基于GARCH-VaR模型的商业银行市场风险度量——以贵阳银行为例
Measurement of Commercial Banks’ Market Risk Based on the GARCH-VaR Model—Taking Bank of Guiyang as an Example
摘要: 随着金融体系的快速发展,商业银行作为金融体系中的重要组成部分,在推动整个行业稳定运行和发展的同时,面临更多的风险和挑战。市场风险已经成为商业银行面临的主要风险,本文以贵阳银行为例,采用贵阳银行每日收盘价数据建立股票价格的日对数收益率序列,根据金融时间序列的波动性和异方差性特征,以GARCH模型为基础建立反映其股价变化的波动率模型,计算VaR值。研究结果表明贵阳银行的VaR值高达0.216629,说明贵阳银行收益率在95%的置信水平上损失极限为资产市场价值的21.66%,面临着较大的市场风险。因此,贵阳银行应该采取相应的措施管理和应对面临的市场风险,确保银行的稳健运营和持续发展。
Abstract: With the rapid development of the financial system, commercial banks, as an important part of the financial system, are promoting the stable operation and development of the entire industry while facing more risks and challenges. Market risk has become the main risk faced by commercial banks. Taking Bank of Guiyang as an example, this paper uses the daily closing price data of Bank of Guiyang to establish a daily logarithmic return rate sequence of stock prices. According to the volatility and heteroscedasticity characteristics of financial time series, a volatility model reflecting its stock price changes is established based on the GARCH model to calculate the VaR value. The research results show that the VaR value of Bank of Guiyang is as high as 0.216629, indicating that the loss limit of the return rate of Bank of Guiyang is 21.66% of the market value of assets at the 95% confidence level, and it is facing relatively large market risks. Therefore, Bank of Guiyang should take corresponding measures to manage and deal with the market risks it faces to ensure the stable operation and sustainable development of the bank.
文章引用:李娱. 基于GARCH-VaR模型的商业银行市场风险度量——以贵阳银行为例[J]. 电子商务评论, 2025, 14(1): 1105-1113. https://doi.org/10.12677/ecl.2025.141137

1. 引言

在我国以银行业为主导地位的金融体系中,商业银行的市场风险直接影响到银行和金融市场的稳定,是金融监管部门的关注重点。因此,研究商业银行的市场风险并进行测量,已经具有较强的现实意义。贵阳银行作为西部第一家A股上市银行,资产规模贵州省排名第一,在英国《银行家》杂志“2023年度全球银行1000强”榜单中位列第198位,连续两年入围全球200强;在中国银行业100强中位列第37位。因此对贵阳银行的市场风险度量研究有一定的意义,本文在现有学术成果的基础上,运用GARCH-VaR模型对贵阳银行的市场风险进行了深入分析。该模型不仅描绘了贵阳银行股票收益的波动性,还揭示了其市场风险的内在特征。通过这一分析,本文期望能为商业银行提供更为精准的市场风险管理策略,以增强其风险抵御能力和市场竞争力。

2. 文献综述

市场风险,作为一种关键的金融风险类型,特指金融机构在其交易资产组合中面临的由市场条件波动引起的不确定性。这些波动可能涉及资产价格的波动、利率的变动、市场波动性的加剧以及市场流动性的变化。这些因素共同作用,对金融机构的盈利能力构成了潜在威胁。市场风险的评估周期可以从极短的一天到长达一年不等,这反映了市场条件变化的瞬息万变和长期趋势的双重影响。金融机构必须通过风险管理策略来应对这种风险,确保其资产组合的稳健性和盈利能力的持续性。

风险度量是市场风险管理中至关重要的初始步骤,其中VaR (Value at Risk)模型是一种经常使用的经典度量工具。VaR的定义是指在特定的置信水平和持有期内,某一金融工具或投资组合在未来可能遭遇的最大潜在损失。相较于国内,国外对VaR方法的研究起步更早,1993年,G30集团首次将VaR方法引入金融资产的风险度量中,这一举措标志着风险管理领域的一个重要转折点。随后,J. P Morgan对VaR的概念进行了深入的探讨和扩展,进一步提升了其在金融界的认可度。与此同时,金融监管机构对金融机构的风险管理和资本充足性提出了更为严格的要求,这促使金融机构寻求更为精确和可靠的风险测量工具。巴塞尔银行监管委员会在2001年对VaR值在资本充足性方面的应用做出了明确规定,进一步巩固了VaR方法在金融领域作为市场风险主要度量工具的地位。这一系列的发展推动了VaR方法的广泛应用。Christoffersen (2000) [1]对VaR方法的基础假设提出了质疑,他指出简单假设数据遵循正态分布并不完全符合实际情况。这一观点促使学者们寻求更为精确的模型来计算VaR值。在此背景下,Bollerslev (1986) [2]的GARCH模型因其能够更好地捕捉金融时间序列的特性而被广泛采纳。在国内,丁芳(2022) [3]认为GARCH-VaR能准确地描述资产收益率的变化,可为投资者提供有效的风险度量方法。杨馥和叶羲舒(2021) [4]的研究也证明GARCH-VaR模型能有效反映公司股票价格波动及市场风险程度。李琳和张青龙(2020) [5]的研究认为GARCH模型能够有效揭示股票市场收益与波动率之间的复杂关系,是预测时间序列波动性的重要工具。国内研究者陈靖,刘一心(2022) [6]分析发现,中国四大国有银行的股票收益率具有波动聚集的特征,并且存在正向的风险动态相关性。戴晓云(2021) [7]利用GARCH-VaR模型证明我国商业银行存在较大的利率风险。

