考虑网络外部性的数字平台技术共享定价策略
Pricing Strategy for Digital Platform Technology Sharing Considering Network Externalities
摘要: 本文采用Stackelberg博弈模型研究由一个数字技术平台企业和一个生产商组成的供应链系统,研究进行数字技术共享的供应链双方的均衡价格和最优利润并引入网络外部性来研究双方的最优决策变化。研究表明:集中决策下平台的利润和最优期望技术研发投入始终高于分散决策;在网络外部性的影响下,两种决策下的产品价格和研发成本投入都有不同程度的提高,集中决策下的数字技术平台为了供应链的整体利益,更有动机进行数字技术的研发和成本投入,实现利益最大化。前期数字平台技术研发成本较低时,集中决策下的产品售价大于分散决策产品售价,但随平台成本提升,优势逐渐弱化,甚至消失。另有研究表明数字平台选择进行技术共享的最优时间节点为网络外部性达到峰值后。最后本文通过设计契约合作模型实现了供应链双方的整体协调,解决了网络外部性下分散决策的劣势扩大化问题。
Abstract: This paper adopts the Stackelberg game model to study a supply chain system composed of a digital technology platform enterprise and a manufacturer. It investigates the equilibrium prices and optimal profits of both parties in the supply chain that share digital technology and introduces network externalities to study the changes in their optimal decisions. The research shows that under centralized decision-making, the platform’s profit and optimal expected technology R&D investment are always higher than under decentralized decision-making. Under the influence of network externalities, the product prices and R&D cost investments under both decision-making modes increase to varying degrees. The digital technology platform under centralized decision-making is more motivated to invest in technology R&D and cost inputs for the overall benefit of the supply chain, maximizing profits. When the initial R&D cost of the digital platform is low, the product price under centralized decision-making is higher than that under decentralized decision-making. However, as the platform cost increases, the advantage gradually weakens and may even disappear. Additionally, the research indicates that the optimal timing for the digital platform to choose technology sharing is after the network externality reaches its peak. Finally, this paper achieves overall coordination between both parties in the supply chain by designing a contract cooperation model, addressing the issue of the amplification of disadvantages under decentralized decision-making in the presence of network externalities.
文章引用:徐宇韬. 考虑网络外部性的数字平台技术共享定价策略[J]. 电子商务评论, 2025, 14(1): 1947-1959. https://doi.org/10.12677/ecl.2025.141244

1. 引言

随着互联网和信息技术的发展,数字技术的应用已经深入到生产生活各领域,并逐渐改变了供应链企业间的合作模式[1]。2022年9月16日,上海合作组织成员国元首理事会第二十二次会议时提出“建立中国–上海合作组织大数据合作中心,打造共同发展的新引擎”。这对于加强企业数字领域的交流与合作具有重要意义。在复杂的经济环境下,多边数字合作能够建立信任,分享经验,找到共同应对全球化挑战的解决方案。例如华为推出的HI (Huawei Inside)模式,即生产车辆的企业使用华为全栈智能汽车解决方案等一系列数字技术,包括计算与通信架构模型、智能座舱系统、智能驾驶技术等数字智能技术。华为选择不造“整车”,而是通过聚焦ICT技术,定位智能汽车增量零部件供应商,提供传统汽车所不具备的“增量”:包括高精地图导航、芯片、感知硬件(激光雷达等)、智能座舱、智能驾驶、生态服务、云等数字技术等,最后造成的整车再通过华为平台面向庞大的市场消费者。在数字技术的影响下,新的生产供应模式正逐渐改变企业间原有的合作模式。

国内外研究动态中有的学者已经对数字技术概念作简要概述,一些学者把数字技术定义为以大数据,物联网,人工智能等为代表的新的数字化技术。Bharadwaj [2]等认为数字技术是资讯、电脑、通讯及连结科技的结合体。Vial [3]将数字技术定义为可以增强现实效应的大数据分析、自主机器人、仿真、水平和垂直系统集成、物联网、网络安全、云计算、加法制造等一系列技术。Nambisan [4]等认为数字技术是指数字组件、数字基础设施和数字平台三个不同但相关的元素。在本文中,数字技术是指云计算、大数据分析、人工智能、物联网、区块链、智能定位等各种对数字信息进行处理、传输、存储的技术,也是实现智能制造、智能供应链、扩大网络影响力的必要手段。因为用户信息可以以数据的形式储存在数字企业的网络库中,用户在接入数字平台后可以获得产品的使用数据及其他测评体验从而提高产品的协同价值。

