制动盘仿生表面热–结构耦合研究
Study on Bionic Surface Thermal and Structural Coupling of Brake Disc
DOI: 10.12677/mos.2024.134401, PDF, HTML, XML,    国家自然科学基金支持
作者: 杨祖孝, 卢 曦:上海理工大学机械工程学院,上海;刘迎冬:万向(上海)技术有限公司,上海
关键词: 制动盘仿生构建倒角结构热–结构耦合分析散热性能Brake Disc Bionic Construction Chamfered Structure Thermal and Structural Coupling Analysis Heat Dissipation Performance
摘要: 汽车在紧急或频繁制动下因制动盘散热性能较差,易发生制动性能热衰退现象,借鉴蝴蝶翅膀鳞片表面微观结构优异的散热性能,构建了制动盘表面微结构仿生物模型。根据热分析理论,对仿生制动盘进行热–结构耦合的温度场仿真分析,研究不同仿生制动盘的散热情况,对散热性能最佳的仿生制动盘表面进行倒角处理,并进行温度场仿真分析。研究表明:在制动过程中非光滑制动盘表面温度高于光滑制动盘,在制动结束后,非光滑制动盘表面温度下降迅速,最终温度低于光滑制动盘模型。停滞散热阶段后,具有圆形凹槽及倒角为45˚的制动盘表面温度最低,可以有效地降低汽车后续制动过程中制动性能热衰退现象。
Abstract: Due to the poor heat dissipation performance of the brake disc under emergency or frequent braking, the phenomenon of thermal degradation of the brake disc is easy to occur. Using the excellent heat dissipation performance of the surface microstructure of the butterfly wing scales, a biomimical model of the surface microstructure of the brake disc was constructed. According to the thermal analysis theory, the thermal and structural coupling temperature field simulation analysis of the bionic brake disc was carried out to study the heat dissipation of different bionic brake discs. The bionic brake disc with the best heat dissipation performance was chamfered and the temperature field simulation analysis was carried out. The results show that the surface temperature of the non-smooth brake disc is higher than that of the smooth brake disc during the braking process, and the surface temperature of the non-smooth brake disc drops rapidly after the braking end, and the final temperature is lower than that of the smooth brake disc model. After the stagnation cooling stage, the surface temperature of the brake disc with circular groove and chamfering of 45˚ is the lowest, which can effectively reduce the thermal degradation of the braking performance during the subsequent braking process.
文章引用:杨祖孝, 卢曦, 刘迎冬. 制动盘仿生表面热–结构耦合研究[J]. 建模与仿真, 2024, 13(4): 4437-4448. https://doi.org/10.12677/mos.2024.134401

1. 引言

制动性能的稳定性是确保汽车行驶安全的关键因素之一,当频繁或紧急制动时,由摩擦片与制动盘之间摩擦产生的热量瞬间聚集,使制动盘表面温度骤然升高,远远超过其散热能力,从而引发制动盘热衰退现象[1],影响汽车的制动性能。对制动盘表面进行微结构仿生构建与倒角设计,并对其进行制动过程中的散热性能分析,有助于研制更佳散热性能的制动盘,减少制动盘热衰退现象的发生。

