健康教育对异位妊娠患者应用效果的Meta分析
Effects of Health Education on Patients with Ectopic Pregnancy: A Meta-Analysis
DOI: 10.12677/acm.2024.14102764, PDF, HTML, XML,   
作者: 王子聪*, 王 洁:内蒙古医科大学,内蒙古 呼和浩特;王伟波:内蒙古科技大学包头医学院,内蒙古 包头
关键词: 健康教育异位妊娠治疗SAS、SDSMeta分析Health Education Ectopic Pregnancy Treatment SAS SDS Meta-Analysis
摘要: 目的:系统评价应用健康教育干预手段对异位妊娠患者的应用效果。方法:系统检索万方数据库(Wanfang)、维普数据库(VIP)、中国知网(CNKI)、中国生物医学文献数据库(CBM)、PubMed、EMbase、Web of Science及The Cochrane Library等国内外知名数据库,收集了自各数据库建库以来至2023年10月13日期间的随机对照试验(RCT)研究。两位独立的研究员根据预设的纳入和排除标准,进行了严格的文献筛选、数据提取及质量评价工作。随后,利用RevMan 5.4软件对筛选出的文献进行了Meta分析,以综合评估健康教育对异位妊娠患者的干预效果。结果:经过严格的筛选过程,本研究最终纳入了29篇符合标准的RCT文献,这些文献共涉及3227名异位妊娠患者。Meta分析结果表明,健康教育方式可以有效改善SAS焦虑量表评分[MD = −9.85, 95%CI (−12.20, −7.49), Z = 8. 20, P < 0.00001]、SDS抑郁量表评分[MD = −9.03, 95%CI (−11.11, −6.96), Z = 8.54, P < 0.00001]、保守治疗的成功率[RR = 1.21, 95%CI (1.12, 1.29), Z = 5.13, P < 0.00001]、术后不良反应的发生率[RR = 0.31, 95%CI (0.17, 0.55), Z = 3.94, P < 0.00001]、提高患者满意度[RR = 1.22, 95%CI (1.16, 1.29), Z = 7.29, P < 0.0001]。结论:综合当前研究结果,与常规护理相比,健康教育在改善SAS、SDS、保守治疗的成功率、术后不良反应事件的发生率、提高患者满意度方面效果更佳。在未来,我们亟需纳入更大样本量、设计更为严谨的高质量随机对照试验来进行深入研究。
Abstract: Objective: The systematic evaluation of the effectiveness of health education applied to patients with ectopic pregnancy. Methods: The systematic search queried CNKI database, VIP database , WanFang database, CBM database, PubMed, EMbase, Web of Science, and The Cochrane Library to look for data on the effectiveness of the application of health education to patients with ectopic pregnancy associated with Randomized controlled trials were searched from the time frame of the library to October 13, 2023, and 2 researchers performed independent literature screening, data extraction and quality assessment based on inclusion and exclusion criteria, and Meta-analysis was performed using RevMan 5.4 software. Results: A total of 29 papers were included, covering a total of 3227 patients. Meta-analysis of the results showed that the health education approach was effective in improving the SAS Anxiety Scale score [MD = −9.85, 95%CI (−12.20, −7.49), Z = 8.20, P < 0.00001], SDS Depression Scale score [MD = −9.03, 95%CI (−11.11, −6.96), Z = 8.54, P < 0.00001], success rate of conservative treatment [RR = 1.21, 95%CI (1.12, 1.29), Z = 5.13, P < 0.00001], incidence of postoperative adverse reactions [RR = 0.31, 95%CI (0.17, 0.55), Z = 3.94, P < 0.00001], improved patient satisfaction [RR = 1.22, 95%CI (1.16, 1.29), Z = 7.29, P < 0.0001]. Conclusions: We synthesized the results of the current study and concluded that health education is more effective in improving the success of SAS, SDS, and conservative treatment, the incidence of postoperative adverse events, and increasing patient satisfaction compared with usual care. In the future, we urgently need to include larger sample sizes and conduct more rigorous, high-quality randomized controlled trials for further research.
文章引用:王子聪, 王伟波, 王洁. 健康教育对异位妊娠患者应用效果的Meta分析[J]. 临床医学进展, 2024, 14(10): 1033-1045. https://doi.org/10.12677/acm.2024.14102764