由数字技术所生产的产品具有强烈的网络外部性特征,Rohlfs [5]最早提出了网络外部性(network externality)概念,他认为,随着更多的顾客开始购买某种商品,这种商品对于顾客来说就会变得更有价值,从而产生了网络外部性。Laffont等人[6]的研究进一步表明,当消费者越来越多地购买某种商品和互补商品时,网络外部性就会出现,进而增加了消费者的购买效用。网络外部性是指由消费者之间交互所产生的额外的价值,按照其对消费者效用的影响方式,可以将其分为两类:直接网络外部性和间接网络外部性[7]。在关于网络外部性与数字产品的关系上,吴士亮[8]等人认为,网络外部性与顾客本身的价值特性相关,因而具有额外的效用。赵映雪[9]等人的研究结果表明,网络外部性对数字产品定价、用户黏性和品牌口碑的形成具有重要影响。张翼飞[10]等人分析了平台数字产品的市场规模与其价格的关系,发现其价格随用户人数的增多而下降。当网络外部性对厂商具有正向影响时,生产商的价格会随着其所处的网络外部性而降低。这些研究通过数字产品特征与网络外部性的联系主要分析了网络外部性对产品价格与市场规模间的联系,视角集中于单个自身或竞争企业间的决策,并没有考虑到由数字技术的发展而产生的新的供应链生产合作方式,同时由于数字平台自身要想发展网络外部性,就必须进行数字技术的研发来维持平台的规模,相应的也没有考虑到数字平台技术研发对供应链决策的影响。

在关于网络外部性与技术共享方面,Zhao et al. [11]研究了一个具有网络效应的最优技术授权契约,并在此基础上研究了生产商在合作过程中扮演主导角色时所产生的社会福利。Huang and Wang [12]分析了在技术授权允许情况下,闭环供应链中制造商、分销商和第三方之间技术共享的收益,并利用Stackelberg博弈得到了在是否共享技术下的均衡策略。此外在关于政府政策对企业技术共享的影响上Chang et al. [13] and Hattori [14]研究了税收和补贴等政府激励和惩罚措施对企业技术创新和技术共享的影响。

综上所述,已有研究分别考虑了网络外部性和技术共享对数字平台产品定价的影响,但没有综合分析两者对其的共同影响。因此,本文在相关研究的基础上创新提出平台网络外部性与数字技术共享对于供应链的决策影响,并针对平台网络外部性形成周期较长的劣势提出两种供应链节点企业间的合作模式。

2. 基本模型阐述

2.1. 数字技术平台生产供应问题的描述

本文研究一个由数字技术平台企业和一个传统生产企业所构成的完整供应链系统,在此模型中,生产商不具有生产智能产品或者技术不能使企业达到规模收益,因此需要依靠数字技术平台企业共享的数字技术进行生产、交付、售后等一系列服务。例如华为智驾,华为公司并不直接参与智能汽车的生产制造,而是依托华为作为平台,在分析市场技术偏好后,和生产制造商进行合作,将华为的数字技术共享给汽车生产商进行整车制造后再通过华为平台进行产品的交付。现代科技数字技术的企业也更多的是通过自身平台的优势来进行产品的研发,例如百度和沃尔沃的无人驾驶技术的合作。通过数字技术的共享,技术企业可以将生产资金用于技术的研发以求得技术创新和突破,生产企业也可以获得先进的技术来满足市场的需求。

2.2. 基本模型的构建

由一个数字技术平台和一个生产制造商构成的供应链系统中,数字技术平台将技术共享给制造商进行生产,同时提供咨询、售后、购买等一系列服务措施,生产商提供产品。考虑大多数情况下,数字技术平台在技术共享时获利进行契约分利,平台、生产商的决策信息充分,且各自均以最大化利润作为决策目标。

2.2.1. 分散决策下的数字平台技术共享的供应链定价策略

分散决策下,数字技术平台企业在供应链中处于领导者地位,在Stackelberg博弈模型中,数字技术平台企业和生产企业的决策顺序为:平台根据自身利益最大化率先决定平台单位技术共享费用和最优研发投入。生产企业考虑自身利益最大化给出价格。生产商与数字平台均以各自利益最大化为目标进行决策。考虑网络外部性的影响,数字技术企业在进行技术共享后为了维持领先技术水平不得不进行技术的研发。因此数字技术平台企业在博弈中自主决定是否进行技术的研发和共享。设定数字平台初始的技术水平为T、生产商的出售价格为P、市场对T技术水平下的产品的偏好为 β

假设一:数字技术平台企业与生产企业进行技术共享,技术共享的比例为 λ ( 0<λ<1 ),设w为单位产品的技术共享费用。

假设二:进行技术共享后平台为了维持网络外部性需要进行技术的研发,数字技术企业对数字技术进行投资来提高平台的数字化程度, θ 表示与平台原有数字技术水平T相比平台期望投入研发所达到的最优程度( θ>1 ),则研发后平台的数字化程度为 θT 。进行数字技术的研发增强了数字平台的网络外部性,改变了原有的市场需求,设定进行技术研发后平台的网络外部性为 μ 。由于生产商使用共享的数字技术进行生产,产品的数字化程度得到提升,此时市场对供应链产品的偏好程度为 ( 1+λ )β

假设三:数字企业进行平台数字技术研发需要一定的技术研发成本C(T),技术研发成本与平台的数字化程度成二次方关系,即 C( T )=γ ( θT ) 2 γ 为平台的研发成本系数, γ>0

假设四:为了促进企业间数字技术交流合作以求得技术创新和共同发展。政府补贴进行数字技术共享的企业,参考方海燕[15]等人的研究,设定每单位产品的补贴费用为e。参考闫锦江[16]的研究,计算市场需求为:

q=( 1+μ )AαP+( 1+λ )βθT (1)

