多分支U型井闭式地热开采数值模拟研究
Numerical Simulation Study on Closed-Loop Geothermal Extraction Using Multi-Branch U-Shaped Wells
DOI: 10.12677/jogt.2024.464048, PDF, HTML, XML,  被引量   
作者: 刘 倩:成都理工大学能源学院(页岩气现代产业学院),四川 成都
关键词: 废弃油气井多分支U型井地热开采闭环取热Abandoned Oil and Gas Wells Multi-Branch U-Shaped Well Geothermal Extraction Closed-Loop Heat Extraction
摘要: 本文提出将废弃油井改造为多分支U型井的地热系统,并采用数值模拟方法建立了相关模型,研究了工程注采方案和不同井布参数对采热性能的影响。研究结果表明,随着开采时间的延长,采出温度和取热功率逐渐下降。较高的注入温度能够提升采出温度,但不利于取热功率的提高;增加注入流量虽然降低了采出温度,但显著提高了取热功率。此外,延长长度和增大水平井段间距均有助于提高采出温度和取热功率,在研究范围内的最佳水平段长度为1600 m,最佳水平井段间距为150 m。
Abstract: This study proposes a geothermal system that converts abandoned oil wells into multi-branch U-shaped wells and establishes relevant models using numerical simulation methods to investigate the effects of engineering injection-production schemes and different well layout parameters on heat extraction performance. The results show that as the exploitation time increases, the production temperature and heat extraction power gradually decrease. Higher injection temperatures can increase production temperatures but are not conducive to improving heat extraction power; increasing injection flow rates, while lowering production temperatures, significantly enhances heat extraction power. Additionally, extending the length of horizontal well sections and increasing the spacing between horizontal well sections both contribute to improving production temperatures and heat extraction power. Within the scope of this study, the optimal horizontal section length is 1600 m, and the optimal spacing between horizontal well sections is 150 m.
文章引用:刘倩. 多分支U型井闭式地热开采数值模拟研究[J]. 石油天然气学报, 2024, 46(4): 392-402. https://doi.org/10.12677/jogt.2024.464048

1. 引言

随着化石能源日益减少和环境污染问题日益严峻,地热能作为一种清洁可再生能源,在未来能源结构中将发挥重要作用[1]。我国含油气盆地蕴藏着丰富的地热资源。王社教[2]对中国主要含油气盆地的地热资源进行了量化评估,结果显示总量达3.18 × 1022 J,可采资源量为4.67 × 1019 J/a。同时,油田中存在大量废弃油气井,据统计我国油气田废弃井数量已超过10万口[3]。近年来,学者们提出将这些废弃井改造为地热井以开采地热能,这不仅可减少钻井成本,还能提高油气田资源利用率。

废弃油气井改造取热方式主要分为开式和闭式两种[4]。开式改造技术要求高,需考虑水力压裂效果、地层污染、管道腐蚀等问题[5] [6]。相比之下,闭式改造后的换热工质与储层岩石无直接接触,降低了地层污染风险。目前,废弃油气井多为闭式改造[7]-[12],其改造方式有同轴井筒热交换器和U型管热交换器[13] [14]

然而,常规的闭式取热系统仅能提取井筒附近的热量,取热效率较低。针对这一问题,本研究提出将废弃油气井改造为多分支U型井闭式取热系统,该方法通过增加水平井段数量,扩大换热工质与岩体的接触面积,这不仅可以提高取热效率,还可以降低钻井成本。同时研究采用数值模拟方法,建立多分支U型井管道换热模型,分析注采参数及水平井段分布特征对采热效果的影响,为实际工程应用提供了理论依据。该研究为废弃油气井的再利用提供了新思路,有助于促进油田能源绿色转型,展现了传统能源与清洁技术融合的潜力,为能源产业转型指明新方向。

