保持函数 e μx ( μ>0 )的Baskakov型算子的逼近性质
Approximation Properties of Baskakov Type Operators Preserving Function e μx ( μ>0 )
DOI: 10.12677/pm.2024.1412405, PDF, HTML, XML,    科研立项经费支持
作者: 董 惠:河北师范大学数学科学学院,河北 石家庄;齐秋兰*:河北师范大学数学科学学院,河北 石家庄;河北省计算数学与应用重点实验室,河北 石家庄
关键词: Baskakov型算子保形性质数值模拟Baskakov Operator Shape Preserving Properties Numerical Simulation
摘要: 本文利用复合的思想,构造了保持函数 e μx ( μ>0 ) 的Baskakov型算子,给出了该类含参算子基函数图像,同时研究了该类算子的保单调性、保凸性、保星形性以及保半可加性。最后,选取适当的函数,利用数学软件绘制出该类算子的逼近效果图像,并给出逼近的均方根误差。
Abstract: In this paper, using the idea of combination, Baskakov operators maintaining the function e μx ( μ>0 ) are constructed. The graphics of their basis functions are given. At the same time, the shape preserving properties of these operators are obtained in terms of monotonicity, convexity, starshapeness and semi-additivity. Finally, choosing the approximation function, the approximation effect image of these kind of operators are drawn by software, and the root mean square error of approximation is obtained.
文章引用:董惠, 齐秋兰. 保持函数 e μx ( μ>0 )的Baskakov型算子的逼近性质[J]. 理论数学, 2024, 14(12): 47-55. https://doi.org/10.12677/pm.2024.1412405

1. 引言

Baskakov算子是Bernstein算子在无穷区间的推广,是用于逼近函数的重要工具,广泛应用于计算机辅助几何设计、积分方程和神经网络等领域。由于Baskakov算子是概率型算子,有关该类算子逼近性质的研究一般采用数学期望以及中心极限定理等概率论相关方法。

算子的保形性质是函数逼近论中的一个重要课题。保形性质包括单调性、凸性、星形性等,对数值分析、插值理论以及曲线曲面的表示和设计等领域非常重要。近年来,很多学者对各种经典算子的保形性质进行了广泛的研究[1]-[6]。1998年,Adell得到了Bernstein型算子具有保持Lipschitz类的性质[5]。2009年,刘生贵用概率的方法研究了Baskakov算子的保形性质[6]。在本文中,我们将利用分析的方法研究保持函数 e μx ( μ>0 ) 的Baskakov型算子的保形性质。近年来,为了提高算子的逼近精度,人们构造了很多新型算子,如King型算子[7]-[13]。2022年,黄婕妤[13]等构造了保持函数 e μx ( μ>0 ) 的Szász型算子 S n μ ( f;x ) ,该算子的定义为:对于 x0 μ>0 f( x )C[ 0, )

S n μ ( f;x )= k=0 f( k n ) e n α n ( x ) ( n α n ( x ) ) k k!

其中

α n ( x )= μx n( 1 e μ n ) , lim n α n ( x )=x.

类似地,保持函数 e μx ( μ>0 ) 的Post-Widder型算子 P n μ ( f;x ) 的定义为:对于 x0 μ>0 f( x )C[ 0, )

P n μ ( f;x )= 1 ( n1 )! 0 f( β n ( x )θ n ) θ n1 e θ dθ

其中

β n ( x )= e μx n 1 μ n , lim n β n ( x )=x.

我们将算子 S n μ ( f;x ) P n μ ( f;x ) 进行复合可以得到保持函数 e μx ( μ>0 ) 的Baskakov型算子 V n μ ( f;x ) ,该算子的定义如下:

定义1.1.对于 x0 μ>0 f( x )C[ 0, ) V n μ ( | f |;x )< θ0

V n μ ( f;x )= P n μ ( S n μ ( f;θ );x )= k=0 f( k n ) ( n+k1 k ) γ n k ( x ) ( 1+ γ n ( x ) ) n+k

其中

γ n ( x )= e μx n 1 1 e μ n , lim n γ n ( x )=x.

该Baskakov型算子 V n μ ( f;x ) 的基函数 v n,k ( x ) 为:

v n,k ( x )=( n+k1 k ) γ n k ( x ) ( 1+ γ n ( x ) ) n+k ,k=0,1,.

