车轮踏面凹型磨耗特征参数及其影响分析
Analysis of Characteristic Parameters of Wheel Tread Concave Wear and Their Effects
DOI: 10.12677/met.2026.152016, PDF, HTML, XML,   
作者: 温心宇, 王美令:大连交通大学詹天佑学院(中车学院),辽宁 大连;高岭松:大连柏盛源科技有限公司,辽宁 大连
关键词: 车轮踏面凹型磨耗参数化建模NURBS曲线动力学响应Wheel Tread Concave Wear Parametric Modeling NURBS Curve Dynamic Response
摘要: 基于车轮踏面凹型磨耗统计数据,分析其几何分布特征。采用非均匀有理B样条(NURBS)曲线理论,对车轮踏面凹型磨耗廓形进行参数化拟合并开展验证分析,选取磨耗区域内关键控制点及权因子作为凹型磨耗的参数化表征变量。同时,建立考虑车轮踏面凹型磨耗的车辆系统动力学模型,分析不同凹型磨耗参数化变量对轮轨接触特性及车辆动力学性能的影响。结果表明:凹型磨耗主要集中于踏面中部区域,在名义滚动圆附近呈局部下凹且整体连续光顺的几何特征;基于NURBS的参数化方法能够较好拟合不同工况下的磨耗廓形,并获得磨耗区域关键控制点及权因子等参数化表征结果;在本文所设定的参数范围和工况条件下,控制点横坐标变化相较于其纵坐标和权因子,对接触应力分布以及轮轨横向力、轴箱横向加速度与脱轨系数的影响更为明显,而权因子的影响相对较弱,但在局部区间存在一定非单调变化。
Abstract: Based on statistical data of wheel tread concave wear, the geometric distribution characteristics were analyzed. Non-Uniform Rational B-Spline (NURBS) curve theory was adopted to perform the parametric fitting and validation of wheel tread concave wear profiles, and key control points and weight factors within the wear region were selected as parametric characterization variables for concave wear. In addition, a vehicle system dynamics model considering wheel tread concave wear was established to investigate the effects of different parametric variables on wheel–rail contact characteristics and vehicle dynamic performance. The results indicate that concave wear is mainly concentrated in the middle region of the tread, showing a locally depressed geometric feature near the nominal rolling circle while maintaining overall continuity and smoothness. The NURBS-based parametric method can accurately fit wear profiles under different operating conditions and obtain parametric characterization results, such as key control points and weight factors, for the wear region. Under the parameter ranges and operating conditions considered in this study, variations in the horizontal coordinates of the control points have more pronounced effects on wheel–rail contact point migration, contact stress distribution, wheel–rail lateral force, axle-box lateral acceleration, and derailment coefficient than variations in the vertical coordinates and weight factors. The influence of the weight factors is relatively weak, although certain local intervals exhibit non-monotonic variations.
文章引用:温心宇, 王美令, 高岭松. 车轮踏面凹型磨耗特征参数及其影响分析[J]. 机械工程与技术, 2026, 15(2): 146-159. https://doi.org/10.12677/met.2026.152016

1. 引言

高速列车轮轨系统长期处于高速度和高服役里程的工况条件,车轮磨耗问题逐渐凸显,其中车轮踏面凹型磨耗是其最为常见的形式之一,表现为具有一定宽度和深度的凹型磨耗形态,这将会改变踏面的初始几何特征,进而破坏轮轨接触关系,进而影响到列车的运行稳定性和安全性。

在车轮踏面凹型磨耗的几何特征及演化规律方面,金学松等[1]从宏观角度总结了我国高速铁路车轮踏面横向磨耗的典型特征与形成机理。徐凯等[2]对高速动车组踏面实测磨耗分布进行了统计分析,发现踏面磨耗主要集中于名义滚动圆附近。进一步地,侯茂锐等[3]基于长期跟踪测试与数值分析揭示动车组踏面磨耗随里程的演化规律,指出部分线路条件下磨耗会逐渐向名义滚动圆附近集中并形成凹型磨耗。