制动盘非光滑表面结构可以改变摩擦副之间的摩擦条件,提高制动盘的耐磨性与散热能力,近年来,众多学者研究了不同的非光滑表面制动盘对制动噪音的影响规律。张锐[2]等建立了具有斜沟槽、直沟槽与网格型沟槽3种槽型结构的仿生制动盘,研究3种槽型结构对制动耐磨性的影响,研究发现直沟槽制动盘具有最佳的耐磨性能。王亮[3]等对激光熔凝二元耦合、激光熔覆三元耦合仿生试样和普通表面试样的形态、结构与材料特征进行研究,研究表明仿生耦合制动盘具有超强的耐磨性能。杨肖[4]等选取条纹形、网格形、桩钉形仿生耦合试样进行机械疲劳测试,研究发现仿生耦合体可以强化制动盘表面,有效降低裂纹扩展速率。王晓翠[5]等制备不同角度的沟槽型表面织构制动盘,采用Abaqus有限元软件对摩擦噪音进行仿真模拟,研究发现45˚与90˚织构表面的制动盘可以有效降低摩擦噪声。袁琼[6]等加工出表面沟槽型、圆坑型与混合型三种仿生表面制动盘,研究发现表面圆坑型制动盘对尖叫噪音的抑制效果最佳,沟槽型制动盘表现出的效果最差。朱玉玲[7]等通过正交试验方法,研究圆形凹坑与正方形凹坑的深度、直径与圆周方向间隔度数三种因素进行仿真分析,结果表明深度为5 mm,直径为8 mm,间隔度数为20˚的正方形凹坑制动盘温度最低。黄风山[8]等基于蝗虫表面的非光滑结构,构建出三种仿生结构制动盘,并对其进行热–结构耦合分析,研究表明,圆形凹坑结构在制动后具有最佳的散热性能,温度低于光滑制动盘原型。孙继宇[9]等在制动盘表面加工不同角度的沟槽型织构,研究紧急制动后的散热性能,结果表明表面织构化制动盘散热性能比光滑制动盘快的多,45˚沟槽型表面织构的散热性能最佳。杨肖[10]等根据天然生物与生具有的散热能力,设计了网格状凹槽、放射状凹槽与环形凹槽三种仿生制动盘,利用ANSYS对其进行热力耦合分析,研究发现网格状凹槽的制动盘表面具有最佳的散热性能。Cheng-Chia Tsai [11]等通过蝴蝶翅膀鳞片上的微观结构发现,不同的微观结构部位具有不同的散热性能。

综上所述,通过上述研究发现,蝴蝶翅膀鳞片上的微观结构具有良好的散热性能,可以将其运用到制动盘表面,以降低制动过程中的热衰退现象。本研究将对制动盘表面进行微观仿生构造,结合热–结构耦合的方法研究不同表面织构对散热性能的影响,并对最佳散热性能的表面微观结构进行倒角设计,研究倒角角度对散热的影响,最大限度地提高制动盘的散热性能。

2. 材料与方法

本文以某乘用车前轮通风式制动盘为研究对象,其实体模型与仿真模型如图1(a)图1(b)所示,由于制动盘定位孔对温度影响较小,因此仿真模型并未对定位孔进行绘制。摩擦副物理参数如表1所示,选取的摩擦片底部距离制动盘中心距离在表格中以边距展示。

Figure 1. Ventilated brake disc

1. 通风式制动盘

Table 1. Structural dimensions of friction pairs

1. 摩擦副的结构尺寸

摩擦副

外半径/mm

内半径或边距/mm

厚度/h

制动盘

140.9

75

23

摩擦片

137.2

82.5

11.5

为研究制动盘表面结构对制动过程中温度及散热性能的影响,对制动盘表面进行仿生结构构建,结构模型参考蝴蝶翅膀微观形状,蝴蝶翅膀微观结构如图2所示。

Figure 2. Microstructure of butterfly wings [11]

2. 蝴蝶翅膀微观结构[11]

图2可以看出,蝴蝶翅膀微观结构去除“脊”的部分,主要为圆形、矩形及多边形几种类型,所以本文对于制动盘表面分别选取圆形凹槽、矩形凹槽及多边形凹槽,文中以正六边形凹槽进行构建。并对仿真结果显示的最佳槽型结构表面进行倒角结构设计,分别采用15˚、30˚、45˚、60˚倒角角度。仿真过程中,选取摩擦片与制动盘的弹性模量分别为2200 MPa、125 × 103 MPa,密度分别为1500 kg∙m3、7200 kg∙m3,泊松比分别为0.25、0.3,摩擦片与制动盘的材料属性随温度变化的热力学参数如表2表3所示。

Table 2. Thermodynamic parameters of friction sheet material

2. 摩擦片材料热力学参数

温度/℃

热导率/(W/(m·K))

线膨胀系数/(106 K1)

比热容/(J/(kg∙K))

20

0.9

1.0E−05

1200

100

1.1

1.8E−05

1250

200

1.2

3.0E−05

1295

300

1.15

3.2E−05

1320

Table 3. Thermodynamic parameters of brake disc materials

3. 制动盘材料热力学参数

温度/℃

热导率/(W/(m∙K))

线膨胀系数/(106 K1)

比热容/(J/(kg∙K))

