Bi-Mg-W共掺杂实现GeTe基热电材料超低晶格热导率
Bi-Mg-W Co-Doping Enables Ultralow Lattice Thermal Conductivity in GeTe-Based Thermoelectric Materials
DOI: 10.12677/ms.2026.164072, PDF, HTML, XML,   
作者: 南嘉俊, 李 松, 彭菩保, 张玉晶, 唐国栋*:南京理工大学材料科学与工程学院,江苏 南京;詹敏言:三峡大学湖北科创学院(三峡),湖北 宜昌
关键词: 热电材料碲化锗晶格热导率功率因子热电优值Thermoelectric Materials GeTe Lattice Thermal Conductivity Power Factor Figure of Merit
摘要: GeTe因其顶尖的热电性能、环境友好特性而备受广泛关注。本研究证实,通过在GeTe样品中共掺杂Bi、Mg、W,可以显著提升热电性能。Bi、W元素作为电子供体,可以大大优化过量的载流子浓度,将载流子浓度调整至最佳范围。同时,Bi、Mg元素可以引起能带收敛从而优化GeTe电子能带结构,使得塞贝克系数显著提升。Bi、Mg、W与Ge的大小差异较大,引发了强烈的应变涨落,以及掺杂引入的大量点缺陷增强了声子散射,最终最优样品Ge0.937Bi0.04Mg0.02W0.003Te在673 K实现了0.356 W·m−1·K−1的超低晶格热导率。通过电声性能的协同调控,Ge0.937Bi0.04Mg0.02W0.003Te在823 K获得了高达2.11的峰值ZT,400~823 K的平均ZT达到1.5。
Abstract: GeTe has garnered extensive attention owing to its state-of-the-art thermoelectric performance, and environmental benignity. In this study, it is demonstrated that the thermoelectric properties of GeTe can be significantly enhanced through the co-doping of Bi, Mg, and W elements. As electron donors, Bi and W elements can effectively optimize the excessive carrier concentration, adjusting it to the optimal range. Meanwhile, Bi and Mg elements are capable of inducing band convergence to refine the electronic band structure of GeTe, resulting in a remarkable improvement in the Seebeck coefficient. The substantial differences in atomic sizes between Bi/Mg/W and Ge give rise to intense strain fluctuations, and the numerous point defects introduced by doping further strengthen phonon scattering. Ultimately, the optimal sample Ge0.937Bi0.04Mg0.02W0.003Te achieves an ultralow lattice thermal conductivity of 0.356 W·m−1·K−1 at 673 K. Through the synergistic regulation of electronic and phonon transport properties, Ge0.937Bi0.04Mg0.02W0.003Te attains a peak thermoelectric figure of merit (ZT) of up to 2.11 at 823 K, with an average ZT of 1.5 in the temperature range of 400~823 K.
文章引用:南嘉俊, 李松, 彭菩保, 詹敏言, 张玉晶, 唐国栋. Bi-Mg-W共掺杂实现GeTe基热电材料超低晶格热导率[J]. 材料科学, 2026, 16(4): 50-61. https://doi.org/10.12677/ms.2026.164072

1. 引言

GeTe作为IV-VI族化合物半导体的典型代表,凭借其独特的晶体结构相变特性、优异的中温域(500~800 K)电输运潜能及良好的高温稳定性,已成为热电转换领域的研究热点之一。室温下,GeTe呈菱方结构,隶属于R3m空间群;当温度攀升至700 K左右时,会发生铁电体相变,由菱方结构(R-GeTe)向立方结构(C-GeTe)转变。由于Ge空位形成能较低,本征GeTe存在大量Ge空位缺陷(本征浓度可达2.5%),使得其载流子浓度高达1021 cm3。过高的载流子浓度导致塞贝克系数偏低,严重限制功率因子(PF)的提升。因此,载流子浓度的精准调控是GeTe基材料性能优化的首要任务。

为了优化载流子浓度,研究者们进行了大量尝试。通过异价掺杂(如Bi、Sb)可提供电子以补偿本征空穴浓度;通过等价掺杂(如Pb [1])或掺杂I [2]、Sc [3]等元素则可提高Ge空位形成能,从而有效降低空穴浓度。此外,通过引入Mg [4]、Ca [5]、Mn [6]、Al [7]、Sn [8]、Cd [9]、Y [10]等元素对GeTe进行能带工程,能够提升塞贝克系数或优化载流子迁移率。

