核电阀门修复技术研究现状、典型缺陷及优化方法综述
A Review on Research Status, Typical Defects and Optimization Methods of Side-Axial Repair Technology for Nuclear Power Valves
DOI: 10.12677/met.2026.152018, PDF, HTML, XML,    科研立项经费支持
作者: 马信锋, 彭华俊, 阮红冰, 师延财, 李 彪:中核检修有限公司福清分公司,福建 福州;王 健:华业激光技术(无锡)有限公司,江苏 无锡;丁建坤*:上海电机学院机械学院,上海
关键词: 核电阀门激光熔覆密封面修复性能优化Nuclear Power Valve Laser Cladding Sealing Surface Repair Performance Optimization
摘要: 核电阀门密封面长期承受高温高压介质冲刷与循环载荷作用,易产生冲蚀、腐蚀及疲劳损伤,传统整体更换维修存在周期长、成本高、受限空间作业难等瓶颈。本文系统综述了核电阀门密封面增材再制造技术体系:梳理了铁基、镍基及钴基合金修复材料的性能特点与适用工况,为材料选型提供依据;对比分析了激光熔覆、等离子熔覆及钨极氩弧焊的工艺特性、冶金质量及服役可靠性,支撑差异化修复策略制定;针对熔覆层气孔、裂纹及残余应力等缺陷控制难题,探讨了超声冲击处理、激光重熔及基体预热、热处理等辅助工艺的作用机制与优化效果。研究表明,激光熔覆凭借低稀释率与高精度已成为核级阀门精密修复的首选,合理的后处理与辅助工艺组合是实现高性能再制造的关键。
Abstract: The sealing surfaces of nuclear power valves are susceptible to erosion, corrosion and fatigue damage under prolonged exposure to high-temperature, high-pressure media and cyclic loading. Conventional replacement maintenance, however, suffers from extended downtime, high costs and operational constraints in confined spaces. This paper presents a comprehensive review of surface remanufacturing technologies for nuclear valve sealing surfaces. The performance characteristics and applicable service conditions of Fe-based, Ni-based and Co-based repair alloys are summarized to guide material selection. The process characteristics, metallurgical quality and service reliability of laser cladding, plasma cladding and gas tungsten arc welding are comparatively analyzed to inform differentiated repair strategies. To address critical defects including porosity, cracking and residual stress in deposited layers, the mechanisms and efficacy of auxiliary processes such as ultrasonic impact treatment, laser remelting, substrate preheating and post-weld heat treatment are discussed. It is evident that laser cladding has become the preferred technique for precision repair of nuclear-grade valves owing to its low dilution rate and high dimensional accuracy; moreover, an appropriate combination of post-processing and auxiliary treatments is essential for achieving high-performance remanufacturing.
文章引用:马信锋, 彭华俊, 王健, 阮红冰, 师延财, 李彪, 丁建坤. 核电阀门修复技术研究现状、典型缺陷及优化方法综述[J]. 机械工程与技术, 2026, 15(2): 170-181. https://doi.org/10.12677/met.2026.152018

1. 引言

阀门作为核电站流体控制系统的核心执行元件,其服役可靠性直接关系到核岛一回路的压力边界完整性。压水堆核电机组单台机组配置阀门逾万台,涵盖闸阀、蝶阀、球阀、截止阀及止回阀等多种结构形式,遍布一回路冷却剂系统、蒸汽发生器传热管侧及专设安全设施等关键部位。在长期运行过程中,密封面承受高温高压介质冲刷、气蚀–冲蚀耦合损伤及启闭循环载荷的复合作用,易诱发电化学腐蚀、塑性变形与材料流失等失效模式,导致密封性能劣化。传统研磨修复仅适用于微米级浅层缺陷,当凹坑深度超过允许限值时,现行做法依赖整体阀体更换。以某堆型为例,受紧凑型布置限制,部分阀门离地净空不足百毫米,更换作业需破除并恢复土建结构,工期长达28天以上,经济性差。亟须建立基于增材再制造的密封面修复技术体系,以实现缺陷构件的高性能再生与服役寿命延长。

本文围绕核电阀门密封面增材再制造技术展开综述,重点涵盖三个层面:铁基、镍基及钴基合金修复材料的性能特点与适用工况,为材料选择提供理论参考;激光熔覆、等离子熔覆及钨极氩弧焊等典型工艺的冶金质量与服役可靠性,支撑工程现场差异化修复策略的制定;超声冲击、激光重熔等后处理辅助工艺对缺陷调控的作用机制,为核电阀门长寿命、高可靠性服役目标提供技术思路。

2. 核电阀门常用修复材料

核电阀门密封面修复常采用镍基、钴基和铁基三类合金粉末[1],根据工况条件、性能要求和成本因素进行筛选。

2.1. 铁基合金

铁基合金涂层具有成本低廉、材料易得等优点,在煤矿机械、汽车发动机壳体、轮轨等高摩擦、磨损环境中应用广泛。涂层中的Cr、W等合金元素与C反应生成硬质碳化物,有效提升了合金的硬度和耐磨性能[2]

