythmia and anxiety in perimenopausal women. Results: Spearman correlation analysis revealed that anxiety status assessed by the SAS scale was correlated with arrhythmia (r = 0.389, p < 0.001); anxiety status assessed by the HAMA scale was also correlated with arrhythmia (r = 0.351, p < 0.001). Multivariate binary logistic regression analysis revealed that anxiety status determined by SAS scores independently influenced arrhythmia occurrence, with an OR of 5.278 (2.630~10.591) (p < 0.05). Anxiety status determined by HAMA scores independently influenced arrhythmia occurrence, with an OR of 4.914 (2.509~9.628) (p < 0.05). The occurrence of arrhythmia in perimenopausal women was positively correlated with varying degrees of anxiety status. Conclusion: The occurrence of arrhythmias in perimenopausal women is significantly correlated with varying degrees of anxiety, which serves as an independent risk factor for arrhythmias in this population.
文章引用:李旭丽, 陈华. 围绝经期妇女心律失常与焦虑的相关性分析[J]. 临床个性化医学, 2026, 5(2): 166-182. https://doi.org/10.12677/jcpm.2026.52115

1. 前言

近年来,心律失常相关的流行病学、诊疗及其发病机制等方面的研究取得了新的突破和显著进展[1]。现有研究提出焦虑、抑郁等负面情绪均可影响自主神经系统的功能,从而诱发各型心律失常[1]。围绝经期是指从出现绝经相关症状或血中激素水平出现绝经趋势迹象,直至最后一次月经后一年的时间[2]。围绝经期女性卵巢功能日渐衰退,雌激素和孕激素水平不断下降,易出现植物神经功能紊乱、代谢异常等一系列症候群和精神心理失调[3] [4]。同时,围绝经期女性面临家庭、工作的双重压力,精神心理失调易演变为焦虑情绪[5]。有研究发现,为围绝经期焦虑抑郁患者补充雌激素可改善其躯体症状和精神心理症状[6]。国内外大量研究[7]表明,雌激素水平异常可能会通过影响心室肌复极,增加心律失常发生率。据临床调查[8]发现,心律失常是围绝经期女性常见症状,即在雌激素表达异常的影响下,能通过引起心肌细胞内钙离子水平失衡、传导通路异常及心肌心电学分布不均衡,诱发心律失常。目前,国内外研究多集中于广泛人群中心律失常与心理因素的关系,针对围绝经期妇女这一人群的专项研究较少。本研究旨在分析围绝经期妇女心律失常与焦虑的相关性,为临床围绝经期妇女心律失常的综合干预提供参考依据。

2. 研究对象与方法

2.1. 研究对象

选取2024年07月至2025年10月就诊于我院门诊心电图室的围绝经期妇女患者160例,根据常规12导联心电图结果,将其分为心律失常组与无心律失常组各80名,研究对象年龄40~55岁,平均年龄为49.01 ± 4.85。研究前与患者充分沟通并介绍评估目的,获取患者同意后,记录患者的一般信息(包括年龄、BMI、吸烟史、饮酒史、高血压史、糖尿病史、高血脂史、运动锻炼情况、心血管疾病家族史等)。

2.1.1. 纳入标准

1) 符合心律失常诊断标准:窦性心动过缓(心室率 < 60次/min)、窦性心动过速(心室率 > 100次/min)、偶发早搏(<5次/分钟)、窦性心律不齐,(不同pp间期的差异 > 0.12秒)中任意一种;2) 围绝经期妇女,年龄40~55岁;3) 自愿参与本研究并配合完成量表评估及资料收集者。

2.1.2. 排除标准

1) 检查当天服用抗心律失常、激素类等影响心律失常的药物,或饮用咖啡、酒等影响心律的饮品者;2) 合并肝、肾、脑血管等严重器质性疾病者;3) 合并心脏瓣膜疾病、先天性心脏病等器质性心脏病者;4) 有精神疾病史或无法配合完成量表评估及资料收集者。

2.2. 研究方法

患者休息15~20 min后,在适宜室温的安静环境下采用常规12导联心电图仪记录心电图,由同一名临床经验丰富的心电图医师阅图,根据心电图结果将患者分为“心律失常组”和“无心律失常组”,必要时加做24 h动态心电图或参考以往资料进行鉴别诊断,同时询问患者症状、病史并结合既往资料综合分析诊断,对结果进行统计分析。

量表评估

本研究采用两种焦虑量表进行双维度评估,所有量表均由经过培训的医护人员指导患者完成填写,确保评估结果的客观性。

1) 焦虑自评量表(Self-Rating Anxiety Scale, SAS):共20个自评条目,各项目采用1~4分的4级评分法,将20个项目得分相加得到总分,总分乘以1.25后取整数部分为标准分。焦虑水平判定标准:标准分 < 50分为正常;50分 ≤ 标准分 < 60分为轻度焦虑;60分 ≤ 标准分 < 70分为中度焦虑;标准分 ≥ 70分为重度焦虑。