1. 引言

异位妊娠是一种危急的妇产科疾病,也是引发孕妇死亡的主要原因之一,占所有妊娠相关死亡的5%~10% [1]。在全球范围内,异位妊娠发病率通常约为2% [2]。研究表明,大多数被诊断为异位妊娠的患者都会经历高度的心理困扰,这严重影响了他们的生活质量以及身心健康[3];此外,即使出院后的若干年后,这些影响也会持续存在[4]。由于异位妊娠的病情隐匿,起病急,且病情严重,病人通常缺乏对疾病和手术的了解,常引发不良情绪,进而激发身体应激反应,进一步削弱了病人自身的免疫防御能力。这不仅不利于疾病的预后及恢复,反而更进一步影响患者的生活质量[5]。最近,《“健康中国2030”规划纲要》以及专家共识都明确提出了加强对中国育龄期妇女常见心理问题的早期发现、评估和干预的需求[6],目前研究发现进行有效的健康教育可降低患者负性情绪,甚至还能够改善治疗效果和预防术后并发症发生及发展,正在各专科被广泛应用[7]。因此,通过全面检索已发表的国内外随机对照试验(RCT),探究健康教育对宫外孕患者的影响,包括SAS (焦虑自评量表)、SDS (抑郁自评量表)、治疗效果以及患者满意度,为未来的健康教育研究提供有力的实证依据。

2. 资料与方法

2.1. 纳入及排除标准

2.1.1. 纳入标准

研究采用了PICOS原则来筛选文献。以下是各项标准的详细说明:① 研究对象:纳入年龄 ≥ 18岁的住院患者,且明确诊断为异位妊娠;② 干预措施:健康教育(包括心理干预);③ 对照措施:常规护理;④ 结局指标:SAS、SDS、保守治疗的成功率、手术病人术后不良反应的发生率,患者满意度;⑤ 研究类型:随机对照研究。

2.1.2. 排除标准

① 文献中提及的异位妊娠治疗方式为中医或中西医结合;② 通过多媒体平台或某些特定的健康教育方法;③ 会议论文;④ 研究数据中存在无法完成综合分析的数据或不完整的文献;⑤ 低质量文献;⑥ 无法获取全文的文献;⑦ 非中文或英文发表的文献。

2.2. 检索策略

计算机检索涵盖了中国知网、万方数据库、维普数据库、中国生物医学文献数据库、PubMed、EMbase、The Cochrane Library以及Web of Science等多个数据库,检索时间范围从建库日期一直延续到2023年10月13日。采用主题词和自由词相结合的方式进行检索,并使用布尔逻辑运算符对检索词进行组合,以确保获得全面的检索结果。中文数据库以“妊娠,异位、异位妊娠、宫外孕、子宫外孕、子宫外妊娠”“健康教育、健康管理”为检索词,英文数据库以“Pregnancy, Ectopic/Ectopic Pregnancies/Pregnancy, Extrauterine/Extrauterine Pregnancies/Extrauterine Pregnancy/Pregnancies, Extrauterine/Ectopic Pregnancy”“health education /health management”为检索词。以中国生物医学文献服务系统为例,检索策略为(“健康管理”[常用字段] OR “健康教育”[不加权:扩展]) AND ((“宫外孕”[常用字段] OR “子宫外孕”[常用字段]) OR “妊娠,异位”[不加权:扩展])。

2.3. 文献筛选和资料提取

文献筛选严格遵循PICOS原则,由两名独立研究者细致操作,遇分歧即时讨论或咨询第三方,确保筛选过程公正无偏。利用EndNote X9高效去重,先基于标题摘要初筛,再深入全文复筛,确保纳入文献质量。数据提取环节,我们采用详尽预设的表格,全面记录文献的基本信息与研究特征,力求数据提取的精确与完整。

2.4. 质量评价

两位独立的研究人员会基于Cochrane手册5.1.0版的指导原则,分别进行质量评估。若在评估过程中出现分歧,将通过深入讨论或求助于第三位研究者的意见来协调解决。评价包括:随机序列;分配隐藏;研究者和受试者盲法;盲法的实施;结局数据的完整性;选择性报告相关结果;其他偏倚。每项内容的评价等级分为“低风险”“高风险”“不清楚”3个评价等级。

