长江下游九江–大通河段水面比降变化特征分析
Analysis of Surface Slope in Jiujiang-Datong Reach of the Lower Yangtze River
DOI: 10.12677/jwrr.2024.136066, PDF, HTML, XML,    科研立项经费支持
作者: 卞佳琪, 史常乐, 龚朝海, 柯 达, 何 琦:长江水利委员会水文局长江下游水文水资源勘测局,江苏 南京
关键词: 长江下游水面比降趋势检验突变点The Lower Yangtze River Surface Slope Trend Analysis Change-Point
摘要: 基于长江下游干流九江–大通河段历史日均水面比降,辨识该河段水面比降的变化趋势和突变点,分析突变前后水面比降的变化特征及影响因子。结果表明:1) 1957~2023年,九江–大通河段全年、汛期、非汛期平均水面比降下降趋势显著。水面比降近似呈现单峰特征,汛期较大,非汛期较小,7月左右达到峰值;2) 全年、汛期、非汛期平均水面比降均于2003~2005年间发生了突变。三峡蓄水后水面比降较蓄水前整体有所下降,其中:月最大除6月份微增2.0%外,其余月份降低0.2%~12.9%;月最小除1月~4月微增1.9%~5.2%外,其余月份降低0.2%~20.8%,月平均较蓄水前降低0.1%~12.4%;3) 蓄水前后,水面比降与上下游流量关系有所改变,蓄水后高水与低水的水面比降差异明显高于蓄水前,可认为水库调度对下游水文、河道产生了一定影响。
Abstract: Based on the surface slope data of Jiujiang-Datong reach of the lower Yangtze River, the trend and change point of surface slope were extracted, and the change characteristics and influence factors before and after the change point were analysed. The results indicate that: 1) From 1957 to 2023, the average slope data of Jiujiang-Datong reach showed a significant downward trend throughout the year, flood season, and non flood season. The surface slope is relatively larger during the flood season and smaller during the non flood season, reaching its peak around July; 2) The surface slope experienced a sudden change throughout the year, flood season, and non flood season in 2003 to 2005. Since the operation of the TGD, the surface slope has decreased, with the maximum monthly surface slope decreased by 0.2%~12.9% except for a slight increase of 2.0% in June; except for a slight increase of 1.9%~5.2% from January to April, the monthly minimum surface slope decreased by 0.2%~20.8% in other months, and the monthly average surface slope decreased by 0.1%~12.4%; 3) The relationship between surface slope and flow has changed before and after the operation of the TGD. The difference in surface slope between high and low water levels has significantly increased after the operation of the TGD. It can be considered that the reservoirs scheduling has a certain impact on the downstream hydrology and waterway.
文章引用:卞佳琪, 史常乐, 龚朝海, 柯达, 何琦. 长江下游九江–大通河段水面比降变化特征分析[J]. 水资源研究, 2024, 13(6): 584-595. https://doi.org/10.12677/jwrr.2024.136066

1. 引言

长江下游九江–大通河段上承上游河川径流来水,下受河口潮汐顶托影响,旁侧有鄱阳湖的入汇,因复杂的江湖关系时而呈现湖口倒灌现象,河段防洪形势较为严峻。目前,关于水面比降及其影响因子和影响机理的研究较少,姚允龙[1]提出了感潮河段水面比降的计算方法,统计分析了长江下游干流南京至镇江河段水面比降变化特性;陈吉琴[2]等采用线性倾向回归趋势分析法,分析了近20年来长江干流监利–莲花塘、莲花塘–螺山河段的汛期、消落期、主汛期、汛末期日均水面比降变化趋势,并分析了蓄水前后的水面比降变化幅度;田雨欣[3]等分析了赣江下游采砂引起的河床比降变化特性,运用一维水流数学模型模拟计算了历年河道水面线,分析表明局部水面最大比降与河床比降密切相关,但水面比降受河床的影响程度随流量的增加而减弱。目前,暂无对长江下游九江–大通河段水面比降的研究,分析该河段的水面比降特性将对区段防洪决策提供技术支撑作用。