2. 模型建立

本研究采用COMSOL Multiphysics软件进行建模分析。该软件是基于有限元分析的思想,通过求解偏微分方程或方程组来处理单一或多物理场耦合问题,实现全耦合求解。COMSOL内置了提供了专门分析固体、流体、管道中各种传热问题传热模块,本研究利用非等温管道流和固体传热模块,通过管壁传热建立耦合关系,实现了管道与岩体间的热流耦合模拟。

2.1. 物理模型

废弃油气井改造的多分支U型井系统由两口3000 m深的直井和三条1000 m长的水平井段组成,水平换热井段间距为100 m。换热流体从一侧地面井口注入保温层段,沿井筒流入水平井段与高温岩体进行热交换,最后经另一侧保温层段流出井筒。为简化模型计算,本研究忽略直井保温层段的压力和热量损失,假设水平井段出口温度和压力与地面进出口相同,仅模拟储层水平井段的换热过程。

储层模型尺寸设定为2000 m × 1000 m × 200 m。井型构造包括两口75 m深的直井和三条各1000 m长的水平井段,直井与水平井之间通过两段半径25 m的圆弧连接,三条水平井则由四段半径100 m的圆弧相互连接,如图1所示。模型同时考虑了井段的套管和水泥固井结构,以更准确地模拟实际情况。这种多分支U型井设计旨在通过增加水平井段数量,扩大换热工质与岩体的接触面积,从而提高整体取热效果。

Figure 1. Physical model

1. 物理模型

2.2. 基本假设

本研究对多分支U型井闭式地热系统进行数值模拟研究,为简化计算过程,模型作出假设:

(1) 地层、套管和水泥环的热物理性质恒定,不随温度和压力变化,且呈各向同性;

(2) 水泥环与地层之间,以及套管与水泥环之间均保持良好接触;

(3) 井筒内流体呈一维流动,忽略径向温度梯度;

(4) 岩体与管壁之间仅考虑热传导,不考虑热对流;

(5) 采用水作为换热工质,在整个过程中水始终保持液态。

2.3. 控制方程

管道内流体流动的动量方程和连续性方程为[15]

ρ w u t + ρ w uu=p f D ρ w 2 d h u| u |+F (1)

A ρ w t +( A ρ w u )=0 (2)

式中, ρ w 为水的密度,kg/m3 u 为横截面的平均速度; F 为重力,N/m3 A 为井筒的横截面积,m2。式(1)右侧的第二项对应的是由于粘性剪切导致的沿管道压力损失。 f D 为达西摩擦系数,根据丘吉尔的模型[16]

f D =8 [ ( 8 Re ) 12 + ( A+B ) 1.5 ] 1/12 (3)

A= [ 2.457ln( ( 7 Re ) 0.9 +0.27( e/d ) ) ] 16 (4)

B= ( 37530 Re ) 16 (5)

式中,Re为雷诺数; A B 是经验常数; e 为管道内表面粗糙度,取值为0.046 mm。

储层中岩体的热传导表示为[17]

ρ s c p,s T t ( k s T )=Q (6)

式中, ρ s 为岩石的密度,kg/m3 c p,s 为是岩石的比热,J/(kg∙K); T 为温度,K; k s 为岩石的导热系数,W/(m∙K); Q 为热源,kg/(m3∙s)。

管道内流体流动的能量方程为[18]

ρ w A c p,w T t + ρ w A c p,w uT=A k w T+ f D ρ w A 2 d h | u | 3 +Q+ Q wall  (7)

式中, c p,w 为水的恒压热容,J/(kg·K); k w 为水的导热系数,W/(m⋅k); Q 为井筒内热源,W/m; Q wall  为井筒壁单位长度的热流率,W/m; d h 为井筒直径,m。

管道壁岩体之间的热传导表示为[18]

Q wall  = ( hZ ) eff  ( T s  T w ) (8)

( hZ ) eff = 2π 1 r 0 h int  + 1 r N h ext + n=1 N ln r n r n1 k n (9)