2.5. 统计学方法

进行Meta分析时,我们利用RevMan 5.4软件作为工具,依据测量工具的差异,灵活选择加权均数差(MD)或标准化均数差(SMD)整合连续变量数据,而对分类变量则统一使用相对危险度(RR)作为效应量指标。每种效应量的展示均包含点估计及其95%置信区间,以精确反映统计推断的范围。

对于研究间异质性的评估,我们结合使用卡方(χ2)检验和I2统计量。具体而言,当χ2检验的P值大于0.1且I2统计量小于50%时,我们认为研究间的异质性不显著,此时倾向于采用固定效应模型,该模型假设各研究具有相同的真实效应。相反,若P值小于或等于0.1且I2统计量大于50%,则表明存在显著的异质性,我们会进一步通过亚组分析和敏感性分析来探讨异质性的潜在来源,并采用随机效应模型来处理这种异质性,该模型能够更灵活地反映各研究间可能存在的真实效应差异。当纳入分析的文献数量超过10篇时,为了评估潜在的发表偏倚,我们会利用漏斗图进行可视化分析。漏斗图通过展示各研究效应量与样本量之间的关系,帮助我们识别是否因研究规模、发表机会等因素导致的结果偏倚。

3. 结果

3.1. 文献检索结果

通过数据库检索到文献总数为2294篇,其中,中文文献有979篇,英文文献有1315篇英文。去除重复文献后,剩余1918篇。根据纳入和排除标准,最终选择了29篇中文文献[8]-[36]。文献筛选的详细过程和结果见图1

Figure 1. Literature screening process and results

1. 文献筛选流程及结果

3.2. 纳入文献的基本特征

纳入的29篇[8]-[36]文献,共3227例成年异位妊娠住院患者。其中,1629例在干预组,1598例在对照组。详细的基本特征请见表1

Table 1. Basic features of the study were included

1. 纳入研究基本特征

纳入文献

治疗方式

样本量(例)

干预时长

测评工具

结局指标

参考文献

干预组

对照组

何丽敏 2008

保守治疗

150

150

整个住院期间

临床指征

[8]

续表

周素友 2010

保守性手术或者保守治疗

150

150

整个住院期间

未提及

[9]

丁玉梅 2011

保守治疗

60

60

整个住院期间

临床指征

[10]

杨立艳 2011

保守治疗

41

40

整个住院期间

SAS

SDS

①②③

[11]

张国群 2011

保守治疗

38

38

整个住院期间

SAS

SDS

①②

[12]

伍丽霞 2013

保守性手术治疗

100

100

整个住院期间

SAS

SDS

①②

[13]

唐风月 2014

保守治疗

54

30

整个住院期间

未提及

[14]

宋玉波 2016

保守治疗

27

27

整个住院期间

临床指征、自制问卷(满意度)

①④⑤

[15]

吴莉莉 2016

保守治疗

60

60

整个住院期间

SAS

SDS

临床指征

①②③

[16]

徐丹花 2016

手术治疗

50

50

整个住院期间

SAS

SDS

上海市质控中心责任护士满意度问卷

①④⑤

[17]

陈晓

2017

手术治疗

35

35

手术围手术期

SAS

SDS

调查问卷

①②④

[18]

李少平 2017

手术治疗

37

37

整个住院期间

SAS

SDS

临床指征

①④

[19]

唐文君 2017

保守治疗

49

49

整个住院期间

HAMA

临床指征

[20]

余彦秋 2017

手术治疗

31

31

整个住院期间

SAS

SDS

临床指征

①②④

[21]

陈琴

2018

手术治疗

50

50

整个住院期间

SAS

SDS

①②

[22]

董晓俊 2018

未提及

34

34

整个住院期间

SAS

SDS

①②⑤

[23]

陆明仙 2018

均有

49

49

整个住院期间

SAS

SDS

护理工作满意度调查表

①②⑤

[24]

饶丹凤 2019

保守治疗

55

55

整个住院期间

未提及(以数据评判为SAS、SDS)

①②⑤

[25]

张金兰 2019

手术治疗

29

29

整个住院期间

SAS

SDS

临床指征

①②④

[26]

续表

朱虹

2019

保守治疗

21

21

整个住院期间

自制评分量表

[27]

孙丽

2020

保守治疗

55

55

整个住院期间

临床指征

自制评分量表

③⑤

[28]

王芹

2021

未提及

58

58

整个住院期间

SAS

SDS

①②

[29]