3. 实证分析

3.1. 样本选择和数据来源

本文的研究对象为贵阳银行,选取数据是贵阳银行上市以来的数据,为2016年8月16日~2023年12月31日的股票日收盘价,剔除缺失数据,共获得1792个数据,数据来源于Choice金融终端,以每日收盘价p为基准,计算出相应的对数收益率。方法为:

r t =ln( p t p t1 )×100 (1)

式(1)中:pt表示t时期的股票日收盘价,rt表示t时期对数收益率。

3.2. 模型的分析与建立

3.2.1. 序列描述性的分析和检验

在对数据进行描述性分析时,利用eviews软件刻画该股票收益率的时间序列图,根据图1的数据显示,对数收益率呈现出以零为中心的波动模式,且在多数时期内,其波动幅度显著。值得注意的是,不同程度的波动主要集中在特定的时间段内,这一现象表明收益率时间序列中存在的波动集聚特性。此外,这种集聚性不仅反映了市场的不确定性,也暗示了市场参与者在特定时期内对信息反应的集中性,从而影响了市场的整体动态,从而可以推测出该误差项存在条件异方差。由图2的描述性统计量结果可知,收益率的均值是−0.014984,收益率较低,中位数是0.000,最大值和最小值分别为9.637、−8.832,标准差为1.500,由此可知股市是整体下跌的,通过长期投资并不能获得较多的收益,而且单日收益率波动大,投资风险也相对较大。偏度为0.908,为正数,收益率曲线左偏。峰度为12.104,大于3,表明尾部较正态分布更为粗长,即出现偏离平均收益率的可能性较正态分布要大,Jarque-Berat统计量为6435.278,P值为0.000,表明在5%的显著性水平上拒绝收益率服从正态分布的原假设。

3.2.2. 平稳性检验

在构建GARCH模型的初步阶段,是确认数据序列是否具备平稳性。为了评估这一特性,我们采用了包括ADF单位根检验和Phillips-Perron检验在内的多种方法。在本研究中,我们特别选择了ADF单位根检验来评估序列的平稳性,其结果详见表1。根据表1的数据,收益率的ADF统计值为−41.90283,其伴随概率为0.0000,这一统计量显著低于1%、5%和10%的临界值。这一结果明确表明,收益率序列是平稳的,可以继续构建GARCH模型。

Figure 1. Yield fluctuation sequence diagram

1. 收益率波动序列图

Figure 2. Histogram of yield sequence

2. 收益率序列直方图

Table 1. Stationarity test table of yield sequence

1. 收益率序列平稳性检验表

ADF统计值

1%临界值

5%临界值

10%临界值

伴随概率

结论

−41.90283

−3.433799

−2.862950

−2.567568

0.0000

平稳

3.2.3. 自相关检验

为了确保所选均值方程的精确度,本文对贵阳银行的收益率序列进行了自相关性分析。具体包括,本文实施了滞后36期的自相关检验,以评估序列中可能存在的自相关性。检验结果详见图3,显示了从滞后1期至36期的自相关性分析数据。分析结果表明,在5%的置信水平下,贵阳银行的Q统计量在滞后2至36阶时的概率值均低于0.05,贵阳银行收益率序列中存在显著的自相关性。基于这一结论,本文进一步进行ARCH效应的检验。

3.2.4. ARCH检验

将ARCH效应检验运用到自回归结果中,存在两个滞后期,滞后2期和滞后3期,结果如表2所示,根据滞后项AIC和SC原则,滞后3期的AIC值为3.574100,SC值为3.580237,相比于滞后2期的值较小,选择滞后3期为最佳,进行ARCH检验,结果如图4所示。检验结果为在95%的显著性水平下应当拒绝原假设,这表明本文所研究的序列具有ARCH效应,存在异方差,因此可以建立相应的GARCH模型来刻画其变动规律。

