基于孟德尔随机化探究肾小球滤过率与心血管疾病结局的因果关系
Exploring the Causal Relationship between Estimated Glomerular Filtration Rate and Cardiovascular Disease Outcomes Based on Mendelian Randomization
DOI: 10.12677/acm.2025.151193, PDF, HTML, XML,    科研立项经费支持
作者: 黄烁萱, 缪长宏, 王怡寒, 肖 璐, 陈 匡*:天津中医药大学第一附属医院/国家中医针灸临床医学研究中心,天津;天津中医药大学,天津
关键词: 孟德尔随机化肾小球滤过率心力衰竭心血管疾病因果关系Mendelian Randomization Glomerular Filtration Rate Heart Failure Cardiovascular Disease Causality
摘要: 背景:目前大量观察性研究表明估算肾小球滤过率(eGFR)下降与心血管疾病风险增加有关。但是对于估算肾小球滤过率与心血管疾病之间的潜在关系还没有统一的结论。方法:我们首先从一项全基因组关联研究(GWAS)中确定了估算肾小球滤过率的遗传工具。我们利用MR分析对不同心血管结局事件进行了双样本的分析,并采用逆方差加权、加权中位数、MR-PRESSO、MR-egger和留一法进行分析。结果:研究结果显示,经最严格的Bonferroni矫正后(Padjust = 0.01),肾小球滤过率估计值降低与心力衰竭之间的潜在因果关系有显著证据,IVW结果提示有显著统计学意义(OR = 1.009, 95%CI = 1.003~1.015, P = 0.003, P < Padjust)。在估算肾小球滤过率与冠状动脉综合征(CAD) (OR = 1.006, 95%CI = 0.998~1.013, P = 0.14)、估算肾小球滤过率与心血管疾病(CVD) (OR = 1.003, 95%CI = 0.995~1.011, P = 0.45)、估算肾小球滤过率与卒中(OR = 1.000, 95%CI = 0.9998~1.0001, P = 0.95)以及估算肾小球滤过率与心房颤动(AF) (OR = 1.004, 95%CI = 0.9952~1.0126, P = 0.38)的IVW试验结果均未提示eGFR与心血管结局事件之间存在潜在的因果关系。结论:我们进行的多个大型MR分析发现,估算肾小球滤过率与心衰发生的风险存在显著的因果关系,但是我们未发现估算肾小球滤过率对于其他心血管结局事件有显著因果关联。
Abstract: Background: A large number of observational studies have shown that a decrease in estimated glomerular filtration rate (eGFR) is associated with an increased risk of cardiovascular disease. However, there is no consensus on the potential relationship between eGFR and cardiovascular diseases. Methods: We first identified genetic instruments for eGFR from a genome-wide association study (GWAS). We conducted two-sample MR analysis for different cardiovascular outcomes using inverse-variance weighted (IVW), weighted median, MR-PRESSO, MR-Egger, and leave-one-out methods. Results: After the most stringent Bonferroni correction (Padjust = 0.01), our findings provided significant evidence for a potential causal relationship between reduced eGFR and heart failure. The IVW result showed statistical significance (OR = 1.009, 95%CI = 1.003~1.015, P = 0.003, P < Padjust). The IVW results for eGFR and coronary artery disease (CAD) (OR = 1.006, 95%CI = 0.998~1.013, P = 0.14), eGFR and cardiovascular disease (CVD) (OR = 1.003, 95%CI = 0.995~1.011, P = 0.45), eGFR and stroke (OR = 1.000, 95%CI = 0.9998~1.0001, P = 0.95), and eGFR and atrial fibrillation (AF) (OR = 1.004, 95%CI = 0.9952~1.0126, P = 0.38) did not suggest any potential causal relationships between eGFR and these cardiovascular outcomes. Conclusion: Our multiple large-scale MR analyses found a significant causal relationship between eGFR and the risk of heart failure, but we did not find any significant causal associations between eGFR and other cardiovascular outcomes.
文章引用:黄烁萱, 缪长宏, 王怡寒, 肖璐, 陈匡. 基于孟德尔随机化探究肾小球滤过率与心血管疾病结局的因果关系[J]. 临床医学进展, 2025, 15(1): 1441-1449. https://doi.org/10.12677/acm.2025.151193