2) 汉密尔顿焦虑量表(Hamilton Anxiety Rating Scale, HAMA):共14个评估项目,各项目采用0~4分的5级评分法,将各项目评分相加得到总分。焦虑水平判定标准:总分 < 7分为无焦虑;7分 ≤ 总分 ≤ 14分为可能有焦虑;15分 ≤ 总分 ≤ 21分为肯定有焦虑;22分 ≤ 总分 ≤ 29分为明显焦虑;总分 > 29分为严重焦虑。

2.3. 统计学方法

采用SPSS 22.0统计软件分析处理数据,计数资料以频数(构成比)表示,组间比较采用χ2检验,若理论频数 < 5则采用Fisher确切概率法;计量资料符合正态分布者以( x ¯ ±s )表示,组间比较采用独立样本t检验,非正态分布者以M (P25, P75)表示,组间比较采用Mann-Whitney U检验。采用Spearman相关分析探究焦虑评分与心律失常的相关性,采用多因素二元Logistic回归分析筛选心律失常的相关影响因素,检验水准α = 0.05,P < 0.05为差异具有统计学意义。

3. 结果

3.1. 两组研究对象基础资料比较

将围绝经期妇女心律失常组与正常组基础资料进行比较,经χ2检验显示,两组在BMI、吸烟史、高血压史、作息规律情况、每周运动锻炼情况、心血管疾病家族史方面有统计学意义(p < 0.05);而在年龄、饮酒史、糖尿病史、高血脂史、心血管疾病史方面的差异无统计学意义(P > 0.05),见表1

Table 1. Comparison of basic data between the two groups of perimenopausal women (case, %)

1. 两组患者基础资料比较情况(例,%)

基础资料

心律失常组(%)

无心律失常组(%)

合计(%)

χ2

P

年龄(岁)

<50

36 (45.00)

39 (48.75)

75 (46.88)

0.226

0.635

≥50

44 (55.00)

41 (51.25)

85 (53.12)

BMI (kg/m2)

<24

52 (65.00)

65 (81.25)

117 (73.13)

5.375

0.020

≥24

28 (35.00)

15 (18.75)

43 (26.87)

吸烟史

10 (12.50)

2 (2.50)

12 (7.50)

5.766

0.016

70 (87.50)

78 (97.50)

148 (92.50)

饮酒史

2 (2.50)

4 (5.00)

5 (3.13)

-

0.367

78 (97.50)

76 (95.00)

155 (96.87)

高血压史

34 (42.50)

17 (21.25)

51 (31.88)

8.318

0.004

46 (57.5)

63 (78.75)

109 (68.12)

糖尿病史

3 (3.75)

5 (6.25)

8 (5.00)

0.526

0.468

77 (96.25)

75 (93.75)

152 (95.00)

高血脂

6 (7.50)

11 (13.75)

17 (10.63)

1.645

0.200

74 (92.50)

69 (86.25)

143 (89.37)

作息是否规律

54 (67.50)

73 (91.25)

137 (85.63)

10.980

0.001

26 (32.50)

7 (8.75)

23 (14.37)

每周运动锻炼

11 (13.75)

32 (40.00)

43 (26.88)

14.025

0.000

69 (86.25)

48 (60.00)

117 (73.12)

心血管疾病家族史

23 (28.75)

11 (13.75)

34 (21.25)

5.378

0.020

57 (71.25)

69 (86.25)

126 (78.75)

心血管疾病

9 (11.25)

5 (6.25)

14 (8.75)

1.252

0.263

71 (88.75)

75 (93.75)

146 (91.25)

注:“-”表示Fisher切确概率法。

3.2. 两组研究对象SAS评分比较

对心律失常组和无心律失常组围绝经期妇女进行SAS量表评估,经独立样本t检验显示,心律失常组在“我觉得比平时容易紧张和着急”、“我无缘无故地感到害怕”、“我容易心里烦乱或觉得惊恐”、“我因为头痛、颈痛和背痛而苦恼”、“我觉得心跳得快”、“我因为一阵阵头晕而苦恼”、“我吸气呼气都感到很容易”、“我的手脚麻木和刺痛”、“我因为胃痛和消化不良而苦恼”、“我的手常常是干燥温暖的”、“我做噩梦”11个条目得分均高于无心律失常组,差异均具有统计学意义(p < 0.05);心律失常组SAS量表总分为39.45 ± 6.87、显著高于无心律失常组的35.16 ± 6.19,差异具有统计学意义(p < 0.05)。见表2图1

Table 2. Comparison of each item and total score of SAS between the two groups of perimenopausal women ( x ¯ ±s , score)

2. 两组围绝经期妇女SAS量表各条目及总分比较( x ¯ ±s ,分)