Wang Z.等[3]研究了用于核阀密封面的无钴铁基合金粉末Norem02,通过激光熔覆制备的涂层具有较好的耐磨性和耐蚀性。Fu J.等[4]研究了用于核电阀门密封面的3533-00铁基硬质合金粉末,通过高速激光熔覆技术制备的涂层主要由奥氏体、Cr23C6和Cr7C3组成,熔覆层平均硬度达543.4 HV (图1),为304不锈钢基材的2.4倍,且耐磨性和耐蚀性更优。

Figure 1. Hardness of 3533-00 Fe-based hardfacing alloy coatings at different laser cladding speeds [4]

1. 不同激光熔覆速度下3533-00铁基硬质合金涂层的硬度[4]

高万东等[5]针对阀门密封面采用等离子熔覆技术在45钢基体表面制备了Fe45合金涂层,其中涂层平均显微硬度达可629.76 HV,最高可达715.40 HV,显著提升了密封面的承载能力与抗变形能力,为高压差工况下的阀门延寿提供了技术途径。

2.2. 镍基合金

镍基合金是以镍为基体,通过添加Cr、Mo、Nb等元素实现固溶强化,兼具高韧性、耐磨性与耐蚀性,可在650℃~1000℃高温区间稳定服役,广泛应用于能源动力、航空航天及通用机械等领域,在工业应用中具有重要的地位[6]

Feng等[7]采用激光熔覆技术在先进马氏体钢表面制备Inconel 625镍基合金涂层,在高温环境下优势更为显著,550℃、600℃及650℃时硬度分别达236 HV、203 HV及195 HV,显著高于电弧焊涂层的硬度。孟氢钡等[8]针对核电设备马氏体不锈钢轴类部件,采用激光熔覆镍基合金C276粉末修复表面缺陷,熔覆层与基材形成良好冶金结合,无明显孔洞裂纹,室温硬度达290~320 HV,较基材提高20%,抗拉强度提升约7%,有效恢复受损部件服役性能。

李胜等[9]针对镍基合金阀门密封面高温耐磨性不足的问题,在IN718合金基础上提高(Ti + Al)含量制备IN718im2合金粉末,通过激光熔覆技术在304不锈钢基材上制备涂层,其初始平均硬度达40HRC,抗拉强度998 MPa,700℃时效后硬度升至54HRC,其高温磨损量仅为0.024 mm3

2.3. 钴基合金

钴基合金是以钴为基体,辅加Ni、Cr、Fe等合金元素形成的合金体系,兼具优异的疲劳强度、冲击韧性及耐高温、耐磨损、耐腐蚀性能,广泛应用于汽轮机、阀门等严苛工况关键部件[10]。Stellite系列是常用的钴基合金,牌号及应用范围见表1

Table 1. Chemical composition (wt%) and application scope of typical industrial Stellite alloys

1. 工业上典型Stellite合金的成分(wt%)及应用范围

牌号

HRC

C

Cr

W

Ni

Fe

Co

应用

Stellite 1

53

2.4

29.5

12.5

2.5

2.5

Bal

高温高压阀门密封面、汽轮机叶片等

Stellite 4

48

0.9

32.0

13.5

0.5

1.0

Bal

高温阀门、热锻模等

Stellite 6

44

1.2

29.0

4.6

2.5

2.5

Bal

高温高压阀门密封面、发动机气门等

Stellite 6Z

40

1.0

27.0

4.0

2.5

2.5

Bal

高速镦锻机、流体控制阀、阀座等

Stellite 21

20

0.25

27.0

0.15

2.5

2.0

Bal

汽轮机叶片、内燃机进排气门等

Stellite F

40

1.75

25.5

12.0

22.5

1.15

Bal

内燃机进气阀、轴承套筒等

Ding Y.等[11]针对控制阀密封面硬度与耐磨性不足及易开裂问题,采用激光熔覆技术制备70% Stellite 3% + 30% Stellite 21混合涂层,该涂层在316不锈钢基材上无裂纹,平均硬度达HRC50,耐磨性能优异。刘福广等[12]针对超超临界火电机组阀门耐热钢,采用激光熔覆Stellite 6钴基合金进行修复,熔覆层以γ-Co固溶体为主,呈外延生长柱状晶特征。硬度达450~500 HV,抗弯强度1246~1582 MPa,室温冲击功40~60 J,与基材结合强度高,适配阀门密封面现场修复需求。

任超等[13]针对17-4PH沉淀硬化不锈钢的耐水蚀性能提升需求,采用激光熔覆技术在其表面制备Stellite 6钴基合金涂层。结果表明,涂层平均硬度达499.7 HV,最高硬度561 HV,约为基材的1.4倍;在压力80 MPa、温度80℃、水流冲蚀30 h条件下,基材表面出现严重材料破坏和水蚀坑(最大深度2.44 μm)。如图2所示,涂层表面基本保留初始形貌,水蚀坑深度减至1.19 μm,表面粗糙度仅为基材的27%,显著提升了阀门部件在湿蒸汽环境下的抗冲蚀与耐磨损能力。