1. 引言

心血管疾病(CVD)仍然是全世界最常见的死亡因素,每年约有6000万欧洲地区人口死于心血管疾病[1]。而最新的心血管疾病的公认危险因素包括不健康的饮食摄入、缺乏运动、血脂异常、糖尿病前期/糖尿病、高血压、肥胖、特定人群的考虑(年龄较大、种族/民族和性别差异)、血栓形成(吸烟是血栓形成的潜在诱因)、肾功能障碍和遗传/家族性高胆固醇血症[2]。近年来,关于肾功能障碍与心血管疾病发生风险的研究已经成为热点,但具体的潜在关系仍有争议[3]。因此为了减轻心血管患者负担,更应进一步阐明肾功能障碍与心血管疾病结局事件(冠状动脉综合征、心房纤颤、卒中、心力衰竭)是否存在因果关系。

采用CKD-EPI公式得出的估算肾小球滤过率(eGFR)是慢性肾脏疾病现今临床上的充分和有用的衡量指标[4]。如今临床上公认估算肾小球滤过率与慢性肾脏病密切相关[5]。一项meta分析显示,目前全球约13.4%的人口处于低肾小球滤过率的慢性肾脏病阶段[6]。低估算肾小球滤过率已经成为诸多疾病的危险因素,尤其是对于心血管疾病结局的影响[7]。一项回顾性分析显示,低eGFR (eGFR < 60 ml/min/1.73 m2)与心力衰竭风险显著相关,此外肾小球滤过率对于心血管死亡的预测也有显著意义(HR = 0.76, 95%CI = 0.67~0.86, P < 0.001) [8]。另一项文献显示,低eGFR与中风风险显著相关,认为肾小球滤过率是中风的危险因素[9]。但都存在潜在的偏差,如混杂因素或反向因果关系[10],eGFR和心血管结局事件之间的关系尚未得到系统的研究;因此,肾小球滤过率是否在心血管疾病的发展中起因果作用仍不清楚。

孟德尔随机化可以利用遗传变异,使用工具变量将暴露因素与结局变量疾病的因果关系联系起来,从而克服了混杂因素的干扰以及反向因果关系。如果eGFR这个暴露会直接影响各个心血管疾病结局事件的结果,那么,影响eGFR的变量应该会以一定比例的程度影响各个心血管疾病结局。因此,在这篇研究中,我们将利用双样本MR,使用eGFR和CVD、心房颤动、卒中、心力衰竭、冠状动脉综合征的GWAS分析数据,来揭示eGFR与心血管疾病结局事件发生风险的因果影响。

2 数据和方法

2.1. 研究设计

本研究是基于全基因组关联的eGFR对于多个心血管结局事件的双样本MR研究。遵循了最新的MR分析指南,在三个基本假设下进行:(1) 遗传变异与eGFR密切相关;(2) 遗传变异与任何潜在混杂因素无关;(3) 除了通过eGFR方式外,遗传变异与各个心血管疾病结局事件无关[11]

2.2. 工具变量挑选

eGFR的遗传工具变量是从IEU OpenGWAS project中提取,涉及76,511名参与者(GWAS ID:ieu-b-4832)。利用R (版本4.2.1)通过TwoSampleMR包找出与eGFR显著相关的SNP (P < 5 × 108)后,并设置r2 = 0.001和kb = 10,000,以便去掉在10,000 kb范围内与最显著SNP的r2大于0.001的SNP (即单核苷酸多态性)。最终我们发现了47个与eGFR相关的遗传变异。为了评估是否有任何的SNP与CVD先前的结果相关,并且尽可能地消除可能的混杂因素我们搜索了PhenoScanner数据库[12]。根据心血管事件结局的公认的危险因素(如高血压、冠心病、高脂血症),我们剔除了eGFR对结局变量冠状动脉综合征、卒中、心力衰竭和CVD的危险因素显著相关的SNP (rs11124926、rs1260326、rs1047891、rs76182445、rs3127580、rs6464165、rs77924615) [13]。最终得到40个SNP来评估以上结局变量。

2.3. 结局变量数据来源

Table 1. Data sources

1. 数据来源

变量

数据来源

样本量

人种

网页资源

暴露因素

eGFR

IEU OpenGWAS

76,511

European

https://gwas.mrcieu.ac.uk/

结局变量

卒中

UK Biobank

7055/454,825

European

http://www.nealelab.is/uk-biobank

心房颤动

GWAS Catalog

60,620/970,216

European

https://www.ebi.ac.uk/gwas/

冠状动脉综合征(CAD)