2. 研究区域和方法

2.1. 研究区域

本文研究区域为长江下游干流九江水文站至大通水文站,位置见图1。九江水文站位于长江中游干流江西省九江市,测验项目有流量、水位、含沙量等,下游约30 km有鄱阳湖入汇长江,对本站水位、流量有顶托影响。大通水文站位于安徽省池州市梅陇,为长江下游控制站,位于鄱阳湖入汇长江下游约219 km,距离入海口约624 km,测验项目有流量、水位、含沙量、雨量等,长江下游潮区界在大通站附近,枯季河川径流较小,感潮相对显著。

2.2. 研究方法

2.2.1. 水面比降

水面比降[1] [2]亦称水面坡降、坡度,一般情况下指水面纵比降,即河段水面沿河流方向的高程差与相应河流长度的比值,以千分率或者万分率表示。水面比降受河床比降、水位涨落、流速流量、潮汐顶托等的综合影响,是表征河道或渠系水流运动变化特征的指标,一般情况下,坡度陡峭处水面比降大,坡度平缓处水面比降较小。

1. 九江水文站、大通水文站位置示意图

本文以长江下游九江–大通河段为研究区域,基于九江站和大通站1957~2023年逐日平均水位数据,分析提取九江–大通河段1957~2023年日均水面比降,辨识水面比降的历史变化趋势和突变点,并分析突变点前后水面比降的变化特征。依据水利工程的运行特点,将全年分为四个调度期——高水位期(11~次年1月)、泄水期(2~6月)、低水期(7~8月)和蓄水期(9~10月),依据该河段上下游逐日水位、流量数据,分析水面比降的影响因子和影响方式。

2.2.2. 趋势识别

本文采用Mann-Kendell检验法、Spearman秩次相关检验法、线性趋势回归检验法对水面比降序列的趋势性特征进行综合诊断。

a) Mann-Kendell检验法

Mann-Kendell法[4]是关于序列的秩次和时序的秩相关检验,将序列按时序表示为 X={ x 1 , x 2 ,, x n } ,对 X 中所有对偶值 ( x i , x j ) j>i x i x j 的大小的出现频次分别进行累计,统计变量 S

S= i=1 n1 j=i+1 n a ij (1)

a ij =sign( x j x i )=sign( R i R j )={ 1 0 1 x i < x j x i = x j x i > x j (2)

式中, R i R j 分别为 x i x i 的秩次; n 为时间序列长度;均值 E( S )=0 ;方差 Va r 0 ( S )=n( n1 ) ( 2n+5 )/ 18

统计量Z为

Z={ S1 Va r 0 ( S ) ,S>0 0,S=0 S+1 Va r 0 ( S ) ,S<0 (3)

选择显著水平,从正态分布表中查询临界值 Z 1α/2 ,当 |Z|< Z 1α/2 ,变化趋势不显著,反之,趋势变化显著。统计量 Z > 0表示序列存在上升趋势, Z < 0表示序列存在下降趋势。

b) Spearman秩次相关检验法

Spearman秩次相关检验法[5]通过分析时间序列 x i 与其时序 t 的相关性来检验其趋势性。秩次相关系数为

r=1 6 t=1 n d t 2 n 3 n (4)

式中, n 为序列长度,秩次 R t 为将序列 x t 从大到小排序所对应的序号, d t = R t t d t 值越小说明趋势性越显著。

观测值服从自由度为 n2 t 分布,统计量T为

T=r ( n4 1 r 2 ) 1/2 (5)

选择显著水平,从 t 分布表中查询临界值 t 1α/2 ,当 |T|> t 1α/2 ,趋势成分显著,反之,趋势成分不显著。

c) 线性趋势回归检验法

该方法[6]假设并检验自变量与因变量之间是否存在线性关系,假设序列 X t 中的趋势成分 Y t 与时序 t 可用线性回归方程表示为

Y t =a+bt+ ξ 1 (6)

式中, Y t 为因变量; a 为常数; b 为回归系数(即线性变化率), ξ t 为残差项。 a b 的估计式为

{ b ^ = t=1 n ( t t ¯ )( x t x ¯ ) t=1 n ( t t ¯ ) 2 a ^ = x ¯ b t ¯ (7)

式中, x ¯ t ¯ 分别为 X t t 的均值; a ^ b ^ 分别为 a b 的估计值; t 为时序。构造统计量

d= b ^ / S b

S b 2 = S t 2 / t=1 n ( t t ¯ ) 2

S t = [ t=1 n ε t 2 / ( n2 ) ] 1/2

t=1 n ε t 2 = t=1 n ( x t x ¯ ) 2 b ^ 2 t=1 n ( t t ¯ ) 2 (8)