生产商的利润为:

π 1 =( pw )qcq (2)

数字技术平台的利润为:

π 2 =wqC( T )+λeq (3)

知道 π 1 为关于p的凹函数且存在唯一最优解,依据一阶条件 δ π 1 δp =0 可求得生产商的反应函数 p= ( 1+μ )A+α( w+c )+( 1+λ )βθT 2α 。将生产商的反应函数代入 π 2 中,再根据一阶条件可以求出

w d * = ( 1+μ )A+( 1+λ )βθTα( c+e ) 2α θ d * = β( 1+λ )( w d +e ) 4γT 。联立方程求出最终的平台技术共享费用和研发投入为:

w d * = 4γ[ ( 1+μ )Aα( e+c ) ]+e β 2 ( 1+λ ) 2 8αγ β 2 ( 1+λ ) 2 θ d * = β( 1+λ )[ ( 1+μ )Aα( ce ) ] T[ 8αγ β 2 ( 1+λ ) 2 ] 。代入反应函数p求得:

p d * = 6γ( 1+μ )A+( ce )[ 2αγ β 2 ( 1+λ ) 2 ] 8αγ β 2 ( 1+λ ) 2 ,代入式q中求得:

q d * = 2αγ[ ( 1+μ )Aα( ce ) ] 8αγ β 2 ( 1+λ ) 2 。进而求得分散决策下最优利润函数的表达式为:

π 1 * =( p w c c )q= 4α γ 2 [ ( 1+μ )Aα( ce ) ] 2 [ 8αγ β 2 ( 1+λ ) 2 ] 2

π 2 * = w d qC( T )+eq= γ[ 8αγ+ β 2 ( 1+λ ) 2 ] [ ( 1+μ )Aα( ce ) ] 2 [ 8αγ β 2 ( 1+λ ) 2 ] 2

命题一:数字技术平台的技术共享比例对产品市场需求和生产商最优价格选择有如下影响:当 μ< α( ce )A A 时, δ q d * δλ <0 δ p d * δλ <0 。当 1>μ> α( ce )A A 时, δ q d * δλ >0 δ p d * δλ >0

证明:分别令 δ q d * δλ = 1 2 p d * λ 求偏导得到 δ q d * δλ = 4αγ β 2 ( 1+λ )[ ( 1+μ )Aα( ce ) ] [ 8αγ β 2 ( 1+λ ) 2 ] 2 δ p d * δλ = 12γ β 2 ( 1+λ )[ ( 1+μ )Aα( ce ) ] [ 8αγ β 2 ( 1+λ ) 2 ] 2 即可得上述结论。

该命题表明,在网络外部性的影响下,数字平台的技术共享比例与产品市场需求呈U型关系,这意味着当数字技术平台进行技术研发后,与生产商进行技术共享的比例要控制在一定范围内。当网络外部性较小时,前期进行数字技术的共享并不能提升产品的市场需求。只有网络外部性达到峰值后市场需求才会呈现不断上升的趋势。

该命题也充分说明,数字技术平台不能盲目地进行数字技术的共享,必须充分考虑到网络外部性和市场技术偏好的影响。在平台前期,平台的技术水平较低,网络外部性并不显著,受困于有限的技术水平和网络规模,消费者并不会为产品供应链的技术共享买单,也就是消费者在低的网络外部性的影响下未体验到平台产品的额外价值,导致产品市场需求增长缓慢,这时一些中小企业由于资金限制退出市场。但随着平台投入的增加,数字平台的数字技术水平和网络用户规模逐渐增加,这时候平台将成熟的数字技术共享给生产商时最优决策。生产商拥有了新的数字生产技术,产品质量得到提升,投入市场后获得消费者的喜爱,市场对数字技术的偏好程度在网络效应的影响下进一步放大,使得产品市场需求进一步增加。这也意味着平台进行技术共享的最优时间应该在投入研发后,在平台网络效应出现正向影响后,这时候才能通过提高共享比例来获得更多的利润。

对于生产商的最优价格选择应该在技术共享比例的影响下控制在一个区间之内并充分考虑到网络外部性的影响。在平台技术研发前期,平台的研发投入和技术水平并不能增加产品的市场需求,为了吸引更多的消费者,生产商应该通过薄利多销的形式增加需求来扩大市场份额,随着平台的技术逐渐成熟,市场对一定数字技术水平的产品形成依赖,这时候考虑到平台技术共享费用的增加,为了维持利润均衡生产商可以通过提高价格的形式来增加利润,而此时的市场需求也在平台技术共享比例和网络外部性的影响下逐渐提高。

命题二:数字技术平台的技术共享比例对数字平台的单位产品共享费用和研发投入有如下影响:如

果数字平台决定技术共享,当网络外部性 μ= α( ce )A A 时达到最优单位产品的共享费用和研发投入的

临界点,之后随着数字平台技术共享比例的提高单位产品共享费用和研发投入逐渐增加。

证明:分别令 w d * θ d * λ 求偏导得到

δ w d * δλ = 8γ β 2 ( 1+λ )[ ( 1+μ )Aα( ce ) ] [ 8αγ β 2 1+λ 2 ] 2 δ θ d * δλ = β[ 8αγ+ β 2 ( 1+λ ) 2 ][ ( 1+μ )Aα( ce ) ] T [ 8αγ β 2 ( 1+λ ) 2 ] 2 。即可得到上述结论。

