对于不同电流退火铁基非晶带材AGMI效应研究
Effect of Current Annealing on the AGMI Properties in Iron-Based Amorphous Ribbons
摘要: 本文研究了FeCuNbSiB非晶带材在不同退火电流下的磁阻抗效应。样品被分别施加不同的退火电流,在线性响应范围−325.57~11.63 A/m内观察到约0.9982%的线性拟合度,灵敏度达到0.81%/(A/m),从而在零磁场与AGMI效应之间实现了宽线性度和高灵敏度的特点。旨在提供一种基于GMI效应的新型电流传感器用磁敏材料。根据XRD模式,样品中较高退火电流退火的B6Fe23硬磁相是AGMI效应的原因。
Abstract: This study investigates the magnetic impedance effect of FeCuNbSiB amorphous ribbon under varying annealing currents. Samples subjected to different annealing currents exhibited approximately 0.9982% linearity within the linear response range of −325.57 to 11.63 A/m, with a sensitivity of 0.81%/(A/m). These results demonstrate a wide linear range and high sensitivity between zero magnetic field and the AGMI effect, providing a novel magneto sensitive material for current sensors based on the GMI effect. XRD analysis indicates that the B6Fe23 hard magnetic phase formed at higher annealing currents is responsible for the AGMI effect.
文章引用:李金贵, 张子悦, 刘一兵, 毕才金, 陈博阳, 范晓珍, 方允樟. 对于不同电流退火铁基非晶带材AGMI效应研究[J]. 材料科学, 2026, 16(4): 45-49. https://doi.org/10.12677/ms.2026.164071

1. 引言

1992年,日本名古屋大学教授Mhori [1]首次在钴基非晶材料中发现了巨磁阻抗效应(GMI)。基于GMI效应的传感器因其高灵敏度、快速响应、小型化和低功耗等特性,已成为新型传感器研究的重要领域[2] -[4]。然而,GMI效应的阻抗曲线不仅在零磁场附近呈现非线性[5],而且随着外加直流磁场的变化,零磁场位置呈现对称性。因此,基于GMI效应工作的传感器几乎对零磁场不敏感[6] [7]。1995年,Kitoh [8]等人首次发现GMI曲线偏离零场对称性,形成不对称零磁场现象,称为不对称巨磁阻抗效应(AGMI)。AGMI效应存在三种形式[9]:电流偏置、交换耦合和螺旋各向异性。上述现象均伴随较大能量消耗和不稳定问题。尽管Kim [10]解决了该问题,但零磁场附近的阻抗比仍较低。目前,GMI效应主要集中在横向驱动中。本文研究了不同退火电流下单个非晶带材的纵向驱动效应,获得了AGMI效应在零磁场附近宽线性范围和高灵敏度的特性。

在电流传感器研究方面,国外研究人员提出了多种GMI电流检测结构[6] [7]。例如通过将GMI敏感元件置于载流导体产生的磁场中,实现电流检测。部分实验研究表明,基于GMI效应的电流传感器能够实现微安级甚至更低电流的检测[11] [12],同时保持较高线性度。

2. 实验方法

实验装置如图1所示,使用Fe73.5Cu1Nb3Si13.5B9带材样品(长度2厘米,宽度1.1毫米,厚度40 μm)。带材一端固定于夹具,另一端夹持在可沿光滑导轨移动的夹具上,如图所示进行不同电流进行退火处理,退火时间为10 min从而分别实现高零场高灵敏度和宽线性AGMI效应。

Figure 1. Schematic diagram of current annealing device

1. 当前退火装置示意图

纵向驱动模式(如图2所示)用于测量阻抗曲线,驱动电流并非直接流经磁性材料,而是流经样品和由等效阻抗构成的线圈[10],这可避免复杂的样品熔融过程及对耐高温磁性材料的要求。该模式亦称为纵向驱动巨磁阻抗效应(简称LDGMI效应) [13],其阻抗值比传统横向驱动GMI效应高出两个数量级[14] [15]。本研究采用HP4294A阻抗仪以纵向驱动的方式测量薄带的巨磁阻抗,驱动频率设置为310 KHz,驱动电流为10 mA。