另一方面,当掺杂原子与基体原子半径差与质量差较大时,将在基体内引发强烈的原子应变扰动这种扰动能够细化铁电畴,从而诱导出超细铁电畴结构[11]。例如,掺杂Bi和Ca会引发强烈的原子应变扰动,从而实现0.48 W·m1·K1的超低晶格热导率[12]。此外,引入多种异质元素也会在基体中产生大量缺陷和晶格应变,这将引入较大的应力场与质量涨落,降低声子弛豫时间,从而显著降低晶格热导率。基于上述原因,本研究采用Bi、Mg、W元素共掺杂的方式,优化GeTe的热电性能。

本文通过固相熔融法结合放电等离子体烧结法成功制备了一系列掺杂Bi、Mg、W元素的GeTe样品。Bi、W元素作为电子供体,可以大大优化过量的载流子浓度,将载流子浓度调整至最佳范围。同时,Bi、Mg元素可以引起能带收敛从而优化GeTe电子能带结构,使得塞贝克系数显著提升。Bi、Mg、W与Ge的大小差异较大,引发了强烈的应变涨落,以及掺杂引入的大量点缺陷增强了声子散射,最终最优样品Ge0.937Bi0.04Mg0.02W0.003Te在673 K实现了0.356 W·m1·K1的超低晶格热导率。通过电声性能的协同调控,Ge0.937Bi0.04Mg0.02W0.003Te在823 K获得了高达2.11的峰值ZT,400~823 K的平均ZT达到1.5。

2. 实验部分

2.1. 药品与仪器设备

本研究实验过程中所使用的相关原材料、药品纯度及生产厂家信息如表1所示。

Table 1. Main chemicals

1. 主要药品

化学药品名称

化学式

纯度

生产厂家

锗粒

Ge

99.999%

上海阿拉丁生化科技股份有限公司

碲粒

Te

99.99%

上海阿拉丁生化科技股份有限公司

铋粒

Bi

99.99%

上海阿拉丁生化科技股份有限公司

镁条

Mg

99%

南京理工大学药品库

钨粉

W

99.99%

上海阿拉丁生化科技股份有限公司

实验过程中所使用的相关实验设备、型号及用途如表2所示。

Table 2. Experimental equipment

2. 实验设备

设备名称

设备型号

设备用途

电子天平

FA1004

精确称量药品

真空抽气泵

EdwardsRV

将石英管抽真空

高温箱式炉

KSL-1200X

对样品进行高温熔炼及保温

放电等离子烧结炉

SPS-211Lx

将粉末样品烧结成块体

金刚石线切割机

STX-202A

将样品切割成所需尺寸

密度天平

ME204E

测量样品密度

塞贝克系数/电阻测量系统

ZEM-3

测量样品电性能

激光导热系数仪

LFA-457

测量样品热输运性能

霍尔效应测量仪

HMS-3000

测量样品载流子浓度

霍尔测量系统

HMS8400

测量样品变温霍尔系数

X射线衍射仪

Bruker-AXS D8 Advance

表征样品物相

扫描电子显微镜

FEI Quanta 250F

样品微观形貌表征

2.2. 制备方法

Bi、Mg和W掺杂的GeTe样品Ge1-x-y-zBixMgyWzTe (x = 0, 0.02, 0.04, 0.06, 0.08, y = 0, 0.01, 0.02, 0.04, 0.04, z = 0, 0.001, 0.003, 0.005, 0.01)主要通过固相熔融法结合放电等离子体烧结法制备。首先,先用电子天平根据每个样品的化学计量比精确称量各原料Ge粒(99.999%)、Bi粒(99.99%)、Te粒(99.99%)、Mg条(99%)、W粉(99.99%),然后放入石英管中进行真空封管。将检查完气密性之后的石英管放入箱式高温炉中进行加热,程序设置为在10小时内缓慢升温至1273 K,并在1273 K保温10小时使其充分反应,随后将其迅速放入冰水中淬火。将淬火后的样品重新封管后继续放入箱式高温炉中退火72小时。退火条件为以每小时100 K的升温速度缓慢升温至873 K,然后在此温度保温72小时后随炉自然冷却至室温,即可得到所制备样品的铸锭。最后,将所得到的铸锭去除表面杂质和氧化层之后手工研磨成粉末,放入内径为12.7 mm的石墨模具中进行预压。预压后的模具垂直放入SPS烧结设备(CHPD 10, FCT System GmbH)中防止烧结过程中样品挤出。烧结程序设置为从室温以每分钟100 K的升温速率升温到823 K,轴向压力为50 MPa,在此温度压力下保温5分钟。烧结完成后随循环水冷却至室温,退模后即可得到高致密度的GeTe圆柱体铸锭。将烧结后的GeTe圆柱块体用金刚石线切割机按照各项性能测试所需要的尺寸切割,然后进行各项性能测试。