Figure 2. Morphologies of micro-surface water erosion [13]: (a) (b) 17-4PH stainless steel; (c) (d) Stellite 6 coating

2. 微观表面水蚀形貌[13]:(a) (b) 17-4PH不锈钢;(c) (d) Stellite6涂层

3. 常用修复方法

3.1. 钨极氩弧焊

钨极氩弧焊(Gas Tungsten Arc Welding, GTAW)是一种非熔化极堆焊工艺,采用惰性气体氩气作为保护介质,可有效抑制合金元素氧化烧损,且冶金反应可控。其具有熔池便于观察,热源独立可控,热输入调节范围宽,飞溅较少等优点。然而,钨极载流能力有限,过大电流易导致钨极熔化蒸发,形成夹钨缺陷;且熔覆速率低、熔深较浅、生产效率有限,难以满足大规模工程需求[14]

柏忠炼等[15]针对核反应堆压力容器密封面308 L不锈钢堆焊层局部修复需求,采用手工钨极氩弧焊技术在SA508-III低合金钢基材上开展补焊试验。如图3所示,焊缝区显微硬度约210 HV,不锈钢堆焊层约200 HV,显著高于低合金钢母材的120HV;且补焊过程未对下层母材造成热影响,低合金钢侧组织保持块状铁素体与珠光体原始形态,无硬脆马氏体生成,实现了密封面局部修复的冶金质量与力学性能可控。

Figure 3. Microhardness distribution of 3 mm pit repair welding [15]

3. 补焊3 mm凹坑显微硬度分布[15]

Kumar等[16]采用钨极氩弧熔覆工艺在AISI 1020钢基材表面制备TiB2-Fe复合涂层,发现熔覆层与基材界面处存在明显的气孔和界面间隙,冶金结合强度偏低;同时由于TiB2颗粒密度远高于铁基体,熔池凝固过程中增强相分布不均,导致熔覆层硬度呈现显著波动,最大硬度达1250 HV,最低仅400 HV;此外,TiB2颗粒在熔覆过程中易发生团聚和未熔现象,在磨损过程中成为裂纹萌生源,导致涂层局部剥落和耐磨性能劣化。Debta等[17]采用钨极氩弧熔覆工艺在Ti-6Al-4V合金表面制备TiC-Co复合涂层,发现尽管涂层与基材形成了冶金结合,但熔覆层中普遍存在随机分布的气孔,尤其在界面区域更为集中;同时由于TiC与Co粉末的密度差异及非均匀分布,导致熔覆层成分偏析严重,显微硬度分布不均,且在磨损过程中因TiC颗粒分布不一致和结合强度差异,出现显著的磨损率波动和局部剥落现象。如图4所示。

总体来说,钨极氩弧焊由于生产效率低、难以控制稀释率、热输入不集中等诸多限制,制备的密封面容易产生裂纹、开裂、脱落等失效行为,难以满足实际的苛刻服役环境。此外,在狭窄阀体内部修复场景中,GTAW面临显著的作业可达性约束,焊炬本身体积较大且需保持严格的距离,在阀体深腔或窄间隙区域难以实现有效施焊。同时焊枪角度受限,在受限空间内难以维持最佳焊接姿态,进一步制约了其在复杂内腔结构中的应用[18]

Figure 4. Cross-sectional morphology of cobalt-based overlay by gas tungsten arc welding [17]

4. 钨极氩弧焊钴基堆焊层截面形貌[17]

3.2. 等离子熔覆

等离子转移弧熔覆(Plasma Transfer Arc Surfacing, PTA)是以高温电离氩气等离子弧为热源、以合金粉末为填充金属的表面改性增材制造技术[19]。在机械压缩、热压缩及磁压缩效应的共同作用下,等离子熔覆能量密度集中,兼具成形精度高、生产效率高、稀释率低及冶金结合优异等特点,适用于机械零件表面性能强化。

Shen等[20]针对高熵合金涂层成本高、效率低的问题,采用三丝等离子熔覆(TW-PAC)技术在304不锈钢基材表面制备Cr-Fe-Ni-Tix高熵合金涂层。该工艺通过同步送进纯Ti丝、304 L不锈钢丝和Ni80Cr20合金丝,实现了低成本、高效率的丝材送进–电弧耦合一体化,涂层成型良好,孔隙率极低且无裂纹;随Ti含量增加,相组成由单一FCC向FCC + γ′ (Ni3Ti) + Laves (Fe2Ti)转变,显微硬度由137 HV提升至873 HV。如图5所示,磨损率降低至1.49 × 104 mm3/N·m,为Ti0涂层的15%,显著提升了涂层在大面积、厚截面阀门密封面修复中的耐磨性能与制备效率。