式中, S b 2 b ^ 的方差。观测值服从自由度为 (n2) t 分布。选择显著水平,在 t 分布表中查询临界值 t 1α/2 ,当 |d|> t 1α/2 ,n2 时,序列趋势性显著,反之,序列趋势性不显著。

d) 综合诊断

对上述三种趋势检验方法的检验结果进行趋势综合[7],若某种方法检验趋势显著,则显著性+1,反之为−1,求和即得到综合趋势特性。若综合显著性大于等1,则认为趋势显著。

2.2.3. 突变点识别

本文采用有序聚类分析法[8] [9]对水面比降序列的突变点进行提取。有序聚类法是提取水文序列突变点(即最优分割点)的一种有效方法,使得同类离差平方和最小,类与类之间的离差平方和最大。

对序列 x t ( t=1,2,,n ) ,设突变点为 τ ,则离差平方和为

S n ( τ )= V τ + V nτ = t=1 τ ( x t x ¯ τ ) 2 + t=τ+1 n ( x t x ¯ nτ ) 2 (9)

式中, x ¯ τ 为突变点 τ 前的序列均值; x ¯ nτ 为突变点 τ 后的序列均值。当分割点 τ 使得 S n ( τ ) 最小时, τ 为最优二分割,即突变点。

3. 结果分析

3.1. 水面比降整体变化特征

根据九江站、大通站的逐日平均水位计算九江–大通河段逐日水面比降,统计其年际、年内变化特征如图2图3表1表2

年际变化过程见图2。采用Mann-Kendell检验法、Spearman秩次相关检验法、线性趋势回归检验法三种方法综合分析水面比降的变化趋势,统计值见表1。可以看出:若不考虑长序列突变点和分段变化趋势,从全年来看,1957~2023年,九江–大通河段年最大、年最小水面比降整体变化趋势均不显著,年平均水面比降下降趋势显著(通过99%的显著性检验);汛期最大水面比降整体变化趋势不显著,汛期最小、平均水面比降下降趋势显著(分别通过99%、95%的显著性检验);非汛期最小水面比降整体变化趋势不显著,非汛期最大、平均水面比降下降趋势显著(均通过99%的显著性检验)。

(a) 汛期5~10月 (b) 非汛期11月~次年4月

(c) 全年

2. 九江–大通河段水面比降年际变化

1. 水面比降趋势性检验统计值表

时段

水面比降类别

识别方法

综合分析

Spearman秩次

相关检验法

线性趋势

回归检验法

Mann-Kendell

检验法

汛期5~10月

最大

−1.634 (↑)

1.553 (↑)

1.737 (↑*)

最小

5.478 (↓***)

−5.401 (↓***)

−4.854 (↓***)

***

平均

2.471 (↓**)

−2.891 (↓***)

−2.381 (↓**)

**

非汛期11~次年4月

最大

3.336 (↓***)

−3.049 (↓***)

−2.993 (↓***)

***

最小

−0.329 (↑)

0.503 (↑)

0.363 (↑)

平均

2.882 (↓***)

−2.900 (↓***)

−2.587 (↓***)

***

全年

最大

−1.634 (↑)

1.511 (↑)

1.737 (↑*)

最小

−0.269 (↑)

0.402 (↑)

0.319 (↑)

平均

2.839 (↓***)

−3.211 (↓***)

−2.684 (↓***)

***

注:“↑”表示上升趋势;“↓”表示下降趋势;“*”表示通过显著水平α = 10%,即90%的显著性检验;“**”表示通过显著水平α = 5%,即95%的显著性检验;“***”表示通过显著水平α = 1%,即99%的显著性检验,“→”表示序列变化趋势不显著。

九江–大通河段水面比降年内变化过程见图3表2。从年内过程看,九江–大通河段月最大、月最小、月平均水面比降均近似呈现单峰特征,汛期较大,非汛期较小,1月~7月逐渐上升并于7月左右达到全年最大值,7月后逐渐降低。其中:月最大水面比降于6~9月较大,月平均水面比降于5~9月较大,月最小水面比降于5~8月较大。