2.3. 热电性能测试

在ZEM-3系统(日本Ulvac-Riko)上,在低压氦气氛下,用稳态直流电法表征电导率(σ)和塞贝克系数(S)。热扩散率(D)在LFA-457 (Netzsch,德国)中用激光闪光法获得。比热容(Cp)用Dulong-Petit极限估计。密度(ρ)是根据样品的质量和物理尺寸得出的(表S2,支持信息)。总热导率(κT)通过关系式κT = DCpρ来确定。温度相关的霍尔系数(RH)用范德堡法用霍尔测量系统(HMS8400, Lake Shore Cryotronics)测量。载流子浓度(nH)和载流子迁移率(μH)分别以nH = 1/eRHμH = RH/ρ计算。

2.4. 表征

粉末X射线衍射(XRD)分析仪器为布鲁克D8 Advance衍射仪,扫描步长为0.02˚。结构和成分分析使用FEI Quanta 250 FEG扫描电子显微镜(SEM)检查样品的表面形态,EDS采用集成Aztec Extreme能量色散光谱仪。

3. 结果和讨论

3.1. 物象分析

Figure 1. (a) Room-temperature powder X-ray diffraction (XRD) patterns of Ge1-x-y-zBixMgyWzTe samples; (b) Magnified view of the (202) diffraction peak in the 29˚~31˚ range for Ge1-x-y-zBixMgyWzTe samples; (c) Magnified view of the (024) and (220) diffraction peaks in the 41˚~47˚ range for Ge1-x-y-zBixMgyWzTe samples; (d) Variations of lattice parameters and interaxial angles with doping concentration obtained via Rietveld refinement of XRD data

1. (a) Ge1-x-y-zBixMgyWzTe样品的室温粉末X射线衍射图谱;(b) Ge1-x-y-zBixMgyWzTe样品29˚~31˚范围内(202)衍射峰的放大图;(c) Ge1-x-y-zBixMgyWzTe样品41˚~47˚范围内(024)与(220)衍射峰的放大图;(d) 通过XRD数据精修获得的晶格参数和轴间角随掺杂浓度的变化

图1(a)展示了Ge1-x-y-zBixMgyWzTe样品的室温X射线衍射(XRD)图谱。共掺杂GeTe样品的衍射图谱与菱方结构(PDF #47-1079,R3m空间群)高度吻合。图1(b)展示了29˚~31˚ 2θ范围内(202)衍射图谱的放大视图。随着掺杂水平的增加,衍射峰位置向较低角度偏移,表明与纯GeTe相比,晶格发生膨胀。图1(c)展示两个峰(41˚~47˚)之间的距离有进一步缩小,这可以归因于晶体对称性的增加,说明通过Bi-Mg-W掺杂可以通过增加晶体结构对称性来抑制GeTe的相变。表3展示了通过X射线衍射(XRD)Rietveld精修提取的晶格参数。随着掺杂浓度的增加,晶格参数a不断增加,这可归因于Bi原子(0.154 Å)、Mg原子(0.16 Å)作为主要掺杂剂,因其尺寸远大于Ge原子(0.125 Å)而产生强烈的晶格扩张效应。有文献表明,相比Ge-Te键,W-Te键离子性更强,键长更短,因而微量W原子在掺杂点附近产生局部收缩[13],但因其浓度较低,这些孤立的收缩点被淹没在由Bi、Mg主导的连续扩张的背景中。此外,轴间角α也不断提高,说明了晶体结构对称性的增加,这与XRD的结果一致。

样品Ge0.937Bi0.04Mg0.02W0.003Te的扫描电子显微镜(SEM)及其元素图谱如图2所示。元素分析图谱显示了Bi、W的均匀分布,并存在Ge与Mg的富集区域。可能是由于在600℃退火过程中,Te因高温挥发而缺失,同时未能充分扩散的Mg和Ge原子发生协同偏聚,形成了富集区。Ge-Mg富集区与GeTe基体之间存在明显的成分差异与晶格失配,形成异质界面,使载流子平均自由程因界面势垒的阻碍而缩短。大量Mg原子的聚集也会引发局部晶格扩张与应力场畸变,这将会对载流子产生额外的散射作用。同时,而Ge-Mg富集区与基体间的成分差异及晶格畸变形成了显著的质量场与弹性应变场涨落,可作为介观尺度散射中心高效散射中低频声子。

Figure 2. (a) Scanning electron microscopy (SEM) images and corresponding elemental mapping of the Ge0.937Bi0.04Mg0.02W0.003Te sample