Figure 5. Profile images and cross-sectional curves of wear tracks for alloy coatings [20]: (a) Ti0, (b) Ti0.5, (c) Ti0.8, (d) Ti1.0

5. 合金涂层磨损痕迹的轮廓图像及截面曲线[20]:(a) Ti0、(b) Ti0.5、(c) Ti0.8、(d) Ti1.0

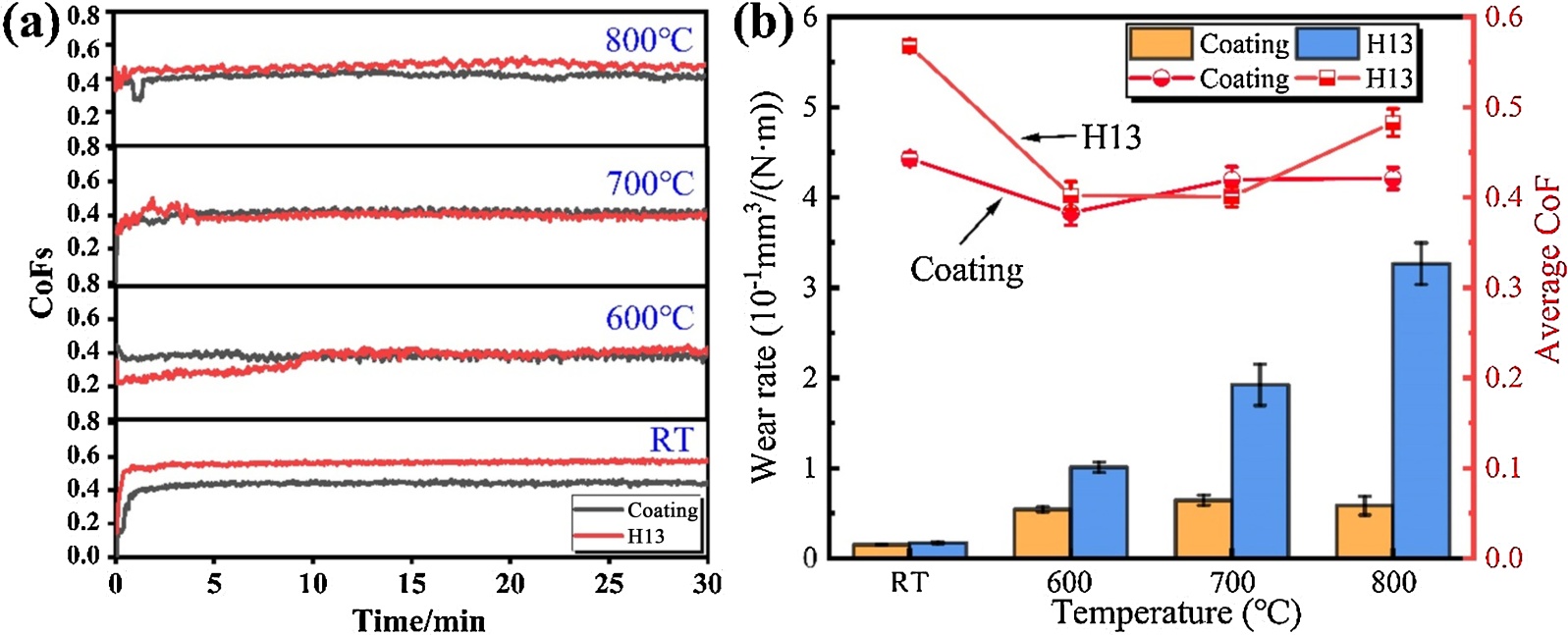
Xie等[21]针对超(超)临界火电机组阀门密封面高温耐磨需求,采用等离子熔覆技术在40Cr钢基材表面制备Fe-Co-Mo合金涂层。该工艺可实现单道熔覆厚度达3.4 mm的无裂纹、无孔隙致密组织,熔覆层与基材形成良好冶金结合;涂层平均硬度达529 HV,为40Cr钢基材(240 HV)的2.2倍。如图6所示,在600℃~800℃高温区间保持优异的热强性,800℃高温磨损率仅为H13热作模具钢的17%,显著提升了阀门密封面在高温、高载工况下的抗变形与耐磨损能力。

Figure 6. Wear test results of coatings and H13 steel at different temperatures [21]: (a) Friction coefficient curves; (b) Wear rate and average friction coefficient

6. 涂层与H13钢在不同温度下的磨损测试结果[21]:(a) 摩擦系数曲线;(b) 磨损率及平均摩擦系数

等离子熔覆技术具有热输入集中、熔深可控性强、熔覆速度大、生产效率高、成型美观以及易于实现机械化及自动化等特点,且熔覆过程中基材与熔覆材料的互熔较少、孔隙率和裂纹倾向性较低。然而,该方法设备成本较高,工艺参数窗口较窄,对复杂形状密封面的可达性不足,且特殊材料丝材送进稳定性有限;同时工艺过程对参数波动敏感,需精确平衡熔敷效率与稀释率控制,且收弧阶段熔池凝固收缩易形成弧坑缩孔与裂纹,在阀门密封面多层堆焊中需严格控制层间温度并采用电流衰减方法控制凝固速度,一定程度上制约了其在高精度、复杂构件修复中的广泛应用[22]

