1. 引言
过敏(allergy)为人接触环境中的外来物质如:尘螨、花粉、宠物毛屑、带壳海鲜或是坚果类等,免疫系统辨认这些过敏原(allergen)后产生的过度的免疫反应,例如皮肤反应出荨麻疹、呼吸道反应出气喘,或消化系统反应出腹泻、胀气等现象 [1]。过敏依据其反应时间与反应机制又可分为四型 [2]。本篇讨论第一型过敏反应(Type I hypersensitivity)。
I型过敏反应又称立即性过敏反应(immediate hypersensitivity reaction),当过敏原第一次进入人体与抗原呈现细胞(antigen-presenting cell, APC)如:B细胞(B cell)、巨噬细胞(macrophage)、树突细胞(dendritic cell)上的抗体结合后,呈现给未成熟的初始CD4+T细胞(naive CD4+ T cell),促使naive CD4+ T cell增殖并分化成辅助型T细胞2 (Th2 cells) [3]。Th2细胞则藉由分泌不同细胞激素(cytokines)去调控各种免疫反应,像是介白素4 (interleukin 4, IL-4)可刺激B细胞大量制造免疫球蛋白E (immunoglobulin E, IgE),分泌出的IgE与过敏原结合后,会附着在肥大细胞(mast cell)表面的Fcε受体上。当相同的过敏原再度入侵人体,过敏原和肥大细胞表面上的IgE结合,会诱发肥大细胞释出发炎物质,如组织胺(histamine)、白三烯素(leukotrienes)、与前列腺素(prostaglandins, PGE),造成红肿、发痒等症状 [4]。常见的过敏疾病有皮肤炎(dermatitis)、湿疹(eczema)、季节性鼻炎(allergic rhinitis)、药物过敏(drug allergy)、过敏性休克(anaphylaxis)、气喘(asthma)等 [5]。
益生菌(probiotics)泛指对人体有益的菌,常见为乳酸杆菌属(Lactobacillus spp.)或比菲德氏菌属(Bifidobacterium spp.),其有部分曾被证实可改善过敏体质。Lactobacillus rhamnosus GG可促使γ干扰素(Interferon-γ, IFN-γ)分泌增加,使Th2辅助细胞被抑制,减少过敏相关的IL-4、IL-5分泌量 [6]。Lactobacillus caseiShirota亦使IL-5、IL-6、IgE分泌减少,具有改善季节性鼻炎的潜力 [7]。另外,研究发现Bifidobacteriumlongum BB536可藉由平衡Th辅助细胞,像是增加血液中嗜酸性球(eosinophil)比例、抑制IFN-γ的减少等,于临床中减少因季节性鼻炎引起的眼睛过敏现象 [8]。
考虑抗原性的免疫反应,不同的益生菌菌株其表面结构可能具有差异化,当作为调节免疫时的佐剂时,不同的表面结构与APC相互作用,能诱发更为完善的免疫调控,加强抗炎、抑制过敏的效果 [9]。有研究指出,复合型双崎杆菌(B longum BB536, B infantis M-63, B breve M-16V)的使用可以有效缓解间歇性哮喘症状,具有抗发炎与免疫调节作用,并减少救援药物西替利嗪糖浆(Cetirizine)和沙丁胺醇(Salbutamol)喷雾剂的使用 [10]。因此,本研究目的为探讨13种包含乳酸杆菌属与比菲德氏菌属的复合益生菌对致敏小鼠(ovalbumin-induced mice, OVA-induced mice)相关免疫反应的影响。
2. 材料方法
2.1. 菌株来源