杨莉

2021

手术治疗

60

60

整个住院期间

HAMA

临床指征

[30]

于茵

2021

手术治疗

46

40

整个住院期间

SAS

SDS

①②

[31]

和验

2022

手术治疗

42

42

整个住院期间

临床指征

[32]

胡爱平 2022

保守治疗

59

59

整个住院期间

SAS

SDS

①②

[33]

陆有兰 2022

未提及

60

60

整个住院期间

SAS

SDS

问卷调查

①②④⑤

[34]

张浩

2022

手术治疗

60

60

围术期

自制

护理满意度调查表

[35]

陈少平 2023

手术治疗

69

69

围术期

SAS

SDS

①②

[36]

注:① SAS:焦虑自评量表;② SDS:抑郁自评量表;③ 保守治疗成功率;④ 术后并发症不良反应率;⑤患者满意度。

3.3. 纳入文献的方法学质量评价

对于29项纳入研究的质量评估结果显示:

22项研究明确采用了随机分组方法,因此被评估为“低风险偏倚”;1项研究在随机分组方面未给出明确信息,故评价为“不清楚偏倚”;分配隐藏的情况在所有研究中均未明确提及,因此统一被判定为“不清楚偏倚”;在盲法应用上,18项研究未明确说明参与者是否使用了盲法,故评价为“不清楚偏倚”;而其余研究因未实施盲法,被评估为“高风险偏倚”;数据完整性方面,除1项研究存在数据不完整、脱落和失访病例,被判定为“高风险偏倚”外,其余研究均表现良好,被评估为“低风险偏倚”;所有研究均未发现选择性报告结果的情况,故均为“低风险偏倚”;此外,所有研究也未发现其他潜在的偏倚因素,整体评估结果偏向“低风险偏倚”。纳入文献的方法学质量评估结果请参阅图2

Figure 2. Bias risk map

2. 偏倚风险图

3.4. Meta分析结果

3.4.1. 健康教育对焦虑自量表SAS评分的影响

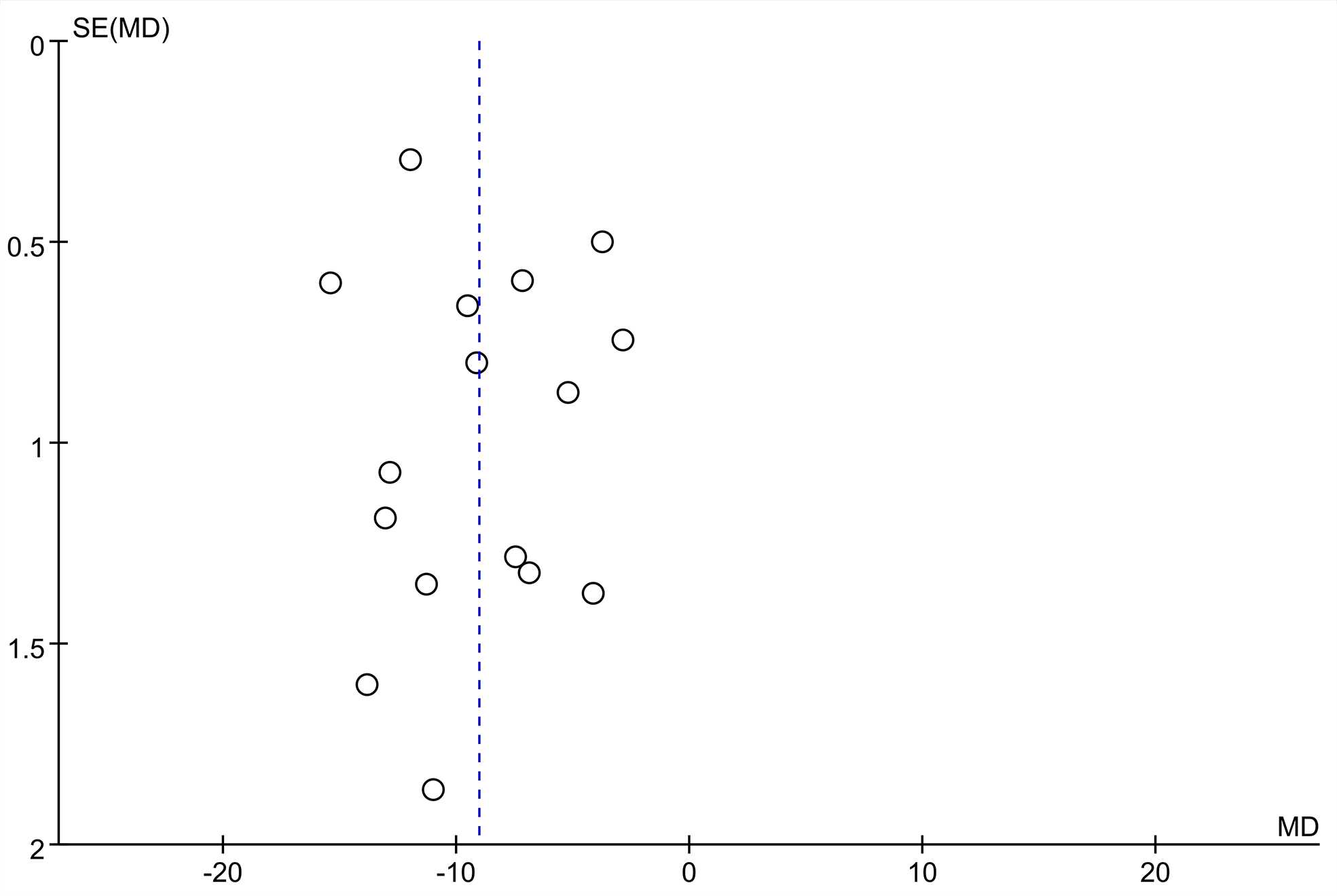
17篇[11]-[13] [16]-[26] [29]-[31] [33] [34] [36]文献将焦虑自量表SAS作为健康教育对异位妊娠应用效果的评价指标。异质性(I2 = 97%, P < 0.00001),敏感性分析未能找到异质性的来源,因此选用随机效应模型分析。结果显示,两组的SAS差异存在显著性差异[MD = −9.85, 95%CI (−12.20, −7.49), Z = 8.20, P < 0.000 01],即健康教育能改善异位妊娠病人焦虑自量表SAS评分,见图3。漏斗图呈现部分不对称的特点,这可能表明存在着发表偏倚,详见图4