Figure 3. Test results of sequence Autocorrelation and Partial Correlation

3. 序列自相关和偏相关检验结果

Table 2. AIC and SC values for Lag 2 and Lag 3

2. 滞后2期和滞后3期的AIC和SC值

Akaike info criterion

Schwarz criterion

Hannan-Quinn criterion

Prob

R(−2)

3.591504

3.597638

3.593769

0.0000

R(−3)

3.574100

3.580237

30576367

0.0000

Figure 4. ARCH test results of the autoregressive model

4. 自相关模型ARCH检验结果

3.2.5. 模型构建

经过前期的分析,我们发现贵阳银行股票收益率样本序列不仅表现出平稳性,而且还显示出显著的自相关性以及ARCH效应,这些特性符合GARCH模型的建模标准。在分析收益率波动时。确认了方程中存在ARCH效应,接下来的步骤就是确定GARCH(q, p)模型中的参数q和p。在实践中,常用的模型有GARCH(1, 1)、GARCH(1, 2)和GARCH(2, 1)。本研究在t分布和GED分布的假设下,分别应用这三种模型对收益率序列进行了详细的建模分析。通过比较各模型参数的显著性水平以及AIC和SC准则,我们能够筛选出表现更优的模型。结果如表3所示。

Table 3. Comparison of GARCH models under different parameters and distributions

3. 不同参数和分布下的GARCH模型的比较

GARCH(1, 1)

GARCH(1, 2)

GARCH(2, 1)

R(3)

3.037791

0.036943

0.037955

C

0.091127**

0.118110**

0.072291**

RESID(−1)^2

0.146543**

0.189796**

0.217143**

RESID(−2)^2

/

/

−0.097807**

GARCH(−1)

0.819562**

0.448413**

0.853530**

GARCH(−2)

/

0.317469**

/

AIC

3.384419

3.383411

3.382787

SC

3.399761

3.401821

3.401198

注:**代表显著性水平为5%。

通过上表中的数据,可以发现GARCH(1, 1)模型中的AIC和SC值数值相较于其他两个模型更小,因此基于AIC和SC原则,本文利用GARCH(1, 1)模型进行建模,更能描绘贵阳银行收益率的波动性。GARCH(1, 1)模型为:

r t =γ r t1 + μ t (2)

σ t 2 = α 0 + α 1 × μ t1 2 + β 1 × σ t1 2 (3)

其中, r t 为条件均值, σ t 2 为条件方差,α0为长期平均波动,α1为收益率波动受外界因素影响情况,β1反映收益率波动是否具有长期性。α1β1之和与1比较可以反映收益率波动是否具有持续性。模型拟合结果如下:

r t =0.03779 r t1 + μ t

σ t 2 =0.091127+0.146543 μ t1 2 +0.819562 σ t1 2

由结果可知,α0为0.091127,说明贵阳银行的收益率长期波动较大,可能会导致投资者对银行的信心下降,风险厌恶投资者撤资,影响银行股价;高波动性可能使得银行在进行股权融资时面临较高的折价,从而导致融资成本增加。α1数值为0.146543,大于0,说明外界因素会使贵阳银行的收益率波动增大,例如当不良贷款率上升、监管政策变动、市场情绪低迷等都会使得收益率波动增大。β1为0.819562,说明收益率波动具有长期性。α1β1之和接近1,说明收益率波动的持久性较强。

3.2.6. ARCH-LM检验

为了确保构建的GARCH(1, 1)模型有效地消除异方差性问题,本文采用了ARCH-LM检验方法对其进行了严格的验证。检验的具体结果展示在图5中。分析显示,经过对GARCH(1, 1)模型残差的ARCH-LM检验,所有相应的统计量的伴随概率均超过了5%的显著性水平。这一结果表明,我们不能拒绝残差不存在ARCH效应的原假设,从而证实了GARCH(1, 1)模型成功地消除了残差的异方差性。因此,可以断定本文所构建的GARCH(1, 1)模型不仅稳健,而且适合用于后续的风险价值(VaR)计算。

Figure 5. ARCH-LM test results of the GARCH(1, 1) model

5. GARCH(1, 1)模型ARCH-LM检验结果

3.2.7. VaR测算

在GARCH(1, 1)模型的基础上,VaR可表示为:

VaR= W 0 × Z α × σ t (4)