本试验使用的13种复合型益生菌菌种分别为Lactococcuslactis、Bifidobacteriumlactis、Lactobacillus acidophilus、B. bifidum、L. casei、B. breve、L. johnsonii、L. plantarum、L. rhamnosus、L. reuteri、B. longum、L. fermentum,以及L. paracasei。试验物皆由葡萄王生技股份有限公司(Grape King Bio Ltd., Taiwan)制备提供。制备方法为将益生菌培养于MRS培养基中,37℃培养16小时后,发酵液离心取菌泥,与脱脂奶粉混合,经冷冻干燥后取得益生菌粉末 [11]。复合型益生菌粉末则由混和各菌株冻干粉末而得。
2.2. 试验动物
30只8周龄的SPF级BALB/c雌性小鼠购至乐斯科生物科技股份有限公司(BioLASCO Taiwan Co. Ltd., Taiwan)。动物饲养于温度22 ± 3℃,相对湿度5% ± 15%,12小时的光暗周期。每笼饲养3只实验老鼠,饲料给予MFG (Oriental Yeast Co., Ltd., Tokyo, Japan),并以水瓶方式提供逆渗透水,实验老鼠自由摄食。本试验根据动物照护及使用委员会(Institutional Animal Care & Use Committee, IACUC)同意,取得IACUC编号106-13h。
2.3. 实验分组与设计
试验分组共设置正常对照组(normal)、负对照组(negative ctrl)、低剂量组(probiotics-L)、中剂量组(probiotics-M)以及高剂量组(probiotics-H),共5组,每组各使用6只小鼠进行试验。益生菌剂量设计为60公斤成人每日摄取2.25 g、4.50 g、9.0 g作为低、中、高剂量,以小鼠相对人体代谢系数 12.3 进行换算,小鼠每日摄取量分别为 0.461 g/kg BW、0.923 g/kg BW 及 1.845 g/kg BW。益生菌以逆透水配置成水溶液,依重量分别管喂投予上述剂量。除正常对照组外,其余组别皆以OVA诱导过敏反应,详述如下:
以OVA作为致敏反应过敏原,使用磷酸盐缓冲剂(PBS)配置成100 μg/mL及300 μg/mL,再以无菌过滤膜过滤后保存于−20℃。实验开始(第0周)采集小鼠血液后,分别投予各小鼠逆渗透水或益生菌,每天1次。将OVA无菌溶液与佐剂(adjuvant)氢氧化铝(aluminium hydroxide)等量混合,每只小鼠以腹腔注射(intraperitoneal injection, IP) 0.2 ml混合溶液于实验第1、3、5周进行诱导致敏(图1)。第一、二次诱导剂量为10 μg OVA/mouse,第三次诱导剂量为30 μg OVA/mouse。另外,在进行第2次诱导时同时进行2% OVA呼吸道致敏(inhalation, IH)。在动物牺牲前两天,连续两天施以IH,隔天检测肺功能指针Penh (Enhanced Pause)。动物牺牲后,秤其脾脏重量,计算脾脏相对重量(1)。
脾脏相对重量 = (脾脏绝对重量 ÷ 体重) × 100% (1)

Figure 1. The experiment process of the allergy model in BALB/c female mice
图1. BALB/c雌性小鼠的致敏实验流程
2.4. 自然杀手细胞毒杀活性分析
收集脾脏细胞(反应细胞,effector cell),过35μm筛网,用LIVE/DEAD®Cell-Mediated Cytotoxicity Kit (Invitrogen)的荧光物质来侦测细胞毒杀反应。取YAC-1 (目标细胞,target vell)加入荧光物质DiOC18于5% CO2的37℃培养箱培养40分钟后,以HBSS (Creative Life Science Co., Ltd., Taiwan)洗去未标记的荧光物质,并加入适量细胞培养基(含10%胎牛血清的RPMI 1640细胞培养基)调整YAC-1细胞数量为3 × 104 cells。将脾脏细胞与处理完的YAC-1细胞以E:T ratio 100:1和200:1的比例混合,于5% CO2的37℃条件下进行反应4小时后,加入PI荧光染剂染色5分钟,以流式细胞仪分析。被DiOC18绿色荧光染上的YAC-1细胞中同时也表现了红色荧光,代表被NK细胞进行毒杀的YAC-1细胞所占的百分比,作为自然杀手细胞的细胞毒杀活性依据。
