脉冲噪声下基于改良Kendall’s Tau的随机信号检测
Random Signal Detection Based on Improved Kendall’s Tau under Impulsive Noise
DOI: 10.12677/jisp.2024.134037, PDF, HTML, XML,    科研立项经费支持
作者: 肖芷菁, 徐维超*:广东工业大学自动化学院,广东 广州;赖华东:广东海洋大学电子与信息工程学院,广东 湛江
关键词: Kendall’s Tau高斯混合模型随机信号检测接收机工作特性曲线Kendall’s Tau Gaussian Mixture Model (GMM) Random Signal Detection Receiver Operating Characteristic (ROC) Curve
摘要: 在双通道信号检测领域,肯德尔秩相关系数(Kendall’s Tau, KT)作为一种检测器,对含脉冲噪声的信号具有显著的鲁棒性。然而,当通道间的噪声存在相关性时,KT的检测性能仍有待提升。为此,本文提出一种改进的肯德尔秩相关系数(Improved Kendall’s Tau, IKT)检测器,在KT的基础上引入了阈值可调节的硬限幅函数。同时采用二元高斯混合模型(Gaussian Mixture Model, GMM)模拟两通道间噪声的相关性及脉冲特性,深入探讨了IKT在该模型下的统计性质,并建立了针对双通道高斯随机信号检测问题的虚警率和检测概率的解析式。通过蒙特卡罗实验与高斯噪声下性能最优的匹配滤波器(Matched Filter Detector, MFD)、脉冲噪声下具有鲁棒性的极性重合相关器(Polarity Coincidence Correlator, PCC)、KT的接收机工作特性(Receiver Operating Characteristic, ROC)曲线下面积(Area Under the Curve, AUC)进行比较,表明IKT在含相关性高斯噪声的信号检测中相较于PCC在AUC上表现出12.9%左右的提升,相较于KT的提升约为4.8%。在含相关性脉冲噪声的信号检测中相较于PCC的AUC提升约为8.3%,相较于KT的提升约为1.6%,从而验证了其优越性。
Abstract: In dual-channel signal detection, the Kendall’s Tau (KT) correlation coefficient is well-regarded for its robustness in handling signals affected by impulsive noise. However, its detection performance declines when there is noise correlation between channels. To address this limitation, this paper presents an Improved Kendall’s Tau (IKT) detector, which enhances the traditional KT by incorporating a threshold-adjustable hard limiting function. Furthermore, a bivariate Gaussian Mixture Model (GMM) is used to simulate the noise correlation and impulsive characteristics between the two channels. The statistical properties of IKT under this model are thoroughly analyzed, and analytical expressions for the false alarm rate and detection probability in dual-channel Gaussian random signal detection are derived. Monte Carlo simulations and comparisons with the matched filter detector (MFD), which is optimal for Gaussian noise, the polarity coincidence correlator (PCC), known for its robustness against impulsive noise, and the area under the curve (AUC) of the receiver operating characteristic (ROC) curve for KT, are performed. The results show that in the presence of correlated Gaussian noise, IKT achieves approximately a 12.9% improvement in AUC over PCC and a 4.8 % improvement over KT. In the presence of correlated impulsive noise, IKT shows about an 8.3% improvement in AUC over PCC and a 1.6% improvement over KT, thereby validating its superiority.
文章引用:肖芷菁, 赖华东, 徐维超. 脉冲噪声下基于改良Kendall’s Tau的随机信号检测[J]. 图像与信号处理, 2024, 13(4): 427-439. https://doi.org/10.12677/jisp.2024.134037

1. 引言

信号检测是统计信号处理领域的基本问题。在进行信号检测时,首先需要对接收机检测到的样本数据进行处理,并根据预先设定的判定规则确定样本数据是否包含所需的信息。这项技术被广泛应用于雷达、声纳和通信等领域。在早期的信号检测研究中,由于硬件设备和电子技术的限制,研究主要集中在单通道数据上。然而,随着科技的不断进步,数据呈现形式逐渐向多通道(矩阵)发展。例如相控阵雷达[1],多通道水下声纳系统[2]等。因此,信号处理技术也迅速向多通道方向发展。在此背景下,传统的单通道信号检测方法已无法满足实际需求,基于多通道数据的检测理论和算法[3]应运而生。

信号检测的核心任务是利用数学模型模拟真实场景中的噪声过程,并设计相应的检测算法以识别目标信号。目前,已有多种信号检测方案,例如基于循环平稳性的检测[4]、基于特征值的检测[5]、基于拟合优度测试的检测[6]等。然而,这些方案大多假设背景噪声是高斯白噪声(White Gaussian Noise,简称WGN)。在实际信号检测中,由于硬件设备的辐射干扰和环境噪声的干扰,背景噪声通常具有脉冲性和通道间的相关性。因此,在实际应用中,需要对含有脉冲性和通道相关性的背景噪声进行更为准确地建模。目前,α-稳定分布[7]模型、Middleton Class A (MCA)分布[8]模型是模拟脉冲噪声数据的常见数学模型。研究表明,作为MCA模型的特例,高斯混合模型(Gaussian Mixture Model,简称GMM)能够很好地近似不同的高斯分量下的α-稳定分布和MCA分布。GMM不仅可以模拟噪声的脉冲性,还能模拟通道间相关性,已成为脉冲噪声模拟领域中最受欢迎的模型之一[9]