3. 九江–大通河段水面比降年内变化

2. 九江–大通河段水面比降特征值统计表

时段

类别

1月

2月

3月

4月

5月

6月

7月

8月

9月

10月

11月

12月

1957~2023

最大

0.202

0.209

0.224

0.232

0.246

0.259

0.268

0.268

0.265

0.244

0.233

0.213

最小

0.124

0.122

0.125

0.141

0.149

0.169

0.170

0.155

0.124

0.123

0.126

0.129

平均

0.161

0.160

0.170

0.187

0.205

0.216

0.226

0.219

0.212

0.201

0.185

0.170

分别对九江–大通河段1957~2023年全年、汛期、非汛期平均水面比降时间序列,采用有序聚类法分析其突变特征,计算与 τ 对应的平均水面比降 S n ( τ ) ,点绘 S n ( τ ) 变化曲线,剔除端部数据可能造成的偶然误差影响后[10],最低点即为突变点,如图4所示。可以判断,全年、汛期、非汛期平均水面比降的离差平方和S均于2003~2005年间达到最低点并发生转折,说明下游九江–大通河段水面比降于2003~2005年间发生了突变。

(a) 汛期5~10月 (b) 非汛期11月~次年4月

(c) 全年

4. 九江–大通河段水面比降有序聚类S变化曲线

3.2. 蓄水前后水面比降变化特征

以2008年作为蓄水前后的时间分界点,分别统计蓄水前(1957~2007年)、蓄水后(2008~2023年)的长江下游九江–大通河段的水面比降变化特征,如图5表3。可以看出:蓄水后水面比降较蓄水前整体有所下降,其中蓄水后月最大水面比降除6月份较蓄水前微增2.0%外,其余月份均有所降低,其中汛期8月、9月和非汛期1月、3月、12月下降趋势较为显著,下降幅度分别为8.3%、9.5%、8.7%、9.0%、12.9%;蓄水后月最小水面比降1月~4月、12月较蓄水前略有增大,其余月份均有所降低,其中汛期7~10月下降趋势较为显著,下降幅度分别为10.1%、7.3%、20.8%、13.0%;蓄水后各月平均水面比降较蓄水前均有所降低,其中9~12月下降趋势较为显著,下降幅度分别为10.0%、12.4%、10.1%、10.5%。

3.3. 水面比降影响因子分析

考虑到不同调度期的调度运行方式有所差异,对下游水文情势造成一定影响,因此本文将全年时段划分为泄水期(2~6月)、低水期(7~8月)、蓄水期(9~10月)和高水位期(11~次年1月) [11],分析水面比降的影响因子。

5. 蓄水前后九江–大通河段水面比降年内变化

3. 蓄水前后九江–大通河段水面比降特征值统计表

时段

类别

1月

2月

3月

4月

5月

6月

7月

8月

9月

10月

11月

12月

1957~2007

最大

0.202

0.209

0.224

0.232

0.246

0.254

0.268

0.268

0.265

0.244

0.233

0.213

最小

0.124

0.122

0.125

0.141

0.160

0.170

0.189

0.168

0.157

0.141

0.134

0.129

平均

0.163

0.161

0.171

0.189

0.207

0.216

0.228

0.221

0.217

0.207

0.190

0.174

2008~2023

最大

0.184

0.197

0.204

0.225

0.245

0.259

0.266

0.246

0.240

0.243

0.231

0.186

最小

0.127

0.128

0.128

0.146

0.149

0.169

0.170

0.155

0.124

0.123

0.126

0.134

平均

0.155

0.155

0.167

0.182

0.200

0.216

0.222

0.210

0.196

0.181

0.171

0.156

变化幅度(%)

最大

−8.7

−5.5

−9.0

−3.1

−0.3

2.0

−0.7

−8.3

−9.5

−0.2

−1.2

−12.9

最小

2.2

5.2

1.9

4.0

−6.5

−0.2

−10.1

−7.3

−20.8

−13.0

−6.0

4.0

平均

−5.0

−4.2

−2.3

−3.5

−3.2

−0.1

−2.6

−5.3

−10.0

−12.4

−10.1

−10.5

采用Pearson相关系数法,分时段分析河段水面比降与上、下游流量、水位的单因子相关性,结果如表4所示。分析可知:蓄水前后,泄水期(2~6月)、低水期(7~8月)、蓄水期(9~10月)、高水位期(11~次年1月)九江~大通河段水面比降与九江站水位、大通站水位、九江站流量、大通站流量均显著正相关,其中水面比降与九江站水位的相关性最强,说明其受九江站水位的直接影响较大,与其他因子的相关性强度排序有时变的特征。