2. Ge0.937Bi0.04Mg0.02W0.003Te样品的扫描电子显微镜(SEM)及其元素图谱

3.2. 电输运性能

图3(a)展示了Ge1-x-y-zBixMgyWzTe样品的电导率(σ)随温度的变化关系。样品的电导率随温度增加,电导率持续降低,这是典型的简并半导体行为。与原始GeTe相比,Ge1-x-y-zBixMgyWzTe的电导率在整个温度范围内均有所降低,且随着掺杂浓度的增加,其电导率持续下降。具体而言,300 K时,电导率从纯GeTe的6729 S·cm1降至Ge0.937Bi0.04Mg0.02W0.003Te的4013 S·cm1,并进一步降至Ge0.87Bi0.08Mg0.04W0.01Te的1012 S·cm1。为探究Ge1-x-y-zBixMgyWzTe样品的电输运行为,我们进行了霍尔效应测试。载流子浓度(nH)与载流子迁移率(μH)如图3(b)所示。霍尔测量结果表明,载流子浓度随掺杂浓度的增加而降低,这是因为Bi、W元素作为电子供体降低了GeTe中的空穴浓度[14]。Bi、Mg和W掺杂样品的载流子迁移率下降的原因在于,随着掺杂浓度的增加所引入的大量杂质元素作为点缺陷大量散射载流子。

Figure 3. Electronic transport properties of Ge1-x-y-zBixMgyWzTe samples. (a) Electrical conductivity (σ), (b) Carrier concentration (nH) and mobility (μH) at 300 K as functions of doping concentration, (c) Seebeck coefficient (S), (d) Pisarenko relationship between carrier concentration and Seebeck coefficient at 300 K, (e) Power factor (PF), (f) Weighted mobility

3. (a) Ge1-x-y-zBixMgyWzTe样品的电导率(σ)随温度变化的曲线图(b) Ge1-x-y-zBixMgyWzTe样品的载流子浓度(nH)与迁移率(μH)在300 K下随掺杂浓度的变化关系;(c) Ge1-x-y-zBixMgyWzTe样品的塞贝克系数(S)随温度的变化曲线;(d) Ge1-x-y-zBixMgyWzTe样品的塞贝克系数(S)与载流子浓度(nH)在300 K下的皮萨伦科关系图;(e) Ge1-x-y-zBixMgyWzTe样品的功率因子(PF)随温度的变化曲线;(f) Ge1-x-y-zBixMgyWzTe样品的加权迁移率(μW)随温度变化曲线

图3(c)显示了Ge1-x-y-zBixMgyWzTe样品的塞贝克系数(S)随温度的变化关系。塞贝克系数为正值证实了该系列样品属于p型半导体。塞贝克系数随掺杂浓度的增加而上升,其中Ge0.87Bi0.08Mg0.04W0.01Te在所有样品中表现出最大的塞贝克系数。室温下塞贝克系数从原始GeTe的30 μV·K1提升至Ge0.87Bi0.08Mg0.04W0.01Te的124.1 μV·K1;在823 K时,塞贝克系数从纯GeTe的133.06 μV·K1显著增至Ge0.87Bi0.08Mg0.04W0.01Te的240.8 μV·K1。通过建立室温载流子浓度与塞贝克系数之间的Pisarenko关系,可深入理解能带结构变化。图3(d)中虚线为基于单抛物带(SPB)模型计算的皮萨伦科曲线,图中同时列入了文献报道的Ge1-xBixTe [15]、Ge1-xMgxTe [4] [16]、Ge1.04-x-yCuxInyTe [17]的数据以供对比。可以看出,原始GeTe的实验数据与有效质量1.1 me的理论曲线吻合良好,而Ge1-x-y-zBixMgyWzTe样品的塞贝克系数位于理论线上方。这种偏离说明有效质量显著增强,表明了Bi、Mg、W掺杂对GeTe能带结构起到了修饰作用。有文献表明Bi元素的引入可以使GeTe轻重价带间能量差减小,产生能带收敛效应,提高能带有效质量[15] [18]。此外,也有报道表明用Mg替代Ge可降低L带能量,从而减小L带与其他能带间的能量差[4]。如图3(e)为Ge1-x-y-zBixMgyWzTe样品的功率因子(PF)随温度的变化曲线图。功率因子可以直观反映材料电输运性能的优劣。最优性能样品Ge0.937Bi0.04Mg0.02W0.003Te在300 K时功率因子达到14.78 μW·cm1·K2,相比纯GeTe的6.06 μW·cm1·K2提升显著。此外,在673 K样品Ge0.937Bi0.04Mg0.02W0.003Te的功率因子更是达到50.93 μW·cm1·K2,更高的室温与峰值功率因子预示着更高的平均ZT图3(f)展示了Ge1-x-y-zBixMgyWzTe样品的加权迁移率(μW)随温度变化曲线。可以看出,最优性能样品Ge0.937Bi0.04Mg0.02W0.003Te的加权迁移率远超未掺杂样品,表明其优异的电输运性能。