随着研究的深入,学者们提出了多种适用于脉冲噪声环境的信号检测器。在已知信号或者背景噪声的先验信息条件下,最优检测器(Optimal Detector,简称OD)、局部最优检测器(Locally Optimal Detector,简称LOD)及局部次优检测器等方法被提出[10]。这些检测器在已知待检信号和背景噪声先验信息的情况下接近最优性能。然而,在实际应用中,获取先验信息通常非常困难。为解决这一问题,研究人员提出了许多不依赖先验信息的检测器,如低阶矩检测器[11]、核检测器[12]和秩相关检测器[13]。低阶矩检测器具有计算简便和定义明确的优势,核检测器能够有效地抑制脉冲噪声中的异常值,减小其对检测性能的负面影响,但两者通常都需要依赖经验选择参数,其性能表现也较为不稳定。其中,匹配滤波器(Matched Filter Detector,简称MFD)在高斯噪声环境下表现出最优的检测性能,但在脉冲噪声环境下其性能会显著下降,甚至完全失效。其中,极性重合相关器(Polarity Coincidence Correlator,简称PCC)则在脉冲噪声下具备一定的鲁棒性。秩相关检测器是一种基于非参数统计原理的性能优化技术,它利用数据项的相对排序信息替代直接的观测值。其核心优势在于对数据分布的无偏性,使其在处理不符合传统正态分布假设的数据时,仍能保持高度的准确性和可靠性。通过分析秩次信息,该检测器能够精确捕捉变量间的相关性,为信号检测领域提供了一种有效的统计工具,特别适用于对数据分布特性有严格要求的应用场景。此外,该检测器在信号缺失时,因其零分布对杂波类型不敏感,能够确保恒定的虚警概率。肯德尔秩相关系数(Kendall’s Tau,简称KT)检测器是秩相关检测器的典型代表。文献[14]推导了在GMM下KT的数学期望和方差,证明了KT在脉冲噪声环境下比PCC具有更好的鲁棒性。然而,在具有相关性的脉冲噪声环境中,KT的性能仍有待提升。为此,本文对KT检测器进行了改良,增设了可调节阈值功能。用户可以通过调整阈值,有效提高主信号的检测概率,并显著提升接收机工作特性(ROC)曲线下的面积[15]。蒙特卡罗模拟结果表明,只要通道间存在相关性,该检测器在高斯噪声下和脉冲噪声下都优于传统的PCC和KT检测器。本文的后续部分将这种改进后的检测器称为改良肯德尔秩相关系数(Improved Kendall’s Tau, IKT)。

本文其余部分结构如下:第一节介绍双通道信号检测的数学建模,以及IKT、GMM的详细定义,并给出相关的重要引理。第二节推导GMM下IKT的期望和方差的封闭解析形式。第三节建立在随机信号检测中虚警概率和检测概率的表达式。第四节通过蒙特卡罗模拟分析,比较不同阈值下IKT在ROC曲线上的检测性能,以及与MFD、PCC和KT的检测性能的差异。同时对本文的工作进行了总结。

2. 问题形成

2.1. 双通道随机信号数学模型

在信号检测中,采用适当的数学模型对实际场景中的噪声和信号进行建模是实现精确检测的首要步骤。由于信号在产生、传输和接收过程中不可避免地受到干扰和噪声影响,因此实际系统观测到的信号通常是发射信号与干扰噪声的叠加。加性噪声模型是目前描述观测信号的主流模型之一。通常情况下,双通道随机信号检测问题可以表述为:

{ X i = θ 1 S i + Z i ( 1 ) Y i = θ 2 S i + Z i ( 2 ) i=1,2,,n (1)

其中 { X i , Y i } i=1 n n采样时刻的双通道观测信号的集合; θ 1 θ 2 分别对应发送器和接收器之间的信道增益。 S i 为待检测的随机信号,通常为具有服从 N( 0, σ s 2 ) 的独立同分布高斯随机信号。假设 { Z i ( 1 ) , Z i ( 2 ) } 是服从以下GMM分布的噪声对,文献[16]证明其概率密度函数为:

( 1ε )N( μ X , μ Y , σ X 2 , σ Y 2 ,ρ )+εN( μ X , μ Y , λ X 2 σ X 2 , λ Y 2 σ Y 2 , ρ ) (2)

其中 N( μ X , μ Y , σ X 2 , σ Y 2 ,ϱ ) 表示背景噪声中的高斯分量,参数 μ X = μ Y = μ X = μ Y =0 σ X = σ Y =1 0ε1 表示脉冲分量出现的概率, λ X 1( ) λ Y 1( ) 用于模拟脉冲分量的大方差, ρ ρ 分别表示通道间高斯噪声和脉冲噪声的相关性。

对于给定加性噪声模型,双通道信号检测的目标是判断两个通道中高斯信号 { S i } i=1 n 是否存在,即:

{ 0 : θ 1 θ 2 =0 1 : θ 1 θ 2 0

λ X 1( ) λ Y 1( ) 时,文献[17]表明 ( X,Y ) 服从以下分布:

( 1ε )N( μ X , μ Y , θ 1 2 σ s 2 + σ X 2 , θ 2 2 σ s 2 + σ Y 2 ,ϱ )+εN( μ X , μ Y , λ X 2 σ X 2 , λ Y 2 σ Y 2 , ρ ) (3)

其中 ϱ= θ 1 θ 2 σ s 2 +ρ σ X σ Y θ 1 2 σ s 2 + σ X 2 θ 2 2 σ s 2 + σ Y 2 。此时,检测问题可转化为以下二值假设检验:

{ 0 : ϱ=ρ 1 : ϱ= θ 1 θ 2 σ s 2 +ρ σ X σ Y θ 1 2 σ s 2 + σ X 2 θ 2 2 σ s 2 + σ Y 2 (4)

2.2. IKT的定义

{ X i , Y i } i=1 n 表示从具有连续联合分布的二元总体中提取的n组独立同分布数据对。IKT定义如下:

T IKT i=i n j=1 n F( X i X j )F( Y i Y j ) n( n1 ) (5)

其中:

F( x )={ 1 x>h 0 hxh 1 x<h (6)

0h< 为阈值参数。当 h=0 时, F( x ) 将为退化为符号函数, T IKT 将退化为KT。

2.3. 重要引理

引理1:令 ξ ~N( ν , δ 2 ),=1,2,3,4 表示四个相互独立的正态随机变量。为了简便表示,进一步定义:

ν 12 ν 1 ν 2 , ν 34 ν 3 ν 4 , δ 12 2 δ 1 2 + δ 2 2 2cov( ξ 1 , ξ 2 ), δ 34 2 δ 3 2 + δ 4 2 2cov( ξ 3 , ξ 4 ), Δ ξ 12 ξ 1 ξ 2 ,Δ ξ 34 ξ 3 ξ 4 cov 1234 cov( ξ 1 , ξ 3 )cov( ξ 1 , ξ 4 )cov( ξ 2 , ξ 3 )cov( ξ 2 , ξ 4 ) (7)