Figure 3. Forest map comparing the two groups of SAS scores

3. 两组SAS评分比较的森林图

Figure 4. Funnel plot comparing SAS scores between the two groups

4. 两组SAS评分比较的漏斗图

3.4.2. 健康教育对抑郁自量表评分SDS的影响

16篇[11]-[13] [16]-[24] [26] [29]-[31] [33] [34] [36]文献将抑郁自量表评分SDS作为健康教育对异位妊娠应用效果的评价指标。异质性(I2 = 97%, P < 0.00001),敏感性分析未能找到异质性的来源,因此选用随机效应模型分析。结果显示,两组的SDS差异有统计学意义[MD = −9.03, 95%CI (−11.11, −6.96), Z = 8.54, P < 0.00001],即健康教育能改善异位妊娠患者抑郁自量表SDS评分,见图5。漏斗图呈现部分不对称的特点,这可能表明存在着发表偏倚,见图6

Figure 5. Forest map comparing two groups of SDS scores

5. 两组SDS评分比较的森林图

Figure 6. Funnel plot of SDS score comparison between two groups

6. 两组SDS评分比较的漏斗图

3.4.3. 健康教育对保守治疗有效率的影响

7篇[8]-[11] [15] [25] [28]文献将保守治疗有效率作为健康教育对异位妊娠应用效果的评价指标。异质性(I2 = 92%, P < 0.00001),采用敏感性分析剔除何丽敏[8]、孙丽[28]的研究后,异质性降低(I2 = 48%, P = 0.11),通过采用固定效应模型进行分析,Meta分析结果揭示了试验组与对照组在保守治疗有效率方面存在显著的统计学差异[RR = −1.21, 95%CI (1.12, 1.29), Z = 5.13, P < 0.00001],即健康教育有利于提高异位妊娠病人保守治疗的有效率,见图7。文献纳入数量未达到10篇,故不进行漏斗图分析。

Figure 7. Forest map comparing the response rate of two groups of conservative treatment