针对凹型磨耗对轮轨接触特性及系统动力学特性的影响,已有研究从线路实测与动力学评估、轮轨接触机理建模以及磨耗型面参数化描述等角度开展了分析。殷俊等[4]基于线路跟踪测试与动力学仿真对比,分析了凹形磨耗踏面下车辆运行性能变化规律。孙宇等[5]针对凹形磨耗诱发的非Hertz与多点接触开展建模对比,基于改进非Hertz模型并与高精度接触计算结果对照。吕小勇等[6]对不同高速动车组踏面与钢轨的轮轨接触关系进行对比计算,揭示踏面几何差异会改变名义滚动圆附近的接触点分布、等效锥度及接触应力水平。姚永明等[7]基于Archard磨耗模型构建了车轮磨耗演化与车辆动力学性能的耦合分析流程,通过迭代更新磨耗型面评估磨耗发展对安全性与平稳性指标的影响。刘晓芳[8]指出NURBS可用少量控制顶点与权因子生成整体光顺且局部可控的型面,并进一步分析了控制顶点与权因子的几何意义及其对车辆动力学性能的影响。肖乾等[9]提出面向高速列车磨耗型面演变的特征提取与参数化描述方法,采用NURBS在统一参数框架下拟合不同磨耗阶段型面并以权因子等参数表征磨耗特征。纪野等[10]提出面向等几何分析的区域参数化方法,为复杂几何在局部区域内实现精细、可控的参数化表达提供了参考。此外,李洪晓等[11]考虑型面磨耗与车轮多边形的耦合工况,通过动力学对比来表明凹形磨耗等型面状态会改变多边形对车辆动态响应的作用强度。总体而言,现有研究从工程运行性能与磨耗型面描述等方面表明凹型磨耗可通过改变接触状态影响车辆横向动力学响应。然而,多数研究仍以“给定磨耗型面”的对比分析为主,缺少对凹型磨耗“位置–深度–局部形态”的参数化表征。

基于此,本文结合统计数据与NURBS参数化建模方法对凹型磨耗进行参数化表征,基于车辆系统动力学模型,获取凹磨特征参数变化对轮轨接触特性与车辆横向动力学响应的影响规律,为进一步车辆运行稳定性及安全性评估提供支撑。

2. 车轮踏面凹型磨耗特征参数

2.1. 踏面凹型磨耗特征

车轮踏面凹型磨耗是在列车运行过程中因摩擦、滑动、冲击及蠕滑力等作用,所引起车轮踏面在横向几何形状和尺寸的改变,图1给出了某型高速动车组车轮在不同运行里程(5.2万~25.6万公里)条件下的实测踏面磨耗横向分布数据。该数据来源于文献[12]中对实际服役车轮踏面轮廓的长期跟踪测量结果,所示曲线为对应里程阶段的典型轮廓差值分布。

Figure 1. Statistical data of wheel tread wear at different mileage levels [12]

1. 不同里程下车轮踏面磨耗统计数据[12]

图1可以看出,车轮踏面磨耗在踏面中部区域形成一处相对平滑的局部下凹,其典型特征为在名义滚动圆附近形成沿踏面横向分布的凹陷区域,其横向分布以滚动圆附近为中心,沿踏面横向坐标呈近似对称分布。随着运行里程的增加,凹型磨耗的最大磨耗深度逐渐增大,同时磨耗影响范围在横向方向上有所拓展,但磨耗形态整体保持稳定,其几何分布范围始终集中在踏面中部约−25~25 mm区域内。

结合车轮踏面凹形磨耗的几何特征,本文采用NURBS (Non-Uniform Rational B-Spline,非均匀有理B样条)理论,进行车轮踏面曲线的参数化建模。NURBS是以B样条为基函数进行自由曲线构造的方法,具有连续性和强凸包性,可以满足考虑凹型磨耗的车轮踏面“整体连续、局部可变”的曲线要求。

为实现车轮踏面廓形的参数化表达,NURBS曲线可表示为由控制点与权因子共同决定的参数化函数[8],其一般形式如式(1)所示:

p( u )= l=0 n ω i d i N i,k ( u ) l=0 n ω i N i,k ( u ) (1)

式中 ω i ( i=0,1,,n ) 称为权或权因子, d i ( i=0,1,,n ) 称为控制顶点,顺序连接成控制多边形; N i,k ( u ) 是定义在非周期(且非均匀)节点矢量 U=[ u 0 , u 1 ,, u m ] 上的k次规范B样条基函数[9];可由德布斯–考克尔递推公式求得,如式(2)所示