评估条目

心律失常组

正常组

t值

P

我觉得比平时容易紧张和着急

2.28 ± 0.75

1.85 ± 0.73

3.640

<0.001

我无缘无故地感到害怕

1.46 ± 0.65

1.28 ± 0.50

2.032

0.044

我容易心里烦乱或觉得惊恐

2.34 ± 0.83

1.86 ± 0.79

3.714

<0.001

我觉得我可能将要发疯

1.31 ± 0.47

1.21 ± 0.50

1.315

0.191

我觉得一切都很好,也不会发生什么不幸

2.33 ± 0.63

2.29 ± 0.77

0.338

0.736

我手脚发抖打颤

1.30 ± 0.62

1.34 ± 0.67

0.365

0.716

我因为头痛、颈痛和背痛而苦恼

2.13 ± 0.83

1.85 ± 0.76

2.176

0.031

我感觉容易衰弱和疲乏

2.50 ± 0.91

2.24 ± 0.78

1.950

0.053

我觉得心平气和,并且容易安静坐着

2.03 ± 0.57

2.05 ± 0.66

0.257

0.797

我觉得心跳得快

1.98 ± 0.83

1.64 ± 0.68

2.821

0.005

我因为一阵阵头晕而苦恼

1.78 ± 0.67

1.56 ± 0.63

2.054

0.042

我有晕倒发作,或觉得要晕倒似的

1.10 ± 0.34

1.06 ± 0.24

0.800

0.425

我吸气呼气都感到很容易

2.64 ± 0.93

2.33 ± 0.84

2.231

0.027

我的手脚麻木和刺痛

1.80 ± 0.92

1.45 ± 0.67

2.747

0.007

我因为胃痛和消化不良而苦恼

2.10 ± 0.94

1.78 ± 0.80

2.367

0.019

我常常要小便

1.55 ± 0.79

1.50 ± 0.75

0.410

0.682

我的手常常是干燥温暖的

2.68 ± 0.89

2.30 ± 0.74

2.891

0.004

我脸红发热

1.54 ± 0.69

1.38 ± 0.60

1.583

0.116

我容易入睡并且一夜睡得很好

3.06 ± 0.89

2.84 ± 0.97

1.525

0.129

我做噩梦

1.58 ± 0.73

1.36 ± 0.62

1.990

0.048

总分

39.45 ± 6.87

35.16 ± 6.19

4.146

<0.001

注:纵坐标为SAS量表总分(分),横坐标为研究分组。

心律失常组SAS量表标准平均分为(49.31 ± 8.59)分,其中无焦虑33例(41.25%),轻度焦虑40例(50.00%),中度焦虑7例(8.75%),焦虑发生率为58.75%;无心律失常组SAS量表标准平均分为(43.95 ± 7.74)分,其中无焦虑63例(78.75%),轻度焦虑16例(20.00%),中度焦虑1例(1.25%),焦虑发生率为21.25%,见图2、见图3。经χ2检验,心律失常组的焦虑发生率、轻度焦虑率、中度焦虑率均显著高于无心律失常组,差异具有统计学意义(p < 0.05)。见表3

Figure 1. Comparison of total SAS scores between the two groups of perimenopausal women

1. 两组围绝经期妇女SAS量表总分比较

Figure 2. Distribution of anxiety status by SAS in perimenopausal women of the arrhythmia group

2. 心律失常组围绝经期妇女SAS量表焦虑状态分布

Figure 3. Distribution of anxiety status by SAS in perimenopausal women of the non-arrhythmia group

3. 无心律失常组围绝经期妇女SAS量表确定焦虑状态分布

Table 3. Distribution of anxiety status by SAS in perimenopausal women of the non-arrhythmia group (case, %)

3. 两组围绝经期妇女SAS量表焦虑发生率比较(例,%)

焦虑状态

心律失常组(%)

正常组(%)

χ2

P

<50分(无焦虑)

33 (41.25%)

63 (78.75%)

24.161

<0.001

50~60 (轻度焦虑)

40 (50.00%)

16 (20.00%)

61~70 (中度焦虑)

7 (8.75%)

1 (1.25%)

3.3. 两组研究对象HAMA评分比较

对心律失常组和正常组围绝经期妇女进行HAMA量表评估,经Mznn-whitney U检验显示,心律失常组在“焦虑心境”、“紧张”、“认知功能”、“感觉系统症状”、“心血管系统症状”、“呼吸系统症状”、“自主神经系统症状”、“会谈时行为表现”这8个条目得分均高于无心律失常组,差异具有统计学意义(p < 0.05);心律失常组HAMA量表总分为11 (6, 13)分,显著高于无心律失常组的6 (4, 10)分,差异具有统计学意义(p < 0.05)。见表4图4

注:纵坐标为HAMA量表总分(分),横坐标为研究分组。

Figure 4. Comparison of total HAMA scores between the two groups of perimenopausal women

4. 两组围绝经期妇女HAMA量表总分比较

Table 4. Comparison of each item and total score of HAMA between the two groups of perimenopausal women (M (P25, P75) score)

4. 两组围绝经期妇女HAMA量表各条目及总分比较(M (P25, P75)分)

评估条目

心律失常组

无心律失常组

Z

P

焦虑心境

2 (1, 2)

1 (1, 2)

3.022

0.003

紧张

1 (1, 2)