Figure 2. Schematic diagram of longitudinal drive GMI measurement

2. 纵向驱动GMI测量示意图

3. 结果与讨论

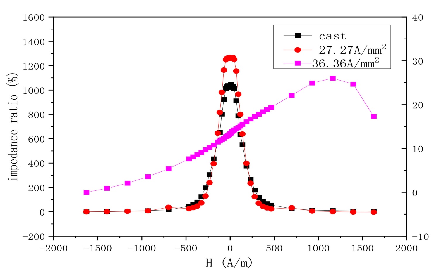
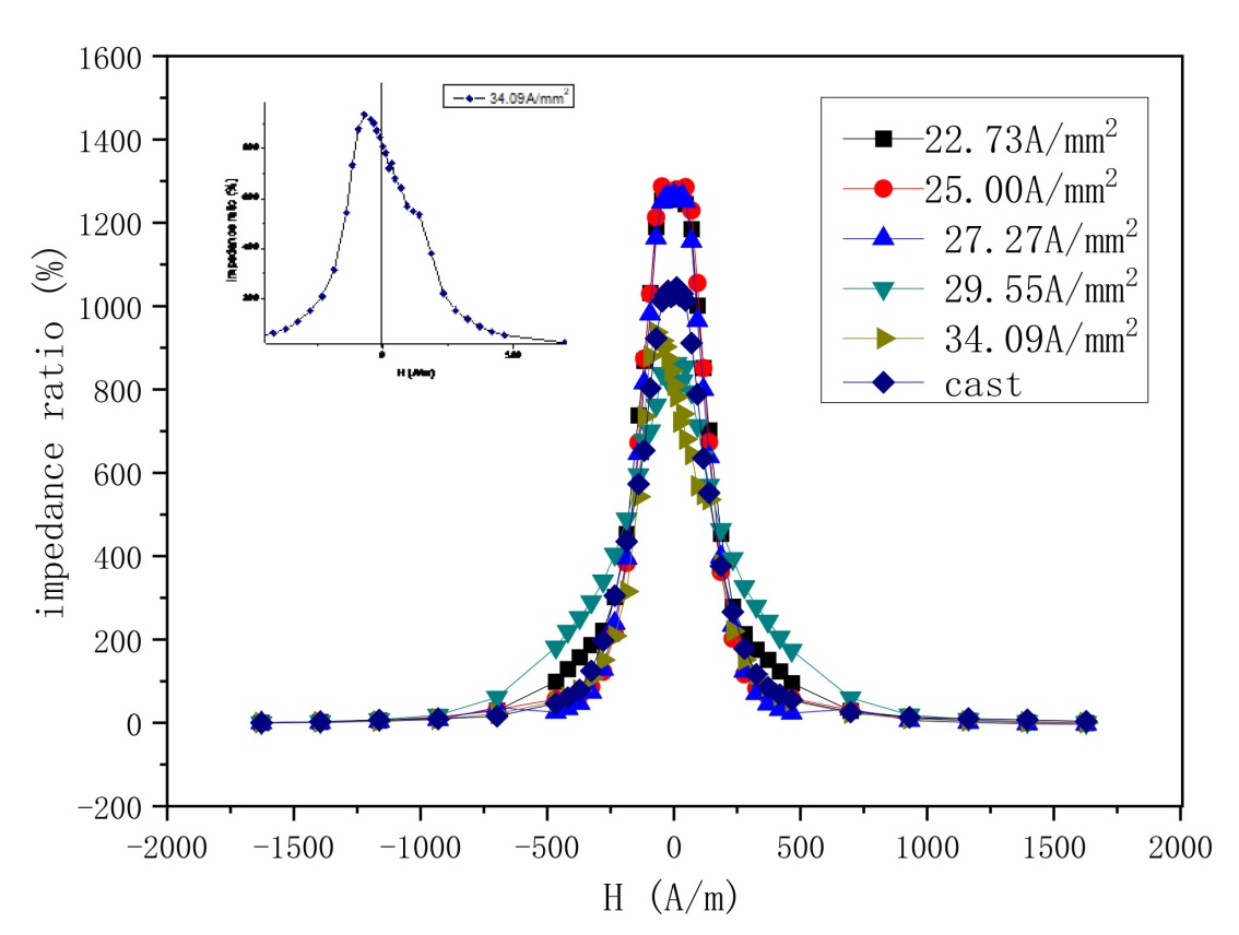
图3展示了不同退火电流下样品的GMI曲线。对于所选Fe73.5Cu1Nb3Si13.5B9薄带材料,铸态样品与22.73 A/mm2~29.55 A/mm2电流退火样品的GMI曲线均以零磁场为对称轴,展现出优异的软磁性能,其中27.27 A/mm2电流退火样品的阻抗值最高。当电流退火至34.09 A/mm2时,GMI曲线开始呈现不对称现象,因此我们认为27.27 A/mm2电流退火样品的阻抗值达到峰值,阻抗值高达1267.36%。在36.36 A/mm2电流下,GMI曲线虽未对称于零磁场,但灵敏度较低。不过其优势在于AGMI曲线不再呈现零磁场对称性且线性度良好,这有助于提升横向磁场线性响应区间。电流1对应27.27 A/mm2 (小电流)退火样品,电流2对应36.36 A/mm2 (大电流)退火样品。