式中, T s 为岩体温度,K; T w 为管道中流体温度,K; ( hZ ) eff 为换热系数的有效值; r 0 为井筒的内半径,m; r N 为套筒的外半径,m; h int  为井筒内部膜换热系数,W/(m2·K); h ext 为井筒外部膜换热系数,W/(m2·K); k n 为井筒中管壁的导热系数。

由于水在换热管道中流动时,会被周围高温岩体加热,温度逐渐升高,水的部分性质会发生改变,其变化规律如下所示[19]

水的密度:

ρ w ={ 1000×( 1 ( T3.98 ) 2 503570 × T+283 T+67.26 ),0˚CT20˚C 996.9×( 13.7× 10 4 ( T25 ) 2.56× 10 6 ( T25 ) 2 ),20˚CT250˚C (10)

水的动力粘度:

μ w ={ 10 3 × ( 1+0.015512( T20 ) ) 1.572 ,0˚CT100˚C 0.2414× 10 ( 247.8 T+133.15 ) ,100˚CT300˚C (11)

水的比热容:

c w =1201080.4( T+275.15 )+0.3 ( T+273.25 ) 2        5.4× 10 4 ( T+273.15 ) 3 +3.6× 10 7 ( T+273.15 ) 4 ,0˚CT 280 ° C (12)

水的导热系数:

k w =0.8691+0.0089( T+275.15 )1.5837× 10 7 ( T+273.25 ) 2          +7.9754× 10 9 ( T+273.15 ) 3 ,0˚CT280˚C (13)

2.4. 初始及边界条件

本研究采用水作为多分支U型井的换热工质,注入温度设定为40℃,注入体积流量为500 m3/d,采出井口采用定压开采方式,压力设为101.325 kPa。模型边界条件设置如下:底部作为热源边界,温度为120℃;四周和顶部设为绝热边界,无热量传递。热储模型的基本参数如表1所示。

Table 1. Basic parameters of the model

1. 模型基本参数

参数

单位

数值

参数

单位

数值

储层温度

120

套管厚度

mm

9.19

储层密度

kg/m3

2300

固井水泥厚度

mm

20

储层热容

J/(kg∙K)

800

套管导热系数

W/(m∙K)

42.2

储层导热系数

W/(m∙K)

2.5

水泥导热系数

W/(m∙K)

1.6

套管外径

mm

177.8

管道表面粗糙度

mm

0.046

2.5. 网格剖分

在废弃油气井改造的多分支U型井模型网格剖分过程中,将水泥固井部分和管道集成为一体,并对这一整合结构采用预定义的极细化网格加密处理,对于岩体部分,使用超细的自由四面体网格进行划分,网格数量为32594个,网格划分结果如图2所示。

Figure 2. Grid generation

2. 网格剖分

2.6. 计算结果分析

基于先前设定的参数,本研究对多分支U型井在30年开发期内的取热情况进行了模拟,模拟结果中的采出温度和取热功率如图3所示。其中,取热功率反映了地热采出量,用于描述换热工质与地层之间的热交换程度。取热功率的计算公式如下[20]

P= q out  ρ w C p,w ( T out  T in  )× 10 3 (14)

式中, P 为取热功率,kW; q out  为采出井口流量,m3/s; T out  为采出温度,℃; T in  为注入温度,℃。

图3可以看出,随着开采时间的延长,采出温度和取热功率均呈现下降趋势。在30年的开采期内,系统的最高采出温度达到117℃,最高取热功率为1949 kW。采出温度和取热功率随时间推移逐步下降,在开采第1年、第5年、第10年、第20年和第30年的采出温度分别为94℃、82℃、78℃、75℃和73℃,取热功率为1351 kW、1041 kW、946 kW、867 kW、822 kW。这一趋势可分为两个阶段:开采初期,由于岩体温度较高,岩体与注入冷水之间存在较大的温差,冷水在换热过程中吸收大量热量,因此,此阶段的采出温度和取热功率较高,但采出温度的下降速度也相对较快;随着开采时间的延长,围岩温度逐渐降低,冷水与岩体之间的温差随之减小,冷水带走的热量减少,使得采出温度和取热功率的下降速度变得相对缓慢。