1 (0, 1)

3.594

<0.001

害怕

1 (0, 2)

1 (0, 1)

1.851

0.064

失眠

1 (1, 2)

1 (1, 2)

1.115

0.265

认知功能

1 (0, 2)

1 (0, 1)

4.110

<0.001

抑郁心境

1 (0, 1)

1 (0, 1)

1.133

0.257

肌肉系统症状

1 (0, 2)

1 (0, 1)

0.461

0.645

感觉系统症状

1 (0, 1)

1 (0, 1)

5.066

<0.001

心血管系统症状

1 (0, 2)

1 (0, 1)

2.128

0.033

呼吸系统症状

1 (1, 2)

1 (0, 1)

2.439

0.015

胃肠道症状

1 (0, 1)

1 (0, 1)

1.774

0.076

生殖泌尿系统症状

1 (0, 1)

1 (0, 1)

0.163

0.870

自主神经系统症状

1 (0, 1)

1 (0, 2)

2.648

0.008

会谈时行为表现

1 (0, 1)

1 (0, 2)

3.282

0.001

总分

11 (6, 13)

6 (4, 10)

4.347

<0.001

心律失常组HAMA量表评估显示,无焦虑22例(27.50%)、可能焦虑45例(56.25%)、肯定焦虑13例(16.25%),焦虑发生率为72.50%;无心律失常组HAMA量表评估显示,无焦虑42例(52.50%)、可能焦虑35例(43.75%)、肯定焦虑3例(3.75%),焦虑发生率为47.50%,见图5图6。经χ2检验显示,心律失常组的焦虑发生率显著高于无心律失常组,差异具有统计学意义(p < 0.05)。见表5

Figure 5. Distribution of anxiety status by HAMA in perimenopausal women of the arrhythmia group

5. 心律失常组围绝经期妇女HAMA量表焦虑状态分布

Figure 6. Distribution of anxiety status by HAMA in perimenopausal women of the non-arrhythmia group

6. 无心律失常组围绝经期妇女HAMA量表焦虑状态分布

Table 5. Comparison of anxiety incidence by HAMA between the two groups of perimenopausal women (case, %)

5. 两组围绝经期妇女HAMA量表焦虑发生率比较

焦虑状态

心律失常组(%)

正常组(%)

χ2

P

无焦虑

22 (27.50%)

42 (52.50%)

13.750

<0.001

可能焦虑

45 (56.25%)

35 (43.75%)

肯定焦虑

13 (16.25%)

3 (3.75%)

3.4. 心律失常与焦虑状态的相关性分析

对160名研究对象的SAS、HAMA评分与心律失常发生情况进行Spearman相关性分析,结果显示,SAS评分与心律失常发生呈正相关(r = 0.389, p < 0.001);HAMA评分与心律失常发生呈正相关(r = 0.351, p < 0.001),见表6

Table 6. Spearman correlation analysis between SAS/HAMA scores and the occurrence of arrhythmia

6. SAS、HAMA评分与心律失常发生的Spearman相关性分析

指标

r

P

SAS焦虑量表评分与心律失常

0.389

<0.001

HAMA焦虑量表评分与心律失常

0.351

<0.001

3.5. 心律失常组不同亚组SAS评分比较

将80例心律失常组患者按年龄、BMI、吸烟史、饮酒史、每周运动情况、是否高血压、是否合并糖尿病、是否合并血脂异常、心血管家族史、有无心血管疾病这11项因素分组,对各亚组SAS评分进行正态性检验后行独立样本t检验,结果显示,年龄 ≥ 50岁、BMI ≥ 24 kg/m2、有高血压史、有高血脂史、作息不规律、每周不运动、有心血管疾病家族史的患者SAS评分显著高于对应亚组,差异均具有统计学意义(P < 0.05);而吸烟史、饮酒史、糖尿病史、心血管疾病病史亚组间的SAS评分差异无统计学意义(P > 0.05),见表7

Table 7. Comparison of SAS scores in different subgroups of perimenopausal women in the arrhythmia group ( x ¯ ±s , score)

7. 心律失常组不同亚组围绝经期妇女SAS评分比较( x ¯ ±s ,分)

因素

N

SAS评分

t

P

年龄(岁)

<50

36

47.99 ± 9.01

2.384

0.021

≥50

44

58.40 ± 8.17

BMI (kg/m2)