随着参数 μ 取不同值,基函数图像见图1

Figure 1. The shape of the basis functions of the new Baskakov operators with different parameters

1. 随着参数取不同值,新Baskakov算子基函数图像

2. 保形性质

C[ 0, ) 表示区间 [ 0, ) 上的连续函数空间; C [ 0, )={ fC[ 0, ): lim x f( x ) }

定理2.1. (保单调性) f( x ), f ( x ) C * [ 0, ) ,则算子 V n μ ( f;x ) 保持函数 f( x ) 的单调性。

证明:由算子 P n μ ( f;x ) 的定义,有

d dx P n μ ( f;x )= 1 ( n1 )! 0 f ( β n ( x )θ n ) θ n n μ e μx n μ n θ n1 e θ dθ = 1 n! e μx n 0 f ( β n ( x )θ n ) θ n e θ dθ . (1)

若函数 f( x ) 单调递增(或减),则有 d dx P n μ ( f;x )0 (或 0 ),即算子 P n μ ( f;x ) 单调递增(或减),因此算子 P n μ ( f;x ) 保持函数 f( x ) 的单调性。结合算子 S n μ ( f;x ) 也保持函数单调性[14],可得结论。

定理2.2. (保凸性) f( x ), f ( x ), f ( x ) C * [ 0, ) ,若函数 f( x ) 单调递增(或减),则算子 V n μ ( f;x ) 保持函数 f( x ) 的下凸(或上凸)性。

证明:我们在算子 P n μ ( f;x ) 一阶导数(1)式的基础上,继续求导,得

d 2 d x 2 P n μ ( f;x )= 1 n! e μx n 0 f ( β n ( x )θ n ) θ n n μ μ n e μx n θ n e θ dθ+ 1 n! e μx n μ n 0 f ( β n ( x )θ n ) θ n e θ dθ = 1 nn! e 2μx n 0 f ( β n ( x )θ n ) θ n+1 e θ dθ + μ nn! e μx n 0 f ( β n ( x )θ n ) θ n e θ dθ .

若函数 f( x ) 下凸且单调递增,则有 f ( x )0 f ( x )0 ,因此 d 2 d x 2 P n μ ( f;x )0 ,即算子 P n μ ( f;x ) 保持 f( x ) 下凸性。类似地,若函数 f( x ) 上凸的且单调递减,则算子 P n μ ( f;x ) 保持 f( x ) 上凸性。又算子 S n μ ( f;x ) 也保持 f( x ) 凸性[14]。因此,算子 V n μ ( f;x ) 保持了函数 f( x ) 的下凸(或上凸)性。

定义2.1. (下半可加性) x 1, x 2 [0,) ,若 f( x 1 + x 2 )f( x 1 )+f( x 2 ) ,则称 f( x ) 是下半可加的。

定理2.3. (保下半可加性) f( x ) C * [ 0, ) ,若函数 f( x ) 是单调递减的,则算子 V n μ ( f;x ) 保持函数 f( x ) 的下半可加性。

证明: x,y[ 0, ) nN ,若函数 f( x ) C * [ 0, ) 单调递减且下半可加性,则有

P n μ ( f;x+y )= 1 ( n1 )! 0 f( β n ( x+y )θ n ) θ n1 e θ dθ = 1 ( n1 )! 0 f( ( e μ( x+y ) n 1 ) μ n θ n ) θ n1 e θ dθ = 1 ( n1 )! 0 f( ( e μ( x+y ) n 1 ) θ μ ) θ n1 e θ dθ 1 ( n1 )! 0 f( ( e μx n 1 ) θ μ +( e μy n 1 ) θ μ ) θ n1 e θ dθ 1 ( n1 )! 0 f( ( e μx n 1 ) θ μ ) θ n1 e θ dθ + 1 ( n1 )! 0 f( ( e μy n 1 ) θ μ ) θ n1 e θ dθ = 1 ( n1 )! 0 f( ( e μx n 1 ) μ n θ n ) θ n1 e θ dθ + 1 ( n1 )! 0 f( ( e μy n 1 ) μ n θ n ) θ n1 e θ dθ = 1 ( n1 )! 0 f( β n ( x )θ n ) θ n1 e θ dθ + 1 ( n1 )! 0 f( β n ( y )θ n ) θ n1 e θ dθ = P n μ ( f;x )+ P n μ ( f;y ),

由此可见, P n μ ( f;x ) [ 0, ) 上是下半可加的。又因为算子 S n μ ( f;x ) 也保持函数 f( x ) 下半可加性[14]。因此,算子 V n μ ( f;x ) 保持了函数 f( x ) 下半可加性。