Figure 3. Changes of outlet temperature and heating power over time

3. 出口温度和取热功率随时间的变化

Figure 4. Changes of horizontal well plane temperature field after production

4. 开采后水平井段平面温度场变化

图4展示了模型水平井段平面的温度场随时间的变化。从图中可以看到,随着开采时间的延长,井筒四周岩体的温度逐渐下降,同时温度影响范围也在不断扩大。这一温度场变化可分为两个阶段:初期,热量主要从井筒附近的岩体中提取,温度场变化集中在井筒周围较小的区域内;随着时间推移,热影响范围逐渐向外扩展,导致了更大范围内的温度降低。这种温度场的动态变化直接影响了采出温度,导致其持续下降。

3. 讨论及分析

为深入研究多分支U型井地热系统开发规律,本研究对影响地热开采效率的多个关键因素进行了敏感性分析。分析的因素包括注入温度、注入流量、水平井段长度、水平井段间距等。

3.1. 注入温度

本研究选取了20℃、30℃、40℃、50℃、60℃五种注入温度,其他参数保持不变,进行数值模拟,结果如图5所示。模拟结果显示,采出温度与注入温度呈正相关关系。在初始阶段,不同注入温度下的采出温度差异较小,但随着开采时间的延长,注入温度越低,采出温度也越低。相反,注入温度与取热功率呈负相关关系,即注入温度越低,取热功率越高。这是因为较低的注入温度与岩体之间的温差更大,换热过程更加充分,吸收的热量更多。具体而言,当注入温度从20℃增加到60℃时,在第30年时的采出温度分别为61℃、67℃、73℃、79℃和85℃,而对应的取热功率分别为1022、922 kW、822 kW、721 kW和619 kW。综合分析,虽然较高的注入温度有助于提高采出温度,但对提升取热功率不利。

Figure 5. Effect of injection temperature on outlet temperature and heating power

5. 注入温度对出口温度和取热功率的影响

3.2. 注入流量

本研究选择了350 m3/d、500 m3/d、650 m3/d、800 m3/d、950 m3/d五种注入流量,其他参数保持不变,进行数值模拟,结果如图6所示。模拟结果表明,随着注入流量的增加,采出温度逐渐降低,且温度下降速度加快,但取热效率在提升。这是因为在高流量下,注入流体在管道中的流速较快,导致换热不充分,虽然出口温度较低,但总体取热量较高。具体而言,当注入流量从350 m3/d增加到950 m3/d时,第30年的采出温度分别降至83℃、73℃、67℃、63℃和60℃,而对应的取热功率分别为747 kW、822 kW、867 kW、896 kW和918 kW。综合分析,较低的注入流量虽然能够保证较高的采出温度,但不利于获得较高的取热功率。

Figure 6. Effect of injection flow rate on outlet temperature and heating power

6. 注入流量对出口温度和取热功率的影响

3.3. 水平井长度

多分支U型井的水平井段是工质换热的关键位置,因此研究水平段长度对采热效果的影响具有重要意义。本研究模拟了800 m、1000 m、1200 m、1400 m、1600 m五种不同水平段长度的多分支U型井,其他参数保持不变,以评估其对采热性能的影响,模拟结果如图7所示。结果表明,采出温度和取热功率均与水平段长度呈正相关关系。这是由于水平段长度的增加扩大了管道与高温岩体的接触面积,从而增大了换热面积。具体而言,当水平段长度从800 m增加到1600 m时,在开采第30年时采出温度分别为67℃、73℃、78℃、82℃和86℃,对应的取热功率分别为675 kW、822 kW、933 kW、1048 kW和1144 kW。综上所述,在其他条件不变的情况下,水平井段越长,采出温度越高,采热能力越强。