20

42.38

4.39E−06

503

100

43.06

1.1653E−05

530

200

44.23

1.2836E−05

563

300

43.55

1.3580E−05

611

本文以有限元仿真与实验验证相结合的方法进行研究,具体研究步骤为:

1) 使用有限元方法研究制动盘表面不同仿生槽型结构对制动时及制动后制动盘表面的温度情况,得到具有最佳散热性能的仿生槽型。

2) 对上述所得的最佳散热性能槽型结构表面进行倒角设计,研究具有不同倒角结构的槽型结构在制动过程中及制动后的制动盘表面温度情况。

3) 将原始方案与研究得到的最佳槽型结构及倒角结构组合形式的制动盘进行台架试验,对实验结果进行分析,验证最佳方案的合理性。

3. 结果与分析

3.1. 盘式制动器理论计算模型

在对盘式制动器进行热–结构耦合分析之前,需对模型做出如下假设[12]:① 假设制动盘、摩擦片的材料为各向同性且连续介质。② 施加在摩擦片上的压力恒定且均匀,材料物理属性恒定且忽略材料磨损情况的影响。③ 假设制动过程中环境温度不发生变化,制动器制动前的温度与环境温度相同,都为20℃。

对制动盘热量的产生与散热情况进行有限元仿真,其中热量的传递主要以热传导、热对流与热辐射三种形式进行[13],热辐射主要是以电磁波形式将热量散入空气中,此方式传递热量较小,本文主要考虑热传导与热对流的热传递形式。

完全接触的两个物体会因温度梯度的存在而产生内能的交换,盘式制动器在制动时,摩擦产生的热能,其中一部分由制动盘传递给摩擦片,在两者的热传导过程中,单位面积的温度面在单位时间内通过的热量称为热流密度,沿着等温面的法线指向降温方向,根据热流密度求解方法[13] [14],得出制动盘模型的热流密度为

q d = η 1+η q b / ( 4 A b ) (1)

式中: q b 为摩擦热功率; η 为摩擦片与制动盘之间的热流分配系数。

η= ( ρ d c d λ d ρ p c p λ p ) 0.5 (2)

式中: ρ d c d λ d 分别为制动盘的密度、比热、导热系数; ρ p c p λ p 分别为摩擦片的密度、比热、导热系数。

制动盘表面与周围空气进行热量传递的过程为对流换热过程,根据文献[15]可知,制动盘外表面对流换热系数计算公式为

h c ={ 0.7( k a / D max ) Re 0.55 ,Re2.4× 10 5 0.04( k a / D max ) Re 0.8 ,Re>2.4× 10 5 (3)

式中: k a 为空气的导热系数; D max 为制动盘最大直径;Re为雷诺数, Re= ω R 0 ρ d 0 / μ a 。其中 ω 为制动盘的角速度; R 0 为轮胎的滚动半径; d 0 为制动盘外半径; ρ 为空气密度; μ a 为空气粘度。

制动盘通风槽表面与空气的对流换热系数为

h c ={ 3.72 ( Re Pr ) 1 3 ( d h L ) 0.83 λ a d h ,R e 10 4 0.046[ 1+ ( d h L ) 0.83 ]R e 0.8 Pr 0.33 λ a d h ,R e > 10 4 (4)

式中:Pr为空气普朗特常数; d h 为流体力学直径;L为制动盘的特征长度; λ a 为空气导热系数。

3.2. 仿生表面对制动温度的影响

利用CATIA三维软件建立盘式制动器简易模型,并对模型表面分别进行圆形凹槽、矩形凹槽及六边形凹槽设计,各模型结构如图3所示。在Abaqus仿真软件中对各部件进行材料赋予、装配、相互作用、绑定、耦合及边界条件等进行设定。在Abaqus软件中采用六面体单元对制动器模型进行网格化划分,网格大小统一为2 mm。各模型结构的网格划分如图4所示。

建立紧急制动工况下的制动器热–结构耦合模型,对模型进行仿真计算,模型加载条件如下:制动盘初始制动速度为100 km/h,制动末速度为0 km/h,制动压力为3.2 MPa,制动时间为3.47 s,制动后停滞时间为200 s,本文使用自然对流换热系数进行停滞阶段的仿真研究,取值为5.0 W/(m2∙K)。摩擦系数采用随温度变化的数值,如表4所示。