4. 水面比降与各单因子之间的Pearson相关分析

类别

时段

泄水期(2~6月)

低水期(7~8月)

蓄水期(9~10月)

高水位期(11~次年1月)

水面比降&九江水位

1957~2007

0.949**

0.873**

0.892**

0.892**

2008~2023

0.960**

0.918**

0.949**

0.895**

1957~2023

0.946**

0.887**

0.921**

0.862**

水面比降&大通水位

1957~2007

0.920**

0.817**

0.837**

0.836**

2008~2023

0.933**

0.874**

0.916**

0.826**

1957~2023

0.915**

0.833**

0.873**

0.782**

水面比降&九江流量

1957~2007

0.899**

0.807**

0.883**

0.844**

2008~2023

0.945**

0.898**

0.947**

0.908**

1957~2023

0.893**

0.829**

0.880**

0.773**

水面比降&大通流量

1957~2007

0.911**

0.839**

0.848**

0.833**

2008~2023

0.943**

0.901**

0.936**

0.869**

1957~2023

0.906**

0.843**

0.859**

0.750**

注:“**”表示在0.01级别(双尾),相关性显著。

绘制九江站日均流量、大通站日均流量与日均水面比降的三维散点图,如图6所示,可以看出2008年蓄水前后,点群分布特征有所改变。为验证是否为水库调度对下游水文情势、水位流量关系、河道冲淤特征产生的影响,需首先分析宜昌站流量变化对九江站流量的影响。以九江站年径流量为统计参数,采用距平百分率法分别选取2008年蓄水前、后的丰平枯典型年,计算宜昌站与九江站日均流量的Pearson相关系数,典型年选取与Pearson相关系数成果如表5所示。可以看出,蓄水前后,丰平枯典型年宜昌站与九江站的日均流量均显著正相关,且径流状态越丰,二者相关关系越显著,能够说明无论径流丰枯,宜昌站的流量过程对九江站的流量有着持续且显著的影响。

(a) 蓄水前11~1月 (b) 蓄水后11~1月

(c) 蓄水前2~6月 (d) 蓄水后2~6月

(e) 蓄水前7~8月 (f) 蓄水后7~8月

(g) 蓄水前9~10月 (h) 蓄水后9~10月

6. 蓄水前后(2008年)不同调度期水面比降变化

5. 蓄水前后丰平枯水典型年宜昌站与九江站日均流量的Pearson相关系数

时段

典型年

Pearson相关系数(P宜昌九江)

蓄水前

1998年(丰)

0.950**

1995年(平)

0.874**

1992年(枯)

0.846**

蓄水后

2020年(丰)

0.919**

2019年(平)

0.857**

2023年(枯)

0.778**

注:“**”表示在0.01级别(双尾),相关性显著。

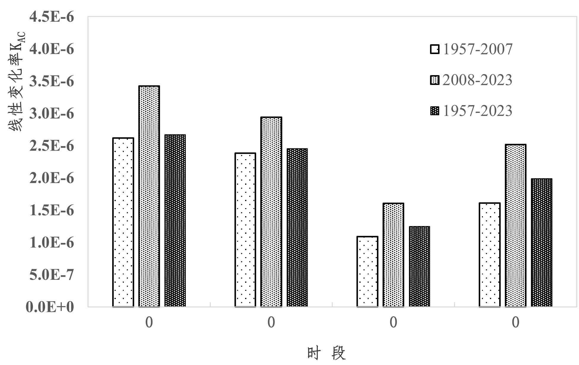
分析日均水面比降(C)分别与九江站日均流量(A)、大通站日均流量(B)的相关关系—线性变化率KACKBC (即上文所述“线性趋势回归检验法”中的回归系数 b ),该指标体现了某一时段高水与低水的水面比降差异,如表6图7所示,可以看出:除蓄水后泄水期(2~6月) KBC略低于蓄水期(9~10月) KBC外,蓄水前后其他时段,KAC和KBC均为高水位期(11~次年1月) > 泄水期(2~6月) > 蓄水期(9~10月) > 低水期(7~8月);从时间上来看,蓄水后四个调度期的线性变化率KAC、KBC较蓄水前均显著上升,说明蓄水后高水与低水的水面比降差异明显高于蓄水前;从空间上来看,蓄水前后四个调度期的KAC均大于KBC,说明九江站高水与低水时的河段水面比降差异高于大通站高水与低水时的河段水面比降差异。