文献[18]推导了下面结果:

E[ H( Δ ξ 12 )H( Δ ξ 34 ) ]=Ψ( ν 12 δ 12 , ν 34 δ 34 , co ν 1234 δ 12 δ 34 ) (8)

引理2:根据谢泼德定理和文献[18]的推导结论有:

Ψ( 0,0,ρ )= 1 4 + 1 2π arcsinρ (9)

3. GMM下IKT的统计性质

IKT的均值和方差

定理1:假设 { X i , Y i } i=1 n 为模型(1)生成的独立同分布的样本。令: S 1 2 sin 1 ( ρ ) π S 2 =Ψ( h 2 θ 1 2 σ s 2 + σ X 2 , h 2 θ 2 2 σ s 2 + σ Y 2 ,ρ ) S 3 =Ψ( h 2 θ 1 2 σ s 2 + σ X 2 , h 2 θ 2 2 σ s 2 + σ Y 2 ,ρ )

S 4 =Ψ( h 2 θ 1 2 σ s 2 + σ X 2 , h 2 θ 2 2 σ s 2 + σ Y 2 ,ρ )

λ X λ Y 时,IKT的均值和方差如下:

E( T IKT )= ( 1ε ) 2 ( S 2 +2 S 3 + S 4 )+ε( 2ε )( 1+ S 1 )1 (10)

V( T IKT )= 1 n 2 ( n1 ) 2 α l β l i=1 352 ϕ( ( μ/σ ) i , R l ) [ ( 1ε ) 2 ( S 2 +2 S 3 + S 4 )+ε( 2ε )( 1+ S 1 ) ] 2 (11)

其中 ϕ 为四元高斯累积分布函数, μ/σ 为四元正态随机变量标准化后行向量, R 为四元正态分布相关矩阵, α l β l 为相应加权因子,具体数值如表1表2所示, li( mod22 )

定理1证明:

根据式(6)中 F( x ) 和阶跃函数 H( x ) 的关系:

F( x )=H( x+h )+H( xh )1 (12)

代入式(5)化简可得:

T IKT = A 1 + A 2 + A 3 + A 4 1 (13)

其中:

A 1 = 1 n( n1 ) i=1 n ji=1 n H( X i X j +h )H( Y i Y j +h )

A 2 = 1 n( n1 ) i=1 n ji=1 n H( X i X j +h )H( Y i Y j h )

A 3 = 1 n( n1 ) i=1 n ji=1 n H( X i X j h )H( Y i Y j +h )

A 4 = 1 n( n1 ) i=1 n ji=1 n H( X i X j h )H( Y i Y j h )

由上式可得:

E( T IKT )=E( A 1 )+E( A 2 )+E( A 3 )+E( A 4 )1 (14)

根据独立同分布假设,定义 φ( x 1 , y 1 , x 2 , y 2 ) ( X 1 , Y 1 , X 2 , Y 2 ) 的联合概率密度函数,满足下式:

φ=[ ( 1ε ) ϕ 1 +ε ψ 1 ][ ( 1ε ) ϕ 2 +ε ψ 2 ] = ( 1ε ) 2 ϕ 1 ϕ 2 +ε( 1ε ) ϕ 1 ψ 2 +ε( 1ε ) ϕ 2 ψ 1 + ε 2 ψ 1 ψ 2 (15)

其中 ϕ ψ 分别表示式(3)中第一个和第二个正态分布的概率密度函数。令 φ 1 = ϕ 1 ϕ 2 φ 2 = ϕ 1 ψ 2 φ 3 = ϕ 2 ψ 1 φ 4 = ψ 1 ψ 2 ,且:

U X 1 X 2 +h V( X 1 X 2 +h ) ,V Y 1 Y 2 +h V( Y 1 Y 2 +h ) (16)

四个随机变量 ( φ 1 , φ 2 , φ 3 , φ 4 ) ( U,V ) 分别服从四个正态二元分布,相关系数分别为:

ϱ 1 =ρ ϱ 1 = ϱ 3 = ρ+ λ X λ Y ρ 1+ λ X 2 1+ λ Y 2 ρ ϱ 4 = ρ (17)

其中 λ X 1( ) λ Y 1( ) ρ ρ 为式(2)中噪声间相关性。

Table 1. As λ X and λ Y approaches infinity, the required amount of E( A 1 A 1 ) increases

1. λ X λ Y 趋近于无穷大时 E( A 1 A 1 ) 的所需量

代表项

相关系数矩阵( p )

C.M . 1

β

α

ξ 1

ξ 2

ξ 3

ξ 4

ϱ 12

ϱ 13

ϱ 14

ϱ 23

ϱ 24

ϱ 34

1

R1

( 1ε ) 2

n [ 2 ]

ς X 1 ς X 2

ς Y 1 ς Y 2

ς X 1 ς X 2

ς Y 1 ς Y 2

ρ

1

ρ

ρ

1

ρ

2

R2

ε 2

n [ 2 ]

ζ X 1 ζ X 2

ζ Y 1 ζ Y 2

ζ X 1 ζ X 2

ζ Y 1 ζ Y 2

ρ

1

ρ

ρ

1

ρ

3

R3

ε( 1ε )

2 n [ 2 ]

ς X 1 ζ X 2

ς Y 1 ζ Y 2

ς X 1 ζ X 2

ς Y 1 ζ Y 2

ρ

1

ρ

ρ

1

ρ

4

R4

( 1ε ) 2

n [ 2 ]

ς X 1 ς X 2

ς Y 1 ς Y 2

ς X 2 ς X 1

ς Y 2 ς Y 1

ρ

-1

ρ

ρ

-1

ρ

5

R5

ε 2

n [ 2 ]

ζ X 1 ζ X 2

ζ Y 1 ζ Y 2

ζ X 2 ζ X 1

ζ Y 2 ζ Y 1

ρ

-1

ρ

ρ

-1

ρ

6

R6

ε( 1ε )

2 n [ 2 ]