(a) (b) (c) (d)

Figure 3. Bionic surface construction of brake disc model. (a) No slot model; (b) Rectangular slot model; (c) Circular slot model; (d) Hexagonal slot model

3. 制动盘模型的仿生表面构建。(a) 无槽模型;(b) 矩形槽模型;(c) 圆形槽模型;(d) 六边形槽模型

(a) (b) (c) (d)

Figure 4. Grid model of brake disc after division. (a) No slot model; (b) Rectangular slot model; (c) Circular slot model; (d) Hexagonal slot model

4. 划分后的制动盘网格模型。(a) 无槽模型;(b) 矩形槽模型;(c) 圆形槽模型;(d) 六边形槽模型

Table 4. Numerical table of friction coefficient changing with temperature

4. 摩擦系数随温度变化数值表

摩擦系数

温度/℃

0.37

20

0.38

100

0.41

200

0.39

300

0.24

400

研究制动盘不同仿生表面结构对制动温度的影响,将表面无槽制动盘模型设置为对照组,将三种槽型结构的仿真模型分为三组,依次分别为圆形凹槽、矩形凹槽及正六边形凹槽,每组模型的凹槽中心间距离为18 mm,相邻凹槽之间的周向间隔度数为30˚,将三种槽型结构与空气的接触面积及槽深情况进行等值约束,凹槽深度统一为7 mm,各槽型结构单个凹槽表面积为50.26 mm2。对上述工况下的四种模型进行仿真分析,四个模型紧急制动结束时的温度云图如图5所示。

(a) (b)

(c) (d)

Figure 5. Temperature cloud map at the end of emergency braking of four types of brake discs. (a) No slot model; (b) Rectangular slot model; (c) Circular slot model; (d) Hexagonal slot model

5. 四种类型制动盘紧急制动结束时的温度云图。(a) 无槽模型;(b) 矩形槽模型;(c) 圆形槽模型;(d) 六边形槽模型

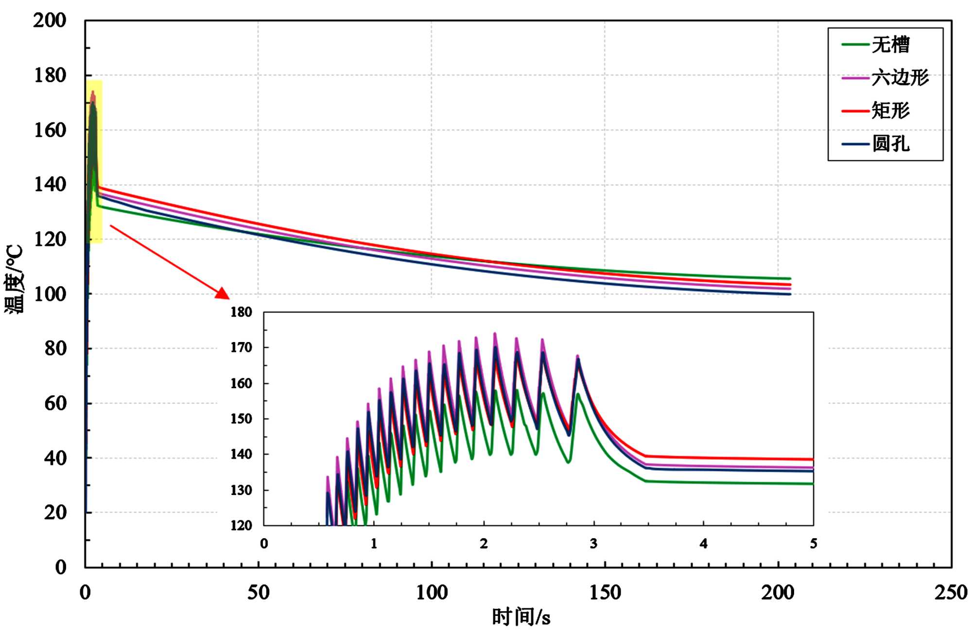
图5可知,在制动过程中,摩擦产生的热量主要分布在制动盘与摩擦片相互摩擦的区域,且向外部区域进行扩散,盘面温度呈现不均匀的环形阶梯状分布,在远离摩擦接触区域,温度变化幅度有限。三种仿生制动盘摩擦面温度皆高于无槽模型,在紧急制动过程中散热能力较差,其中原因为仿生表面制动盘与摩擦片之间的接触面积变小,因此单位面积上的热量分配较多。紧急制动结束时刻,三种仿生制动盘中,圆形槽制动盘表面温度最低,六边形槽次之,矩形槽温度最高,因此在三种仿生制动盘中,圆形槽制动盘散热能力更优。选取四种制动盘模型表面相同位置处节点进行温度曲线绘制,如图6所示。