3.3. 激光熔覆

激光熔覆(Laser Cladding, LC)利用高能量密度激光束辐照粉末材料,使其快速熔化并在基材表面形成熔池;在熔池对流作用下,熔覆材料与基材冶金混合并快速凝固,形成冶金结合涂层[23]。但由于冷却速度太快,制备的熔覆层中孔隙率和裂纹倾向性较高。

Ostolaza M.等[24]在AISI H13工具钢基材上激光熔覆了功能梯度Stellite 6/WC金属基复合涂层,该涂层具有优异的室温及高温耐磨性能。如图7所示,激光熔覆Stellite 6/WC涂层在400℃时较AISI H13基体体积损失降低约54%,摩擦系数降低约65%,表面硬度提升至57HRC (较基体提高约12%),显著改善了高温耐磨性能。

Dowling等[25]在Al6061铝合金基体上分别激光熔覆Inconel 718、Nitinol和316 L不锈钢。相较于未处理基体,三种熔覆层的比磨损率降幅均超过70%,依次达84.66%、81.48%和72.95%,显著改善了铝合金表面耐磨性能。Borhani等[26]在42CrMo4钢基体上激光熔覆X2CrNiMoN22-5-3双相不锈钢。熔覆层腐蚀电位达−0.65 V,较双相不锈钢对照样和基体分别正移390 mV和550 mV,热力学稳定性显著增强;同时,熔覆层腐蚀速率降至0.00095 mmpy,低于基体的0.33 mmpy,显著提高了基材的耐蚀性能。

Figure 7. Cross-sectional profile of wear scar [24]

7. 磨损痕迹横截面轮廓[24]

激光熔覆技术在狭窄阀体内部应用时,受限于激光头物理尺寸与最小转弯半径,光束难以抵达深腔底部;同时内腔光路易受杂散光干扰、保护气体输送困难、激光吸收率不可控,易产生氧化、气孔等缺陷,制约其在精密阀门内腔修复中的规模化应用[23]。但总体而言,激光熔覆具有热输入集中可控、可适配多种金属粉末等显著优势,已被国内外学者广泛应用于零件修复、表面改性、增材制造及复杂构件制备等领域。

激光熔覆、等离子堆焊、钨极氩弧焊是常见的修复方式,其优势、局限性及应用范围如表2所示。

Table 2. Advantages, limitations and applications of common repair methods

2. 常见修复方法优势、局限及其应用

修复方法

优势

局限

应用

钨极氩弧焊

设备简单、操作灵活

变形大、稀释率高、效率低

现场应急修补、小型阀门维护、边角局部补焊、复杂形状手工修复

等离子堆焊

效率高、适用范围广

热影响区较大、组织均匀性一般、需后续加工

大面积硬面堆焊、新造阀门密封面制造、返厂维修

激光熔覆

精度高、变形小、稀释率低

成本高、易产生裂纹气孔

核级阀门精密再制造、现场原位修复、复杂型腔密封面成形

4. 常见性能优化方式

激光熔覆涂层虽然能够显著提升核阀密封面的服役性能,但熔覆层中气孔、裂纹、稀释率控制不均、残余应力过大等问题仍制约着修复质量。为实现涂层性能与可靠性的主动提升,研究发展了多种工艺优化策略。

4.1. 超声冲击处理

超声冲击处理(Ultrasonic Impact Treatment, UIT)利用高频超声振动驱动冲击针高速撞击熔覆层表面,诱导表层产生剧烈塑性变形,形成纳米晶/超细晶改性层。该工艺主要针对气孔和微裂纹两类缺陷:冲击产生的压应力场和致密化效应可闭合表面微气孔,同时抑制微裂纹扩展并减少应力集中点,提高疲劳寿命[27]

超声冲击处理现场实施具备可行性但存在限制。超声冲击系统需配套发生器及冷却单元,整套设备对狭窄空间作业仍显笨重,且磁致伸缩换能器需液体冷却,压电式虽可风冷但功率受限。同时,处理复杂内部几何形状时面临工具可达性限制,在核岛等高辐射、高温环境下的长期稳定性与维护便利性有待验证。尽管存在上述限制,该技术仍具备低噪声、处理效率高于传统气动工器具等优势,且无需高温预热等复杂辅助工艺,现场实施条件相对宽松。

黄双君等[28]针对激光熔化沉积CrCoFeNi高熵合金存在的晶粒粗化、残余拉应力及气孔、微裂纹、稀释率不均等缺陷,采用超声冲击进行表面强化。处理后合金仍保持单一面心立方结构,表层形成超细晶与高密度位错,可有效压实气孔、抑制微裂纹、改善稀释率偏差;同时表面残余拉应力转变为残余压应力,显微硬度提升至391.8 HV (图8),显著优化合金缺陷状态。此外,机械振动还能优化熔覆层与基体界面,降低稀释率不均导致的脆性相及界面裂纹,进一步改善表层缺陷。