ς X 1 ζ X 2

ς Y 1 ζ Y 2

ς X 2 ζ X 1

ς Y 2 ζ Y 1

ρ

-1

ρ

ρ

-1

ρ

7

R7

( 1ε ) 3

2 n [ 3 ]

ς X 1 ς X 2

ς Y 1 ς Y 2

ς X 3 ς X 1

ς Y 3 ς Y 1

ρ

1 2

ρ 2

ρ 2

1 2

ρ

8

R8

ε 2

2 n [ 3 ]

ζ X 1 ζ X 2

ζ Y 1 ζ Y 2

ζ X 3 ζ X 1

ζ Y 3 ζ Y 1

ρ

1 2

ρ 2

ρ 2

1 2

ρ

9

R9

( 1ε ) 2 ε

2 n [ 3 ]

ς X 1 ζ X 2

ς Y 1 ζ Y 2

ς X 3 ζ X 1

ς Y 3 ζ Y 1

ρ

-1

ρ

ρ

-1

ρ

10

R10

( 1ε ) 2 ε

8 n [ 3 ]

ς X 1 ζ X 2

ς Y 1 ζ Y 2

ς X 3 ς X 1

ς Y 3 ς Y 1

ρ

0

0

0

0

ρ

11

R11

( 1ε ) ε 2

4 n [ 3 ]

ς X 1 ζ X 2

ς Y 1 ζ Y 2

ζ X 3 ς X 1

ζ Y 3 ς Y 1

ρ

0

0

0

0

ρ

12

R12

( 1ε ) ε 2

4 n [ 3 ]

ζ X 1 ς X 2

ζ Y 1 ς Y 2

ζ X 3 ζ X 1

ζ Y 3 ζ Y 1

ρ

1 2

ρ 2

ρ 2

1 2

ρ

13

R13

( 1ε ) 3

2 n [ 3 ]

ς X 1 ς X 2

ς Y 1 ς Y 2

ς X 1 ς X 3

ς Y 1 ς Y 3

ρ

1 2

ρ 2

ρ 2

1 2

ρ

14

R14

ε 2

2 n [ 3 ]

ζ X 1 ζ X 2

ζ Y 1 ζ Y 2

ζ X 1 ζ X 3

ζ Y 1 ζ Y 3

ρ

1 2

ρ 2

ρ 2

1 2

ρ

15

R15

( 1ε ) 2 ε

2 n [ 3 ]

ζ X 1 ς X 2

ζ Y 1 ς Y 2

ζ X 1 ς X 3

ζ Y 1 ς Y 3

ρ

1

ρ

ρ

1

ρ

16

R16

( 1ε ) ε 2

4 n [ 3 ]

ζ X 1 ς X 2

ζ Y 1 ς Y 2

ζ X 1 ζ X 3

ζ Y 1 ζ Y 3

ρ

1 2

ρ 2

ρ 2

1 2

ρ

17

R17

( 1ε ) 4

n [ 4 ]

ς X 1 ς X 2

ς Y 1 ς Y 2

ς X 3 ς X 4

ς Y 3 ς Y 4

ρ

0

0

0

0

ρ

18

R18

ε 4

n [ 4 ]

ζ X 1 ζ X 2

ζ Y 1 ζ Y 2

ζ X 3 ζ X 4

ζ Y 3 ζ Y 4

ρ

0

0

0

0

ρ

19

R19

( 1ε ) 3 ε

4 n [ 4 ]

ζ X 1 ς X 2

ζ Y 1 ς Y 2

ς X 3 ς X 4

ς Y 3 ς Y 4

ρ

0

0

0

0

ρ

20

R20

( 1ε ) ε 3

4 n [ 4 ]

ς X 1 ζ X 2

ς Y 1 ζ Y 2

ζ X 3 ζ X 4

ζ Y 3 ζ Y 4

ρ

0

0

0

0

ρ

21

R21

( 1ε ) 2 ε 2

2 n [ 4 ]

ζ X 1 ζ X 2

ζ Y 1 ζ Y 2

ς X 3 ς X 4

ς Y 3 ς Y 4

ρ

0

0

0

0

ρ

22

R22

( 1ε ) 2 ε 2

4 n [ 4 ]

ζ X 1 ς X 2

ζ Y 1 ς Y 2

ζ X 3 ς X 4

ζ Y 3 ς Y 4

ρ

0

0

0

0

ρ

注: C.M . 1 是相关矩阵的缩写。符号 R 表示相关矩阵 R ( ϱ rs ) 4×4 ϱ rs corr( ξ r , ξ s ) ς 表示由式(3)的高斯分量产生, ζ 表示由式(3)的脉冲分量产生, n [ 2 ] =( n1 )n n [ 3 ] =( n2 )( n1 )n n [ 4 ] =( n3 )( n2 )( n1 )n

由式(16)和式(17)可得:

E( A 1 )= ( 1ε ) 2 E 1 +ε( 1ε ) E 2 +ε( 1ε ) E 3 + ε 2 E 4 (18)

λ x λ y 时,根据式(9)和式(14)可得:

E 1 =E[ H( X i X j +h )H( Y i Y j +h ) ]=Ψ( h 2 θ 1 2 σ s 2 + σ X 2 , h 2 θ 2 2 σ s 2 + σ Y 2 ,ρ )

E 2 =E[ H( X i X j +h )H( Y i Y j +h ) ] =Ψ( h 2 θ 1 2 σ s 2 + σ X 2 + λ X 2 σ X 2 , h 2 θ 2 2 σ s 2 + σ Y 2 + λ Y 2 σ Y 2 , ρ ) =Ψ( 0,0, ρ )= 1 4 + 1 2π arcsin ρ

E 3 =E[ H( X i X j +h )H( Y i Y j +h ) ] =Ψ( h 2 θ 1 2 σ s 2 + σ X 2 + λ X 2 σ X 2 , h 2 θ 2 2 σ s 2 + σ Y 2 + λ Y 2 σ Y 2 , ρ ) =Ψ( 0,0, ρ )= 1 4 + 1 2π arcsin ρ