(2)

式中 u i ( i=0,1,,m ) 称为节点。当节点数为m + 1,幂次为k,控制顶点数为n + 1时,mkn三者关系为m = n + k + 1。

对于一般运用场合下的NURBS曲线,其节点矢量两端节点通常取为k + 1中的重节点[8],即两端节点为 u 0 = u 1 == u k ,  u n+1 = u n+2 == u n+k+1 。在实际应用中节点矢量的端点值通常取0和1,节点矢量如式(3)所示:

U=[ 0,,0 k+1 , u k+1 ,, u mk1 , 1,,1 k+1 ] (3)

因此,曲线的定义域为。本文采用二次NURBS曲线(k = 2)描述车轮踏面廓形,控制点数为n + 1 = 21,因此节点数满足m = n + k + 1。节点矢量采用开放非均匀形式,两端节点重复k + 1 = 3次以保证曲线通过端点控制点。内部节点根据踏面几何特征区间进行非均匀设置。

图2(a)所示的LMA踏面廓形曲线由8段圆弧(分别为AB、BC、CD、EF、FG、GH、HI、IJ),2段直线(分别为DE、JK)组成,可采用控制点 d i l 描述该踏面曲线,其中l = 1,2…10,依次表示10段首尾相连的圆弧和线段,i = 0,1,2,表明每段的3个控制顶点,如图2(b)所示。各段圆弧和直线段均以二次NURBS曲线来表示,相邻两段在公共节点处需满足切线方向连续,从而避免踏面曲线出现几何突变。基于上述构造方式,车轮踏面廓形可由一组控制点坐标及对应权因子进行统一描述,如图2所示。

Figure 2. Parameterization of the LMA tread profile. (a) Schematic of the LMA tread profile; (b) NURBS-based parameterization of the LMA tread profile

2. LMA踏面参数化. (a) LMA踏面廓形示意图;(b) LMA踏面NURBS参数化示意图

对比凹型磨耗空间分布特征与控制点横向分布位置,选取d11~d15坐标及对应权因子作为车轮踏面凹型磨耗特征控制参数。

2.2. 基于内点法的凹型磨耗特征拟合

本文采用内点法,在磨耗区域内构造搜索路径,通过在目标函数中引入惩罚项,避免迭代过程越过约束边界,逐步逼近最优解,实现踏面凹型磨耗廓形的拟合,其本质上属于一个多变量、非线性约束的数值优化问题,需要在满足踏面几何合理性与曲线光顺性约束的条件下求解最优参数组合。

基于凹型磨耗几何特征分析,选取的控制参数d11~d15横坐标(边界范围 ± 10 mm)施加顺序约束为

x 11 < x 12 < x 13 < x 14 < x 15 (4)

并引入最小间隔,权因子取值范围为

(5)

其中, w min = 10 4 , w max =1

采用惩罚函数构造单层优化目标函数:

(6)

其中 z 为待优化控制点坐标及权因子, λ 为惩罚系数。式中,RMSE为法向误差均方根值,作为拟合精度评价指标:

RMSE= 1 N i=1 N e n ( x i ) 2 (7)

其中 e n ( x i ) 为目标踏面与NURBS拟合曲线在横坐标 x i 处的等效法向误差,N为边界范围内的数据点数。给定误差阈值 ε ,当 RMSEε 时,优化目标等价于最小化误差;当 RMSE>ε 时,惩罚项增强,从而推动解满足精度约束。

将不同运营里程的车轮踏面磨耗数据导入到Matlab程序中,采用内点法进行优化,获得不同工况下踏面磨耗拟合情况,如图3所示。

Figure 3. Fitting comparison at different mileage levels

3. 各里程下拟合对比

Figure 4. Fitting errors at different mileage levels

4. 各里程下拟合误差

图4可以看出,不同运行里程条件下参数化踏面的法向误差均小于0.08 mm,所建立的参数化模型在不同磨耗阶段均具有较为稳定的拟合精度,基于NURBS曲线的踏面凹型磨耗参数化建模方法能够在不同服役里程条件下表征凹型磨耗的几何特征。