<24

52

48.85 ± 8.73

3.016

0.004

≥24

28

60.18 ± 8.40

吸烟史

10

48.95 ± 8.29

1.009

0.316

70

51.88 ± 10.59

饮酒史

2

48.97 ± 8.37

1.132

0.310

78

52.50 ± 8.84

高血压史

34

57.94 ± 6.13

2.573

0.015

46

46.73 ± 7.24

糖尿病史

3

53.41 ± 8.04

0.599

0.551

77

55.63 ± 7.98

高血脂

6

61.48 ± 8.83

3.176

<0.001

74

52.51 ± 7.16

作息是否规律

54

51.38 ± 6.32

2.491

0.018

26

59.34 ± 8.06

每周运动锻炼

11

52.05 ± 8.24

2.270

0.033

69

58.81 ± 7.17

心血管疾病家族史

23

61.12 ± 8.24

2.946

0.007

57

53.36 ± 7.72

心血管疾病

9

55.73 ± 6.61

1.402

0.124

71

53.38 ± 8.09

3.6. 心律失常组不同亚组HAMA评分比较

将80例心律失常组患者按上述11项因素分组,对各亚组HAMA评分进行正态性检验后进行独立样本t检验,结果显示,BMI ≥ 24 kg/m2、有高血压史、作息不规律、每周不运动的患者HAMA评分显著高于对应亚组,差异均具有统计学意义(P < 0.05);其余因素亚组间的HAMA评分差异无统计学意义(P > 0.05),见表8

Table 8. Comparison of HAMA scores in different subgroups of perimenopausal women in the arrhythmia group ( x ¯ ±s , score)

8. 心律失常组不同亚组围绝经期妇女HAMA评分比较( x ¯ ±s ,分)

因素

N

HAMA评分

t

P

年龄(岁)

<50

36

10.08 ± 5.13

0.451

0.653

≥50

44

10.57 ± 4.47

BMI (kg/m2)

<24

52

10.12 ± 4.86

2.296

0.031

≥24

28

13.79 ± 4.62

吸烟史

10

11.80 ± 5.53

1.031

0.306

70

10.14 ± 4.64

饮酒史

2

12.50 ± 2.12

0.645

0.521

78

10.29 ± 4.80

高血压史

34

12.94 ± 4.12

3.372

<0.001

46

10.23 ± 4.02

糖尿病史

3

11.38 ± 5.11

0.842

0.416

77

10.52 ± 4.36

高血脂

6

12.00 ± 5.07

1.511

0.107

74

10.22 ± 5.14

作息是否规律

54

10.24 ± 5.23

3.541

<0.001

26

13.33 ± 4.76

每周运动锻炼

11

10.15 ± 4.14

2.938

0.008

69

12.86 ± 4.08

心血管疾病家族史

23

10.30 ± 4.66

0.487

0.641

57

10.37 ± 5.04

心血管疾病

9

12.33 ± 5.16

1.194

0.209

71

11.10 ± 5.07

3.7. 多因素二元Logistic回归分析

3.7.1. SAS评分与心律失常发生的相关性

表7中有统计学意义的指标,年龄、BMI、高血压史、高血脂史、作息是否规律、每周是否运动、心血管疾病家族史、SAS评分作为自变量,以是否发生心律失常为因变量,进行多因素二元Logistic回归分析。结果显示,BMI ≥ 24 kg/m2、有高血压史、作息不规律、SAS评分是心律失常发生的相关因素,有统计学意义(p < 0.05)。见表9图7

Table 9. Multivariate binary Logistic regression analysis of SAS score-related factors and the occurrence of arrhythmia

9. SAS评分相关因素与心律失常发生的多因素二元Logistic回归分析

变量

β

SE

Wald

OR

95% CI

P

BMI

0.827

0.412

4.033

2.286

1.020~5.122

0.045

高血压史

0.806

0.388

4.315

2.240

1.047~4.793

0.038

作息是否规律

0.161

0.515

5.104

1.672

1.134~2.540

0.021

SAS评分

1.300

0.457

9.929

3.916

2.867~4.967

0.002

注:“*”表示调整变量后。

Figure 7. Forest plot of the effect of SAS score-related factors on the occurrence of arrhythmia

7. SAS评分相关因素对心律失常发生的影响森林图

进一步调整混杂因素,年龄(<50岁、≥50岁)、BMI (<24 kg/m2、≥24 kg/m2)、高血压史(是或否)、高血脂史(是或否)、作息是否规律(是或否)、每周是否运动(是或否)、心血管疾病家族史(是或否),行多因素二元Logistic回归分析,结果显示,SAS评分单独与心律失常发生相关,OR值为8.905 (6.860~12.953) (P < 0.05),见表10

Table 10. Multivariate binary Logistic regression analysis of SAS score and arrhythmia after adjusting for confounding factors

10. 调整混杂因素后SAS评分与心律失常发生的多因素二元Logistic回归分析

变量

β

SE

Wald

OR

95% CI

P

SAS评分

1.099

0.226

14.510

8.905

6.860~12.953

<0.001

3.7.2. SAS评分确定的焦虑状态与心律失常发生的相关性

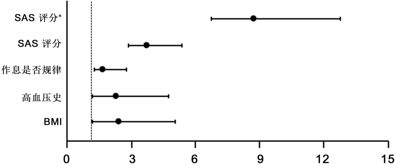
表7有统计学意义的指标,年龄、BMI、高血压史、高血脂史、作息是否规律、每周是否运动、心血管疾病家族史、SAS评分确定焦虑状态作为自变量,以是否发生心律失常为因变量,进行多因素二元Logistic回归分析。结果显示,有高血压史、SAS评分确定焦虑状态是心律失常发生的相关因素,有统计学意义(P < 0.05)。见表11图8