Figure 8. Surface microhardness distribution and residual stress distribution of high-entropy alloy before and after ultrasonic impact treatment [28]

8. 超声冲击处理前后高熵合金表层显微硬度分布与残余应力分布[28]

李美艳等[29]采用激光熔覆技术制备Ni基涂层并进行超声冲击处理。处理后涂层物相保持稳定,表层形成5 μm细晶层,有效压实表层微小气孔、抑制微裂纹扩展,缺陷得到有效改善,涂层自腐蚀电流密度下降57.9%,耐蚀性显著提升。

4.2. 激光重熔

激光重熔(Laser Remelting, LR)是对已制备熔覆层进行二次激光扫描,使表层重熔并快速凝固,主要针对气孔、夹杂及未熔合等缺陷[30]。通过重熔可闭合表面及亚表面气孔、破碎原始柱状晶并促进等轴晶形成,减少元素偏析,消除晶界低熔点共晶相,间接降低裂纹敏感性。优化重熔参数可控制重熔深度,减少基体元素过度稀释,保持熔覆层设计成分。激光重熔现场实施难度较高:激光重熔需精确控制能量密度与扫描速度,功率过低无法消除气孔,过高则加剧热损伤或导致表面烧损[30];且需配套惰性气体保护系统防止二次氧化,增加设备复杂性与成本。在核岛等现场环境下,光路对准稳定性受空间限制,二次热输入会扩大热影响区并加剧基材晶粒粗化或组织恶化,对现场工艺控制要求严苛。

Dong T.等[31]针对AlCoCrFeNi高熵合金涂层存在的孔隙(孔隙率4.8%)、裂纹及界面未熔合等缺陷。采用激光重熔处理后,涂层孔隙率降至0.3%,裂纹基本消除,界面形成冶金结合带,有效阻断氧气扩散通道(图9)。900℃高温氧化100 h后基体未发生严重氧化,显著提升涂层防护能力。

Li L.等[32]针对APS YAG涂层存在的高孔隙率、层状堆叠结构及高非晶含量等缺陷。采用激光重熔处理后,涂层孔隙率由6.9%降至3.2%,层状结构完全消除。表面粗糙度从8.5 ± 0.6 μm降至3.1 ± 0.2 μm,无明显裂纹,结晶度提升至95%以上,致密度与结构稳定性显著改善。

Figure 9. Cross-sectional morphologies of coatings [31]: (a) As-sprayed coating; (b) Remelted coating

9. 涂层的横截面形貌[31]:(a) 喷涂态涂层;(b) 重熔后涂层

4.3. 其他辅助工艺

基体预热是一种有效改善涂层缺陷的方法,主要针对冷裂纹及未熔合缺陷。通过对基材进行预热可降低熔覆过程温度梯度,减小热应力,适用于高碳当量钢及大型厚壁阀门修复,可有效抑制冷裂纹形成并消除未熔合缺陷。现场实施难度较高,大型阀门预热需专用加热炉或火焰加热装置,能耗高、周期长。在核岛等现场环境下,高温预热设备搬运困难,且高温作业存在安全风险,可操作性较差。

Gradzik A.等[33]针对Inconel 718合金基材激光熔覆Stellite 6时易出现未熔合缺陷的问题,通过将基材预热至200℃以上,在激光功率密度22.6 KW/cm2、粉末流量5.8 g/min条件下,成功消除未熔合缺陷。

热处理是涂层组织与性能的关键后处理工艺,主要针对高残余应力及组织粗化缺陷。通过退火处理可有效降低残余应力、细化晶粒并改善元素分布。现场实施难度较大,在核岛等现场环境下,大型热处理设备无法进场,且高温退火需严格控制冷却速率,现场条件难以满足,通常需将工件转运至专门车间。

Zhao X.等[34]针对Ni60A激光熔覆修复齿轮时存在的高残余应力(781.63 MPa)问题,通过退火处理有效降低应力。800℃退火后残余应力降至393.83 MPa,同时晶粒细化,聚集相转为均匀弥散分布,EDS检测证实B元素促进晶粒细化,提升修复层综合性能。

5. 结论

核电阀门修复技术对于保障核电站安全运行、降低维护成本具有重要意义。本文综述了核电阀门密封面修复的合金体系、先进修复方法及缺陷控制技术,主要结论如下:

(1) 铁基、镍基及钴基合金构成阀门密封面修复的主要材料体系。铁基合金经济性良好,适用于常规工况;镍基合金耐蚀性能优异,兼具良好韧性,适配多种复杂工况;钴基合金综合性能最为优异,高温耐磨性与耐蚀性俱佳,适用于高温、强腐蚀等严苛工况。