为考察优化结果对初始值选取的敏感性,本文以标准踏面NURBS参数为基准,在其附近构造基准组、统一正扰动组、统一负扰动组和非均匀扰动组四组不同初始值,其中后三组分别通过对d11~d15控制点坐标及权因子施加不同形式的小范围扰动获得,并对同一典型凹型磨耗踏面进行重复优化。各组初始值条件下所得磨耗区法向误差均方根及部分参数d13x、d13y和d13w的识别结果如表1所示。

Table 1. Comparison of parameter identification results for typical concave wear under different initial conditions

1. 不同初始值条件下典型凹型磨耗参数识别结果对比

RMSE (mm)

d13x (mm)

d13y (mm)

d13w

基准组

0.00627

2.478

−1.001

0.577

正扰动组

0.00627

2.438

−1.004

0.58

负扰动组

0.01174

2.017

−0.946

0.506

非均匀扰动组

0.01174

2.016

−0.946

0.506

结果表明,不同初始值条件下优化所得磨耗区法向误差均方根均较小,介于0.00627~0.01174 mm之间,均远低于0.05 mm的误差阈值。各组结果分别收敛至两组相近解,说明该优化问题存在一定初值相关性,但两类解的拟合误差均较小,且控制点参数取值接近,表明所获得的凹型磨耗参数表征具有较好的工程稳定性。

3. 车轮踏面凹型磨耗特征参数的影响分析

为研究凹型磨耗特征参数对车辆系统的影响,本文采用车辆–轨道耦合动力学理论建立其动力学模型[13],车辆系统被考虑为由弹簧阻尼元件连接的多刚体系统,车体、构架均简化为刚性,轮对考虑为柔性体,一、二系悬挂视为弹簧和阻尼元件,其拓扑结构和刚柔耦合多体动力学模型分别如图5(a)图5(b)所示。

Figure 5. Dynamic model of a high-speed train. (a) Topological diagram of the dynamic model of a high-speed train; (b) Dynamic model of a high-speed train

5. 某型高速列车动力学模型。(a) 某型高速列车动力学模型拓扑图;(b) 某型高速列车动力学模型

为分析凹型磨耗特征参数对高速列车车辆系统动力学响应的影响,本文基于所建立的整车动力学模型开展仿真计算。仿真线路采用直线线路条件,列车运行速度设为300 km/h,轨道激励采用京津谱不平顺。缺陷设置方面,将凹型磨耗踏面施加于前转向架右前轮,其余车轮均采用标准踏面,以突出凹型磨耗缺陷对车辆系统动力学特性的影响。在结果处理过程中,为减小初始过渡响应对分析结果的干扰,首先剔除仿真初始瞬态过程,再选取稳定运行阶段的响应数据,对轮轨接触状态、轮轨力、轴箱振动加速度及脱轨系数等动力学指标进行对比分析。

其中脱轨系数是衡量列车运行期间发生脱轨可能性的重要指标之一,通常是依据轮轨横向力和垂向力的比值确定的,计算公式如下:

Q P = tanαμ 1+μtanα (8)

式中,Q为轮轨横向力;P为轮轨垂向力; μ 为轮缘与钢轨间的摩擦系数; α 为轮缘角。

在凹型磨耗区域的d11~d15五个控制点中d13位于区域中心,其几何参数可用于表征凹型磨耗位置、深度及局部形态的变化特征,将d13的横、纵坐标、权因子作为不同凹形磨耗特征的控制变量,开展轮轨接触特性和车辆动力学性能比较研究。

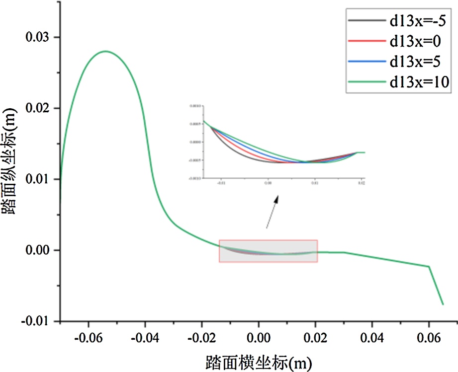
3.1. 横坐标变化影响

控制点d13横坐标在−5到10的范围内,分别选取d13横坐标−5、0、5、10四种工况,如图6所示,不同d13x工况下轮轨接触应力的对比如图7所示。

图7可以看出,随着d13x的增大,接触应力的中位数与均值均增大,说明凹型磨耗中心向踏面外侧偏移后,轮轨接触载荷的集中程度增强。

图8图9所示,随着d13x由−5增大至10,轮轨横向力与轴箱横向加速度的中位数与均值整体上升;其中轮轨横向力在d13x = −5和d13x = 0时正向极大值较高。