Figure 6. Temperature change curve of friction surface node of brake disc

6. 制动盘摩擦面节点温度变化曲线

图6可知,4种模型节点温度变化趋势基本一致,节点温度曲线均展现为上升态势的“锯齿”形状。这源于节点在制动盘与摩擦片作用区域内,因摩擦作用导致温度攀升,而当制动盘旋转使得节点离开摩擦区域时,通过与周围空气的对流换热及内部热传导机制,节点温度随之下降。在制动初期,制动盘转速较高,制动副摩擦生热能力远高于对流换热能力,在到达某一时间点后,则呈现相反情况,仿生制动盘在制动初期温度高于无槽制动盘,但在制动结束时,仿生制动盘表面温度迅速降低,温度变化趋势愈发接近无槽制动盘,制动结束后,模型进入200 s停滞散热阶段,在此阶段内,仿生制动盘表面温度散热较快,最终低于无槽制动盘。不同模型200 s散热前后温度数据如表5所示。

Table 5. Temperature data table of different bionic surface models 200 s before and after heat dissipation

5. 不同仿生表面模型200 s散热前后温度数据表

温度/℃

无槽

六边形

矩形

圆形

初始阶段

132.5

137.197

139.531

136.271

最终阶段

105.557

101.754

104.426

99.871

始末差值

−26.943

−35.443

−35.105

−36.4

表5可知,相比于无槽制动盘而言,有仿生织构的制动盘散热性能更优,由于三种槽型结构的表面积相同且体积损耗一致,所以制动盘表面仿生结构形状也是影响散热性能好坏的关键因素。圆形槽制动盘初始温度及最终温度皆低于其余盘型,散热差值最高,因此圆形槽制动盘具有最优的散热性能。

3.3. 凹槽表面倒角结构对制动温度的影响

由3.2结论可知,圆形槽仿生表面散热性能最好,因此对圆形槽表面进行倒角设计,进一步提高制动盘的散热性能。

模型建立步骤与上文一致,网格大小同为2 mm,取倒角长度为2 mm,分别取15˚、30˚、45˚、60˚的倒角角度,构建的不同倒角制动盘模型如图7所示,各模型结构的网格划分如图8所示。

(a) (b) (c) (d)

Figure 7. Bionic surface chamfer construction of brake disc model. (a) 15˚ chamfer model; (b) 30˚ chamfer model; (c) 45˚ chamfer model; (d) 60˚ chamfer model

7. 制动盘模型的仿生表面倒角构建。(a) 15˚倒角模型;(b) 30˚倒角模型;(c) 45˚倒角模型;(d) 60˚倒角模型

(a) (b) (c) (d)

Figure 8. Grid model of brake disc after partition. (a) 15˚ chamfer model; (b) 30˚ chamfer model; (c) 45˚ chamfer model; (d) 60˚ chamfer model

8. 划分后的制动盘网格模型。(a) 15˚倒角模型;(b) 30˚倒角模型;(c) 45˚倒角模型;(d) 60˚倒角模型

由上文可知,具有圆形凹槽结构的制动盘表面具有更优的散热性能,因此在相同的盘形结构下,在圆形槽表面进行倒角结构设计,共四种模型进行仿真分析,研究不同倒角结构对制动温度的影响。四个模型紧急制动结束时的温度云图如图9所示。

图9可知,四种模型在紧急制动结束时刻,15˚倒角结构的仿生制动盘温度最高,这源于倒角角度较小,无法存储过多的空气,散热能力较差。45˚倒角结构存储空气量较15˚及30˚倒角结构多,比60˚倒角结构少,但最终温度最低。此现象主要归因于45˚倒角结构的制动盘倒角区域能够有效储存空气并加速

(a) (b)