2.5. 血液中颗粒球吞噬活性
血液样本以Phagotest kit (Glycotope, Taiwan) 搭配流式细胞仪计算颗粒性白血球的荧光强度百分比做为颗粒球吞噬百分比(2)。
吞噬活性(%) = 37℃吞噬百分比(最大吞噬活性) − 4℃吞噬百分比(吞噬能力的背景值) (2)
2.6. 脾脏细胞的细胞激素测定
收集脾脏细胞,过35 μm筛网(BD Falcon, America)后以RBC lysis buffer (Creative Life Science Co., Ltd., Taiwan)处理,于24-well中调整细胞数量为3 × 106 cells/well。以10%胎牛血清的RPMI 1640细胞培养基培养,并分别加入最终浓度3 µg/mL Con A (非特异性免疫诱导)、100 µg/mLOVA (特异性免疫诱导),于5% CO2的37℃培养48小时。细胞培养液于4℃下1500 rpm离心5分钟,收取上清,存于−20℃备用。以市售套组测定上清液中的IL-2、IL-4、IL-5、或IFN-γ的含量,操作参考原厂手册(DuoSet®ELISA Kits, R&D Systems, USA),并于波长450 nm下以ELISA redear测定其吸光值。
2.7. 血清中抗体测定
于96-well中加入2 μg OVA/well,静置于4℃冰箱隔夜。利用blocking buffer (含1% bovine serum albumin, BSA)填满无OVA 附着部分后,加入100 µL/well 待测稀释血清(sample)或空白对照组(blank) PBS静置反应。再加入100 µL/well自Bethyl Laboratories (Montgomery, USA)购入的稀释HRP conjugate goat anti-mouse IgG2a、IgG1、或IgE后,静置反应。随后加入100 µL/well TMB substrate (KPL),室温下缓缓摇动呈色,在波长450 nm条件下以ELISA reader测定吸光值,并以ELISA unit (EU)表示(3)。并以前次试验中成功诱发免疫反应的较高OVA特异性IgE抗体效价的小鼠血清做为positive serum。
ELISA unit (EU) = (OD sample − OD blank)/(OD positive serum − OD blank)(3)
2.8. 肺部呼吸道阻力测试
小鼠牺牲日前一天,以Buxco公司(Taiwan)的Whole body plethysmography测试系统,测量小鼠呼吸道阻力的变化。将老鼠放入测量压克力隔离区中适应5分钟,给予小鼠吸入2分钟气雾化的PBS或逐渐增高浓度的Methacholine (6.25、12.5、25及50 mg/mL;Sigma, Taiwan),再分别记录每次吸入完成后3分钟内平均呼吸道阻力值,其阻力变化由 Penh 值表示,数值越高代表呼吸阻力越大。
2.9. 肺部冲洗液中发炎激素测定
以1 mL含2% FBS (Gibco, America)的HBSS (Creative Life Science Co., Ltd., Taiwan)溶液冲洗小鼠气管,共冲洗3次。将3次的肺部冲洗液以1,500 rpm,离心5分钟,并收集上清液保存于−20℃备用。上清液中IL-4、IL-5和PGE2的含量以DuoSet® ELISA (R&D, America)套组并参考原厂手册测定。以ELISA reader (Epoc, BioTek, Winooski, VT, America)与标准品浓度曲线计算样品中发炎激素的含量。