Figure 7. Effect of horizontal well length on outlet temperature and heating power

7. 水平井长度对出口温度和取热功率的影响

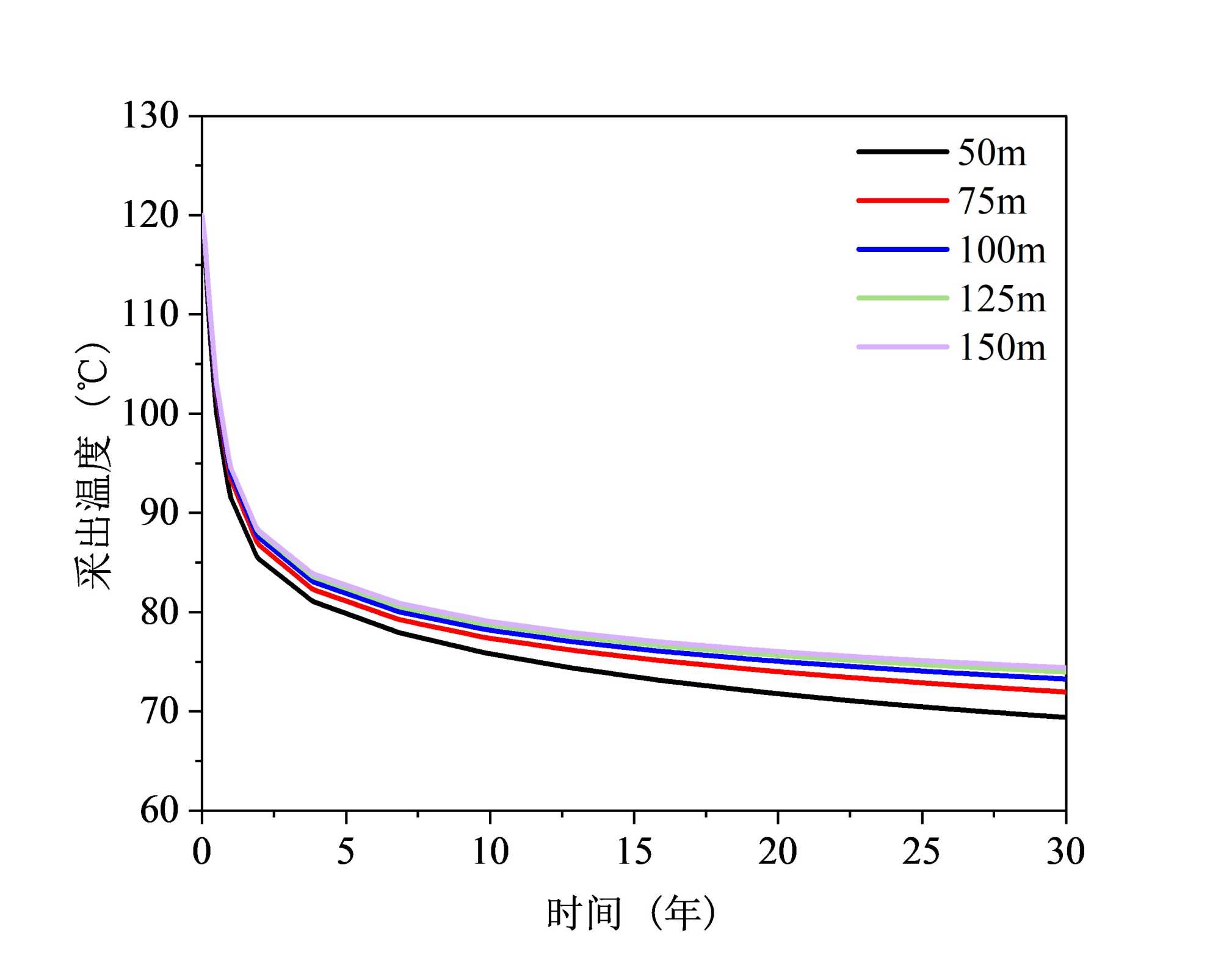
3.4. 水平井段间距

本研究模拟了50 m、75 m、100 m、125 m、150 m五种不同水平井段间距的多分支U型井,其他参数保持不变,模拟结果如图8所示。结果表明,在初始阶段,不同水平井段间距对采出温度和取热功率的影响不大,但随着开采时间的延长,这些影响逐渐显现,采出温度和取热功率均与水平井段间距呈正相关。这是因为较小的水平井段间距会导致相邻水平井段之间的换热过程相互干扰,使水平井段间的岩体发生热突破。具体而言,当水平井段间距从50 m增加到150 m时,在开采第30年的采出温度分别为69℃、72℃、73℃、74℃和74.4℃,对应的取热功率分别为725 kW、790 kW、822 kW、840 kW和851 kW。

Figure 8. Effect of horizontal well spacing on outlet temperature and heating power

8. 水平井段间距对出口温度和取热功率的影响