(c) (d)

Figure 9. Temperature cloud map at the end of emergency braking of four kinds of chamfered brake discs. (a) 15˚ chamfer model; (b) 30˚ chamfer model; (c) 45˚ chamfer model; (d) 60˚ chamfer model

9. 四种倒角制动盘紧急制动结束时的温度云图。(a) 15˚倒角模型;(b) 30˚倒角模型;(c) 45˚倒角模型;(d) 60˚倒角模型

制动盘表面的空气对流,从而展现出更优的散热性能。相较于非仿生无槽模型与三种非倒角模型,四种倒角模型的表面节点最高温度均有所上升。为便于比较,在四种倒角结构制动盘模型表面选取了与仿生制动盘表面相同位置处的节点进行温度曲线的绘制,如图10所示。

Figure 10. Temperature change curve of friction surface node of brake disc

10. 制动盘摩擦面节点温度变化曲线

图10可知,各模型节点曲线趋势与图6曲线趋势基本一致,皆是迅速上升后下降形式。其中45˚倒角结构的制动盘温度升高较慢,最高温度低于另外三种倒角结构模型,在制动结束时四种倒角结构制动盘模型温度下降迅速,但仍高于无槽制动盘,在经历200 s停滞散热阶段,模型温度最终低于无槽模型及三种仿生模型的最终温度,45˚倒角结构的制动盘温度最低,散热性能更强。不同倒角结构模型200 s散热前后温度数据如表6所示。

表6可知,45˚倒角结构的制动盘初始温度与最终温度较其余模型最低,散热差值最大,表现出的散热性能最为优异,其表面面积较60˚倒角结构制动盘低,高于15˚及30˚倒角结构制动盘,可见非光滑制动盘表面面积能够影响散热性能,表面微结构形状才是影响散热性能好坏的决定因素。

Table 6. Temperature data table of 200 s before and after heat dissipation of different chamfer structure models

6. 不同倒角结构模型200 s散热前后温度数据表

温度/℃

15度

30度

45度

60度

初始阶段

143.798

142.151

140.117

142.656

最终阶段

100.155

98.805

95.615

99.129

始末差值

−43.643

−43.346

−44.502

−43.527

3.4. 实验验证

取本文所研究的最优散热性能的仿生结构及倒角形式的制动盘为最佳方案(圆形槽且倒角为45˚制动盘),为了验证本文研究最佳方案的合理性,在企业提供的制动惯量试验台进行试验,为了避免对制动盘表面造成损坏,本次实验采取k型热电偶对制动盘表面进行贴合,使用ACW控制器连接热电偶与终端电脑.在终端电脑上提取最终温度。试验台架、ACW控制器与热电偶如图11所示,试验设备主要参数如表7所示。

(a) (b) (c)

Figure 11. Structure diagram of test components. (a) Test bench; (b) ACW controller; (c) Thermocouple patch

11. 试验部件结构图。(a) 试验台架;(b) ACW控制器;(c) 热电偶贴片

Table 7. Main parameters of test equipment

7. 试验设备主要参数

参数

参数值

惯量参数

15 kg∙m2~250 kg∙m2

主驱动系统

186 kW,速度10 rpm~2000 rpm

静态力矩

5650 N∙m

制动压力

最大制动压力200 bar

湿度控制范围

15% RH~95%RH

固定通道数量

4

旋转通道数量

4

热电偶类型与温度范围

K型 −40℃~1200℃

采样频率

50 HZ

测量精度

0 t~0.75% t (t为实测温度值)

为验证最佳方案的合理性,设置与仿真同等制动工况且散热时间为300 s,在制动惯量试验台上进行试验,在仿真模型中,提取工况结束后与热电偶贴合位置相同处的节点最终温度,无槽制动盘代表的原始方案1,圆形槽制动盘代表的原始方案2与最佳方案组合为同一实验组,共设三组实验,实验结果如表8所示。