该命题表明在网络外部性的影响下数字技术平台的技术共享比例对最优单位产品的共享费用和研发投入呈U型关系,当网络外部性较小时,数字技术平台的技术共享比例并不能提高单位产品的共享费用和研发投入。当网络外部性达到临界值时随着网络外部性的逐渐增大,当数字技术平台提高技术共享的比例时就不得不增加单位产品的技术共享费用和研发投入。这意味着在数字平台进入市场前期,需要投入大量的成本进行技术的研发来提高平台的网络外部性,扩大平台用户的规模。而在这一环节,由于部分企业资金不足或者没有意识到网络外部性厚积薄发的优势往往会退出市场。可随着平台研发投入的增加,网络外部性逐渐达到临界点,这时候平台通过提高对生产商的技术共享比例就可以获得更大的利润。

另外该命题也说明在平台进入前期,数字技术尚不成熟,平台用户规模较小,网络外部性较弱,因此即使平台进行数字技术的共享也不会为平台带来额外的利润,消费者并不会为低水平的产品买单,这时候的平台需要承担一部分损失并改变共享的策略,降低技术共享的比例同时投入大量资金进行数字技术的研发,而考虑到供应链双方利润均衡,单位产品的技术共享费用要降低。这样生产商在维持生存的基础上通过降低价格来获得更大的市场份额。当平台的技术投入达到一定水平后,此时的平台规模和消费市场足以形成突出的网络外部性,通过该技术水平生产的产品可以被市场接受,因此平台考虑提高对生产商数字技术共享的比例。同时为了维持较高的技术研发费用,平台可以提高对生产商的单位产品的共享费用,生产商也可以通过提高价格来获得更多的利润。最终在网络外部性的影响下,由技术共享比例和技术研发投入增加所带来的费用转化为市场消费者愿意对产品付出更高的价格,供应链达到稳定均衡。

命题三:网络外部性会对数字平台的技术共享意愿产生影响。在数字技术平台选择进行技术共享的

情况下,当网络外部性存在正效应,也即 μ> α( ce )A A 时, w d * > w d * ¯ θ d * > θ d * ¯

证明:令数字技术平台进行技术共享和不进行技术共享决策情况下的最优佣金抽取和技术研发投入作差得:

w d * w d * ¯ = 4γ[ ( 1+μ )Aα( e+c ) ]+e β 2 ( 1+λ ) 2 8αγ β 2 ( 1+λ ) 2 8γ[ ( 1+μ )Aαc ] 8αγ β 2 ,为方便计算,取 w d * = 4γ[ ( 1+μ )Aα( e+c ) ] 8αγ β 2 ,即将 w d * 缩小,得到

w d * w d * ¯ = 4γ[ ( 1+μ )Aα( ce ) ] β 2 8αγ ,可知当 μ> α( ce )A A 时,总有 w d * > w d * ¯

该命题说明当网络外部性出现正效应时,数字技术平台选择进行技术共享可以提高对生产商的最优单位共享费用从而增加利润,同时在网络外部性的影响下,数字平台会进一步加强数字技术的研发投入来扩大平台的网络外部性。

在平台进入市场前期,由于网络外部性并不显著,平台必须通过技术的研发来满足消费者需求,扩大市场份额,积累平台用户逐渐形成网络规模。因此当网络外部性还未达到峰值时,平台选择进行技术共享为低水平技术共享,因此生产商生产的产品为低技术水平的产品,进入市场后不能满足消费者的技术需求偏好,在此阶段选择技术共享反而会给生产商带来额外的支出。所以当网络外部性还未达到峰值时,数字平台应该选择放弃进行技术共享继续增加技术研发的投入。随着平台研发投入的增加,数字技术水平也在提高,经过时间发展平台规模初具成效,此时平台选择进行技术共享不仅可以生产出数字技术水平较高的产品,也可以提高对生产商的佣金抽成。

2.2.2. 集中决策下的数字平台技术共享的供应链定价策略

计算供应链整体的利润为:

π=( pc+e )qC( T )=( pc+e )qγ θ 2 T 2 (4)

分别求 π 关于p θ 的偏导数并根据一阶条件可以得出: p s * = ( 1+μ )A+( 1+λ )βθT+α( ce ) 2α θ s * = β( 1+λ )( pc+e ) 2γT ,联立方程求出供应链集中决策下的最优价格和平台研发投入为

p s * = 2γ[ ( 1+μ )A+α( ce ) ] β 2 ( 1+λ ) 2 ( c+e ) 4αγ β 2 ( 1+λ ) 2 θ s * = β( 1+λ )[ ( 1+μ )Aα( ce ) ] T[ 4αγ β 2 ( 1+λ ) 2 ] 。代入求出数字技术平台在进行技术研发集中决策下的供应链最优利润为: π s * = γ 2 [ ( 1+μ )Aα( ce ) ] 2 4αγ β 2 ( 1+λ ) 2