7. 两组保守治疗有效率比较的森林图

3.4.4. 健康教育对术后并发症的影响

6篇[19]-[21] [26] [30] [32]文献将术后不良反应率作为健康教育对异位妊娠应用效果的评价指标。异质性(I2 = 0%, P = 0.87),采用固定效应模型分析。Meta分析结果显示,试验组与对照组的不良反应率差异有统计学意义[RR = −0.31, 95%CI (0.17, 0.55), Z = 3.94,P < 0.00001],即健康教育有利于减轻异位妊娠手术病人术后不良反应的发生率,见图8。文献纳入数量未达到10篇,故不进行漏斗图分析。

Figure 8. Forest map comparing postoperative complications between the two groups

8. 两组术后并发症比较的森林图

3.4.5. 健康教育对患者满意度的影响

9篇[14] [15] [17] [23]-[25] [28] [34] [35]文献将患者满意度作为健康教育对异位妊娠应用效果的评价指标。各研究间没有异质性(I2 = 0%, P = 0.94),采用固定效应模型分析。Meta分析结果显示,试验组与对照组的患者满意度差异有统计学意义[RR = 1.22, 95%CI (1.16, 1.29), Z = 7.29, P < 0.0001],即健康教育能提高异位妊娠病人对医护人员的满意度,见图9。文献纳入数量未达到10篇,故不进行漏斗图分析。

Figure 9. Forest map comparing patient satisfaction between the two groups

9. 两组患者满意度比较的森林图

4. 讨论

4.1. 当前异位妊娠健康教育内容的异同

异位妊娠健康教育的内容在不同文献中略有一些差异,但总体来说,它们都包括以下几个方面。(1) 对患者进行细致的疾病知识介绍,明确异位妊娠的病因、典型症状、诊断方法以及治疗方案,耐心解答患者的疑虑。(2) 协助患者缓解紧张和焦虑情绪,帮助他们适应医院环境,通过积极沟通和心理支持来减轻紧张情绪。同时,建议家属多关心和照顾患者,以改善其消极情绪。(3) 严密监测患者的病情,密切关注症状的变化,确保病情得到及时的观察和记录。(4) 提供饮食、活动和休息的指导,以帮助患者维持身体的稳定和促进康复。(5) 提供药物使用的指导,确保患者正确服用药物,以获得最佳的治疗效果。

4.2. 健康教育对心理健康状况SAS、SDS的影响

本研究结果显示,健康教育能降低异位妊娠患者的焦虑与抑郁量表评分,对病人心理健康产生了积极影响。在常规护理中,医护人员通常关注疾病的生理症状,而忽略了患者的心理健康需求。健康教育一般有一套标准化流程,对病人加以心理辅导,甚至提供个性化的服务。因此,采用健康教育的方法,为患者提供有关他们疾病和治疗的详细信息,并提供心理支持以及健康教育,更加积极地配合医护人员治疗,这对于减轻焦虑和抑郁症状非常重要。

4.3. 健康教育对保守治疗有效率、手术治疗后不良反应发生率的影响

本研究的结果表明,健康教育能够提高患者对保守治疗的成功率,控制术后不良反应发生率,提高患者的治疗、预后以及康复质量。对于改善患者的治疗状况产生了显著的积极作用。在常规护理中,医疗人员通常侧重于治疗方法的执行,但可能忽略了患者自身对治疗的理解和参与。通过健康教育一套标准化流程,为患者提供有关治疗方法的详细信息,包括治疗的原理、预期效果以及可能的副作用和风险。这有助于提高患者对治疗的理解,增强了患者的参与度,增强了他们对治疗的信心以及依从性[12] [32] [34]。因此,不论是进行保守治疗还是手术治疗的患者,健康教育都对其产生了积极的治疗效果。

4.4. 健康教育对患者满意度的影响

本研究结果显示,健康教育能提高病人对医护人员的满意度。已有研究表明,关系就医会影响患者就医行为[37],而关系与患者对医护人员满意度相关,通过健康教育实施,异位妊娠病人护理结局(包括SAS、SDS,保守治疗效果、术后不良反应等指标)得以改善,医患合作关系更加紧密,从而提升了患者对医护人员的满意度。

4.5. 本研究的局限性

① 本研究广泛搜索了国内外数据库,但纳入文献限于中文,方法学质量参差不齐。其中,仅24篇文献[8]-[10] [13]-[18] [20] [21] [24]-[29] [32]-[36]详细报告了随机序列生成方法,分配隐藏则普遍缺失。鉴于干预特性,研究者和受试者盲法实现困难,进一步影响了研究质量。② 本研究检索范围限于已发表的中文和英文文献,可能因文献覆盖不全而引入偏倚,影响研究结果的全面性和精准性。