Table 8. Final temperature statistics of simulation and experiment

8. 仿真与实验最终温度统计

实验1

仿真

实验

误差

原始方案1

108.9

102.7

5.6%

原始方案2

101.7

94.8

6.8%

最佳方案

97.1

90.3

6.0%

实验2

仿真

实验

误差

原始方案1

110.2

104.3

5.3%

原始方案2

103.4

97.9

5.3%

最佳方案

99.6

93.1

6.5%

实验3

仿真

实验

误差

原始方案1

105.8

101.2

4.3%

原始方案2

98.2

94.6

3.7%

最佳方案

94.4

90.7

3.9%

由三组实验结果显示,实验数据的原始方案与最佳方案都要低于同组中的仿真数据,误差且在允许范围内。三组实验中,最佳方案的最终温度始终低于原始方案,表明圆形槽且倒角为45˚制动盘具有更好的散热性能,实验与仿真皆验证了最佳方案的合理性。

4. 结论

1) 本文首先建立了圆形槽、矩形槽与六边形槽三种仿生制动盘与无槽制动盘模型,对四种制动盘紧急制动与停滞散热两阶段的温度场进行了分析,通过对比得知圆形槽结构具有更优的散热性能。

2) 通过对圆形槽表面进行不同角度的倒角设计,分别取15˚、30˚、45˚与60˚倒角角度,通过四种制动盘模型的温度场分析,发现具有45˚倒角的圆形槽制动盘散热性能优于其他倒角结构制动盘,并且优于未开倒角的仿生制动盘。

3) 经过实验结果表明,研究得到的最佳方案具有更优的散热性能。在三组实验中,最佳方案温度比原始方案1平均降低11.36℃,比原始方案2平均降低了4.4℃。

基金项目

国家自然科学基金项目(51975379)。

参考文献

[1] 吴张兵, 杨翔宇, 吕世明, 等. 汽车离合器摩擦面片摩擦性能试验[J]. 重庆理工大学学报(自然科学), 2014, 28(12): 36-40.
[2] 张锐, 刘开一, 胡薇, 等. 仿生制动盘制动性和耐磨性仿真分析[J]. 中国机械, 2023(15): 28-31.
[3] 王亮. 轨道车辆制动盘仿生耦合表面的摩擦磨损性能[D]: [硕士学位论文]. 长春: 吉林大学, 2014.
[4] 杨肖. 制动盘仿生耦合表面抗疲劳性能研究[D]: [博士学位论文]. 长春: 吉林大学, 2015.
[5] 王晓翠. 沟槽型织构化表面对摩擦振动噪声影响的试验及有限元分析[D]: [硕士学位论文]. 成都: 西南交通大学, 2015.
[6] 袁琼, 唐鹏, 李仕生. 制动盘非光滑仿生表面对制动摩擦尖叫行为影响的研究[J]. 现代制造工程, 2020(9): 62-69.
[7] 朱玉玲, 王优强, 李梦杰, 等. 正交各向异性C/SiC的非光滑制动盘热力耦合仿真分析[J]. 机械传动, 2023, 47(11): 94-100.
[8] 黄风山, 高雅妍, 王立新, 等. 仿生制动盘热-结构耦合场的ANSYS仿真分析[J]. 江苏大学学报(自然科学版), 2015, 36(4): 392-397.
[9] 孙继宇. 表面织构化汽车制动器摩擦生热及散热分析[D]: [硕士学位论文]. 太原: 太原理工大学, 2020.
[10] 杨肖, 张志辉, 王金田, 等. 仿生制动盘表面温度场与应力场的计算机模拟[J]. 机械工程学报, 2012, 48(17): 121-127.
[11] Tsai, C., Childers, R.A., Nan Shi, N., Ren, C., Pelaez, J.N., Bernard, G.D., et al. (2020) Physical and Behavioral Adaptations to Prevent Overheating of the Living Wings of Butterflies. Nature Communications, 11, Article No. 551.
https://doi.org/10.1038/s41467-020-14408-8
[12] 潘公宇, 王继业. 基于转动热源的通风盘式制动器温度场分析[J]. 重庆理工大学学报(自然科学), 2018, 32(8): 52-57.
[13] 陈友飞. 盘式制动器热与热力耦合分析模型建立与仿真计算研究[D]: [硕士学位论文]. 北京: 清华大学, 2011.
[14] 王颖泽, 宋新南. 弹性体受热冲击作用的热力耦合特性分析[J]. 江苏大学学报(自然科学版), 2014, 35(2): 183-188.
[15] Limpert, R. (2011) Brake Design and Safety. SAE International.