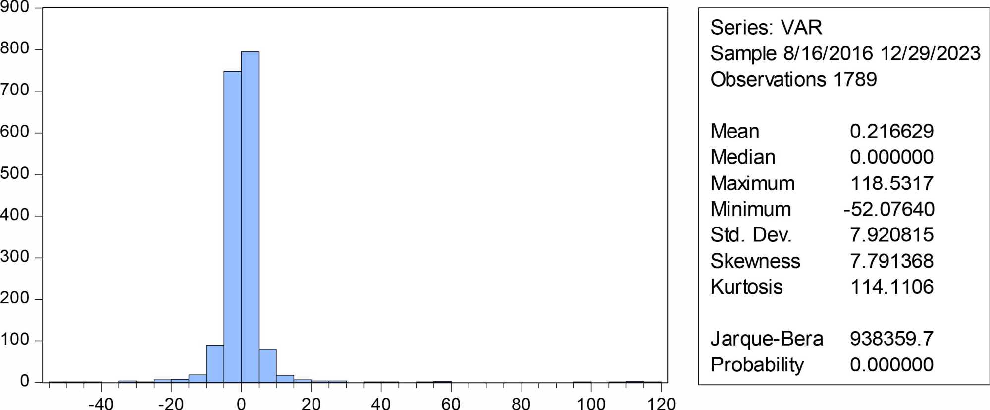
其中,W0为资产价值,在本文中假设取值为1。Zα为一定置信水平下的分位数,在本文中置信水平取值0.95,则Zα为1.65。σt为收益率波动,从GARCH(1, 1)中得出。如图6所示,VaR平均值为0.216629,说明贵阳银行收益率在95%的置信水平上损失极限为资产市场价值的21.66%,存在较大的市场风险。

Figure 6. VaR (Value at Risk) calculation

6. VaR测算

3.2.8. 实证结果分析

图6的VaR值结果可知贵阳银行面临着较大的市场风险,主要可能是由以下几个原因造成:

一是贵阳银行作为地方性银行,其资产和负债较为集中在贵州省及周边地区,这种集中使得银行更容易受到当地经济、政策变化的影响,增加了市场风险。

二是贵阳银行的贷款组合面临较高的信贷风险,特别是大部分贷款集中在一些高风险行业或客户群体中,如房地产开发、中小企业等,截至2023年,贵阳银行对公贷款中,房地产业贷款余额为370.87亿元,占贷款总额的11.45%,较上年末上升2.54个百分点。

三是资产质量问题,贵阳银行的资产质量不佳,存在大量不良贷款或无法收回的资产,增加了市场风险。这导致资本损失或者需要更多的资本来覆盖损失,存款增幅下降,不良贷款率增加,截至2023年四季度末,贵阳银行的不良贷款余额合计为51.65亿元,较年初增加10.12亿元;不良贷款率达1.59%,较年初上升0.14个百分点,在17家城商行中,其不良贷款率排名行业第三位,业绩持续下行,资产质量风险加大。

4. 政策建议

综上所述,贵阳银行面临市场风险较大,主要是由于经济政策影响、信贷风险较高、资产质量风险大,贵阳银行可以考虑以下管理对策措施来应对和管理风险,同时也可以为其他商业银行提供参考。

4.1. 有序推进利率市场化改革

利率市场化改革是我国金融改革的重要方向之一。随着市场化程度的不断提升,我国在这一领域取得了一定成效,但仍面临一些挑战。一方面,市场化程度仍不足,央行通过政策工具调节利率的幅度过大,导致市场价格形成的力度不足;另一方面,部分商业银行的负债结构不合理,存在一定的利差风险。如果利率市场化改革未能有效推进,将可能加剧商业银行的市场风险。因此,商业银行需要积极应对利率市场化改革带来的挑战,有序推动相关改革,提升风险管理水平。具体措施可以包括优化负债结构、增强风险管理能力、建立健全风险管理制度等。

4.2. 对金融产品进行合理的定价

商业银行作为金融市场的重要参与者,合理定价金融产品以降低市场风险至关重要。定价过程中需综合考虑市场利率、流动性和信用风险等多个因素。银行应建立科学的定价模型,灵活调整产品价格以适应不同的市场环境和产品特性。市场利率的变化对定价影响显著:在高利率环境下,银行可提高储蓄和贷款利率以吸引客户;而在低利率环境中,则可适度降低利率以增强竞争力。此外,金融产品的流动性同样是定价的重要考量。流动性较强时,银行可适当降低价格以提升市场份额;反之,流动性差时则需提高价格以弥补风险。信用风险评估也是定价的重要环节,银行需综合客户的还款能力、意愿及财务状况,根据信用评估结果来确定价格。当信用风险存在不确定性时,适度提高产品定价可减少潜在风险。为有效规避市场风险,银行必须强化金融产品的风险评估与定价机制,在推出新产品前进行全面的风险评估,并据此设定合理价格,以确保风险与收益的平衡。同时,建立健全的风险评估体系,有助于提升评估的准确性与科学性[8]