5. 小结

本研究显示,健康教育能改善异位妊娠患者焦虑自量表SAS、抑郁自量表SDS评分,有利于患者心理健康的恢复,提升保守治疗的有效率,有效控制手术病人不良反应的发生率,提高患者满意度,鉴于文献质量的受限,对于上述结论的确切性仍需进行深入验证。因此,建议在后续阶段进行更为科学、严谨、高质量的多中心研究,并着重关注随机序列生成、分配的隐藏,以及采用盲法的运用。这样的改进将有助于提升研究结果的可靠性,并为结论的稳健性提供更强有力的支持。异位妊娠发生部位不同,其临床特征与治疗方案各具特点,提示需细化研究,探索健康教育对不同部位异位妊娠患者的个性化影响。建议实施长期跟踪,不仅关注住院期间的健康教育效果,还应延伸至出院后,以全面评估其长远影响。鉴于当前缺乏统一的异位妊娠健康教育方案,未来工作可聚焦于构建标准化的健康教育指南,以指导临床实践,促进患者康复。

NOTES

*通讯作者。

参考文献

[1] Mullany, K., Minneci, M., Monjazeb, R. and C. Coiado, O. (2023) Overview of Ectopic Pregnancy Diagnosis, Management, and Innovation. Womens Health, 19. [Google Scholar] [CrossRef] [PubMed]
[2] 王玉东, 陆琦. 输卵管妊娠诊治的中国专家共识[J]. 中国实用妇科与产科杂志, 2019, 35(7): 780-787.
[3] Farren, J., Jalmbrant, M., Falconieri, N., Mitchell-Jones, N., Bobdiwala, S., Al-Memar, M., et al. (2020) Posttraumatic Stress, Anxiety and Depression Following Miscarriage and Ectopic Pregnancy: A Multicenter, Prospective, Cohort Study. American Journal of Obstetrics and Gynecology, 222, 367.e1-367.e22. [Google Scholar] [CrossRef] [PubMed]
[4] Ren, N., Dela Rosa, R.D., Chen, Z., Gao, Y., Chang, L., Li, M., et al. (2023) Research Progress on Psychological Distress in Patients with Ectopic Pregnancy in China. Neuropsychiatric Disease and Treatment, 19, 1633-1639. [Google Scholar] [CrossRef] [PubMed]
[5] 王佳楠, 肖霄, 项伟岚, 等. 异位妊娠一侧输卵管切除术后患者面对再次妊娠心理特点分析和心理干预措施的研究进展[J]. 实用妇科内分泌电子杂志, 2021, 8(20): 35-38.
[6] 中华预防医学会心身健康学组, 中国妇幼保健协会妇女心理保健技术学组. 孕产妇心理健康管理专家共识(2019年) [J]. 中国妇幼健康研究, 2019, 30(7): 781-786.
[7] Ferreira, P.B.P., Porto, I.S., Santo, F.H.D.E., Figueiredo, N.M.A.D., Enders, B.C., Cameron, L.E., et al. (2022) Health Education for Hospitalized Patient in Nursing Care: A Conceptual Analysis. Revista Brasileira de Enfermagem, 75, e20200459. [Google Scholar] [CrossRef] [PubMed]
[8] 何丽敏, 陈红, 付爱明. 健康教育对异位妊娠患者保守治疗的临床意义[J]. 中外医疗, 2008, 27(15): 160.
[9] 周素友. 健康教育在异位妊娠患者护理中的应用[J]. 中国初级卫生保健, 2010, 24(11): 87-88.
[10] 丁玉梅. 宫外孕保守治疗的护理分析[J]. 医学信息(中旬刊), 2011, 24(4): 1467-1468.