Table 11. Multivariate binary Logistic regression analysis of SAS anxiety status and the occurrence of arrhythmia

11. SAS焦虑状态与心律失常发生的多因素二元Logistic回归分析

变量

β

SE

Wald

OR

95% CI

P

高血压史

0.954

0.399

5.715

2.595

1.187~5.671

0.017

SAS评分确定焦虑状态

1.523

0.378

16.222

4.585

2.185~9.620

<0.001

进一步调整混杂因素,年龄(<50岁、≥50岁)、BMI (<24 kg/m2、≥24 kg/m2)、高血压史(是或否)、高血脂史(是或否)、作息是否规律(是或否)、每周是否运动(是或否)、心血管疾病家族史(是或否),行多因素二元Logistic回归分析,结果显示,SAS评分确定的焦虑状态单独与心律失常发生相关,OR值为5.278 (2.630~10.591) (p < 0.05)。见表12

注:“*”表示调整变量后。

Figure 8. Forest plot of the effect of SAS anxiety status on the occurrence of arrhythmia

8. SAS焦虑状态对心律失常发生的影响森林图

Table 12. Multivariate binary Logistic regression analysis of SAS anxiety status and arrhythmia after adjusting for confounding factors

12. 调整混杂因素后SAS焦虑状态与心律失常发生的多因素二元Logistic回归分析

变量

β

SE

Wald

OR

95% CI

P

SAS评分确定焦虑状态

1.664

0.355

21.916

5.278

2.630~10.591

<0.001

3.7.3. HAMA评分与心律失常发生的相关性

表8中有统计学意义的指标,BMI、高血压史、作息是否规律、每周是否运动、HAMA评分作为自变量,以是否发生心律失常为因变量,进行多因素二元Logistic回归分析。结果显示,有高血压史、每周不运动、HAMA评分是心律失常发生的相关因素,有统计学意义(p < 0.05)。见表13图9

Table 13. Multivariate binary Logistic regression analysis of HAMA score-related factors and the occurrence of arrhythmia

13. HAMA评分相关因素与心律失常发生的多因素二元Logistic回归分析

变量

β

SE

Wald

OR

95% CI

P

高血压史

0.869

0.395

4.832

2.384

1.099~5.172

0.028

每周是否运动

1.315

0.785

6.158

2.136

1.125~3.743

0.010

HAMA评分

0.179

0.047

14.382

4.836

2.762~6.917

0.002

注:“*”表示调整变量后。

Figure 9. Forest plot of the effect of HAMA score-related factors on the occurrence of arrhythmia

9. HAMA评分相关因素对心律失常发生的影响森林图

进一步调整混杂因素,BMI (<24 kg/m2、≥24 kg/m2)、高血压史(是或否)、作息是否规律(是或否)、每周是否运动(是或否),行多因素二元Logistic回归分析显示,HAMA评分单独与心律失常发生相关,OR值为5.827 (3.758~10.901) (p < 0.05),见表14

Table 14. Multivariate binary Logistic regression analysis of HAMA score and arrhythmia after adjusting for confounding factors

14. 调整混杂因素后HAMA评分与心律失常发生的多因素二元Logistic回归分析

变量

β

SE

Wald

OR

95% CI

P

HAMA评分

1.190

0.448

18.547

5.827

3.758~10.901

<0.001

3.7.4. HAMA评分确定的焦虑状态与心律失常发生的相关性

表7有统计学意义的指标,BMI、高血压史、作息是否规律、每周是否运动、HAMA评分确定焦虑状态作为自变量,以是否发生心律失常为因变量,进行多因素二元Logistic回归分析。结果显示,BMI ≥ 24 kg/m2、有高血压史、HAMA评分确定的焦虑状态是心律失常发生的相关因素(p < 0.05),见表15图10

Table 15. Multivariate binary Logistic regression analysis of HAMA anxiety status and the occurrence of arrhythmia

15. HAMA焦虑状态与心律失常发生的多因素二元Logistic回归分析

变量

β

SE

Wald

OR

95% CI

P

BMI

0.850

0.408

4.333

2.340

1.051~5.211

0.037

高血压史

0.889

0.384

5.346

2.432

1.145~5.166

0.021

HAMA评分确定焦虑状态

1.007

0.366

7.474

2.719

1.327~5.570

0.006

注:“*”表示调整变量后。

Figure 10. Forest plot of the effect of HAMA anxiety status on the occurrence of arrhythmia

10. HAMA焦虑状态对心律失常发生的影响森林图

进一步调整混杂因素,BMI (<24 kg/m2、≥24 kg/m2)、高血压史(是或否)、作息是否规律(是或否)、每周是否运动(是或否),行多因素二元 Logistic 回归分析显示,HAMA评分确定的焦虑状态单独与心律失常发生相关,OR值为4.914 (2.509~9.628) (p < 0.05),见表16

Table 16. Multivariate binary Logistic regression analysis of HAMA anxiety status and arrhythmia after adjusting for confounding factors