GWAS Catalog

122,733/424,528

NA

https://www.ebi.ac.uk/gwas/

CVD

FinnGen

111,108/107,684

European

https://www.finngen.fi/en

心力衰竭

GWAS Catalog

47,309/930,014

European

https://www.ebi.ac.uk/gwas/

首先我们选择了临床上重大的心血管事件作为结局变量(冠状动脉综合征、卒中、心房纤颤、心力衰竭以及CVD) [14]。我们利用IEU OpenGWAS project获得了来自芬兰数据联盟的111,108例和107,684例对照的CVD结局变量样本(GWAS ID:finn-b-I9_CVD);并在GWAS Catalog获得了122,733例和424,528例对照的CAD结局样本(GWAS ID:ebi-a-GCST005195)和47,309例和930,014例对照的心力衰竭样本(GWAS ID:ebi-a-GCST009541)以及60,620和970,216对照的心房纤颤样本(GWAS ID:ebi-a-GCST006414);最后在UK Biobank上获得了7055例和454,825例对照的卒中结局变量样本(GWAS ID:ukb-b-8714)。本研究中所有遗传数据集的信息见表1

3 统计分析

3.1. 孟德尔随机化分析

我们首先对eGFR和心血管疾病的多个结局有影响的等位基因协调后,我们使用了IVW、Weighted median、MR Egger等多种分析方法分别评估了eGFR与冠状动脉综合征、卒中、心房纤颤、心力衰竭以及CVD的因果关系[15]。随后我们使用Wald比来估计暴露对每个结果的影响,然后对每个Wald比进行反方差加权(IVW)分析,以获得MR估计[16]。此外,Weighted median和MR Egger都被用作IVW分析方法的补充,但对于单个SNPs的Wald比的逆方差加权元分析被用作主要结果[17]

3.2. 敏感性分析

敏感性分析是MR研究检测潜在多效性最重要的环节[18]。这个研究首先采用了Cochrane’s Q值来评估异质性,若Cochrane’s Q的P值小于0.05,则采用IVW法和随机效应模型作为主要结局;否则,即采用固定效应模型。其次,MR Egger方法的估计对于多效性的存在是相对稳健的,因此我们采用MR-Egger的截距和漏斗图来评估水平多效性(P < 0.05被认为存在水平多效性),若MR-Egger的截距的P值小于0.05,则该结果并不可靠[19]。第三,我们也进行了MR-PRESSO分析方法更有效地补充说明了水平多效性的是否存在[20] [21]

4. 结果

4.1. 孟德尔随机化分析结果

Figure 1. Forest plot of Mendelian Randomization analysis

1. 孟德尔随机化分析的森林图

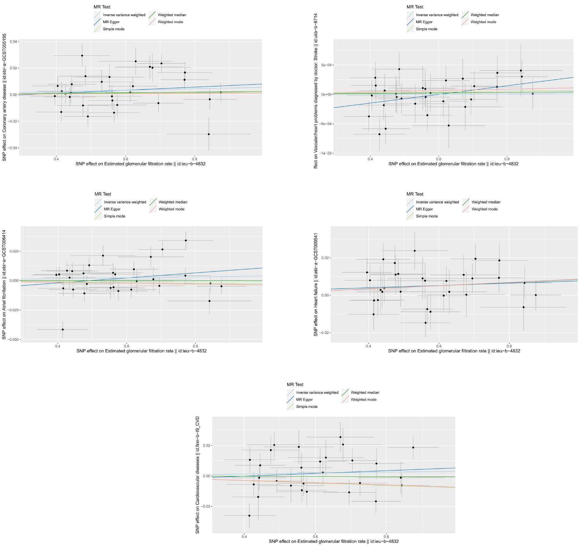
Figure 2. Scatter plot of mendelian randomization analysis