命题四:网络外部性对平台不同决策情况下最优研发投入有如下影响:当 1>μ> α( ce )A A 时, θ s * θ d * >0 ;当 μ< α( ce )A A < αcA A 时, θ s * θ d * <0

证明: θ s * θ d * = β( 1+λ )[ ( 1+μ )Aα( ce ) ] T[ 4αγ β 2 ( 1+λ ) 2 ] β( 1+λ )[ ( 1+μ )Aα( ce ) ] T[ 8αγ β 2 ( 1+λ ) 2 ] = 4αγβ( 1+λ )[ ( 1+μ )Aα( ce ) ] T[ 8αγ β 2 ( 1+λ ) 2 ][ 4αγ β 2 ( 1+λ ) 2 ]

θ s * θ d * >0 可得 1>μ> α( ce )A A ,令 θ s * θ d * <0 可得 μ< α( ce )A A < αcA A

该命题与命题三共同说明不论平台采取哪种合作策略,集中供应链决策情况下的最优研发投入都会在网络外部性的影响下产生一个临界点,当网络外部性小于该临界值时,集中供应链下的平台最优研发投入小于分散决策下的平台最优决策,当网络外部性大于该临界值时,集中供应链下的平台最优研发投入大于分散决策下的平台最优决策,这一原因在命题一中已经说明。但值得注意的是,不同合作策略下的该临界值存在区别。由命题二可以看出数字技术平台进行技术共享下的网络外部性的临界值小于不进行技术共享的临界值。这表明随着平台研发投入的增加,平台与生产商进行数字技术共享的收益周期更短,可以更快地获得利润回报。

数字技术平台选择与生产商进行数字技术共享后,生产商可以更快地获得先进的技术来进行生产,随着数字平台研发投入的增加,数字平台的技术水平也在逐渐提升。如果此时平台没有选择进行技术共享,生产商只能使用现有的技术进行生产,市场需求和平台规模增长速度低,网络外部性达到临界值的周期更长。如果此时数字平台选择与生产商进行技术共享,则随着平台技术水平的提升,生产商的技术水平也在提升,产品的数字化程度更高,市场需求和平台规模增长速度高,网络外部性达到临界值的周期缩短,数字技术平台可以更快的盈利。

命题五:在集中决策下,网络外部性对数字平台的技术共享决策意愿水平存在影响。当网络外部性出

现正向效应也即 μ> αcA A 时,数字技术平台选择进行与生产商进行技术共享,供应链整体可以获得更多利润。

证明:将集中决策下数字平台选择进行技术共享的供应链整体利润与不进行技术共享时作差得

π v = π s * π s * ¯ = γ 2 [ ( 1+μ )Aα( ce ) ] 2 4αγ β 2 ( 1+λ ) 2 γ 2 [ ( 1+μ )Aαc ] 2 4αγ β 2

为方便计算取 π s * = γ 2 [ ( 1+μ )Aα( ce ) ] 2 4αγ β 2 ,即将 π s * 缩小得到

π v = π s * π s * ¯ = α 2 e 2 +2[ ( 1+μ )Aαc ] 4αγ β 2 ,令 π v μ 求偏导得到 δ π v δμ = 2A 4αγ β 2 >0

可以看出当 μ> αcA A 时,总有 π v >0 成立。

该命题说明,当数字技术平台的网络外部性逐渐显著时,平台更愿意与生产商共享数字技术进行生产销售从而使得供应链整体获得更多的利润。

在数字技术平台进入市场前期,技术尚不成熟,平台规模较小,由不成熟的数字技术生产的产品并不能获得消费者偏爱,不能形成网络效应,这时候平台即使选择与生产商进行技术共享也不会获利。随着平台进入市场的时间越长,平台研发成本增加,数字技术得到提升,此时选择与生产商共享技术可以生产出数字技术水平较高的产品,因此进入市场会获得消费者的偏好,市场需求提升,平台消费规模扩大,网络外部性逐渐形成并开始显著,供应链整体利润增加。因此当数字平台企业决定技术共享时,要考虑到长远的利益发展,前期的投入使得平台必须承担一部分成本损失同时也不能让生产商承受太大亏损,平台作为供应链的领导者要发挥责任意思,通过技术的研发不断吸引消费者,扩大平台规模并聚集平台网络效应。

3. 供应链收益共享下的合作模型

本章只研究当网络外部性存在正向影响时供应链双方企业的契约合作,即供应链整体的收益共享,并且只研究数字技术平台进行技术研发和共享下的合作决策。

当数字技术平台进行数字技术研发和共享时,整个供应链的利润来源为政府补贴每单位产品的补贴费用e和生产商卖出的产品收入pq。在平台进入市场后期,由于技术研发费用的增加,平台会提高对生产商的单位产品的技术共享费用,对生产商来讲就必须在价格和佣金间做出博弈,这导致了供应链的不稳定。为了使生产商获得更多利润提升双方合作黏性和信任,平台考虑与生产商达成收益共享契约。收益共享使供应链整体达到最佳性能,也可以实现供应链系统的双向优化。收益共享契约中最主要的参数为收益共享系数,设定生产商收益共享的比例为 τ τ( 0,1 ) 。则数字平台收益共享的比例为 ( 1τ )