E 4 =E[ H( X i X j +h )H( Y i Y j +h ) ]=Ψ( h 2 λ x σ x , h 2 λ y σ y , ρ )=Ψ( 0,0, ρ )= 1 4 + 1 2π arcsin ρ

其中 Ψ( ) 为二元高斯累积分布函数。

A 2 , A 3 , A 4 A 1 只有 E 1 不同,分别为:

Ψ( h 2 θ 1 2 σ s 2 + σ X 2 , h 2 θ 2 2 σ s 2 + σ Y 2 ,ρ ) Ψ( h 2 θ 1 2 σ s 2 + σ X 2 , h 2 θ 2 2 σ s 2 + σ Y 2 ,ρ )

Ψ( h 2 θ 1 2 σ s 2 + σ X 2 , h 2 θ 1 2 σ s 2 + σ X 2 ,ρ )

类似地,分别求出 E( A 2 ),E( A 3 ),E( A 4 ) 代入式(14)化简可得式(10)。

根据方差的定义:

V( T IKT )=V( A 1 + A 2 + A 3 + A 4 1 ) =V( A 1 + A 2 + A 3 + A 4 ) =E ( A 1 + A 2 + A 3 + A 4 ) 2 E 2 ( A 1 + A 2 + A 3 + A 4 ) (19)

其中: H 1 =E ( A 1 + A 2 + A 3 + A 4 ) 2 H 2 = E 2 ( A 1 + A 2 + A 3 + A 4 )

对于 H 1 有:

H 1 =E[ ( A 1 + A 2 + A 3 + A 4 )( A 1 + A 2 + A 3 + A 4 ) ] =E [ A 1 A 1 + A 1 A 2 + A 1 A 3 + A 1 A 4 + A 2 A 1 + A 2 A 2 + A 2 A 3 + A 2 A 4 + A 3 A 1 + A 3 A 2 + A 3 A 3 + A 3 A 4 + A 4 A 1 + A 4 A 2 + A 4 A 3 + A 4 A 4 ] (20)

对于 H 2 有:

H 2 = E 2 ( A 1 + A 2 + A 3 + A 4 )= [ E( T IKT )+1 ] 2 (21)

根据均值可求得 H 2 ,现只需要求 H 1 。以 E( A 1 A 1 ) 为例,令:

H ijh H( X i X j +h ) , L ijh H( Y i Y j +h )

基于独立同分布假设,可以将 E( A 1 A 1 ) 展开为:

E( A 1 A 1 )= n n ij=1 n n kl=1 E( H ijh L ijh H klh L klh ) = n [ 2 ] E( H 12h 2 L 12h 2 )+ n [ 2 ] E( H 12h L 12h H 21h L 21h ) = n [ 3 ] E( H 12h L 12h H 13h L 13h )+ n [ 3 ] E( H 12h L 12h H 32h L 32h ) =2 n [ 3 ] E( H 12h L 12h H 31h L 31h )+ n [ 4 ] E( H 12h L 12h H 34h L 34h )

其中: n [ 2 ] =( n1 )n n [ 3 ] =( n2 )( n1 )n n [ 4 ] =( n3 )( n2 )( n1 )n

显然, E( A 1 A 1 ) E[ H( ξ 1 )H( ξ 2 )H( ξ 3 )H( ξ 4 ) ] 形式的项的四重求和,可以改写为22个四变量正交概率的线性组合,即:

P 4 0 ( R )Pr( ξ 1 >0, ξ 2 >0, ξ 3 >0, ξ 4 >0 ) (22)">

进一步地,根据概率密度函数定义有:

Pr( ξ 1 >0, ξ 2 >0, ξ 3 >0, ξ 4 >0 )=ϕ( ( μ/σ ),R ) (23)">

则:

E( A 1 A 1 )= i=1 22 α l β l ϕ( ( μ/σ ) i , R l ) (24)">

其中 li( mod22 ) β l 为相应的加权常数因子、 α l 为加权子集基数, R l 为四元正态分布相关矩阵,取值如表1所示。 μ/σ 取值如表2所示。同理对于 H 1 中的其他项,表1相同,只有表2中的均值项不同,由此可求得 E( A 1 A 2 ) 等项概率和,代入式(10),结合式(19)和式(21)化简可得式(11)。

4. 虚警概率和检测概率表达式

虚警概率和检测概率表达式推导

根据中心极限定理,当样本量足够大时, T IKT 分布近似为正态分布。因此,给定检测阈值 τ ,虚警概率和检测概率如下式:

P f =Pr( T IKT >τ| 0 )=Q( τ v 0 ς 0 ) (25)

P d =Pr( T IKT >τ| 1 )=Q( τ v 1 ς 1 ) (26)

其中, v 0 ς 0 为零假设下 T IKT 的均值和方差; v 1 ς 1 为备择假设下 T IKT 的均值和方差;高斯累积分布函数 Q 定义为:

Q( t ) t e w 2 2 dw (27)

若规定虚警概率 P f ,则可通过式(25)求得相应的阈值 η IKT 为:

η IKT = v 0 + ς 0 Q 1 ( P f ) (28)">

通过式(26)进一步计算相应的检测概率 P d 为:

P d Pr( T IKT >η )Q( η IKT v 1 ς 1 ) (29)">

5. 数值实验与结论

5.1. 数值实验

Table 2. E( A 1 A 1 ) represents the values of the quadrivariate standard normal row vector