16. 调整混杂因素后HAMA焦虑状态与心律失常发生的多因素二元Logistic回归分析

变量

β

SE

Wald

OR

95% CI

P

HAMA评分确定焦虑状态

1.069

0.336

10.138

4.914

2.509~9.628

0.001

4. 讨论

近年来“双心医学”概念提出使得人们逐渐重视心脏疾病与心理疾病的关系,认为心脏疾病患者容易出现心理问题,并且心理问题又会加重心脏疾病,出现恶性循环[9] [10]。人类从成熟走向衰退是难以抗拒的自然规律,女性从35岁开始卵巢功能就开始逐渐衰退,雌激素水平随之下降;45岁以后会出现一系列更年期症状[11] [12],加之近年来随着社会的快速发展,工作生活压力不断增加,女性更年期功能性心律失常患者明显增多。围绝经期女性心律失常的发生与卵巢功能逐渐衰退具有密切关联,可能是卵巢功能的下降,致使雌激素分泌水平减少,引起内分泌功能失调,导致自主神经功能紊乱[13]。而自主神经功能紊乱又以阵发性心悸、胸闷及气短等临床表现多见。围绝经期女性长期处于该状态下极易引起心律失常[14]。另外,围绝经期女性雌激素失调,可通过介导机体处于应激状态,增加交感神经张力和减弱副交感神经张力,影响心肌组织的正常舒缩功能,并诱发期前收缩[15]

本研究应用Spearman相关分析围绝经期妇女心律失常与焦虑的相关性,结果显示,SAS焦虑量表评估焦虑与心律失常存在相关性(r = 0.389, p < 0.001);HAMA焦虑量表评估焦虑与心律失常存在相关性(r = 0.351, p < 0.001),提示焦虑程度越高,围绝经期妇女发生心律失常的概率越大,二者存在正向关联趋势。这一结果与临床既往研究相契合,负面情绪引发的神经内分泌紊乱,会进一步加剧心肌电活动的不稳定性,成为心律失常发生的重要诱因。

多因素二元Logistic回归分析进一步验证,调整年龄、BMI、高血压史等混杂因素后,SAS评分确定的焦虑状态单独影响心律失常发生,OR值为5.278 (2.630~10.591) (p < 0.05);HAMA评分确定的焦虑状态单独影响心律失常发生,OR值为4.914 (2.509~9.628) (p < 0.05),证实焦虑是围绝经期妇女发生心律失常的独立危险因素。这意味着即使排除了肥胖、高血压、不良生活作息等传统心血管危险因素,焦虑状态本身仍会显著增加该人群心律失常的发生风险,也凸显了心理因素在围绝经期心血管功能异常中的独特作用。

从研究亚组分析结果来看,心律失常组中年龄 ≥ 50岁、BMI ≥ 24 kg/m2、有高血压史、作息不规律、缺乏运动的患者SAS评分显著更高,而BMI超标、高血压、作息紊乱、不运动者的HAMA评分也明显升高,提示躯体基础状况与不良生活方式,会与焦虑状态形成叠加效应,进一步提升心律失常的发生风险。这一发现也为临床干预提供了重要思路,围绝经期妇女的心血管健康管理,需同时兼顾躯体危险因素控制与心理状态调节。

围绝经期作为女性生理与心理的双重过渡阶段,雌激素水平的骤降是生理基础,而家庭角色转变、职场压力、身体机能下降等多重因素,易引发焦虑等负面情绪,二者共同作用于自主神经系统,打破交感与副交感神经的平衡,进而导致心肌细胞电生理特性改变,诱发窦性心律不齐、早搏等心律失常。而心律失常引发的心悸、胸闷等躯体症状,又会进一步加重患者的焦虑情绪,形成心身交互的恶性循环,这也是围绝经期妇女心律失常与焦虑相互关联、彼此促进的核心机制。

本研究结果也为临床心内科诊疗提供了重要的实践启示,针对围绝经期心律失常患者,不能仅关注心电图异常与心血管药物治疗,更应引入“双心医学”诊疗模式,将心理评估纳入常规检查,通过SAS、HAMA量表早期识别焦虑状态。对于合并焦虑的心律失常患者,在纠正心律异常的同时,可通过心理疏导、认知行为干预,必要时联合抗焦虑药物,缓解患者的心理应激,打破心身恶性循环,提升治疗效果。同时,临床也应加强对围绝经期妇女的健康宣教,指导其养成规律作息、适度运动的生活方式,控制体重、管理血压,减少躯体危险因素,同时引导其调节情绪,主动应对围绝经期生理与心理变化,降低心律失常与焦虑的发生风险。