2.10. 统计分析
所有数据均以平均值±标准偏差(Mean ± SD)表示。各项检测结果利用统计软件SPSS (SPSS 20)进行单因子变异数分析(One-way ANOVA)后以 Duncan's multiple range test分析,当*p < 0.05时表示组间具有显著性差异。
3. 结果
3.1. 动物体重、摄食量变化与脾脏重量
所有试验组的BALB/c小鼠在试验前后,其生长状况正常且无临床症状等异常状况,表示益生菌对于小鼠并无毒性或伤害。正常对照组、负对照组与3组剂量组的试验起始体重、结束体重、摄食量皆无显著差异(p > 0.05) (表1)。脾脏相对重量显示,负对照组及3组剂量组的脾脏相对重量皆显著高于正常对照组(p < 0.001)。

Table 1. Weight change and average food intake
表1. 体重变化与平均摄食量
与正常对照组相比,具有显著差异者以***p < 0.001表示。
3.2. 自然杀手细胞活性与颗粒球吞噬活性比
随着E:T ratio的提高,脾脏自然杀手细胞毒杀活性差距越明显(图2)。于负对照组相比,高剂量复合型益生菌组的自然杀手细胞毒杀活性在E:T ratio 200:1下显著提高(p < 0.01)。中剂量(p = 0.05)与低剂量(p = 0.09)组虽无统计上的差异,但与负对照组相比,其自然杀手细胞毒杀活性亦具有提高的趋势。说明本试验的13株复合益生菌的摄入,以中剂量以上具有提高脾脏自然杀手细胞的毒杀活性。
与负对照组相比,具有显著差异者以**p < 0.01表示。
Figure 2. Cytotoxicity of NK cell from spleen
图2. 脾脏中自然杀手细胞毒杀活性
在血液中颗粒球吞噬活性方面,低、中、高剂量组于负对造组相比,其颗粒球吞噬活性皆显著提高(图3)。说明本试验的13株复合益生菌的摄入,具有提高血液中颗粒球的吞噬活性。
与负对照组相比,具有显著差异者以*p < 0.05, **p < 0.01, ***p < 0.001表示。
Figure 3. The phagocytosis activity of granulocyte in blood
图3. 血液中颗粒球吞噬百分比
3.3. 非特异性免疫反应表现
IL-2和IFN-γ为Th1细胞主要分泌的相关细胞激素。图4(a)的Con A诱导非特异性IL-2分泌,除了高剂量复合菌组外,其余组别与正常对照组相比皆不具有显著差异(p > 0.05)。说明负对照组、低、中剂量复合菌组对于Th1细胞分泌IL-2的调控并无显著影响。图4(b)的Con A诱导非特异性IFN-γ分泌,负对照组显著地高于正常组(p < 0.001),而不论低、中、高剂量组的复合益生菌皆与负对照组呈现不影响非特异性免疫调控的Th1细胞分泌IFN-γ (p > 0.05)。
IL-4和IL-5为Th2细胞主要分泌的相关细胞激素。负对照组在Con A诱导非特异性IL-4 (图4(c))与IL-5 (图4(d))分泌下,皆显著高于正常对照组。说明本试验的致敏动物模式成功影响Th2细胞分泌过多而导致过敏现象。在复合菌益生菌介入下,非特异性免疫反应引起的IL-4与IL-5分泌量与负对照组相比,皆有显著性减少,且呈现剂量效应(dose-dependent)。说明本试验的复合型益生菌于非特异性免疫调控上,可透过减缓Th2细胞分泌量而达到舒缓过敏的现象。
与负对照组相比,具有显著差异者以*p < 0.05,**p < 0.01,***p < 0.001表示。与正常对照组相比,具显著差异者以###p < 0.001表示。
Figure 4. Non-specific immune-related cytokines expression: (a) IL-2; (b) IFN-γ; (c) IL-4; (d) IL-5