3.3. 热输运性能

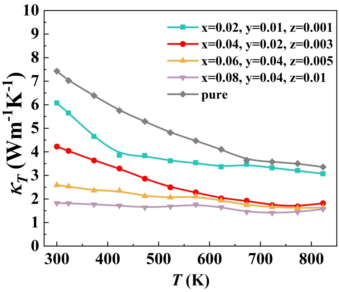
图4展示了Ge1-x-y-zBixMgyWzTe的总热导率(κT)随温度的变化关系。热导率kTkT = DρCp计算获得。其中,热扩散系数D采用激光闪光法,通过激光导热系数仪(LFA-457)完成测试;样品实际密度ρ借助密度天平进行多次平行测量,取测试结果的平均值作为最终数值,具体数据详见表4;比热容Cp则基于杜隆–珀蒂定律计算得出。此外,本研究通过放电等离子体烧结(SPS)工艺处理,使Ge1-x-y-zBixMgyWzTe样品的致密度均提升至95%以上,保障了热电性能测试的准确性。

Figure 4. (κT) for Ge1-x-y-zBixMgyWzTe samples

4. Ge1-x-y-zBixMgyWzTe样品的总热导率(κT)随温度的变化曲线

图4所示,所有样品的总热导率均随着温度的升高总体呈现一个降低的趋势,这是因为温度越高,晶格振动越剧烈,声子散射越强。与原始GeTe相比,随着掺杂浓度的增加,Ge1-x-y-zBixMgyWzTe样品在整个温度范围内的κT显著降低,说明Bi-Mg-W共掺杂是降低GeTe热导率的有效手段。值得注意的是,在300 K时,κT从原始GeTe的7.43 W·m1·K1下降至Ge0.87Bi0.08Mg0.04W0.01Te的1.82 W·m1·K1,显著降低了76%。

图5(a)展示了Ge1-x-y-zBixMgyWzTe样品的洛伦兹数(L)随温度的变化曲线。洛伦兹数(L)基于声学声子散射的单抛物带模型估算得出,其计算公式如下:

L= ( k e ) 2 ( ( r+7/2 ) F r+5/2 ( η ) ( r+3/2 ) F r+1/2 ( η ) [ ( r+5/2 ) F r+3/2 ( η ) ( r+3/2 ) F r+1/2 ( η ) ] 2 ) (1)

其中,η为约化费米能。η的计算可由以下关系计算得出:

S=± k B e ( ( r+5/2 ) F r+3/2 ( η ) ( r+3/2 ) F r+1/2 ( η ) η ) (2)

其中,Fn(η)是n阶费米积分,计算公式如下所示:

F n ( η )= 0 χ n 1+ e χη dχ (3)

其中,e为电子电荷,kB为玻尔兹曼常数,h为普朗克常数,r为散射系数。图5(b)展示了根据维德曼–弗兰兹定律(κe = LσT)计算的电子热导率(κe)。由洛伦兹常数的拟合计算公式可以看出,样品的塞贝克系数越高,相应的洛伦兹常数也越小,因此洛伦兹数随掺杂水平提升而降低。300 K时,纯GeTe的电子热导率为4.75 W·m1·K1,Ge0.87Bi0.08Mg0.04W0.01Te样品电子热导率为0.54 W·m1·K1,大幅降低了89%。与此同时,随着掺杂浓度的增加,Bi、Mg、W共掺杂样品的电子热导率也随之降低。这是由于异价元素Bi、W的掺杂提供了大量的额外电子补偿了本征Ge空位浓度,从而有效降低了共掺杂样品的载流子浓度,进一步导致电导率的减小,故其电子热导率也随之降低。

由公式κe = LσT可知,电子热导率与电导率正相关,优化电性能的同时降低电子热导率难度较大;而晶格热导率(κL)为相对独立的调控参数,因此抑制晶格热导率是优化热电性能的关键手段。晶格热导率(κL)通过κT减去κe获得,如图5(c)所示。在测试温域内,所有Ge1-x-y-zBixMgyWzTe样品的晶格热导率均低于纯GeTe。Bi-Mg-W掺杂引入了大量的点缺陷,强烈散射高频声子。此外,外来原子Bi、Mg、W和基体原子之间大尺寸和质量差,由此产生的声子弛豫时间缩短使得晶格热导率急剧降低。最终,晶格热导率在Ge0.937Bi0.04Mg0.02W0.003Te中达到最小值0.35 W·m1·K1。本研究与文献报道值的最低晶格热导率(κL)对比如图5(d)所示,表明在一众GeTe体系中,样品Ge0.937Bi0.04Mg0.02W0.003Te实现的晶格热导率都极具竞争力。