[11] 杨立艳. 健康教育在异位妊娠患者护理中的临床作用[J]. 当代医学, 2011, 17(28): 123-124.
[12] 张国群. 全程健康教育对异位妊娠口服甲氨蝶呤患者遵医行为和心理状态的影响[J]. 护理学杂志, 2011, 26(8): 84-85.
[13] 伍丽霞, 陈炎金. 健康教育及心理护理在预防重复异位妊娠中的应用效果观察[J]. 齐鲁护理杂志, 2013, 19(2): 17-18.
[14] 唐风月, 王小燕. 健康教育在宫外孕患者中的应用效果分析[J]. 航空航天医学杂志, 2014, 25(4): 585-586.
[15] 宋玉波, 周平, 姜淑芝, 等. 异位妊娠保守治疗的健康教育与心理护理体会[J]. 中国伤残医学, 2016, 24(8): 114-115.
[16] 吴莉莉, 张红卫. 甲氨蝶呤联合米非司酮及健康教育护理路径治疗胎盘植入患者60例[J]. 中国药业, 2016, 25(5): 93-95.
[17] 徐丹花. 健康教育对异位妊娠手术患者的干预效果[J]. 当代护士·学术版, 2016(5): 94-95.
[18] 陈晓. 心理护理与健康教育在异位妊娠腹腔镜手术围手术期护理中的应用价值[J]. 深圳中西医结合杂志, 2017, 27(6): 178-179.
[19] 李少平, 李丽琴. 心理护理及健康教育对异位妊娠手术患者焦虑及术后并发症的影响[J]. 内蒙古医学杂志, 2017, 49(5): 638-640.
[20] 唐文君, 康春梅. 健康教育及心理护理对输卵管妊娠保守治疗后重复异位妊娠患者的影响[J]. 中国生育健康杂志, 2017, 28(2): 134-137.
[21] 余彦秋. 健康教育联合常规护理在甲氨蝶呤穿刺杀胚后再行手术治疗异位妊娠效果研究及对心理波动的影响[J]. 中国妇幼健康研究, 2017(S4): 346.
[22] 陈琴. 探讨心理护理及健康教育对异位妊娠手术患者焦虑及术后并发症的影响[J]. 世界最新医学信息文摘, 2018, 18(29): 217.
[23] 董晓俊. 人文关怀护理模式对宫外孕患者护理效果及SAS和SDS评分分析[J]. 家庭医药就医选药, 2018(9): 232-233.
[24] 陆明仙, 陆兴燕. 异位妊娠患者实施健康教育干预的效果评价[J]. 人人健康, 2018(10): 164, 134.
[25] 饶丹凤. 健康教育模式对异位妊娠保守治疗患者的护理应用体会[J]. 饮食保健, 2019, 6(20): 283-284.
[26] 张金兰. 健康教育模式对异位妊娠患者术后生活质量的影响[J]. 中国药物与临床, 2019, 19(32): 3804-3805.
[27] 朱虹. 健康教育护理模式对异位妊娠保守治疗患者的应用分析[J]. 东方药膳, 2019(20): 252.
[28] 孙丽. 健康教育模式对异位妊娠保守治疗患者的护理应用效果观察[J]. 母婴世界, 2020(1): 267.
[29] 王芹. 对异位妊娠患者实施心理干预联合健康教育的效果观察[J]. 心理月刊, 2021, 16(9): 158-159.
[30] 杨莉. 心理护理及健康教育对输卵管妊娠手术患者焦虑及术后并发症的影响[J]. 糖尿病天地, 2021, 18(2): 256.
[31] 于茵. 多元化健康教育在异位妊娠手术患者护理中的应用价值分析[J]. 现代诊断与治疗, 2021, 32(2): 315-317.
[32] 和验, 单珊, 范金荣. 健康教育在异位妊娠患者护理中的作用[J]. 大健康, 2022(18): 60-62.
[33] 胡爱平, 殷凯铃. 情感支持联合精准健康管理在宫外孕保守治疗患者中的应用效果[J]. 现代医学与健康研究电子杂志, 2022, 6(6): 119-121.
[34] 陆有兰. 对宫外孕患者实施健康教育的护理体会[J]. 中文科技期刊数据库(文摘版)医药卫生, 2022(6): 83-85.
[35] 张浩, 雷升霞. 知信行健康教育模式在异位妊娠腹腔镜手术患者围术期的应用效果[J]. 临床医学研究与实践, 2022, 7(26): 166-168.
[36] 陈少平, 谭云欢, 和琴芝, 等. 治疗性沟通联合围术期健康教育对异位妊娠患者手术配合及术后恢复的影响[J]. 国际护理学杂志, 2023, 42(6): 1036-1039.
[37] 周开茹, 李敏. 关系就医对患者就医行为影响的研究[J]. 医学与哲学, 2023, 44(4): 45-50.