为清晰分析水平井段换热之间的相互干扰,绘制了不同水平井段间距下水平井段平面温度场的变化情况,如图9所示。由图可见,当水平井段间距为50 m和75 m时,水平井段中间的岩体温度低于其他间距条件下的情况,当开采至第30年时,这些井段间的岩体温度已发生热突破,无法继续有效开采。综合来看,较宽的水平井段间距有利于获得较高的采出温度和取热功率。根据本文的模拟结果,水平井段间距需设置为100 m及以上,才能在开采后期避免发生热突破。

Figure 9. Horizontal section plane temperature field changes under different horizontal section spacing

9. 不同水平井段间距下水平井段平面温度场变化

4. 结论

(1) 在采热过程中,随着开采时间的延长,采出温度和取热功率均呈下降趋势。在基本参数设置下,最高采出温度为117℃,最高取热功率为1979 kW。开采初期,采出温度和取热功率下降较快,随后下降速度逐渐变缓。

(2) 对于注采参数,较高的注入温度有助于提高采出温度,但不利于获得较高的取热功率。随着注入流量的增加,采出温度降低,而取热功率则随之增大。为了提升取热功率,建议采用较低的注入温度和较高的注入流速。本研究范围的最佳注入温度为20℃,最佳注入流量950 m3/d。

(3) 对于井布参数,在其他条件不变的情况下,水平井段越长、水平井段间距越大,采出温度越高,取热能力越强。本研究范围内的最佳水平段长度为1600 m,最佳水平井段间距为150 m。