图4. 非特异性免疫相关细胞激素表现:(a) IL-2;(b) IFN-γ;(c) IL-4;(d) IL-5
图5为血清中IgE抗体含量检测结果。负对照组的IgE含量显著高于正常对照组(p < 0.001),而复合型益生菌的组别,其IgE含量与负对照组相比,具有显著下降。说明在摄入复合型益生菌后,Th辅助细胞的细胞激素分泌受调控,亦使B细胞分泌较少的抗体IgE,进而减少IgE与过敏原的结合机会,降低过敏反应。
与负对照组相比,具有显著差异者以***p < 0.001表示。与正常对照组相比,具有显著差异者以###p < 0.001表示。
Figure 5. Non-specific immune-related IgE expression
图5. 非特异性免疫相关免疫球蛋白IgE表现
3.4. 特异性免疫反应表现
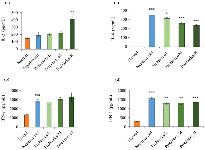
图6为特异性免疫反应的细胞激素含量。负对照组在特异性免疫反应上,与正常组相比,皆显著性刺激Th1细胞分泌IL-2和IFN-γ,以及Th1细胞分泌IL-5 (p < 0.001)。复合型益生菌组的介入后,不论是低、中、高剂量,与负对照组相比,皆可显著提升IL-2和IFN-γ,以及降低IL-5的分泌量。说明本试验的复合型益生菌在OVA引起的特异性免疫反应上,可藉由增加Th1细胞分泌以及减少Th2细胞分泌来平衡过敏机制的Th2细胞分泌过量的问题。
(a) (b) (c)与负对照组相比,具有显著差异者以**p < 0.01,***p < 0.001表示。与正常对照组相比,具有显著差异者以###p < 0.001表示。
Figure 6. Specific immune-related cytokines expression: (a) IL-2; (b) IFN-γ; (c) IL-5
图6. 特异性免疫相关细胞激素表现:(a) IL-2;(b) IFN-γ;(c) IL-5
特异性免疫反应的免疫球蛋白OVA-IgE含量表示于图7。低、中、高剂量组的特异性免疫球蛋白IgE,皆较负对照组明显降低。说明复合型益生菌在特异性免疫反应上亦能降低IgE的产生,减少过敏反应的发生。
与负对照组相比,具有显著差异者以**p < 0.01,***p < 0.001表示。与正常对照组相比,具有显著差异者以###p < 0.001表示。
Figure 7. Specific immune-related IgE expression
图7. 特异性免疫相关免疫情蛋白IgE表现
3.5. 肺部呼吸道阻力
分别以 6.25、12.5、25、50 mg/mL浓度的Methacholine (Mech)刺激老鼠呼吸道,随着Mech刺激浓度的提高,老鼠的呼吸阻力越明显,结果显示于图8。在Mech 50 mg/mL下,负对照组肺部呼吸道阻力(Penh ratio)显著高于正常对照组(p < 0.001),而复合益生菌组的Penh ratio与负对照组相比,随着剂量的增加呈现显著减少的现象。说明本试验的复合型益生菌具有减缓过敏反应的呼吸阻力效果。
与负对照组相比,具有显著差异者以*p < 0.05,**p < 0.01,***p < 0.001表示。与正常对照组相比,具有显著差异者以###p < 0.001表示。
Figure 8. Airway resistance test
图8. 呼吸道阻力测试
3.6. 肺部冲洗液中发炎激素
在肺部冲洗液的发炎因子分析中,负对照组的IL-4、IL-5、PGE2皆显著高于正常对照组(p < 0.001),表示肺部有明显的发炎现象(图9)。低、中、高剂量的复合益生菌组与负对照组相比,发炎因子皆有下降的趋势。说明补充复合益生菌可减缓过敏引起的肺部发炎现象。其中以中剂量以上的剂量,其抑制发炎现象较为显著。