定义2.2 (星形性) f( x ) 非负连续, x 1 f( x ) ( 0, ) 上不增(或不减)且函数 f( 0 )=0 ,则称 f( x ) 是关于原点的星形函数。

定理2.4. (保星形性)设函数 f( x ) C * [ 0, ) f( 0 )=0 ,若 f( x ) 非负, x 1 f( x ) ( 0, ) 上不减,则对一切 nN x 1 V n μ ( f;x ) ( 0, ) 上也不减;若 f( x ) 非正, x 1 f( x ) ( 0, ) 上不增,则对一切 nN x 1 V n μ ( f;x ) ( 0, ) 上也不增。

证明:根据算子 V n μ ( f;x ) 的定义,有

d dx ( V n μ ( f;x ) x )= k=0 f( k n ) ( n+k1 k ) d dx ( γ n ( x ) x γ n k1 ( x ) ( 1+ γ n ( x ) ) nk ) .

nN ,若 f( x ) 非负并且在 ( 0, ) x 1 f( x ) 是不减的,则有

d dx ( V n μ ( f;x ) x )= k=0 f( k n ) ( n+k1 k ) d dx ( γ n ( x ) x γ n k1 ( x ) ( 1+ γ n ( x ) ) nk ) = k=0 f( k n ) { ( n+k1 )! k!( n1 )! e μx n μx n ( e μx n 1 ) ( 1 e μ n ) x 2 γ n k1 ( x ) ( 1+ γ n ( x ) ) nk + e μx n 1 e μ n μ n γ n ( x ) x ( n+k1 )! k!( n1 )! ( k1 ) γ n k2 ( x ) ( 1+ γ n ( x ) ) nk e μx n 1 e μ n μ n γ n ( x ) x ( n+k )! k!( n1 )! γ n k1 ( x ) ( 1+ γ n ( x ) ) nk1 },

上式中的第k项为:

f( k n ){ ( n+k1 )! k!( n1 )! e μx n μx n ( e μx n 1 ) ( 1 e μ n ) x 2 γ n k1 ( x ) ( 1+ γ n ( x ) ) nk + e μx n 1 e μ n μ n γ n ( x ) x ( n+k1 )! k!( n1 )! ( k1 ) γ n k2 ( x ) ( 1+ γ n ( x ) ) nk e μx n 1 e μ n μ n γ n ( x ) x ( n+k )! k!( n1 )! γ n k1 ( x ) ( 1+ γ n ( x ) ) nk1 }. (2)

k+1 项为:

f( k+1 n ){ ( n+k )! ( k+1 )!( n1 )! e μx n μx n ( e μx n 1 ) ( 1 e μ n ) x 2 γ n k ( x ) ( 1+ γ n ( x ) ) nk1 + e μx n 1 e μ n μ n γ n ( x ) x ( n+k )! ( k+1 )!( n1 )! k γ n k1 ( x ) ( 1+ γ n ( x ) ) nk1 e μx n 1 e μ n μ n γ n ( x ) x ( n+k+1 )! ( k+1 )!( n1 )! γ n k ( x ) ( 1+ γ n ( x ) ) nk2 }. (3)

首先,把(2)式、(3)式的第一项看成一组。由于 f( x ) 非负, μ>0,n>0,x>0, μx n >0 ,同时对于 xR x0 x e x > e x 1 。因此,对于 x( 0, ) ,有 e μx n μx n ( e μx n 1 )>0 。所以,

f( k n ) ( n+k1 )! k!( n1 )! e μx n μx n ( e μx n 1 ) ( 1 e μ n ) x 2 γ n k1 ( x ) ( 1+ γ n ( x ) ) nk +f( k+1 n ) ( n+k )! ( k+1 )!( n1 )! e μx n μx n ( e μx n 1 ) ( 1 e μ n ) x 2 γ n k ( x ) ( 1+ γ n ( x ) ) nk1 0.

其次,把(2)式的第三项和(3)式的第二项看成一组,可以得到

f( k n ) e μx n 1 e μ n μ n γ n ( x ) x ( n+k )! k!( n1 )! γ n k1 ( x ) ( 1+ γ n ( x ) ) nk1 +f( k+1 n ) e μx n 1 e μ n μ n γ n ( x ) x ( n+k )! ( k+1 )!( n1 )! k γ n k1 ( x ) ( 1+ γ n ( x ) ) nk1 = e μx n 1 e μ n μ n γ n ( x ) x ( n+k )! ( k+1 )!( n1 )! γ n k1 ( x ) ( 1+ γ n ( x ) ) nk1 [ kf( k+1 n )( k+1 )f( k n ) ].