2. 孟德尔随机化分析结果的散点图

我们使用了40个eGFR相关的SNP,结果显示eGFR对心衰的潜在因果影响证据显著,经最严格的Bonferroni矫正(Padjust = 0.05/5)后仍有显著统计学意义(OR = 1.009, 95%CI = 1.003~1.015, P = 0.003),用加权中位数方法(OR = 1.008, 95%CI = 1.00~1.02, P = 0.046)获得相似的风险估计。此外敏感性分析的MR Egger方法的截距P值大于0.05 (P = 0.83),在“留一”法中也未见有单个SNP对eGFR和心力衰竭的整体结果有较大影响。未提示有明显的水平多效性。因此eGFR与心力衰竭之间存在显著的因果关系。

同时,我们使用40个SNP评估eGFR和CAD、CVD、卒中以及房颤的因果关系时,均未观察到有明显的因果联系。eGFR和CAD (OR = 1.006, 95%CI = 0.998~1.013, P = 0.14)、eGFR和CVD (OR = 1.003, 95%CI = 0.995~1.011, P = 0.45)、eGFR和卒中(OR = 1.000, 95%CI = 0.9998~1.0001, P = 0.95)、eGFR和心房纤颤(OR = 1.004, 95%CI = 0.9952~1.0126, P = 0.38)的IVW方法的P值均大于0.05,差别无统计学意义。具体数据如图1图2所示。

4.2. 敏感性分析结果

MR-PRESSO法在eGFR和CVD (P = 0.981)、eGFR与CAD (P = 0.722)、eGFR和中风(P = 0.537)、eGFR与房颤(P = 0.963)的各组数据中也未提示水平多效性的存在。MR Egger截距的P值大于0.05,“留一”法图中均未提示有单个SNP会明显影响实验的偏倚水平(结果如图3所示)。因此,我们也得出eGFR与心力衰竭之间存在显著的因果关系,eGFR与心血管疾病、CAD、卒中以及心房纤颤之间均无因果关系的存在。

Figure 3. Leave-one-out analysis plot of Mendelian Randomization analysis

3. 孟德尔随机化分析的“留一”法图

5. 讨论

在本研究中,我们严格遵循MR分析的指南,应用双样本的MR全面分析了估算肾小球滤过率是否会对心血管结局事件产生因果影响。但在分别分析了对每个结局事件的结果后,我们并没有发现有明确的证据支持估算肾小球滤过率对心血管结局事件存在因果作用。其中估算肾小球滤过率对心力衰竭发生的统计学意义显著(OR = 1.009, 95%CI = 1.003~1.014, P = 0.003),考虑两者间存在显著因果关联。

先前的研究表明CAD的发生风险随着eGFR降低而逐渐增加,这可能与eGFR降低的患者发生内皮功能障碍、氧化应激增加、CKD-MBD异常(高磷血症、甲状旁腺功能亢进和血管钙化)以及炎症反应增加有关[22]。特别是研究者在对GFR降低的肾功能不全患者调整传统危险因素后,其与心血管的风险仍持续,因此研究者提出了氧化应激学说;eGFR降低的肾脏疾病患者氧化应激反应使得ROS的产生增加,从而引起了内皮功能障碍,最终使得动脉粥样硬化的发生,增加了心血管疾病的风险[23]。另外随着肾功能的下降,慢性肾病的并发症CKD-MBD就会随之加剧。首先随着肾小球滤过率的下降,肾小管吸收磷酸盐的功能障碍,从而机体就会患上高磷酸血症,从而增加心血管风险;其次,CKD-MBD的成分会导致甲状旁腺激素生成增加和甲状旁腺结节性增生,随之影响心血管疾病的发生;最重要的是CKD-MBD的发生会促进血管的僵硬和钙化,会极大增加冠状动脉疾病发生的风险[24]。并且最新研究显示褪黑素会对心血管系统产生影响,一项最新的研究认为松果体褪黑激素昼夜节律的紊乱导致了昼夜睡眠–觉醒节律障碍,而eGFR低的肾脏病患者夜间褪黑素升高阈值会随eGFR的降低而降低,从而增加了心血管疾病的风险[25]

eGFR降低的肾脏患者的肌钙蛋白升高通常反映了长期暴露于尿毒症毒素、左心室肥厚、CAD和心力衰竭造成的持续心肌损伤,另一种可能的机制是肾脏清除率降低导致肌钙蛋白水平随着时间的推移而升高。随着eGFR逐渐下降,肾功能逐渐降低会使得左心室衰竭的基本机制(容量过载、压力过载、心肌病)变得不可控制,血管容量过载,心脏负荷不断增大,最终形成心衰[26]