2. E( A 1 A 1 ) 代表项对应的四元正态变量标准化行向量的值

代表项

均值 μ

标准差 σ

R1

h

h

h

h

2 θ 1 2 σ s 2 + σ X 2

2 θ 2 2 σ s 2 + σ Y 2

2 θ 1 2 σ s 2 + σ X 2

2 θ 2 2 σ s 2 + σ Y 2

R2

h

h

h

h

2 λ X σ X

2 λ Y σ Y

2 λ X σ X

2 λ Y σ Y

R3

h

h

h

h

θ 1 2 σ s 2 + σ X 2 + λ X 2 σ X 2

θ 2 2 σ s 2 + σ Y 2 + λ Y 2 σ Y 2

θ 1 2 σ s 2 + σ X 2 + λ X 2 σ X 2

θ 2 2 σ s 2 + σ Y 2 + λ Y 2 σ Y 2

R4

h

h

h

h

2 θ 1 2 σ s 2 + σ X 2

2 θ 2 2 σ s 2 + σ Y 2

2 θ 1 2 σ s 2 + σ X 2

2 θ 2 2 σ s 2 + σ Y 2

R5

h

h

h

h

2 λ X σ X

2 λ Y σ Y

2 λ X σ X

2 λ Y σ Y

R6

h

h

h

h

θ 1 2 σ s 2 + σ X 2 + λ X 2 σ X 2

θ 2 2 σ s 2 + σ Y 2 + λ Y 2 σ Y 2

θ 1 2 σ s 2 + σ X 2 + λ X 2 σ X 2

θ 2 2 σ s 2 + σ Y 2 + λ Y 2 σ Y 2

R7

h

h

h

h

2 θ 1 2 σ s 2 + σ X 2

2 θ 2 2 σ s 2 + σ Y 2

2 θ 1 2 σ s 2 + σ X 2

2 θ 2 2 σ s 2 + σ Y 2

R8

h

h

h

h

2 λ X σ X

2 λ Y σ Y

2 λ X σ X

2 λ Y σ Y

R9

h

h

h

h

θ 1 2 σ s 2 + σ X 2 + λ X 2 σ X 2

θ 2 2 σ s 2 + σ Y 2 + λ Y 2 σ Y 2

θ 1 2 σ s 2 + σ X 2 + λ X 2 σ X 2

θ 2 2 σ s 2 + σ Y 2 + λ Y 2 σ Y 2

R10

h

h

h

h

θ 1 2 σ s 2 + σ X 2 + λ X 2 σ X 2

θ 2 2 σ s 2 + σ Y 2 + λ Y 2 σ Y 2

θ 1 2 σ s 2 + σ X 2 + λ X 2 σ X 2

θ 2 2 σ s 2 + σ Y 2 + λ Y 2 σ Y 2

R11

h

h

h

h

θ 1 2 σ s 2 + σ X 2 + λ X 2 σ X 2

θ 2 2 σ s 2 + σ Y 2 + λ Y 2 σ Y 2

θ 1 2 σ s 2 + σ X 2 + λ X 2 σ X 2

θ 2 2 σ s 2 + σ Y 2 + λ Y 2 σ Y 2

R12

h

h

h

h

θ 1 2 σ s 2 + σ X 2 + λ X 2 σ X 2

θ 2 2 σ s 2 + σ Y 2 + λ Y 2 σ Y 2

2 λ X σ X

2 λ Y σ Y

R13

h

h

h

h

2 θ 1 2 σ s 2 + σ X 2

2 θ 2 2 σ s 2 + σ Y 2

2 θ 1 2 σ s 2 + σ X 2

2 θ 2 2 σ s 2 + σ Y 2

R14

h

h

h

h

2 λ X σ X

2 λ Y σ Y

2 λ X σ X

2 λ Y σ Y

R15

h

h

h

h

θ 1 2 σ s 2 + σ X 2 + λ X 2 σ X 2

θ 2 2 σ s 2 + σ Y 2 + λ Y 2 σ Y 2

θ 1 2 σ s 2 + σ X 2 + λ X 2 σ X 2

θ 2 2 σ s 2 + σ Y 2 + λ Y 2 σ Y 2

R16

h

h

h

h

θ 1 2 σ s 2 + σ X 2 + λ X 2 σ X 2

θ 2 2 σ s 2 + σ Y 2 + λ Y 2 σ Y 2

2 λ X σ X

2 λ Y σ Y

R17

h

h

h

h

2 θ 1 2 σ s 2 + σ X 2

2 θ 2 2 σ s 2 + σ Y 2

2 θ 1 2 σ s 2 + σ X 2

2 θ 2 2 σ s 2 + σ Y 2

R18

h

h

h

h

2 λ X σ X

2 λ Y σ Y

2 λ X σ X

2 λ Y σ Y

R19

h

h

h

h

θ 1 2 σ s 2 + σ X 2 + λ X 2 σ X 2

θ 2 2 σ s 2 + σ Y 2 + λ Y 2 σ Y 2

θ 1 2 σ s 2 + σ X 2 + λ X 2 σ X 2

θ 2 2 σ s 2 + σ Y 2 + λ Y 2 σ Y 2

R20

h

h

h

h

θ 1 2 σ s 2 + σ X 2 + λ X 2 σ X 2

θ 2 2 σ s 2 + σ Y 2 + λ Y 2 σ Y 2

2 λ X σ X

2 λ Y σ Y

R21

h

h

h

h

2 λ X σ X

2 λ Y σ Y

θ 1 2 σ s 2 + σ X 2 + λ X 2 σ X 2

θ 2 2 σ s 2 + σ Y 2 + λ Y 2 σ Y 2

R22

h

h

h

h

θ 1 2 σ s 2 + σ X 2 + λ X 2 σ X 2

θ 2 2 σ s 2 + σ Y 2 + λ Y 2 σ Y 2

θ 1 2 σ s 2 + σ X 2 + λ X 2 σ X 2

θ 2 2 σ s 2 + σ Y 2 + λ Y 2 σ Y 2

本节旨在1) 通过蒙特卡罗模拟验证式(10)和式(11)的正确性。2) 在双通道随机信号检测的背景下,比较不同阈值下IKT与KT的ROC曲线。3) 比较IKT、MFD、PCC和KT的ROC曲线,并使用trapz函数计算ROC曲线下面积,以进行量化分析。为了不失一般性,信号采用由标准正态分布生成的高斯信号,噪声的均值为零,脉冲参数 λ X = λ Y = 10 3

图1验证了小样本零假设下定理1的正确性,左边为零假设下均值,右边为零假设下的方差值,其中虚线代表理论值,实心点代表仿真值,实验参数 n=10 ε=0.04 ρ { 0,1 } ρ=0,0.1,,0.9 h=0.6 。由图1可以看出观测值与定理1的理论结果吻合得很好。