因为 x 1 f( x ) ( 0, ) 上不减,所以

kf( k+1 n )( k+1 )f( k n )0.

因此,

d dx V n μ ( f;x ) x 0,

x 1 V n μ ( f;x ) ( 0, ) 上不减。

类似地,若 f( x ) 非正并且在 ( 0, ) x 1 f( x ) 不增,则有 x 1 V n μ ( f;x ) ( 0, ) 上也不增。

3. 数值模拟

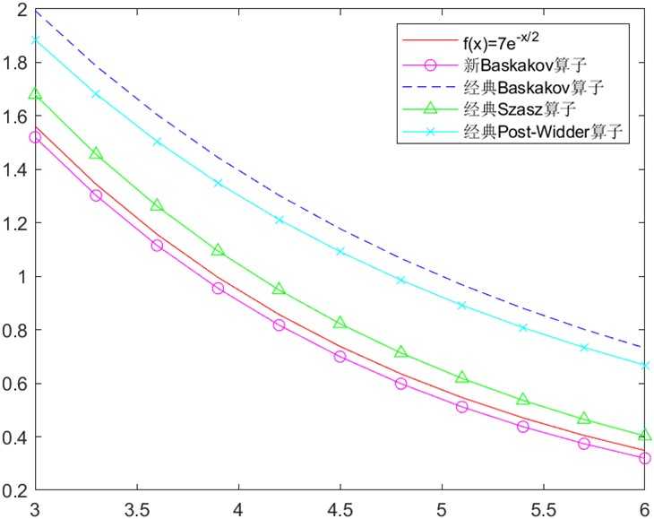
在本节中,我们将根据参数 μ 的取值,适当选取函数进行数值模拟,比如, μ=0.55 ,取单调递减函数 f( x )=7 e x 2 图2图3分别给出了随着 μ n取不同值,新型Baskakov算子对函数 f( x )=7 e x 2 的逼近效果,图4给出了新构造的Baskakov型算子和一些经典算子对函数 f( x )=7 e x 2 逼近效果的比较,表1给出了四类算子对函数 f( x )=7 e x 2 逼近的均方根误差。

图4表1中的经典Baskakov算子、经典Szász算子、经典Post-Widder算子的定义分别为[16]

V n ( f;x )= k=0 f( k n ) ( n+k1 k ) x k ( 1+x ) n+k ; S n ( f;x )= k=0 f( k n ) e nx ( nx ) k k! ;

P n ( f;x )= 1 ( n1 )! ( n x ) n 0 f( θ ) θ n1 e nθ x dθ .

Figure 2. The approximation of the new Baskakov operators to the function f( x )=7 e x 2 , where μ=0.1,0.8,2 , n=30

2. 新Baskakov算子对函数 f( x )=7 e x 2 的逼近情况,其中 μ=0.1,0.8,2 n=30

Figure 3. The approximation of the new Baskakov operators to the function f( x )=7 e x 2 , where n=5,10,40 μ=0.4

3. 新Baskakov算子对函数 f( x )=7 e x 2 的逼近情况,其中 n=5,10,40 μ=0.4

Figure 4. The approximation of the new Baskakov operators, the classic Baskakov operators, the classic Szász operators and the classic Post-Widder operators to the function f( x )=7 e x 2 , where n=5 , μ=0.55

4. 新Baskakov算子、经典Baskakov算子、经典Szász算子和经典Post-Widder算子对函数 f( x )=7 e x 2 的逼近的比较,其中 n=5 , μ=0.55

Table 1. Root mean square error of the approximation of four classes of operators to function f( x )=7 e x 2 , μ=0.55

1. 四类算子对函数 f( x )=7 e x 2 逼近的均方根误差, μ=0.55

n

新Baskakov算子

经典Baskakov算子

经典Szsz算子

经典Post-Widder算子

5

3.7492E−02

4.2885E−01

8.7589E−02

3.4246E−01

10

2.0358E−02

2.1869E−01

4.3436E−02

1.7559E−01

15

1.3962E−02

1.4661E−01

2.8875E−02

1.1798E−01

表1中的均方根误差计算方法:以0.15为间隔,依次取区间 [ 3,6 ] 中的点: 3,3.15,3.3,,6 共计21个点,分别记为 x 1 , x 2 , x 3 ,, x 21 ,取函数 f( x )=7 e x 2 ,参数 μ=0.55 n分别取 5,10,15 。我们以本文新引进的Baskakov算子为例,利用如下公式计算均方根误差h

h= i=1 21 [ f( x i ) V n μ ( f; x i ) ] 2 21 = i=1 21 [ f( x i ) k=0 f( k n ) ( n+k1 k ) γ n k ( x i ) ( 1+ γ n ( x i ) ) n+k ] 2 21 .