构建收益契约下的平台和生产商双方利润模型:

供应链总利润为: π=pqcq+eqC( T )=pqcq+eqγ ( θT ) 2

生产商的利润为:

π 1 =pq w d qcq=τπ (5)

数字技术平台的利润为:

π 2 = w d qC( T )+eq=( 1τ )π (6)

命题六:当 π 1 d * π s * τ1 π 2 d * π s * ,将单位产品的最优技术共享费用调整为 w ¯ =( 1τ )( pc )τe+ τγ θ 2 T 2 q ,即可实现供应链的系统协调。

证明:在共享机制的协调作用下, w ¯ =( 1τ )( pc )τe+ τγ θ 2 T 2 q τ( 0,1 ) ,进而可得:

π 1 =pq w d qcq=[ p( 1τ )( pc )+τe τγ θ 2 T 2 q c ]q=τ[ pqcq+eqγ ( θT ) 2 ]=τπ π 2 = w d qC( T )+eq=[ ( 1τ )( pc )τe+ τγ θ 2 T 2 q +e ]qγ ( θT ) 2 =( 1τ )π ,证毕。

同时供应链双方接受收益共享的契约前提是协调后的双方受益不能小于原分散决策下的各方收益,

由此得出 τ 的设计应该满足以下条件: { π 1 π 1 d * π 2 π 2 d *

解出收益共享契约下的收益共享比例的取值范围为 π 1 d * π s * τ1 π 2 d * π s * 。也就是当收益共享的比例满足

上述条件时,可以实现供应链的双向优化,双方在分散决策下的最优收益都会得到提升。

4. 数值仿真与结论

参考相关领域学者的调研数据[17],假设市场参数如下:消费者市场规模 A=1000 ,市场价格弹性系数 α=6 ,生产商生产成本 c=100 ,平台现有技术水平T为5,消费者对数字产品的技术偏好度 β=2 ,平台技术共享的比例 λ=0.5 ,政府对技术共享的单位产品补贴 e=20 。出于一般考虑,分析在不同决策情境下的产品价格和供应链各方利润。得到数字平台技术研发投入成本系数 γ=0.5 γ=0.8 时的数值对比图(如图1图2所示)。

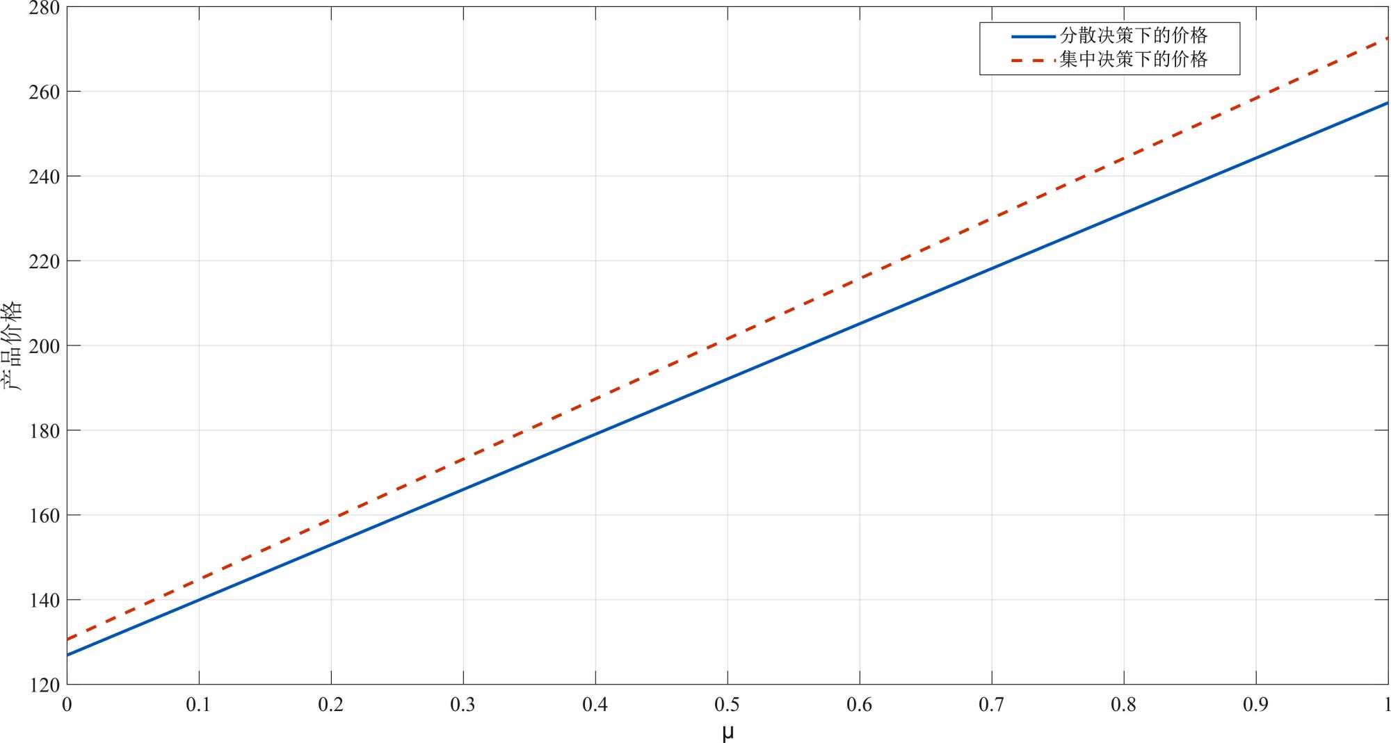
Figure 1. γ=0.5 product prices for both decisions