4.3. 建设流动性风险管理体系

商业银行的流动性风险是市场风险的重要组成部分,资产负债表的不匹配可能引发严重的市场波动和金融风险。因此,银行必须重视流动性风险管理体系的建设,以降低市场风险的发生概率及潜在损失。流动性风险管理的关键在于高效的监测和预警机制。银行需充分考虑不同风险与流动性风险之间的关联,建立全面的监测和预警体系,以便及时识别和应对流动性风险的变化。

4.4. 利用金融科技提升风险防范能力

商业银行可以通过人工智能和大数据技术来监测和评估客户信用风险、市场风险以及操作风险,从而深入了解风险的来源和本质,并采取针对性的防范和管理措施。在实际应用中,商业银行可通过以下方式提升风险防范能力:

(一) 客户信用风险管理:借助大数据和人工智能,银行可以全面评估和监测客户信用。通过分析客户的历史交易数据、社交网络信息和公共资料等,银行能够进行准确的风险评估与预测。此外,建立客户信用评级体系和风险控制机制,可以有效管理和防范客户信用风险。

(二) 市场风险管理:银行可运用金融科技产品与服务,实时监测和预测市场风险。利用人工智能和大数据技术分析市场走势,银行能够制定相应的投资策略并采取风险控制措施,以降低市场波动带来的影响。

(三) 操作风险管理:银行还可以利用人工智能和大数据技术来识别和监测操作风险。例如,通过机器学习技术检测交易中的异常行为,从而减少操作风险对银行业务的影响。

4.5. 稳步发展金融科技

商业银行可以积极引入新兴的金融科技产品和服务,如区块链、云计算、人工智能等,以提高业务的效率和风险管理水平。同时,商业银行还应该加强与科技公司的合作,共同研发创新的金融产品和服务,不断推动金融科技的发展。在实际操作中,商业银行可以采用以下方式稳步发展金融科技。1) 引入新兴技术。商业银行可以采用新兴的科技产品来提升业务效率和风险管理水平。区块链、云计算和人工智能等技术可以被引入,如通过利用区块链技术建立金融交易平台,实现信息共享和数据交换等功能,提高交易的效率和安全性。2) 建立数字化银行平台。商业银行可以建立数字化银行平台,提供线上金融服务,以满足客户的多样化需求。比如,开展移动支付、互联网金融等业务,提供线上开户、贷款申请等服务。3) 加强科技合作。如与互联网科技公司合作,共同开发智能风险管理系统、在线投资理财平台等创新产品。4) 推动金融科技标准化。商业银行可以参与金融科技标准化工作,制定相关的标准和规范,提高金融科技的规范性和可持续性,促进金融科技的健康发展[9]

参考文献

[1] Christoffersen, P. and Errunza, V. (2000) Towards a Global Financial Architecture: Capital Mobility and Risk Management Issues. Emerging Markets Review, 1, 3-20.
https://doi.org/10.1016/s1566-0141(00)00002-9
[2] Bollerslev, T. (1986) Generalized Autoregressive Conditional Heteroskedasticity. Journal of Econometrics, 31, 307-327.
https://doi.org/10.1016/0304-4076(86)90063-1
[3] 丁芳. 基于GARCH-VaR模型的股票市场风险估计[J]. 宁夏师范学院学报, 2023, 44(4): 47-51.
[4] 杨馥, 叶羲舒. 基于GARCH-VaR模型的保险公司市场风险度量研究——以R保险公司为例[J]. 保险职业学院学报, 2021, 35(4): 15-20.
[5] 李琳, 张青龙. 不同类型商业银行流动性风险的比较研究——基于GARCH-VaR模型的实证分析[J]. 中国物价, 2020(3): 50-53.
[6] 陈靖, 刘一心. 基于DCC-GARCH模型的国有银行系统性风险研究[J]. 商展经济, 2022(15): 79-83.
[7] 戴晓云. 商业银行利率风险与管理实证研究——基于GARCH模型的VaR测算和利率敏感性分析[J]. 环渤海经济瞭望, 2021(12): 34-37.
[8] 马春花. 商业银行金融市场业务全面风险管理探讨[J]. 时代金融, 2020(26): 34-35.
[9] 戴静兰. 商业银行市场风险管理对策探讨[J]. 中国产经, 2023(22): 136-138.