n=5 时, h 1 =0.0374918291373449

n=10 时, h 2 =0.0203578335856915

n=15 时, h 3 =0.0139617621535576

经典Baskakov算子、经典Szász算子、经典Post-Widder算子均方根误差的计算方法类似。

4. 结论

本文主要构造了保持函数 e μx ( μ>0 ) 的Baskakov型算子,研究了该类算子保单调性、保凸性、保星形性和保半可加性,为计算机几何辅助作图提供了新的逼近工具。为了进一步推广该类算子的应用,需要进一步研究其对复空间及Hölder空间函数逼近的情况。

基金项目

本课题为河北省教育厅研究生创新资助项目(CXZZSS2024046)。

NOTES

*通讯作者。

参考文献

[1] Carbone, I. (1998) Shape Preserving Properties of Some Positive Linear Operators on Unbounded Intervals. Journal of Approximation Theory, 93, 140-156. [Google Scholar] [CrossRef
[2] Khan, M.K., Della Vecchia, B. and Fassih, A. (1998) On the Monotonicity of Positive Linear Operators. Journal of Approximation Theory, 92, 22-37. [Google Scholar] [CrossRef
[3] Li, Z.Z. (2001) Property Theorems on the Approximation of Deformation Kantorovich Operators. Mathematics: Theory & Applications, 21, 100-105.
[4] Zhang, C. and Zhu, Z. (2009) Preservation Properties of the Baskakov-Kantorovich Operators. Computers & Mathematics with Applications, 57, 1450-1455. [Google Scholar] [CrossRef
[5] Adell, J.A. and Pérez-Palomares, A. (1998) Best Constants in Preservation Inequalities Concerning the First Modulus and Lipschitz Classes for Bernstein-Type Operators. Journal of Approximation Theory, 93, 128-139. [Google Scholar] [CrossRef
[6] Liu, S.G. (2009) Shape Preservation of a Class of Baskakov Type Probability Operators. Journal of Jiaying College, 27, 8-10.
[7] King, J.P. (2003) Positive Linear Operators Which Preserve x2. Acta Mathematica Hungarica, 99, 203-208. [Google Scholar] [CrossRef
[8] Cheng, W. and Mohiuddine, S.A. (2023) Construction of a New Modification of Baskakov Operators on (0, ∞). Filomat, 37, 139-154. [Google Scholar] [CrossRef
[9] Indrea, A.D. and Pop, O.T. (2014) Some General Baskakov Type Operators. Miskolc Mathematical Notes, 15, 497-508. [Google Scholar] [CrossRef
[10] Ozsarac, F. and Acar, T. (2018) Reconstruction of Baskakov Operators Preserving Some Exponential Functions. Mathematical Methods in the Applied Sciences, 42, 5124-5132. [Google Scholar] [CrossRef
[11] Yilmaz, O.G., Gupta, V. and Aral, A. (2017) On Baskakov Operators Preserving the Exponential Function. Journal of Numerical Analysis and Approximation Theory, 46, 150-161. [Google Scholar] [CrossRef
[12] Serenbay, S.K., Atakut, Ç. and Büyükyazıcı, İ. (2014) The Generalized Baskakov Type Operators. Journal of Computational and Applied Mathematics, 259, 226-232. [Google Scholar] [CrossRef
[13] Huang, J.Y., Qi, Q.L. and Yang, G. (2022) Approximation Properties of a Modified Szász Type Operators. Pure Mathematics, 12, 803-813. [Google Scholar] [CrossRef
[14] Dong, H. and Qi, Q. (2023) Shape Preserving Properties of Parametric Szász Type Operators on Unbounded Intervals. Symmetry, 15, 1755. [Google Scholar] [CrossRef
[15] Bruckner, A. and Ostrow, E. (1962) Some Function Classes Related to the Class of Convex Functions. Pacific Journal of Mathematics, 12, 1203-1215. [Google Scholar] [CrossRef
[16] Ditzian, Z. and Totik, V. (1987) Moduli of Smoothness. Springer-Verlag.