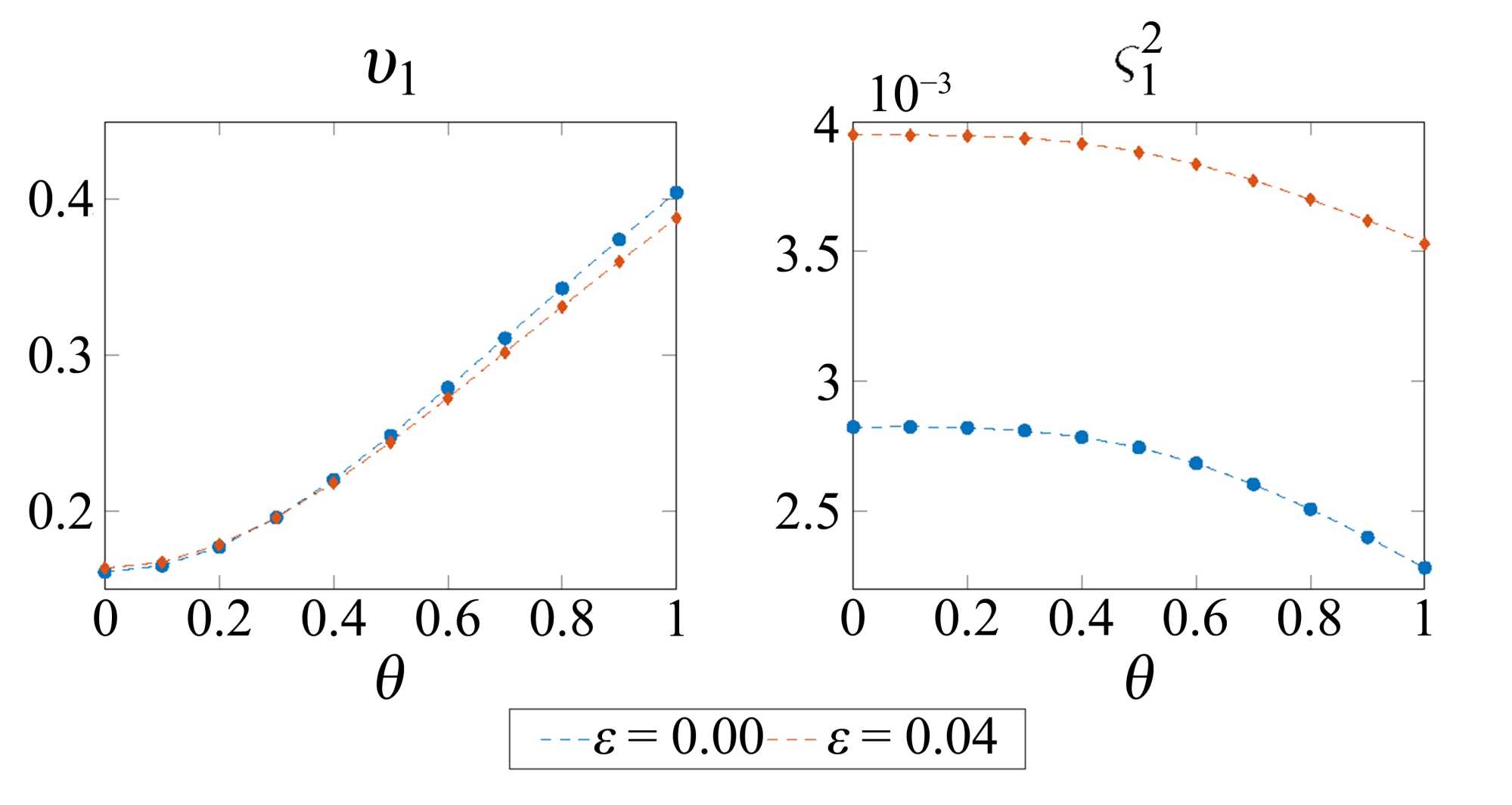
图2验证了大样本备择假设下定理1在模型(1)下的正确性,左边为备择假设下均值,右边为备择假设下的方差值,其中虚线代表理论值,实心点代表仿真值,实验参数 n=100 ε{ 0.00,0.04 } ρ= ρ =0.3 h=0.6 θ 1 = θ 2 =0,0.1,,1.0 。由图2可以观察出观测值与定理1的理论结果吻合得很好。

Figure 1. Verification of Theorem 1 under the null hypothesis

1. 零假设下定理1的验证

Figure 2. Verification of Theorem 1 under the alternative hypothesis

2. 备择假设下定理1的验证

图3为IKT在阈值 h{ 0,0.8 } 下和KT在高斯噪声下ROC曲线比较,其中参数 n=500 ε{ 0.00,0.04 } ρ =0.3 ρ{ 0.3,0.5 } θ 1 = θ 2 =0.3 。由图3可以得出在高斯噪声下IKT的ROC曲线优于KT。

图4为IKT在阈值 h{ 0,0.8 } 下和KT、MFD在脉冲噪声下ROC曲线比较,其中参数 n=500 ε{ 0.00,0.04 } ρ =0.3 ρ{ 0.3,0.5 } θ 1 = θ 2 =0.3 。由图4可以得出在脉冲噪声下MFD完全失效(ROC曲线近似为对角线),IKT的ROC曲线优于KT。

Figure 3. Comparison of ROC Curves under impulsive noise

3. 高斯噪声下ROC曲线比较

Figure 4. Comparison of ROC Curves under mixed gaussian noise

4. 脉冲噪声下ROC曲线比较

图5为IKT在高斯噪声和脉冲噪声环境下与MFD、PCC和KT的ROC曲线比较。左图为高斯噪声下四种检测器的性能比较,右图为脉冲噪声下四种检测器的性能比较。其中参数 n=200 ρ= ρ =0.4 ,左图 h=1 ,右图 h=0.8 ε=0.02 。蒙特卡罗次数为106次,信号强度为 alpha=0.4 。由图5可以得出IKT在含相关性高斯噪声的信号检测中相较于PCC和KT在ROC曲线上的表现有显著提升。在含相关性脉冲噪声的信号检测中,IKT同样优于PCC和KT,进一步验证了其优越性。