1. γ=0.5 两种决策的产品价格

图2可以看出:1) 集中决策下的产品销售价格随网络外部性的增大而增大,这说明网络外部性为产品增加的网络效用使得企业有信心将产品定位提高,以获取更高的收益。2) 分散决策下的产品售价也随网络外部性的增大而增大,但增大趋势并没有集中决策下的销售价格明显,这是因为分散决策下的供应链节点企业各自为政,将网络外部性的正向影响进一步弱化,导致对产品效用的外向延伸表现并不明显。对比图1图2可以看出:1) 当数字平台的技术研发成本较高时,分散决策下的产品销售价格逐渐超过集中决策,这是因为分散决策下,数字平台由于前期高昂的研发费用必须提高抽成,平台研发成本的提高使得企业无法顾及上游的制造商,需要依靠提高售价维持高额的平台成本支出。

Figure 2. γ=0.8 product prices for both decisions

2. γ=0.8 两种决策的产品价格

Figure 3. Optimal expected R&D technology level of the platform

3. 平台最优期望研发技术水平

平台最优期望研发投入如图3所示。从图四可以看出:1) 无论平台选择分散决策还是集中决策,数字平台期望投入的最优研发技术水平和网络外部性呈正相关关系,这说明当网络外部性对平台网络规模出现正向影响时,数字平台愿意加大技术研发投入来进一步提升网络外部性,提升平台网络规模。2) 分散决策下的平台期望投入的最优研发技术水平随网络外部性的变化不明显,这是由于分散决策下平台更关注短期自身利益的发展,对网络外部性感知并不强烈,没有为供应链整体考虑,大幅提升自身数字技术水平的可能性。

Figure 4. Profits of both sides of the supply chain under decentralized decision-making

4. 分散决策下供应链双方的利润

Figure 5. Supply chain profit under centralized and decentralized decision-making

5. 集中与分散决策下供应链利润

供应链双方利润曲线如图4图5所示:

1) 在分散决策下,数字平台的利润始终大于生产商的利润,这是因为分散决策下数字平台处于领导者地位,数字平台首先考虑的是己方利益,由于研发成本过高,平台会提高对生产商的单位产品的技术共享费用。网络外部性的提升直接影响数字平台的收益,进而才投射到生产商利润上。

2) 随着网络外部性的不断增大,数字平台的收益曲线也越来越陡峭,这说明前期的研发投入在后期不断显现,数字平台只需以较少的研发成本便能获得较高的投资回报。

图5可以看出:随着网络外部性的不断扩大,集中决策下的供应链总体利润上升趋势远大于分散决策下的供应链总利润。所以集中决策下的供应链双方都会达成一致选择投入更高的研发成本换取更加可观的双赢结果。

最后验证供应链收益共享契约的可行性。与现有参数保持一致,取μ = 0.5时,结果如表1所示。

Table 1. Profit statement of supply chain after contract cooperation and coordination

1. 经过契约合作协调后的供应链利润表

μ=0.5

协调机制

π d 1 *

π d 2 *

π

集中决策 π s *

τ

协调前

16416.57

38989.35

55405.92

69360

0.2567

协调后

17804.71

51555.29

69360.00

69360

0.4218

协调后

29256.05

40103.95

69360.00

69360

0.3509

协调后

24338.42

45021.58

69360.00

69360

结合表1的计算结果可以清晰地看出,集中决策模型比分散决策模型具有更高的供应链总利润。同时当 0.2367τ0.4379 时,协调契约下对比分散决策模型,供应链中生产商的利润和数字平台的利润均得到了提升,并且协调后的供应链系统总利润等于集中决策下供应链系统的总利润,故收益共享契约实现了供应链的完美协调。

5. 研究结论

本文在深入分析网络外部性与数字平台技术共享相关文献的基础上,研究由一个数字技术平台企业和传统生产商组成的二级供应链的最优决策,分别考虑了集中决策、分散决策下的网络外部性和技术共享的作用,与一般不存在网络外部性、不进行技术共享的情况作对比,研究了网络外部性对平台技术共享意愿、服务水平、期望投入研发成本等一系列的最优决策的影响。研究发现:

(1) 数值仿真部分显示,平台利润、最优期望研发投入都会随着网络外部性的增大而逐渐增大,因此为了获得更多的利润,平台更有意愿增加技术的研发投入。因此网络外部性对生产商定价、数字平台的最优投入成本都有一定的促进作用。 但网络外部性的形成需要一定时间,只有当网络外部性达到峰值时也就是网络外部性具有正向效应时才能发挥促进作用。