肾功能下降与卒中的发生机制除了肾脏与大脑共有的紧张血管,随着动脉硬化加剧外;高水平的尿素可能通过氨基甲酰化反应直接导致eGFR降低的肾脏病患者的中风风险,在这种反应中,尿素解离生成氰酸酯,而氰酸酯又与蛋白质和游离氨基酸发生不可逆反应。而蛋白质氨甲酰化又可能导致内皮功能障碍,从而增加患者卒中风险[27]。这结果与我们的实验结果也并不一致。但是对于eGFR下降与卒中发生的关系目前的研究仍存在争议。一项大型的涉及195,572人的队列研究显示,在肾小球滤过率小于45 ml/min/1.73 m2时,缺血性卒中的风险显著提升[28]。但一项涉及4937人的大型队列研究却表明肾小球滤过率的下降与整体中风发生的风险不显著,并且认为估算肾小球滤过率与缺血性脑卒中无关;并且该研究也提出肾小球滤过率与中风之间可能非因果关系,肾小球滤过率可以通过影响脑小血管疾病或者血小板功能障碍从而引起出血性卒中而不是缺血性脑卒中的发生[29]

随着eGFR的下降以及慢性肾病的进展,机体的炎症反应加剧已经被证明会导致房颤的发生和持续。另外由于肾素–血管紧张素–醛固酮系统(RAAS)的激活,会导致活性氧的增加,诱导转化生长因子b1 (TGF-b1)表达从而导致了心房纤维化,最终增加了心房颤动的易感性。因此eGFR也会影响房颤的疾病进展[30]。目前eGFR下降与房颤发生的关系仍不清楚,大量研究表明eGFR是心房颤动发生的显著风险因素,即使是在轻度或中度的估算肾小球滤过率下降时,eGFR与心房颤动仍然表现出较高的相关性[31]。一项来自美国的老年人群的研究表明,在经过多因素调整后,eGFR (依据胱抑素C评估)与心房颤动之间并无风险关联;该研究并提出了肾小球滤过率与心房颤动的因果关系之间可能存在中介变量的影响(充血性心力衰竭、高血压、CRP水平、左心室肥厚) [32]。尽管我们的研究已经尽可能剔除了可能的中间变量影响,但可能现有的研究数据仍不能说明eGFR与心房颤动之间存在明确的潜在因果关系。

我们的研究避开了除偏倚外的混杂因素的干扰,并且我们也将每个纳入的SNP均搜索了其相关的次级表型,并排除了与心血管结局及其危险因素相关的SNP,同时MR-Egger拦截检验结果也符合预期。但是本研究仍然存在着局限性。首先我们仍不可能完全排除多效性的影响。因此eGFR对于心血管结局事件的机制研究仍有待继续探索。其次研究人群主要是欧洲血统,这限制了结果对其他人群的适用性。

6. 结论

本研究使用双样本MR分析研究了eGFR与心血管结局事件(CVD、CAD、卒中、心力衰竭、心房纤颤)之间的因果关系,目前的研究认为eGFR与心力衰竭之间存在显著的因果关联,但是不支持eGFR与广泛的心血管结局(卒中、CVD、房颤、冠状动脉疾病)之间存在因果关联。