图10所示,随着d13x由−5增大至10,脱轨系数整体呈下降趋势,由0.09848降至0.07188;其中d13x = −5与d13x = 0差异较小,而从d13x = 0增大到5后降幅更为明显,表明凹型磨耗中心向踏面外侧偏移可降低脱轨系数水平。

3.2. 纵坐标变化影响

仅改变控制点d13的纵坐标,由图11可见,随着d13纵坐标绝对值的增大,凹型磨耗区域内的最大磨耗深度逐渐增加,而磨耗区域的横向分布范围变化较小。

Figure 6. Comparison of wear tread profiles with varying horizontal coordinates

6. 横坐标变化磨耗踏面廓形对比

Figure 7. Comparison of wheel-rail contact stress with variation of horizontal coordinate

7. 横坐标变化轮轨接触应力对比

Figure 8. Comparison of wheel-rail lateral force with variation of horizontal coordinate

8. 横坐标变化轮轨横向力对比

Figure 9. Comparison of axle box lateral acceleration with variation of horizontal coordinate

9. 横坐标变化轴箱横向加速度对比

Figure 10. Comparison of derailment coefficient with variation of horizontal coordinate

10. 横坐标变化脱轨系数对比

Figure 11. Comparison of wear tread profiles with varying vertical coordinates

11. 纵坐标变化磨耗踏面廓形对比

图12所示,随着d13y由−0.5变化至−2,接触应力的中位数与均值持续提高,表明局部载荷集中程度不断增强,较大应力值出现更为频繁,其中d13y = −1.5与d13y = −2工况表现更为突出。

图13图14所示,随着d13y由−0.5变化至−2,轮轨横向力与轴箱横向加速度的中位数与均值仅呈轻微波动,说明响应中心水平总体较为稳定;其中轮轨横向力在d13y = −1.5与d13y = −2时负向极值略有加深,表明磨耗加深后仍可能诱发更不利的瞬时横向作用。

图15所示,随着d13y由−0.5减小至−2 (绝对值增大),脱轨系数整体呈先增大后小幅回落的变化规律,由0.06248升至0.09378后降至0.08804;

3.3. 权因子变化影响

在保持凹型磨耗中心位置和磨耗深度不变的条件下,通过改变控制点d13的权因子,可对凹型磨耗区域内的局部几何形态进行调节。不同d13权因子取值条件下的踏面磨耗廓形如图16所示。

Figure 12. Comparison of wheel-rail contact stress with variation of vertical coordinate

12. 纵坐标变化轮轨接触应力对比

Figure 13. Comparison of wheel-rail lateral force with variation of vertical coordinate

13. 纵坐标变化轮轨横向力对比

Figure 14. Comparison of axle box lateral acceleration with variation of vertical coordinate

14. 纵坐标变化轴箱横向加速度对比

Figure 15. Comparison of derailment coefficient with variation of vertical coordinate

15. 纵坐标变化脱轨系数对比

Figure 16. Comparison of wear tread profiles under different weight factors

16. 权因子变化磨耗踏面廓形对比

图17所示,不同d13w工况下轮轨接触应力的统计分布存在较为明显的差异。d13w增大总体会抬升接触应力水平并增强其波动与极值幅度,从而提高轮轨接触的局部载荷集中风险,但在d13w = 0.33附近呈现出明显的非单调特征。

图18图19所示,不同d13w工况下轮轨横向力与轴箱横向加速度的统计分布存在一定差异,其中轴箱横向加速度整体差异较小。对于轮轨横向力而言,d13w = 0时其中位数与均值为正;当d13w增大至0.33后,中位数与均值转为负值且降幅最大,表明其中心水平发生明显变化;继续增大至0.66和1后,中位数与均值逐步向0靠拢,但整体仍偏负。与此同时,各工况主要波动区间变化有限,但d13w = 0.33工况出现更深的负向极值,说明该工况下瞬时横向作用相对更不利。