(a) (b) (c)与负对照组相比,具有显著差异者以*p < 0.05,**p < 0.01,***p < 0.001表示。与正常对照组相比,具有显著差异者以###p < 0.001表示。
Figure 9. Inflammatory cytokines in lung flushing fluid: (a) IL-4; (b) IL-5; (c) PGE2
图9. 肺部冲洗液中发炎激素:(a) IL-4;(b) IL-5;(c) PGE2
4. 讨论
过敏是体内Th1/Th2失衡导致,有研究发现益生菌可以减缓过敏产生的发炎反应,增加Th1相关细胞因子IFN-γ、IL-2浓度,并降低Th2相关细胞因子IL-4、IL-5浓度 [12]。Kim等人研究发现长双歧杆菌(Bifidobacteriumlongum)与植物乳杆菌(Lactobacillus plantarum)有效降低OVA特异性IgE抗体浓度,改善Th1与Th2失衡状况,缓解小鼠过敏性鼻炎 [13]。在本次数据表明,经ConA处理后,低、中与高剂量组的Th1细胞相关细胞激素IL-2与IFN-γ显著高于负对照组(图4(a),图4(b)),且Th2细胞相关细胞激素IL-4与IL-5显著低于负对照组(图4(c),图4(d))。三组剂量组的血清中总IgE抗体含量显著低于负对照组,代表给予益生菌,可以改善过敏反应Th1和Th2细胞失衡及血清中总IgE抗体异常增加的情形(图5)。在特异性OVA处理后的免疫反应也呈类似的趋势(图6,图7)。IFN-γ能够活化巨噬细胞,以抵抗病原菌或病毒感染细胞 [14],也具有抑制Th2细胞反应的作用 [15],并刺激抗过敏抗体IgG2a分泌 [16]。因此可推测本次试验的复合型益生菌组合,其可能机制为诱发的高度Th1细胞激素IFN-γ、IL-2活性,进而抑制Th2相关抗体表现,驱使细胞从Th1/Th2失衡状态中导向平衡,达到减轻过敏反应的目的。
呼吸道高度反应(airway hyperresponsiveness, AHR)为气喘发生的重要因素,呼吸道受刺激后产生的收缩反应将影响呼吸道阻力变化 [17]。文献指出,唾液乳杆菌(Lactobacillus salivarius) PM-A0006能提高IFN-γ浓度,改善过敏原引起的AHR [18]。本实验以OVA诱导过敏性起喘,导致小鼠的呼吸道阻力增加,经由渐进浓度的非专一性支气管收缩剂Methacholine刺激下,在浓度为50 Mech (mg/mL)时,呼吸道阻力反应相较于正常对照组呈现明显上升。而3组剂量组肺部呼吸道阻力皆显著低于负对照组,且随着试验物质剂量的增加,呼吸道阻力有因剂量增加而下降越多(图8)。此外,在Lin等人的研究中发现喂食哮喘炎症模型小鼠副干酪乳酸菌(Lactobacillus paracasei),可以减缓肺部阻力,以及抑制发炎激素IL-4、IL-5等,有效降低诱发哮喘 [19]。本次试验结果,益生菌组除了使肺部呼吸阻力降低外,同时也观察到肺部冲洗液中的发炎因子IL-4、IL-5降低(图9),说明此结果与文献相符,13种复合菌株可以舒缓过敏现象。
5. 结论
本试验藉由OVA诱发BALB/c小鼠过敏反应的动物模式评估喂食13种复合型益生菌对免疫调节的反应。结果显示,复合型益生菌的摄入不仅能提升致敏小鼠的NK细胞毒杀活性,以及颗粒球的吞噬能力,在非特异性的免疫反应上,复合型益生菌的摄入可抑制Th2细胞的相关细胞激素IL-4与IL-5分泌,进一步地抑制过敏原诱发的总IgE抗体。另外,在OVA特异性的免疫反应上,复合型益生菌的摄入可促进Th1细胞的相关细胞激素IL-2与IFN-γ分泌,同时也抑制Th2细胞的细胞激素IL-4与IL-5分泌,进而也减少OVA专一性IgE抗体的生成。过敏反应过程中由Th2导向的过敏反应趋向平衡,减缓过敏反应的症状。且经复合型益生菌介入的致敏老鼠,其肺部呼吸阻力降低,肺部相关的发炎因子IL-4、IL-5、PEG2也有显著下降。本试验证实13种复合型益生菌有助于调解过敏体质。
NOTES
*通讯作者。