参考文献

[1] 汪集旸. 地热理应在雾霾治理和南方供暖/制冷中发挥更大的作用[J]. 科技导报, 2015, 33(24): 1.
[2] 王社教, 李峰, 闫家泓, 等. 油田地热资源评价方法及应用[J]. 石油学报, 2020, 41(5): 553.
[3] 宋先知, 许富强, 宋国锋. 废弃井地热能开发技术现状与发展建议[J]. 石油钻探技术, 2020, 48(6): 1-7.
[4] 刘邹炜, 杨明合, 黄琳 等. 废弃井地热能开发工艺与数值模拟研究进展[J]. 太阳能学报, 2023, 44(3): 311-318.
[5] Alimonti, C., Soldo, E., Bocchetti, D. and Berardi, D. (2018) The Wellbore Heat Exchangers: A Technical Review. Renewable Energy, 123, 353-381. [Google Scholar] [CrossRef
[6] Zhang, Y. and Zhao, G. (2019) A Global Review of Deep Geothermal Energy Exploration: From a View of Rock Mechanics and Engineering. Geomechanics and Geophysics for Geo-Energy and Geo-Resources, 6, Article No. 4. [Google Scholar] [CrossRef
[7] Gharibi, S., Mortezazadeh, E., Hashemi Aghcheh Bodi, S.J. and Vatani, A. (2018) Feasibility Study of Geothermal Heat Extraction from Abandoned Oil Wells Using a U-Tube Heat Exchanger. Energy, 153, 554-567. [Google Scholar] [CrossRef
[8] Chappidi, S., Kumar, A. and Singh, J. (2024) Geothermal Energy Extraction Using a Novel Combined Coaxial and U-Shaped Closed-Loop System. Geothermics, 119, Article 102968. [Google Scholar] [CrossRef
[9] Hu, X., Banks, J., Guo, Y. and Liu, W.V. (2021) Retrofitting Abandoned Petroleum Wells as Doublet Deep Borehole Heat Exchangers for Geothermal Energy Production—A Numerical Investigation. Renewable Energy, 176, 115-134. [Google Scholar] [CrossRef
[10] Bu, X., Ma, W. and Li, H. (2012) Geothermal Energy Production Utilizing Abandoned Oil and Gas Wells. Renewable Energy, 41, 80-85. [Google Scholar] [CrossRef
[11] Zhang, L., Yang, L., Geng, S., Wen, R., He, C., Liang, Y., et al. (2022) Numerical Simulation on the Heat Extraction from the Porous Medium-Low Temperature Geothermal Reservoirs by Self-Circulation Wellbore and Its Enhanced Methods. Renewable Energy, 194, 1009-1025. [Google Scholar] [CrossRef
[12] Ma, Y., Li, S., Zhang, L., Liu, S. and Wang, M. (2023) Heat Extraction Performance Evaluation of U-Shaped Well Geothermal Production System under Different Well-Layout Parameters and Engineering Schemes. Renewable Energy, 203, 473-484. [Google Scholar] [CrossRef
[13] Du, D., Li, Y., Wang, K., Zhao, Y., Hu, Z., Zhang, W., et al. (2023) Experimental and Numerical Simulation Research on Heat Transfer Performance of Coaxial Casing Heat Exchanger in 3500m-Deep Geothermal Well in Weihe Basin. Geothermics, 109, Article 102658. [Google Scholar] [CrossRef
[14] Harris, B.E., Lightstone, M.F., Reitsma, S. and Cotton, J.S. (2022) Analysis of the Transient Performance of Coaxial and U-Tube Borehole Heat Exchangers. Geothermics, 101, Article 102319. [Google Scholar] [CrossRef
[15] Barnard, A.C.L., Hunt, W.A., Timlake, W.P. and Varley, E. (1966) A Theory of Fluid Flow in Compliant Tubes. Biophysical Journal, 6, 717-724. [Google Scholar] [CrossRef] [PubMed]
[16] Churchill, S.W. (1977) Friction-Factor Equation Spans All Fluid-Flow Regimes. Chemical Engineering Journal, 84, 91-92.
[17] Liao, Y., Sun, X., Sun, B., Gao, Y. and Wang, Z. (2019) Transient Gas-Liquid-Solid Flow Model with Heat and Mass Transfer for Hydrate Reservoir Drilling. International Journal of Heat and Mass Transfer, 141, 476-486. [Google Scholar] [CrossRef
[18] Lurie, M.V. (2008) Modeling of Oil Product and Gas Pipeline Transportation. Wiley.
[19] Song, X., Shi, Y., Li, G., Yang, R., Wang, G., Zheng, R., et al. (2018) Numerical Simulation of Heat Extraction Performance in Enhanced Geothermal System with Multilateral Wells. Applied Energy, 218, 325-337. [Google Scholar] [CrossRef
[20] Liu, Z., Xu, K., Zhang, Q. and Yang, M. (2022) Numerical Simulation on the Heat Recovery Law of Exploiting Geothermal Energy from a Closed-Loop Geothermal System Converted from an Abandoned Five-Spot Well Pattern. ACS Omega, 7, 41723-41731. [Google Scholar] [CrossRef] [PubMed]