表3图5四种检测器通过trapz函数计算ROC曲线下面积(AUC)值。

Table 3. AUC values of the four detectors under Gaussian noise and impulse noise

3. 四种检测器在高斯噪声和脉冲噪声下AUC值

MFD

PCC

KT

KTF

高斯噪声

0.91230

0.74625

0.82743

0.87615

脉冲噪声

0.50025

0.83203

0.90434

0.92030

Figure 5. Comparison of ROC curves for four detectors

5. 四种检测器ROC曲线比较

5.2. 结论

本文基于高斯混合模型(GMM),在KT的基础上引入了硬限幅函数,提出了一种具有可调节阈值的统计量IKT,并建立了IKT均值和方差的封闭表达式,该检测器在脉冲噪声环境下的双通道信号检测中表现出显著的应用价值,并在实际应用中具有广泛的实用性。此外,本文还比较了IKT与PCC、KT和MFD的接收机工作特性(ROC)曲线及其曲线下面积(AUC)方面的表现,探讨了IKT在双通道随机信号检测中的可行性。理论推导和实验结果表明,当噪声存在相关性时,IKT在高斯噪声环境下优于PCC,而在脉冲噪声环境中,其检测性能比MFD、PCC和KT更为出色。这一发现不仅在相关分析领域,尤其在存在脉冲噪声的随机信号检测领域,提供了与经典MFD互补的新方法和新视角。

基金项目

本文研究工作由国家自然科学基金项目(62171141, 2024A1515011803)资助。

NOTES

*通讯作者。

参考文献

[1] Yang, S., Yi, W., Jakobsson, A., Wang, Y. and Xiao, H. (2023) Weak Signal Detection with Low-Bit Quantization in Colocated MIMO Radar. IEEE Transactions on Signal Processing, 71, 447-460.
https://doi.org/10.1109/tsp.2023.3246233
[2] Zhang, L., Huanq, J., Jin, Y., Hau, Y., Jianq, M. and Zhang, Q. (2010) Waveform Diversity Based Sonar System for Target Localization. Journal of Systems Engineering and Electronics, 21, 186-190.
https://doi.org/10.3969/j.issn.1004-4132.2010.02.003
[3] 王旭东, 刘渝. 多通道自相关信号检测算法及其FPGA实现[J]. 仪器仪表学报, 2007, 28(5): 875-881.
[4] Tao, Q., Zhong, C., Chen, X., Lin, H. and Zhang, Z. (2019) Maximum-eigenvalue Detector for Multiple Antenna Ambient Backscatter Communication Systems. IEEE Transactions on Vehicular Technology, 68, 12411-12415.
https://doi.org/10.1109/tvt.2019.2946877
[5] Liu, C., Wang, J., Liu, X. and Liang, Y. (2019) Deep CM-CNN for Spectrum Sensing in Cognitive Radio. IEEE Journal on Selected Areas in Communications, 37, 2306-2321.
https://doi.org/10.1109/jsac.2019.2933892
[6] 李贺, 赵文静, 罗雪松, 刘畅, 邹德岳, 金明录. 基于特征值拟合优度的频谱感知算法研究[J]. 大连理工大学学报, 2020, 60(6): 635-641.
[7] 郑作虎, 王首勇. 基于Alpha稳定分布杂波模型的雷达目标检测方法[J]. 电子与信息学报, 2014, 36(12): 2963-2968.
[8] Kostylev, V. and Gres, I. (2018) Characteristics of p-Norm Signal Detection in Gaussian Mixture Noise. IEEE Transactions on Vehicular Technology, 67, 2973-2981.
https://doi.org/10.1109/tvt.2017.2762244
[9] Sun, L., Cao, Y., Wu, W. and Liu, Y. (2020) A Multi-Target Tracking Algorithm Based on Gaussian Mixture Model. Journal of Systems Engineering and Electronics, 31, 482-487.
https://doi.org/10.23919/jsee.2020.000020
[10] Zhu, X., Wang, T., Bao, Y., Hu, F. and Li, S. (2019) Signal Detection in Generalized Gaussian Distribution Noise with Nakagami Fading Channel. IEEE Access, 7, 23120-23126.
https://doi.org/10.1109/access.2019.2895627
[11] 朱晓梅, 蒋培, 包亚萍. 高斯混合噪声环境中基于分数低阶矩的频谱感知算法研究[J]. 信号处理, 2015, 31(8): 968-974.
[12] Wang, P., Zhang, R., Yan, Y., Hao, D., Huang, N., Wu, Q. and An, Z. (2013) An Acquisition System of Digital Nuclear Signal Processing for Algorithm Development. Nuclear Science and Techniques, 24, 115-121.
[13] Ma, R., Xu, W., Wang, Q. and Chen, W. (2014) Robustness Analysis of Three Classical Correlation Coefficients under Contaminated Gaussian Model. Signal Processing, 104, 51-58.
https://doi.org/10.1016/j.sigpro.2014.04.003
[14] Xu, W., Hou, Y., Hung, Y.S. and Zou, Y. (2013) A Comparative Analysis of Spearman’s Rho and Kendall’s Tau in Normal and Contaminated Normal Models. Signal Processing, 93, 261-276.
https://doi.org/10.1016/j.sigpro.2012.08.005
[15] 王彦光, 朱鸿斌, 徐维超. ROC曲线及其分析方法综述[J]. 广东工业大学学报, 2021, 38(1): 46-53.
[16] Lai, H. and Xu, W. (2019) Statistical Properties of Average Kendall’s Tau under Multivariate Contaminated Gaussian Model. IEEE Access, 7, 159177-159189.
https://doi.org/10.1109/access.2019.2950566
[17] Xu, W., Chen, C., Dai, J., Zhou, Y. and Zhang, Y. (2019) Detection of Known Signals in Additive Impulsive Noise Based on Spearman’s Rho and Kendall’s Tau. Signal Processing, 161, 165-179.
https://doi.org/10.1016/j.sigpro.2019.03.017
[18] 黄海深, 徐维超. 基尼相关在有色噪声中的性能分析[J]. 电子世界, 2021(7): 47-48.