6. 水面比降与流量因子的线性变化率

时段

1957~2007

2008~2023

1957~2023

KAC

KBC

KAC

KBC

KAC

KBC

高水位期11月~1月

2.62E−06

2.10E−06

3.42E−06

2.58E−06

2.67E−06

2.09E−06

泄水期2月~6月

2.39E−06

1.88E−06

2.94E−06

2.18E−06

2.45E−06

1.92E−06

低水期7月~8月

1.09E−06

1.05E−06

1.61E−06

1.40E−06

1.25E−06

1.16E−06

蓄水期9月~10月

1.61E−06

1.48E−06

2.52E−06

2.23E−06

1.99E−06

1.83E−06

注:A为九江日均流量,B为大通日均流量,C为日均水面比降。

(a) 水面比降–九江流量KAC (b) 水面比降–大通流量KBC

7. 蓄水前后不同调度期水面比降线性变化率

4. 结论

通过对1957~2023年长江下游干流九江–大通河段水面比降的分析,得到以下结论:

1) 1957~2023年,九江–大通河段全年、汛期(5~10月)、非汛期(11~次年4月)平均水面比降下降趋势显著,分别通过99%、95%、99%的显著性检验。水面比降近似呈现单峰特征,汛期较大,非汛期较小,1月~7月逐渐上升并于7月左右达到全年最大值,7月后逐渐降低。

2) 九江–大通河段全年、汛期、非汛期平均水面比降均于2003~2005年间发生了突变,蓄水后水面比降较蓄水前整体有所下降,月最大水面比降变化幅度为−12.9%~2.0%,月最小水面比降变化幅度为−20.8%~5.2%,月平均水面比降变化幅度为−12.4%~−0.1%。

3) 蓄水前后,水面比降与上下游流量关系有所改变,蓄水后高水与低水的水面比降差异明显高于蓄水前,可认为是水库调度对下游水文情势、河道形态产生了一定影响。

基金项目

国家自然科学基金长江水科学研究联合基金项目:三峡下游江湖关系与防洪减灾(U2240209)。

NOTES

作者简介:卞佳琪(1991-),女,工程师,工学博士,主要从事水文水资源研究,Email: jiaqibian@163.com

参考文献

[1] 姚允龙. 长江下游干流南京至镇江河段水面比降分析[J]. 水文, 2008, 28(2): 78-79, 29.
[2] 陈吉琴, 张莉, 王艳. 长江与洞庭湖汇流段水面比降的特征变化分析[J]. 广东水利水电, 2024(4): 36-42.
[3] 田雨欣, 陈界仁. 采砂活动影响下的河道水面比降变化[J]. 南水北调与水利科技, 2015, 13(4): 704-707.
[4] 黄玥, 黄志霖, 肖文发, 等. 基于Mann-kendall法的三峡库区长江干流入出库断面水质变化趋势分析[J]. 长江流域资源与环境, 2019, 28(4): 950-961.
[5] 郑芳芳. 金沙江流域径流变化特性分析及年径流预测[D]: [硕士学位论文]. 深圳: 四川大学, 2021.
[6] 孙永寿, 刘弢, 李燕. 黄河源区降水径流一致性及影响因素分析[J]. 人民黄河, 2021, 43(10): 51-55, 101.
[7] 倪韬. 沂沐河流域极端水文序列非一致性及频率分析研究[D]: [硕士学位论文]. 哈尔滨: 黑龙江大学, 2024.
[8] 丁晶. 洪水时间序列干扰点的统计推估[J]. 武汉水利电力学院学报, 1986(5): 36-41.
[9] 张献志, 杨明晖, 刘吉峰. 黄河内蒙古河段凌情要素序列突变点诊断[J]. 人民黄河, 2020, 42(2): 21-22, 33.
[10] 陈梅, 陈斯达, 刘曾美, 等. 广州市中心城区短历时暴雨变异特性研究[J]. 人民长江, 2016, 47(12): 1-5, 22.
[11] 时瑶, 赵艳民, 秦延文, 等. 三峡水库不同调度期水体氮形态时空分布特征[J]. 水土保持研究, 2021, 28(6): 9-16, 24.