基金项目

天津中医药大学研究生科研创新项目(YJSKC-20232007)。

NOTES

*通讯作者。

参考文献

[1] Townsend, N., Kazakiewicz, D., Lucy Wright, F., Timmis, A., Huculeci, R., Torbica, A., et al. (2021) Epidemiology of Cardiovascular Disease in Europe. Nature Reviews Cardiology, 19, 133-143.
https://doi.org/10.1038/s41569-021-00607-3
[2] Bays, H.E., Agarwala, A., German, C., Satish, P., Iluyomade, A., Dudum, R., et al. (2022) Ten Things to Know about Ten Cardiovascular Disease Risk Factors—2022. American Journal of Preventive Cardiology, 10, Article ID: 100342.
https://doi.org/10.1016/j.ajpc.2022.100342
[3] Levey, A.S. and Coresh, J. (2012) Chronic Kidney Disease. The Lancet, 379, 165-180.
https://doi.org/10.1016/s0140-6736(11)60178-5
[4] Heldal, K., et al. (2022) Estimated Glomerular Filtration Rate as a Measurement of Kidney Function. Tidsskr Nor Laegeforen, 141, 115-128.
[5] Cusumano, A.M., Tzanno-Martins, C. and Rosa-Diez, G.J. (2021) The Glomerular Filtration Rate: From the Diagnosis of Kidney Function to a Public Health Tool. Frontiers in Medicine (Lausanne), 8, Article ID: 769335.
https://doi.org/10.3389/fmed.2021.769335
[6] Hill, N.R., Fatoba, S.T., Oke, J.L., Hirst, J.A., O’Callaghan, C.A., Lasserson, D.S., et al. (2016) Global Prevalence of Chronic Kidney Disease—A Systematic Review and Meta-Analysis. PLOS ONE, 11, e0158765.
https://doi.org/10.1371/journal.pone.0158765
[7] Visseren, F.L.J., Mach, F., Smulders, Y.M., Carballo, D., Koskinas, K.C., Bäck, M., et al. (2021) 2021 ESC Guidelines on Cardiovascular Disease Prevention in Clinical Practice. European Heart Journal, 42, 3227-3337.
https://doi.org/10.1093/eurheartj/ehab484
[8] Aimo, A., Januzzi, J.L., Vergaro, G., Ripoli, A., Latini, R., Masson, S., et al. (2019) High-Sensitivity Troponin T, NT-proBNP and Glomerular Filtration Rate: A Multimarker Strategy for Risk Stratification in Chronic Heart Failure. International Journal of Cardiology, 277, 166-172.
https://doi.org/10.1016/j.ijcard.2018.10.079
[9] Wyld, M. and Webster, A.C. (2021) Chronic Kidney Disease Is a Risk Factor for Stroke. Journal of Stroke and Cerebrovascular Diseases, 30, Article ID: 105730.
https://doi.org/10.1016/j.jstrokecerebrovasdis.2021.105730
[10] Verduijn, M., Siegerink, B., Jager, K.J., Zoccali, C. and Dekker, F.W. (2010) Mendelian Randomization: Use of Genetics to Enable Causal Inference in Observational Studies. Nephrology Dialysis Transplantation, 25, 1394-1398.
https://doi.org/10.1093/ndt/gfq098
[11] Burgess, S., Davey Smith, G., Davies, N.M., Dudbridge, F., Gill, D., Glymour, M.M., et al. (2019) Guidelines for Performing Mendelian Randomization Investigations. Wellcome Open Research, 4, 186.
https://doi.org/10.12688/wellcomeopenres.15555.1
[12] Staley, J.R., Blackshaw, J., Kamat, M.A., Ellis, S., Surendran, P., Sun, B.B., et al. (2016) PhenoScanner: A Database of Human Genotype-Phenotype Associations. Bioinformatics, 32, 3207-3209.
https://doi.org/10.1093/bioinformatics/btw373
[13] Francula-Zaninovic, S. and Nola, I.A. (2018) Management of Measurable Variable Cardiovascular Disease’ Risk Factors. Current Cardiology Reviews, 14, 153-163.
https://doi.org/10.2174/1573403x14666180222102312
[14] Lee‐Lane, E., Torabi, F., Lacey, A., Fonferko‐Shadrach, B., Harris, D., Akbari, A., et al. (2021) Epilepsy, Antiepileptic Drugs, and the Risk of Major Cardiovascular Events. Epilepsia, 62, 1604-1616.
https://doi.org/10.1111/epi.16930
[15] Spiga, F., et al. (2022) Tools for Assessing Quality and Risk of Bias in Mendelian Randomization Studies: A Systematic Review. International Journal of Epidemiology, 52, 227-249.
[16] Lawlor, D.A., Harbord, R.M., Sterne, J.A.C., Timpson, N. and Davey Smith, G. (2008) Mendelian Randomization: Using Genes as Instruments for Making Causal Inferences in Epidemiology. Statistics in Medicine, 27, 1133-1163.