(2) 由数值仿真部分可以看出供应链的总体利润会随着网络外部性的增大而增大,平台最优期望研发技术水平会随着网络外部性的增大而逐渐增大。数字技术平台企业愿意投入一定资金进行数字技术的研发来提高平台的网络外部性。当数字技术平台的网络外部性逐渐显著时,平台更愿意与生产商共享数字技术进行生产销售从而使得供应链整体获得更多的利润。

(3) 无论是平台最优佣金的制定还是最优服务水平的选择都和数字技术平台的技术水平有不可分割的关系,也就意味着数字技术水平越高的平台在市场竞争或供应链中才有资格选择佣金比例和服务质量。同时较高数字技术水平的平台可以通过影响消费者的偏好进一步提升市场需求。因此对于平台企业来讲,提高数字技术水平是首先考虑的事情。

(4) 不论是分散还是集中决策情境下,当网络外部性出现正效应时,数字技术平台选择进行技术共享可以提高对生产商的最优单位共享费用从而增加利润,同时在网络外部性的影响下,数字平台会进一步加强数字技术的研发投入来扩大平台的网络外部性。

(5) 对比分散和集中两种决策模型发现,集中模型下的供应链最优决策和供应链总体利润都大于分散决策,供应链的上下游企业应通力合作,共享合作成果。

(6) 在收益共享合作模式下,当收益共享的比例满足 π 1 d * π s * τ1 π 2 d * π s * 条件时,可以实现供应链的双向优化,双方在分散决策下的最优收益都会得到提升。

参考文献

[1] 胡志明. 数字技术应用、创新投入与企业价值[D]: [硕士学位论文]. 太原: 山西财经大学, 2023.
[2] Bharadwaj, A., El Sawy, O.A., Pavlou, P.A. and Venkatraman, N. (2013) Digital Business Strategy: Toward a Next Generation of Insights. MIS Quarterly, 37, 471-482.
https://doi.org/10.25300/misq/2013/37:2.3
[3] Vial, G. (2019) Understanding Digital Transformation: A Review and a Research Agenda. The Journal of Strategic Information Systems, 28, 118-144.
https://doi.org/10.1016/j.jsis.2019.01.003
[4] Nambisan, S. (2017) Digital Entrepreneurship: Toward a Digital Technology Perspective of Entrepreneurship. Entrepreneurship Theory and Practice, 41, 1029-1055.
https://doi.org/10.1111/etap.12254
[5] Rohlfs, J. (1974) A Theory of Interdependent Demand for a Communications Service. The Bell Journal of Economics and Management Science, 5, 16-37.
https://doi.org/10.2307/3003090
[6] Laffont, J., Rey, P. and Tirole, J. (1998) Network Competition: I. Overview and Nondiscriminatory Pricing. The RAND Journal of Economics, 29, 1-37.
https://doi.org/10.2307/2555814
[7] Katz, M.L. and Shapiro, C. (1985) Network Externalities, Competition and Compatibility. American Economic Review, 75, 424-440.
[8] 吴士亮, 仲琴. 云计算环境下应用软件服务定价策略研究——基于两阶段垄断模型的分析[J]. 价格理论与实践, 2017(8): 144-147.
[9] 赵映雪, 聂佳佳, 代壮. 存在盗版下网络外部性对信息产品定价的影响[J]. 系统工程理论与实践, 2017, 37(3): 620-630.
[10] 张翼飞, 陈宏民. 信息服务平台市场规模与定价关系研究——兼析信息服务平台合并的市场影响[J]. 价格理论与实践, 2019(2): 108-111.
[11] Zhao, D., Chen, H., Hong, X. and Liu, J. (2014) Technology Licensing Contracts with Network Effects. International Journal of Production Economics, 158, 136-144.
https://doi.org/10.1016/j.ijpe.2014.07.023
[12] Huang, Y. and Wang, Z. (2017) Information Sharing in a Closed-Loop Supply Chain with Technology Licensing. International Journal of Production Economics, 191, 113-127.
https://doi.org/10.1016/j.ijpe.2017.06.008
[13] Chang, R., Hwang, H. and Peng, C. (2013) Technology Licensing, R & d and Welfare. Economics Letters, 118, 396-399.
https://doi.org/10.1016/j.econlet.2012.11.016
[14] Hattori, K. (2017) Optimal Combination of Innovation and Environmental Policies under Technology Licensing. Economic Modelling, 64, 601-609.
https://doi.org/10.1016/j.econmod.2017.04.024
[15] 方海燕, 达庆利, 等. 政府产品创新补贴下的企业R&D策略选择[J]. 技术经济与管理研究, 2011(7): 31-35.
[16] 颜锦江, 郭春香, 等. 面向网络外部性特征产品的供应链动态竞争策略研究[J]. 运筹与管理, 2018, 27(10): 76-82.
[17] 朱宾欣, 马志强, 高鹏, 等. 网络外部性对线下商定价和服务提供策略的影响[J]. 系统工程, 2019, 37(4): 74-82.