(2) 激光熔覆技术凭借低稀释率、高精度及优异的冶金结合性能,已成为核级阀门精密再制造的首选工艺;等离子熔覆适用于大面积、厚截面修复,但设备投资较高;钨极氩弧焊设备简单、操作灵活,适用于现场应急修补,但存在热输入大、稀释率高、易形成气孔等局限。

(3) 超声冲击处理通过晶粒细化与残余压应力引入,可显著改善涂层硬度与耐蚀性;激光重熔可有效消除气孔与裂纹,均化组织成分;基体预热与退火处理可从源头抑制缺陷并调控残余应力状态。针对核阀密封面严苛服役需求,需基于失效模式与工况条件针对性选择优化策略,以实现再制造构件的高性能与长寿命目标。

基金项目

中核检修福清项目(ZJXC-25-00341, ZJXC-25-00295)。

NOTES

*通讯作者。

参考文献

[1] AFCEN. RCC-M2007压水堆核岛机械设备设计和建造规则[S]. 上海: 上海科学技术文献出版社, 2010.
[2] 王成, 王伟, 丁士杰, 等. 激光熔覆铁基耐磨涂层的制备及摩擦学性能研究[J]. 中国激光, 2022, 49(22): 131-141.
[3] Wang, Z., Gui, W., Fu, J., Zhu, P. and Lu, Y. (2023) Microstructure and Properties of Electromagnetic Field-Assisted Laser-Clad Norem02 Iron-Based Cemented Carbide Coating. Materials, 16, Article 6774. [Google Scholar] [CrossRef] [PubMed]
[4] Fu, J., Gui, W., Qin, J., Lin, J., Ren, X. and Luan, B. (2024) High-Speed Laser-Clad 3533-00 Fe-Based Cemented Carbide Coatings on Nuclear Power Valve Sealing Surface to Enhanced Wear and Corrosion Resistance. Surface and Coatings Technology, 480, Article ID: 130594. [Google Scholar] [CrossRef
[5] 高万东, 胡孔友, 王赛龙, 等. 不同等离子熔覆铁基合金涂层在阀门密封面上的应用[J]. 电镀与涂饰, 2021, 40(14): 1079-1084.
[6] 赵子锐, 段绪星, 陈青, 等. 镍基合金激光熔覆研究进展及其在反应堆的应用展望[J]. 激光杂志, 2025, 46(2): 1-9.
[7] Feng, K., Chen, Y., Deng, P., Li, Y., Zhao, H., Lu, F., et al. (2017) Improved High-Temperature Hardness and Wear Resistance of Inconel 625 Coatings Fabricated by Laser Cladding. Journal of Materials Processing Technology, 243, 82-91. [Google Scholar] [CrossRef
[8] 孟氢钡, 覃恩伟, 黄弋力, 等. 轴类部件表面镍基合金激光熔覆修复层力学性能研究[J]. 电焊机, 2019, 49(11): 17-19, 25.
[9] 李胜, 雷远涛, 伍文星, 等. 激光熔覆镍基高温耐磨合金的组织及性能[J]. 中国表面工程, 2023, 36(5): 213-221.
[10] Singh, J., Kumar, S. and Mohapatra, S.K. (2020) Erosion Tribo-Performance of HVOF Deposited Stellite-6 and Colmonoy-88 Micron Layers on SS-316L. Tribology International, 147, Article ID: 105262. [Google Scholar] [CrossRef
[11] Ding, Y., Liu, R., Yao, J., Zhang, Q. and Wang, L. (2017) Stellite Alloy Mixture Hardfacing via Laser Cladding for Control Valve Seat Sealing Surfaces. Surface and Coatings Technology, 329, 97-108. [Google Scholar] [CrossRef
[12] 刘福广, 李勇, 杨二娟, 等. 超(超)临界核阀用耐热钢激光熔覆钴基合金修复研究[J]. 激光与光电子学进展, 2021, 58(5): 220-228.
[13] 任超, 李铸国, 疏达, 等. 17-4PH不锈钢表面激光熔覆Stellite6涂层组织及耐水蚀性能[J]. 中国激光, 2017, 44(4): 107-114.
[14] 雷正, 朱宗涛, 李远星, 等. 空心钨极TIG焊电弧特性数值模拟[J]. 焊接学报, 2021, 42(9): 9-14, 27, 97.
[15] 柏忠炼, 李诗易, 叶义海, 等. 手工钨极氩弧焊修复密封面不锈钢堆焊层工艺技术研究[J]. 电焊机, 2025, 55(7): 106-111.
[16] Kumar, S. and Das, A.K. (2022) Wear Resistance and Hardness Properties of TiB2-Fe Coating Developed on AISI 1020 Steel by Tungsten Inert Gas (TIG) Cladding. Ceramics International, 48, 30052-30065. [Google Scholar] [CrossRef
[17] Debta, M.K. and Masanta, M. (2022) Effect of Stand-Off-Distance on the Performance of TIG Cladded TiC-Co Coating Deposited on Ti-6Al-4V Alloy. Surface and Coatings Technology, 434, Article ID: 128210. [Google Scholar] [CrossRef
[18] 杨宽, 高辉, 周灿丰. 基于Fluent的窄间隙TIG焊枪结构优化设计[J]. 焊接, 2022(8): 39-43.
[19] Feng, L., Li, C., Han, X., Luo, F. and Sun, H. (2024) Experimental Study on Preparation of Tungsten-Carbide-Particle-Reinforced Nickel-Based Alloy Plasma Surfacing Layer on Descaling Roller Surface. Coatings, 14, Article 729. [Google Scholar] [CrossRef