3.4. 热电优值

图6(a)为Ge1-x-y-zBixMgyWzTe样品的热电优值(ZT)随温度的变化曲线图。如图所示,Ge1-x-y-zBixMgyWzTe样品的ZT值大幅提升,尤其是样品Ge0.937Bi0.04Mg0.02W0.003Te在823 K达到了2.11的峰值ZT,相比纯GeTe (ZT = 0.8)提升约163%,表明Bi-Mg-W元素共掺杂对GeTe基材料热电性能提升的卓越成效。图6(b)展示了Ge0.937Bi0.04Mg0.02W0.003Te样品的峰值ZT、平均ZT与其它体系的对比,可以看出在GeTe材料中,Ge0.937Bi0.04Mg0.02W0.003Te样品的性能名列前茅[19]-[26]

Figure 5. Thermal transport properties for Ge1-x-y-zBixCdyYzTe1-xIx samples. (a) the Lorenz number (L), (b) Electronic thermal conductivity (κe) (c) lattice thermal conductivity (κL), (d) comparison of κL between this work and reported values in the literature

5. (a) Ge1-x-y-zBixMgyWzTe样品的洛伦兹因子(L)随温度变化的曲线图;(b) Ge1-x-y-zBixMgyWzTe样品的电子热导率(κe) (c) Ge1-x-y-zBixMgyWzTe样品的晶格热导率(κL)随温度的变化曲线;(d) Ge1-x-y-zBixMgyWzTe样品的最低晶格热导率与文献对比

Figure 6. (a) Temperature-dependent thermoelectric figure of merit (ZT). (b) Comparison of the peak ZT and the average ZT (400~823 K) values between this work and other representative studies reported in the literature

6. (a) 热电优值(ZT)的温度依赖曲线;(b) 本研究与文献报道的其他代表性研究之间,峰值ZT与平均ZT (400~823 K)的数值对比

4. 结论

本文通过固相熔融法结合放电等离子体烧结工艺,成功制备了Bi、Mg、W共掺杂GeTe基热电块体材料,通过异价掺杂元素Bi与W元素取代Ge原子位点能够有效引入大量额外自由电子,这些电子能够高效补偿本征GeTe材料中因Ge空位缺陷导致的载流子浓度过高问题,将载流子浓度调控至利于热电性能提升的最优区间。此外,Bi元素的引入可以显著缩小GeTe材料轻重价带之间的能量差,产生能带收敛效应,同时,Mg掺杂也降低了L带能量,从而减小L带与其他能带间的能量差。这两者都提高了GeTe的能带有效质量,使得样品的塞贝克系数显著提升,进而大幅提高了功率因子。Bi、Mg和W原子的引入打破了GeTe晶格完整性,形成了大量点缺陷,这些点缺陷可作为高效的声子散射中心,对高温段的高频声子产生强烈的散射作用。此外,掺杂元素Bi、Mg和W与GeTe材料主元素的原子质量以及原子半径存在显著差异,这会导致较大的质量和应变场涨落,使声子散射显著增强,从而大幅度降低晶格热导率。得益于上述电输运性能提升与热输运性能抑制的协同优化效应,Bi、Mg、W共掺杂GeTe基样品展现出极为优异的综合热电性能。测试结果表明,该系列样品在823 K获得了高达2.11的峰值ZT,相比纯GeTe (ZT = 0.8)大幅度提升了163%,并在400~823 K的宽温度范围内实现了1.5的高平均ZT值。高峰值ZT和高平均ZT值的同时实现对促进GeTe热电器件的实际应用起到了积极作用。

Table 3. Lattice parameters and unit cell volumes of Ge1-x-y-zBixMgyWzTe samples obtained via XRD rietveld refinement

3. XRD精修得到的Ge1-x-y-zBixMgyWzTe样品的晶格参数和晶胞体积

成分

a (Å)

b (Å)

c (Å)

α (˚)

体积(Å3)

GeTe

4.1638

4.1638

10.6732

58.01

160.253

Ge0.969Bi0.02Mg0.01W0.001Te

4.1746

4.1746

10.6518

58.20

160.768

Ge0.937Bi0.04Mg0.02W0.003Te

4.1791

4.1791

10.6396

58.33

160.953

Ge0.895Bi0.06Mg0.04W0.005Te

4.1837

4.1837

10.6254

58.41

161.067

Ge0.87Bi0.08Mg0.04W0.01Te

4.2126

4.2126

10.5777

58.90

162.564

Table 4. Theoretical density, actual density, and relative density of Ge1-x-y-zBixMgyWzTe samples