Figure 3. The GMI curves of annealing with different currents

3. 不同电流退火的GMI曲线

Figure 4. The GMI curve of as-cast, 27.27 A/mm2, 36.36 A/mm2 current anneal

4. 为铸态、27.27 A/mm2、36.36 A/mm2电流退火的GMI曲线

Figure 5. XRD spectra of different current annealing

5. 不同电流退火的XRD谱

对铸态及当前退火的27.27 A/mm2、36.36 A/mm2样品进行了X射线衍射分析(型号Y-2000),并获得了以下XRD图谱。

不同电流退火样品的X射线粉末衍射(XRD)图谱如图5所示。如图4所示,铸态样品的最大阻抗比((ΔZ/Z)max)约为1045%,且GMI曲线在零磁场下对称。X射线粉末衍射(XRD)图谱(见图5)显示,铸态样品在45度处出现典型的非晶态样品散射峰,表明该样品仍为非晶态。27.27 A/mm2电流退火样品的XRD图谱在45度处出现典型散射峰,表明样品仍为非晶态。36.36 A/mm2退火样品的GMI曲线变得不对称,45度附近的XRD峰变得尖锐。43.5度处的峰代表硬B6Fe23相,这是硬磁相分离导致AGMI效应产生的原因。

4. 结论

在本研究中,我们使用自制的电流退火装置,研究了非晶带材在不同退火电流下的磁阻抗效应。我们获得了宽线性AGMI效应和高灵敏度。线性拟合度可达约0.9982%,灵敏度为0.81%/(A/m),线性响应范围:−325.57~11.63 A/m,与Kim相比,零磁场附近的阻抗比提高了一个数量级。通过XRD分析电流退火样品,发现硬磁相B6Fe23的相分离导致了AGMI效应的产生。然而,仍需研究大电流退火截面是否占非晶带样品中整个能带的比例,以及可能出现的特定AGMI效应。