[20] Shen, Q., Xue, J., Yu, X., Zheng, Z. and Ou, N. (2022) Triple-Wire Plasma Arc Cladding of Cr-Fe-Ni-Tix High-Entropy Alloy Coatings. Surface and Coatings Technology, 443, Article ID: 128638. [Google Scholar] [CrossRef
[21] Xie, F., He, Y., Yuan, Z. and Kang, X. (2022) Microstructure and High-Temperature Sliding Wear Performance of Fe-Co-Mo Alloy Coating Fabricated by Plasma Cladding. Surface and Coatings Technology, 444, Article ID: 128667. [Google Scholar] [CrossRef
[22] 张宇, 唐彪, 马藤, 等. 焊接电流对Ni60/Cr3C2等离子堆焊层组织及性能的影响[J]. 机械工程材料, 2025, 49(3): 74-80.
[23] 冯凯, 郭彦兵, 冯育磊, 等. 激光熔覆高强韧铁基涂层精细组织调控与性能研究[J]. 金属学报, 2022, 58(4): 513-528.
[24] Ostolaza, M., Zabala, A., Arrizubieta, J.I., Llavori, I., Otegi, N. and Lamikiz, A. (2023) High-Temperature Tribological Performance of Functionally Graded Stellite 6/WC Metal Matrix Composite Coatings Manufactured by Laser-Directed Energy Deposition. Friction, 12, 522-538. [Google Scholar] [CrossRef
[25] Dowling, M., Al-Hamaoy, A.R. and A. Obeidi, M. (2023) Laser Surface Cladding of Metal Parts. Results in Surfaces and Interfaces, 12, Article ID: 100142. [Google Scholar] [CrossRef
[26] Borhani, M.R., Kermani, F., Shoja Razavi, R., Erfanmanesh, M. and Barekat, M. (2024) A Comparative Study on Corrosion and Mechanical Properties of Laser-Cladded X2CrNiMoN22-5-3 Duplex Stainless Steel on 42CrMo4 Steel Substrate. Heliyon, 10, e38353. [Google Scholar] [CrossRef] [PubMed]
[27] Wei, X., Zhang, L. and Li, X. (2024) Effect of In-Situ Ultrasonic Impact Treatment on Residual Stress of Laser Deposition Layer. CIRP Journal of Manufacturing Science and Technology, 50, 1-13. [Google Scholar] [CrossRef
[28] 黄双君, 王勇刚, 董逸君, 等. 超声冲击对激光熔化沉积CrCoFeNi高熵合金组织和耐腐蚀性能的影响[J]. 机械工程材料, 2025, 49(8): 27-32.
[29] 李美艳, 张琪, 杨洁, 等. 镍基熔覆层表面超声冲击处理组织及耐蚀性研究[J]. 表面技术, 2020, 49(10): 55-60.
[30] Yang, H., Liu, X., Guo, H., He, Y., Shi, J., Liu, H., et al. (2025) Effect of Laser Surface Remelting on the Microstructure and Properties of High Manganese Steel Coating. Surface and Coatings Technology, 496, Article ID: 131667. [Google Scholar] [CrossRef
[31] Dong, T., Lu, P., Ma, Q., Li, G., Liu, Q., Fu, B., et al. (2023) Effect of Laser Remelting on High-Temperature Oxidation Resistance of AlCoCrFeNi High-Entropy Alloy Coating. Surface and Coatings Technology, 466, Article ID: 129608. [Google Scholar] [CrossRef
[32] Li, L., Xie, F., Wu, X., He, J., Li, G., Zhang, T., et al. (2025) Effect of Laser Remelting on the Microstructure and Phase Composition of APS YAG Coatings. Surface and Coatings Technology, 505, Article ID: 132060. [Google Scholar] [CrossRef
[33] Gradzik, A., Walczyk, K., Gancarczyk, K., Kościelniak, B., Walczak, M., Gancarczyk, N., et al. (2025) Influence of High-Temperature Substrate Preheating on Laser Cladding of Stellite 6 Onto Inconel 718 Alloy. Materials, 18, Article 1814. [Google Scholar] [CrossRef] [PubMed]
[34] Zhao, X., Sun, W., Huang, J., Wu, Y., Lu, Y. and Wang, S. (2025) Effect of Annealing Temperature on Residual Stress and Microstructure of Ni60A Laser Cladding Repaired Gear. Coatings, 15, Article 212. [Google Scholar] [CrossRef