4. Ge1-x-y-zBixMgyWzTe样品的理论密度,实际密度和致密度

成分

理论密度(ρ, g/cm3)

实际密度(ρ, g/cm3)

致密度(%)

GeTe

6.229

6.095

97.85

Ge0.969Bi0.02Mg0.01W0.001Te

6.203

6.02

97.05

Ge0.937Bi0.04Mg0.02W0.003Te

6.198

6.074

98.00

Ge0.895Bi0.06Mg0.04W0.005Te

6.192

6.05

97.71

Ge0.87Bi0.08Mg0.04W0.01Te

6.135

6.039

98.43

NOTES

*通讯作者。

参考文献

[1] Gelbstein, Y., Davidow, J., Girard, S.N., Chung, D.Y. and Kanatzidis, M. (2013) Controlling Metallurgical Phase Separation Reactions of the Ge0.87Pb0.13Te Alloy for High Thermoelectric Performance. Advanced Energy Materials, 3, 815-820. [Google Scholar] [CrossRef
[2] Back, S.Y., Yun, J.H., Cho, H., et al. (2021) High Thermoelectric Performance by Chemical Potential Tuning and Lattice Anharmonicity in GeTe1−xIx Compounds. Inorganic Chemistry Frontiers, 8, 1205-1214. [Google Scholar] [CrossRef
[3] Liu, Z., Gao, W., Zhang, W., et al. (2020) High Power Factor and Enhanced Thermoelectric Performance in Sc and Bi Co-Doped GeTe: Insights into the Hidden Role of Rhombohedral Distortion Degree. Advanced Energy Materials, 10, Article 2002588. [Google Scholar] [CrossRef
[4] Xing, T., Zhu, C., Song, Q., et al. (2021) Ultralow Lattice Thermal Conductivity and Superhigh Thermoelectric Figure‐of‐Merit in (Mg, Bi) Co‐Doped GeTe. Advanced Materials, 33, Article 2008773. [Google Scholar] [CrossRef] [PubMed]
[5] Li, M., Xu, S.D., Lyu, W.Y., et al. (2023) Unravelling Effective-Medium Transport and Interfacial Resistance in (CaTe)x(GeTe)100-x Thermoelectrics. Chemical Engineering Journal, 452, Article 139269. [Google Scholar] [CrossRef
[6] Zheng, Z., Su, X., Deng, R., Stoumpos, C., Xie, H., Liu, W., et al. (2018) Rhombohedral to Cubic Conversion of GeTe via MnTe Alloying Leads to Ultralow Thermal Conductivity, Electronic Band Convergence, and High Thermoelectric Performance. Journal of the American Chemical Society, 140, 2673-2686. [Google Scholar] [CrossRef] [PubMed]
[7] Dou, Y., Li, J., Xie, Y., Wu, X., Hu, L., Liu, F., et al. (2021) Lone-Pair Engineering: Achieving Ultralow Lattice Thermal Conductivity and Enhanced Thermoelectric Performance in Al-Doped GeTe-Based Alloys. Materials Today Physics, 20, Article 100497. [Google Scholar] [CrossRef
[8] Zhang, Q., Ying, P., Farrukh, A., Gong, Y., Liu, J., Huang, X., et al. (2024) High Wide-Temperature-Range Thermoelectric Performance in GeTe through Hetero-Nanostructuring. Acta Materialia, 276, Article 120132. [Google Scholar] [CrossRef
[9] Hong, M., Wang, Y., Liu, W., Matsumura, S., Wang, H., Zou, J., et al. (2018) Arrays of Planar Vacancies in Superior Thermoelectric Ge1−x−yCdxBiyTe with Band Convergence. Advanced Energy Materials, 8, Article 1801837. [Google Scholar] [CrossRef
[10]  Liu, C., Zhang, Z., Peng, Y., Li, F., Miao, L., Nishibori, E., et al. (2023) Charge Transfer Engineering to Achieve Extraordinary Power Generation in GeTe-Based Thermoelectric Materials. Science Advances, 9, eadh0713. [Google Scholar] [CrossRef] [PubMed]
[11] Samanta, M., Ghosh, T., Arora, R., Waghmare, U.V. and Biswas, K. (2019) Realization of Both n-and p-Type GeTe Thermoelectrics: Electronic Structure Modulation by AgBiSe2 Alloying. Journal of the American Chemical Society, 141, 19505-19512. [Google Scholar] [CrossRef] [PubMed]
[12] Zhang, Q., Ti, Z., Zhang, Y., Nan, P., Li, S., Li, D., et al. (2023) Ultralow Lattice Thermal Conductivity and High Thermoelectric Performance in Ge1-x-yBixCayTe with Ultrafine Ferroelectric Domain Structure. ACS Applied Materials & Interfaces, 15, 21187-21197. [Google Scholar] [CrossRef] [PubMed]