NOTES

*共同通讯作者。

参考文献

[1] Mohri, K., Kohsawa, T., Kawashima, K., Yoshida, H. and Panina, L.V. (1992) Magneto-Inductive Effect (MI Effect) in Amorphous Wires. IEEE Transactions on Magnetics, 28, 3150-3152. [Google Scholar] [CrossRef
[2] Panina, L.V., Mohri, K., Uchiyama, T., Noda, M. and Bushida, K. (1995) Giant Magneto-Impedance in Co-Rich Amorphous Wires and Films. IEEE Transactions on Magnetics, 31, 1249-1260. [Google Scholar] [CrossRef
[3] Fan, T., Pan, L., Zhao, C., Liu, Q., Liu, X. and Wang, J. (2026) Investigation of Loss and Noise in Toroidal Core Current Sensors. Journal of Magnetism and Magnetic Materials, 640, Article ID: 173788. [Google Scholar] [CrossRef
[4] 杨灿, 李金贵, 何佳俊, 等. 应力退火调控环形磁芯对电流的响应特性[J]. 材料科学, 2024(4): 390-396.
[5] Gómez-Polo, C., Vázquez, M. and Chen, D. (1993) Directionally Alternating Domain Wall Propagation in Bistable Amorphous Wires. Applied Physics Letters, 62, 108-109. [Google Scholar] [CrossRef
[6] Hrakova, D., Ripka, P. and Kmječ, T. (2023) Enhancing Performance of Fluxgate Sensors Using Annealed Nanocrystalline Core. IEEE Transactions on Magnetics, 59, 1-9. [Google Scholar] [CrossRef
[7] Shi, J., Li, Z., Sui, Y., Wang, Y., Zhou, Z. and Liu, F. (2023) Low-Temperature-Drift Design of Fluxgate Sensors for Geomagnetic Observation Based on the Two-Stage Magnetic Field Adjustment Method. IEEE Sensors Journal, 23, 24393-24403. [Google Scholar] [CrossRef
[8] Kitoh, T., Mohri, K. and Uchiyama, T. (1995) Asymmetrical Magneto-Impedance Effect in Twisted Amorphous Wires for Sensitive Magnetic Sensors. IEEE Transactions on Magnetics, 31, 3137-3139. [Google Scholar] [CrossRef
[9] Zhang, Z.-Y., Shi, Y., Liu, Y.-L., et al. (2004) Asymmetrical Characteristics of Giant Magneton Impedance Effects. Journal of Functional Materials, 35, 513-516.
[10] Kim, C.G., Jang, K.J., Kim, H.C. and Yoon, S.S. (1999) Asymmetric Giant Magnetoimpedance in Field-Annealed Co-Based Amorphous Ribbon. Journal of Applied Physics, 85, 5447-5449. [Google Scholar] [CrossRef
[11] Sirat, A.P., Niakan, H. and Parkhideh, B. (2023) Utilizing a Micro-Fluxgate Magnetometer in Dual-Path Configuration for Fast Switch-Current Sensing. 2023 IEEE Energy Conversion Congress and Exposition (ECCE), Nashville, 29 October-2 November 2023, 1344-1351. [Google Scholar] [CrossRef
[12] Chang, M., Xu, L., Xiong, X., Zhang, J. and Li, X. (2023) Research Progress on Detection Technology of Small Magnetic Targets on Moving Platforms. 2023 7th International Conference on Robotics, Control and Automation (ICRCA), Taizhou, 5-7 January 2023, 31-36. [Google Scholar] [CrossRef
[13] Zhu, W., Ma, G., Wang, C., Song, B. and Liu, S. (2023) Digitalized Design and Realization on Mine Intrinsic Safe Mode Geologic Compass. 2023 IEEE 3rd International Conference on Information Technology, Big Data and Artificial Intelligence (ICIBA), Chongqing, 26-28 May 2023, 878-882. [Google Scholar] [CrossRef
[14] Mostufa, S., Rezaei, B., Yari, P., Xu, K., Gómez-Pastora, J., Sun, J., et al. (2023) Giant Magnetoresistance Based Biosensors for Cancer Screening and Detection. ACS Applied Bio Materials, 6, 4042-4059. [Google Scholar] [CrossRef] [PubMed]
[15] Ger, T.-R., Wu, P.-S., Wang, W.-J., Chen, C., Abu, P.A.R. and Chen, S. (2023) Development of a Microfluidic Chip System with Giant Magnetoresistance Sensor for High-Sensitivity Detection of Magnetic Nanoparticles in Biomedical Applications. Biosensors, 13, Article No. 807. [Google Scholar] [CrossRef] [PubMed]
[16] Degen, C.L., Reinhard, F. and Cappellaro, P. (2017) Quantum Sensing. Reviews of Modern Physics, 89, Article ID: 035002. [Google Scholar] [CrossRef