本研究也存在一定的局限性:首先,尽管SAS、HAMA焦虑量表是心理评估的常用工具,但得分仅能作为参考指标,受患者主观表述影响,无法完全反映真实的心理状态,后续研究可结合心理访谈、生理应激指标等进行综合评估;其次,本研究为单中心、小样本的回顾性观察研究,纳入的研究对象均来自内蒙古自治区人民医院,地域与样本量的限制可能导致结论的外推性不足,且未对患者进行长期随访,无法明确焦虑与心律失常的因果关系及干预后的预后变化;此外,研究未对围绝经期妇女的雌激素水平进行检测,无法进一步分析雌激素、焦虑、心律失常三者之间的量化关联。后续研究可扩大样本量,开展多中心、前瞻性队列研究,纳入不同地域、不同体质的围绝经期妇女,同时检测雌激素、自主神经功能相关指标,深入探讨雌激素水平变化介导焦虑引发心律失常的具体分子机制;并开展干预性研究,观察心理干预联合躯体干预对围绝经期焦虑合并心律失常患者的临床疗效,为制定针对性的综合干预方案提供循证医学证据;同时可延长随访时间,明确焦虑状态对围绝经期妇女心律失常远期预后的影响,为该人群的心血管健康长期管理提供更全面的依据。

总体而言,围绝经期妇女心律失常的发生与焦虑状态密切相关,焦虑是其发生心律失常的独立危险因素,二者呈正相关关系。临床诊疗中需重视该人群的“双心”健康,兼顾心脏生理与心理状态的评估和干预,才能更有效地降低心律失常的发生风险,改善围绝经期妇女的生活质量。

基金项目

本研究获得内蒙古自治区人民医院伦理委员会批准(审批号:SC-07/02KT2024132Y)。

NOTES

*通讯作者。

参考文献

[1] de Novaes Soares, C., Almeida, O.P., Joffe, H. and Cohen, L.S. (2001) Efficacy of Estradiol for the Treatment of Depressive Disorders in Perimenopausal Women: A Double-Blind, Randomized, Placebo-Controlled Trial. Archives of General Psychiatry, 58, 529-534. [Google Scholar] [CrossRef] [PubMed]
[2] 王月宾, 闭红梅, 杜蕊. 认识围绝经期女性焦虑、抑郁障碍[J]. 家庭医学, 2023(11): 43.
[3] Weissman, M.M. and Markowitz, J.C. (2019) Guidelines for the Evaluation and Treatment of Perimenopausal Depression: Summary and Recommendations. Journal of Womens Health, 28, 117-134.
[4] 李瑞霞, 马敏, 肖喜荣, 等. 40-55岁社区妇女围绝经期症状和焦虑、抑郁症状评分及相关因素分析[J]. 复旦学报(医学版), 2017, 41(1): 27-33.
[5] 齐殿君, 何旖旎, 于晓松, 等. 三级医院全科医学科围绝经期女性住院患者的临床特点研究[J]. 中国全科医学, 2017, 20(19): 2373-2377.
[6] Goldberger, J.J., Arora, R., Buckley, U. and Shivkumar, K. (2019) Autonomic Nervous System Dysfunction: JACC Focus Seminar. Journal of the American College of Cardiology, 73, 1189-1206. [Google Scholar] [CrossRef] [PubMed]
[7] 赵文, 成益媛, 张丽珺. 小剂量激素替代治疗围绝经期女性骨质疏松症对患者骨密度、雌激素水平的影响[J]. 中国医师进修杂志, 2022, 45(2): 179-183.
[8] 石敏益, 郑佳, 吴振兴, 等. 女性功能性胃肠病患者性激素和5-羟色胺水平及与围绝经期综合征的相关性分析[J]. 中国妇幼保健, 2023, 38(2): 355-359.
[9] 赵静思, 郝应禄, 李燕萍, 等. 双心医学研究现状[J]. 临床荟萃, 2021, 36(1): 93-96.
[10] Eid, R.S., Gobinath, A.R. and Galea, L.A.M. (2019) Sex Differences in Depression: Insights from Clinical and Preclinical Studies. Progress in Neurobiology, 176, 86-102. [Google Scholar] [CrossRef] [PubMed]
[11] 何瑛. 围绝经期伴发焦虑、抑郁的临床治疗[J]. 吉林医学, 2013, 34(26): 5351-5352.
[12] Cohen, L.S., Soares, C.N., Vitonis, A.F., Otto, M.W. and Harlow, B.L. (2006) Risk for New Onset of Depression during the Menopausal Transition: The Harvard Study of Moods and Cycles. Archives of General Psychiatry, 63, 385-390. [Google Scholar] [CrossRef] [PubMed]
[13] 孙尚铬, 邢延, 李维. 围绝经期抑郁和焦虑女性联合雌激素治疗对血清5-羟色胺水平的影响及疗效分析[J]. 中国妇幼保健, 2022, 37(18): 3311-3314.
[14] 王朝霞, 李卫国. 动态心电图检查对老年心血管高危人群心律失常及心肌缺血检出率的影响[J]. 中国药物与临床, 2021, 21(2): 288-290.
[15] 夏文著, 闫中峰. STEMI患者血清半乳糖凝集素3水平与再灌注室性心律失常及预后的关系研究, 广西医科大学学报, 2022, 39(11): 1747-1754.