[13] Wang, J.S. (2020) First Principles Investigation on Anomalous Lattice Shrinkage of W Alloyed Rock Salt Gete. Journal of Physics and Chemistry of Solids, 137, Article 109220. [Google Scholar] [CrossRef
[14] Wu, D., Xie, L., Xu, X. and He, J. (2019) High Thermoelectric Performance Achieved in GeTe-Bi2Te3 Pseudo-Binary via Van Der Waals Gap-Induced Hierarchical Ferroelectric Domain Structure. Advanced Functional Materials, 29, Article 1806613. [Google Scholar] [CrossRef
[15] Dong, J., Sun, F., Tang, H., Pei, J., Zhuang, H., Hu, H., et al. (2019) Medium-Temperature Thermoelectric Gete: Vacancy Suppression and Band Structure Engineering Leading to High Performance. Energy & Environmental Science, 12, 1396-1403. [Google Scholar] [CrossRef
[16] Xing, T., Song, Q., Qiu, P., Zhang, Q., Xia, X., Liao, J., et al. (2019) Superior Performance and High Service Stability for GeTe-Based Thermoelectric Compounds. National Science Review, 6, 944-954. [Google Scholar] [CrossRef] [PubMed]
[17] Zhang, Q., Ti, Z., Zhu, Y., Zhang, Y., Cao, Y., Li, S., et al. (2021) Achieving Ultralow Lattice Thermal Conductivity and High Thermoelectric Performance in Gete Alloys via Introducing Cu2Te Nanocrystals and Resonant Level Doping. ACS Nano, 15, 19345-19356. [Google Scholar] [CrossRef] [PubMed]
[18] Jin, Y., Xiao, Y., Wang, D., Huang, Z., Qiu, Y. and Zhao, L. (2019) Realizing High Thermoelectric Performance in Gete through Optimizing Ge Vacancies and Manipulating Ge Precipitates. ACS Applied Energy Materials, 2, 7594-7601. [Google Scholar] [CrossRef
[19] Shuai, J., Sun, Y., Tan, X. and Mori, T. (2020) Manipulating the Ge Vacancies and Ge Precipitates through Cr Doping for Realizing the High-Performance Gete Thermoelectric Material. Small, 16, Article 1906921. [Google Scholar] [CrossRef] [PubMed]
[20] Tsai, Y.F., Ho, M.Y., Wei, P.C., et al. (2022) Hierarchical Twinning and Light Impurity Doping Enable High-Performance GeTe Thermoelectrics. Acta Materialia, 222, Article 117406. [Google Scholar] [CrossRef
[21] Tan, X., Zhang, F., Zhu, J., et al. (2023) High-Power Factor Enabled by Efficient Manipulation Interaxial Angle for Enhancing Thermoelectrics of GeTe-Cu2Te Alloys. ACS Applied Materials & Interfaces, 15, 9315-9323. [Google Scholar] [CrossRef] [PubMed]
[22] Rodenkirchen, C., Cagnoni, M., Jakobs, S., et al. (2020) Employing Interfaces with Metavalently Bonded Materials for Phonon Scattering and Control of the Thermal Conductivity in TAGS‐x Thermoelectric Materials. Advanced Functional Materials, 30, Article 1910039. [Google Scholar] [CrossRef
[23] Hong, M., Chen, Z., Yang, L., et al. (2018)Realizing zT of 2.3 in Ge1−xySbxInyTe via Reducing the Phase‐Transition Temperature and Introducing Resonant Energy Doping. Advanced Materials, 30, Article 1705942. [Google Scholar] [CrossRef] [PubMed]
[24] Lou, Q., Xu, X., Huang, Y., et al. (2020) Excellent Thermoelectric Performance Realized in p-Type Pseudolayered Sb2Te3 (GeTe)12 via Rhenium Doping. ACS Applied Energy Materials, 3, 2063-2069. [Google Scholar] [CrossRef
[25] Zhang, T., Deng, S., Zhao, X., Ruan, X., Qi, N., Chen, Z., et al. (2022) Regulation of Ge Vacancies through Sm Doping Resulting in Superior Thermoelectric Performance in GeTe. Journal of Materials Chemistry A, 10, 3698-3709. [Google Scholar] [CrossRef
[26] Zhang, X., Li, J., Wang, X., Chen, Z., Mao, J., Chen, Y., et al. (2018) Vacancy Manipulation for Thermoelectric Enhancements in GeTe Alloys. Journal of the American Chemical Society, 140, 15883-15888. [Google Scholar] [CrossRef] [PubMed]