1. 引言
结合代数的Hochschild上同调理论由Hochschild于1945年在其奠基性工作[1]中提出。至20世纪60年代,Gerstenhaber深入探讨了结合代数的形变理论,并在文献[2]中证明了Hochschild上同调能够控制形变。
无穷小双代数的概念由Aguiar [3]在研究结合Yang-Baxter方程和Hopf代数理论时首次提出,它是李双代数在结合代数下的情况。Rota-Baxter算子起源于概率论[4],后经Rota [5]和Cartier [6]被应用于组合学与量子场论[7]。结合代数上的
-算子是权为零的Rota-Baxter算子的推广,与dendriform代数、结合Yang-Baxter方程以及结合r-矩阵等概念紧密相连[8]-[10]。2020年,Das [8]系统地建立了结合代数上
-算子的上同调与形变理论,作为应用得到结合代数上Rota-Baxter算子、结合r-矩阵以及无穷小双代数的形变。
2016年,为了研究A[[t]]上形变的B-代数结构,Staic [11]引入了B-代数上的二次上同调,相关研究见[12] [13]。2023年,黄在[14]中研究了B-代数上
-算子的二次上同调。在此基础上,刘等人将Das [8]关于结合代数上
-算子的形变理论推广到B-代数上[15],研究了B-代数上
-算子,Rota-Baxter算子和结合r-矩阵的形变。本文旨在进一步研究B-代数上由结合r-矩阵诱导的无穷小双代数的形变理论。
文中所有代数都有单位元,向量空间均为有限维,且所有向量空间,线性映射,张量积在特征为0的域
上讨论。
2. 预备知识
本节主要介绍B-代数及其上
-算子、结合r-矩阵的基本概念与结论。
定义2.1 [11] 设A是一个代数,B是一个带单位元
的交换代数,
是代数同态,且满足
(
是A的中心),则称A为一个B-代数,
是一个三元组。
注2.2 由文献[11]可知,B-代数等价于存在一簇乘法
使得
是一个带单位元
的代数,且对任意
,
,有
此时,称
是B-代数。
定义2.3 [15] 设
是B-代数,M是一个向量空间。若存在两簇线性映射
和
,使得对任意
,
,
,
,满足
以及
此外,还满足
且
,则称
为B-代数A的一个双模。
例2.4 [15] 设
是三元组。定义一簇乘法
为
设
是B-代数A的双模。对任意
,定义映射
,
为
容易验证
是B-代数,且
是B-代数A的一个双模。
注2.5 [15] 对于每个
,
,存在映射
,
以及
,
。特别地,B-代数
自身作为A-双模,其左右模作用
。我们称该双模为B-代数
上的伴随双模,相应地有映射
和
,即对固定的
,
,以及任意
,
,
。此外,B-代数
的对偶空间
也是B-代数的双模(又称B-代数上的余伴随双模结构),此时
,对于
,
以及
,有
对应的映射记为
和
,
B-代数上的伴随双模和余伴随双模在本文第4节研究无穷小双代数的形变理论中起着核心作用。
定义2.6 [15] 设
是B-代数,M是B-代数A的双模。若对任意
,
,线性映射
满足
则称其为B-代数上关于M的
-算子。
定义2.7 [15] 设
是B-代数,
。定义
其中
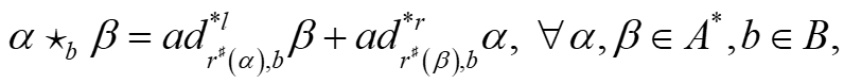
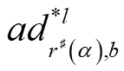
若对任意
,则称r为B-代数A上的结合r-矩阵。
定义反对称线性映射
。
命题2.8 [15]
是B-代数A上的结合r-矩阵当且仅当
是B-代数A上关于余伴随双模
的
-算子。
下面介绍B-代数上两个结合r-矩阵之间的弱同态。
定义2.9 [15] 设
是B-代数A上的两个结合r-矩阵,
是一个B-代数同态,
是一个线性映射。若对于任意