图20所示,随着d13w由0增大至1,脱轨系数整体先增大后小幅下降,由0.07619升至0.09919后降至0.09267。其中,d13w = 0至0.33为主要变化区间,之后变化较小,表明d13w增大在一定范围内会提高脱轨系数水平,使安全性趋于不利。

Figure 17. Comparison of wheel-rail contact stress with variation of weighting factor

17. 权因子变化轮轨接触应力对比

Figure 18. Comparison of wheel-rail lateral force with variation of weighting factor

18. 权因子变化轮轨横向力对比

Figure 19. Comparison of axle box lateral acceleration with variation of weighting factor

19. 权因子变化轴箱横向加速度对比

Figure 20. Comparison of derailment coefficient with variation of weighting factor

20. 权因子变化脱轨系数对比

4. 结论

本文以高速动车组车轮踏面凹型磨耗为研究对象,围绕凹型磨耗几何特征的参数化表达及其动力学影响问题,开展了踏面凹磨参数化建模及其对车辆系统动力学响应影响的分析,主要结论如下:凹型磨耗在名义滚动圆附近呈局部下凹且整体连续光顺的几何特征,可采用NURBS参数化方法,选取关键控制点及权因子对凹型磨耗位置、深度及局部形态进行参数化表征。在本文所建立的参数化框架及工况条件下,中心关键控制点d13的横坐标变化相较于其纵坐标和权因子,对接触应力分布以及动力学响应影响更为明显,而权因子的影响相对较弱,但在局部区间存在一定非单调变化。

参考文献

[1] 金学松, 赵国堂, 梁树林, 等. 高速铁路轮轨磨损特征、机理、影响和对策——车轮踏面横向磨耗[J]. 机械工程学报, 2018, 54(4): 3-13.
[2] 徐凯, 李芾, 安琪, 等. 高速动车组车轮踏面磨耗特征分析[J]. 西南交通大学学报, 2021, 56(1): 92-100.
[3] 侯茂锐, 陈秉智, 成棣, 等. 两种典型动车组车轮磨耗演变规律及其动力学影响研究[J]. 机械工程学报, 2022, 58(4): 191-201.
[4] 殷俊, 雷鹏程, 崔浩蕾, 等. 车轮踏面凹形磨耗对动车组车辆运行性能的影响[J]. 铁道科学与工程学报, 2020, 17(2): 297-305.
[5] 孙宇, 朱胜阳, 翟婉明. 车轮踏面凹形磨耗对轮轨相互作用的影响研究[J]. 机械工程学报, 2018, 54(4): 109-116.
[6] 吕小勇, 王勇, 寸冬冬, 等. 不同高速动车组车轮踏面的轮轨接触关系对比[J]. 铁道车辆, 2024, 62(2): 26-33.
[7] 姚永明, 李国芳, 丁旺才. 基于Archard模型的车轮磨耗对车辆动力学性能的影响[J]. 中国机械工程, 2017, 28(19): 2311-2317+2324.
[8] 刘晓芳. 铁路车轮型面参数化设计理论[D]: [硕士学位论文]. 北京: 北京交通大学, 2012.
[9] 肖乾, 周前哲, 程玉琦, 等. 高速列车车轮磨耗型面特征提取及参数化描述方法研究[J]. 机械工程学报, 2023, 59(14): 245-53.
[10] 纪野. 面向等几何分析的区域参数化方法研究[D]: [博士学位论文]. 大连: 大连理工大学, 2023.
[11] 李洪晓, 李莉, 张云飞, 等. 车轮型面磨耗耦合车轮多边形对车辆动态响应的影响研究[J]. 铁道科学与工程学报, 2024, 21(10): 4240-4252.
[12] 林凤涛, 贾喆, 翁涛涛, 等. 车轮凹磨特征指数对车辆运行性能影响分析[J]. 铁道科学与工程学报, 2023, 20(6): 1994-2003.
[13] 刘鑫禹. 车轮磨耗对高速列车动态响应的影响[D]: [硕士学位论文]. 大连: 大连交通大学, 2025.