https://doi.org/10.1002/sim.3034
[17] Bowden, J., Davey Smith, G. and Burgess, S. (2015) Mendelian Randomization with Invalid Instruments: Effect Estimation and Bias Detection through Egger Regression. International Journal of Epidemiology, 44, 512-525.
https://doi.org/10.1093/ije/dyv080
[18] Zhang, W. and Ghosh, D. (2020) A General Approach to Sensitivity Analysis for Mendelian Randomization. Statistics in Biosciences, 13, 34-55.
https://doi.org/10.1007/s12561-020-09280-5
[19] Burgess, S. and Thompson, S.G. (2017) Interpreting Findings from Mendelian Randomization Using the MR-Egger Method. European Journal of Epidemiology, 32, 377-389.
https://doi.org/10.1007/s10654-017-0255-x
[20] Verbanck, M., Chen, C., Neale, B. and Do, R. (2018) Detection of Widespread Horizontal Pleiotropy in Causal Relationships Inferred from Mendelian Randomization between Complex Traits and Diseases. Nature Genetics, 50, 693-698.
https://doi.org/10.1038/s41588-018-0099-7
[21] Bowden, J. and Holmes, M.V. (2019) Meta‐Analysis and Mendelian Randomization: A Review. Research Synthesis Methods, 10, 486-496.
https://doi.org/10.1002/jrsm.1346
[22] Afsar, B., Turkmen, K., Covic, A. and Kanbay, M. (2014) An Update on Coronary Artery Disease and Chronic Kidney Disease. International Journal of Nephrology, 2014, Article ID: 767424.
https://doi.org/10.1155/2014/767424
[23] Popolo, A., Autore, G., Pinto, A. and Marzocco, S. (2013) Oxidative Stress in Patients with Cardiovascular Disease and Chronic Renal Failure. Free Radical Research, 47, 346-356.
https://doi.org/10.3109/10715762.2013.779373
[24] Nanayakkara, P.W.B. and Gaillard, C.A.J.M. (2010) Vascular Disease and Chronic Renal Failure: New Insights. Netherlands Journal of Medicine, 68, 5-14.
[25] Skalsky, K., Shiyovich, A., Steinmetz, T. and Kornowski, R. (2022) Chronic Renal Failure and Cardiovascular Disease: A Comprehensive Appraisal. Journal of Clinical Medicine, 11, Article No. 1335.
https://doi.org/10.3390/jcm11051335
[26] Schefold, J.C., Filippatos, G., Hasenfuss, G., Anker, S.D. and von Haehling, S. (2016) Heart Failure and Kidney Dysfunction: Epidemiology, Mechanisms and Management. Nature Reviews Nephrology, 12, 610-623.
https://doi.org/10.1038/nrneph.2016.113
[27] Kelly, D. and Rothwell, P.M. (2019) Disentangling the Multiple Links between Renal Dysfunction and Cerebrovascular Disease. Journal of Neurology, Neurosurgery & Psychiatry, 91, 88-97.
https://doi.org/10.1136/jnnp-2019-320526
[28] Oh, C., Park, S.K., Jung, J.Y., Choi, J., Ha, E., Lee, E., et al. (2021) Reduced Glomerular Filtration Rate and Risk of Stroke: A Nationwide Cohort Study in South Korea. Journal of Atherosclerosis and Thrombosis, 28, 928-941.
https://doi.org/10.5551/jat.56143
[29] Bos, M.J., Koudstaal, P.J., Hofman, A. and Breteler, M.M.B. (2007) Decreased Glomerular Filtration Rate Is a Risk Factor for Hemorrhagic but Not for Ischemic Stroke. Stroke, 38, 3127-3132.
https://doi.org/10.1161/strokeaha.107.489807
[30] Ding, W.Y., Gupta, D., Wong, C.F. and Lip, G.Y.H. (2020) Pathophysiology of Atrial Fibrillation and Chronic Kidney Disease. Cardiovascular Research, 117, 1046-1059.
https://doi.org/10.1093/cvr/cvaa258
[31] Eisen, A., Haim, M., Hoshen, M., Balicer, R.D., Reges, O., Leibowitz, M., et al. (2016) Estimated Glomerular Filtration Rate within the Normal or Mildly Impaired Range and Incident Non-Valvular Atrial Fibrillation: Results from a Population-Based Cohort Study. European Journal of Preventive Cardiology, 24, 213-222.
https://doi.org/10.1177/2047487316676132
[32] Deo, R., Katz, R., Kestenbaum, B., Fried, L., Sarnak, M.J., Psaty, B.M., et al. (2010) Impaired Kidney Function and Atrial Fibrillation in Elderly Subjects. Journal of Cardiac Failure, 16, 55-60.
https://doi.org/10.1016/j.cardfail.2009.07.002