,满足以下等式:
则称
是从
到
的弱同态。若
和
都是同构,则称
为弱同构。
以下结果描述了B-代数上结合r-矩阵的弱同态(同构)与相应的
-算子之间的同态(同构)关系。
定理2.10 [15] 设
是B-代数上的两个结合r-矩阵,则
是从
到
的弱同态(同构)当且仅当
是从
到
的
-算子同态(同构)。
定理2.11 [15] B-代数A上的两个结合r-矩阵
和
等价当且仅当存在B-代数同构
使得
是从
到
的弱同构。
3. B-代数上的无穷小双代数
本节首先定义B-代数上的无穷小双代数,并证明三角无穷小B-双代数可由B-代数上的结合r-矩阵诱导得出。在此基础上,我们将引入B-代数上弱同态的概念来刻画B-代数上无穷小双代数之间的同态。
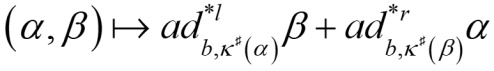
定义3.1 设
是一个B-代数。若存在一簇余乘法
使得对每个
,
是一个B-余代数(即满足B-余结合律),且对任意
及
,成立
其中右模作用和左模作用分别定义为
则称
为一个B-代数上的无穷小双代数。
注3.2 当
时,上述定义退化为经典的无穷小双代数[1],此时
。
设
和
是两个B-代数上的无穷小双代数。若存在B-代数同态
,且该同态与余积相容,即
,则称其为B-代数上无穷小双代数的同态。在有限维向量空间上,结合余代数结构等价于其对偶空间上的结合代数结构。从对偶等价的角度来说,若存在B-代数同态
满足其对偶态射
是B-代数同态,则称其为B-代数上无穷小双代数的同态。若
是线性同构,则称其为B-代数上无穷小双代数的同构。
由文献[15]可知,B-代数A上的结合r-矩阵
诱导了
-算子
。在对偶空间
上可以定义
B-代数结构:
其中
和
是
B-代数
A上的右余伴随和左余伴随作用,具体作用见注2.5。对偶地,该
B-代数结构对应了
A上的一个
B-余代数结构
,定义为
此时,A上的B-代数结构和上述B-余代数结构构成一个B-代数上的无穷小双代数,称
为由r诱导的B-代数上的三角无穷小双代数。
接下来,我们引入B-代数A上两个无穷小双代数之间的弱同态概念。
定义3.3 设
和
是B-代数A上的两个无穷小双代数。若存在一对
,其中
是B-代数同态,
是B-余代数同态(即对每个
,
),使得对任意
,
则称其为B-代数A上两个无穷小双代数之间的弱同态。若
和
都是线性同构,则称
为弱同构。
命题3.4 设
和
是B-代数A上的两个无穷小双代数。它们作为B-代数A上的无穷小双代数同构当且仅当存在B-代数同构
使得
是B-代数A上从
到
的弱同构。
下面我们说明,B-代数A上结合r-矩阵的弱同态会诱导相应无穷小双代数之间的弱同态。
定理3.5 设
是一个B-代数,
是两个B-代数上的结合r-矩阵。若
是B-代数上从
到
的弱同态(弱同构),则
也是B-代数上从无穷小双代数
到
的弱同态(弱同构)。
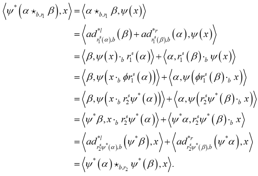
证明:由于
是从
到
的弱同态,由定义3.3知
和
。因此只需证明
是B-余代数同态,即等价于证明
是B-代数同态。对任意
,
,我们有
这表明
。证毕。
结合定理2.11,命题3.4,定理3.5可得如下推论。
推论3.6 设
是B-代数
上的两个结合r-矩阵。若
与
等价,则无穷小双代数
与
同构。
在本节末尾,我们给出一个具体的低维B-代数及其结合r-矩阵的例子。
例3.7 取一个2维交换代数
,基为
,乘法满足
,
,
。取另一2维交换代数
,基为
。定义
为
,
。由于A交换,
自然在A的中心,因此
构成一个B-代数。相应的乘法族为:对
,
。取
,易知
对任意
成立,即r是一个结合r-矩阵。计算
:设对偶基
,则
,
。于是
上的
B-代数结构
为:对
,
具体计算得:
通过基计算可得
上的乘法,进而对偶得到A上的余乘法
。例如,
。于是得到了一个由r诱导的B-代数上非平凡的三角无穷小双代数
。
4. B-代数上的无穷小双代数线性形变
本节研究B-代数
上无穷小双代数的线性形变。
定义4.1 设
是一个B-代数上的无穷小双代数。考虑一簇线性映射
,如果对每个参数
,
仍定义了一个B-代数A上的无穷小双代数结构,则称对于每个
,
生成了B-代数上无穷小双代数
的一个线性形变。
令
是B-代数
上的结合r-矩阵,对于每个
,定义映射
,
,其对偶映射为
。由于
B-代数
A上的结合
r-矩阵
可以诱导
-算子
,我们可以得到以下结果。
命题4.2 设r是B-代数
上的一个结合r-矩阵,对于每个
,相应的无穷小双代数为
。若
生成了B-代数A上结合r-矩阵r的线性形变,则
生成了B-代数A上无穷小双代数
的一个线性形变。
证明:由假设,
生成r的线性形变,即对每个
,
仍是B-代数A上的结合r-矩阵。由命题2.8知,对任意
,
是由
B-代数
A上结合
r-矩阵
诱导的
-算子。因此,

诱导了
上的
B-代数结构
,其对偶即为
A上的
B-余代数结构
。由定义3.1知,
是无穷小双代数。又
,由定义4.1知,
生成了
的一个线性形变。
定义4.3 设B-代数A上无穷小双代数
的两个线性形变为
和
,如果存在
使得
是B-代数A上从
到
的弱同态,即对每个
和任意
有
且
是余代数同态:
,则称这两个线性形变是等价的。
关于B-代数A上结合r-矩阵的形变与相应无穷小双代数的形变之间的等价关系,我们有如下结论。
定理4.4 设
和
是B-代数A上结合r-矩阵
的两个线性形变。考虑B-代数A上相应无穷小双代数
和
的线性形变,则
与
等价当且仅当
与
等价。
证明:设
与
是B-代数A上结合r-矩阵r的两个线性形变。由定理2.11,
与
等价当且仅当存在依赖于参数t的B-代数同构
,使得
是从
到
的弱同构。将
展开为形式幂级数
,则
,其中
是线性映射。将
代入弱同构条件(定义2.9),比较t的一次项,得到:
即
是B-代数A上的导子。根据结合r-矩阵的形变理论(参见文献[15]),满足上述条件的导子
必为内导子,即存在某个
使得
。于是构造映射
由于
与
相差
,
与
相差
,且
满足弱同构条件,故
满足弱同态条件至t的一阶。因为形变是线性的(仅含t的一次项),所以
构成定义4.3中的弱同态。进而由定理3.5知,
与
等价。
反之,若存在
使得
是定义4.3中的弱同态,则比较t的一次项可得
满足上述导子条件及第一个等式,因此由定理2.10和2.11可知
与
等价。证毕。
例4.5 例3.7中的B-代数
和
,取
,则
,计算
可知其为零,故
生成了r的一个线性形变。对应的
由对偶得到:
,
。于是
给出
的线性形变。若取另一形变
,则
,易知
等价,其中
,易知这两个形变等价,符合定理4.4。
5. 总结与展望
本文将Das [8]中关于无穷小双代数的形变理论推广到了B-代数框架下。我们首先定义了B-代数上的无穷小双代数,并证明了三角无穷小B-双代数可由B-代数上的结合r-矩阵自然诱导得出。在此基础上,我们引入了弱同态的概念,并系统研究了这类双代数的线性形变。本文的核心结论是建立了B-代数上结合r-矩阵的形变与其诱导的三角无穷小B-双代数形变之间的一一对应。这一工作不仅完善了B-代数上
-算子形变理论的应用,也为进一步研究B-代数上更一般的双代数结构提供了基础。
然而,在本文所研究的B-代数上无穷小双代数的形变中,我们只对B-余代数结构进行了线性形变,这与结合r-矩阵的形变以及
-算子的形变是一致的,即只形变r-矩阵或
-算子,而保持基代数不变。因此,考虑更一般的形变,即允许B-代数结构也发生形变,值得进一步研究。