1. 引言
在当今的大数据时代,数据分析已经成为社会各个领域决策制定的重要工具。无论是政府机构、企业组织还是个人,都依赖数据分析来指导其决策,从而更加科学地应对复杂多变的环境。QS世界大学排名作为年度出版物,为世界范围内顶尖大学的排名提供了权威性的指标[1]。它不仅包括了全球总体排名,还涵盖了51个不同学科和五个综合师资领域的研究排名。该排名是世界上阅读量最大的大学排名之一,对高等教育机构的声誉和影响力有着深远影响[2]。
本研究的数据来源于2018年至2022年QS世界大学排名的公开数据集。QS世界大学排名是由Quacquarelli Symonds (QS)公司发布的年度全球大学排名,涵盖了全球顶尖大学的综合排名及相关指标数据[3]。数据集通过QS官方网站及相关数据库获取,确保数据的权威性和时效性,为完善数据集,部分缺失的城市和国家信息通过大学官方网站和相关教育机构数据库进行补充。选取2018至2022年QS世界大学排名中排名前350的高校作为研究样本,利用统计模型和集成树模型对数据进行分析[4],旨在探索大学排名的变化规律和影响因素。本研究旨在构建一个准确性和解释性俱佳的预测模型,以预测未来大学排名的变化趋势,为高等教育的研究者和决策者提供了一种新的分析和预测工具,通过揭示排名背后的因素为全球高校提供了提升自身竞争力的策略,同时也为QS等排名机构改进评价体系,提供了实证依据。
2. 研究设计和方法
(一) 数据采集
本文主要针对2018年~2022年QS世界大学排名中前350名的6个指标进行探究,利用数据集中Year (评选年份)、Rank (大学排名)、Name (大学名称)、Point (大学得分)、City (大学所在城市)和Country (所属国家信息)梳理数据的来源和组织结构,对数据进行清洗和预处理,确保数据质量。进而深入挖掘大学排名数据中的信息,为决策者、研究人员和社会大众提供有关大学排名、国家城市趋势和未来发展的启示。
首先需要对数据集进行严格的预处理和数据清洗,旨在确保分析的准确性和可靠性。数据探索与预处理阶段对数据集中的错误、重复值和缺失值进行了全面检查,并进行了必要的修复和填充,以确保后续分析的有效性。这一关键步骤是确保基于正确和完整数据进行分析的重要前提。接着在国家和城市两个层面进行统计分析,对2018年~2022年之间上榜高校数量最多的国家和城市进行分析,并给出排名前10名的国家和城市;基于简单的统计分析后,对数据集进行扩充,通过相关性分析和特征选择,选择了部分指标进行模型的训练,同时训练多种多个预测模型,进行效果对比,最终选择预测效果最好的预测模型进行得分和排名的预测;最后对题目数据进行充分挖掘和分析。
(二) 数据探索与预处理
1. 统计分析
对数据从统计测度进行分析,6个指标的时间跨度为2018年至2022年,总计5250条数据,6个指标中Year、Rank和Point三个指标为数值型变量,Name、City和Country三个指标为字符串变量。通过对缺失值进行统计,以直方图形式呈现,如图1所示,Point缺失值较多,需要根据排名进行填充,学校所对应的City和Country也有部分缺失需要填充,值得注意的是City中的缺失值是以“-”出现的。此外,通过刻画2018~2022年各高校Point这一指标的箱型图发现(如图2所示),有部分统计值存在偏离数据趋势的情况,但这恰恰说明了高校之间的差异性,符合题中所需要探究的问题。统计分析为后续的数据处理提供了直观依据。
2. 可视化分析
为进一步了解数据趋势与分布,对部分高校的QS排名变化情况与全球高校分布热力图进行了可视化分析。如图3所示,国内众多985高校在QS排名上表现平平,位居200位,且存在较大的排名波动情况。在我国中部地区上榜高校较多,同时存在分布不均衡的情况[5]。这为后续的排名预测和数据挖掘提供了现实依据。
Figure 1. Missing value statistics
图1. 缺失值统计
Figure 2. Boxplot of Point rankings for universities from 2018 to 2022 
图2. 2018~2022年上榜高校Point箱线图
Figure 3. Line chart showing the changes in QS rankings for some universities
图3. 部分高校QS排名变化折线图
3. 模型的建立与求解
(一) 国家上榜大学数量统计模型
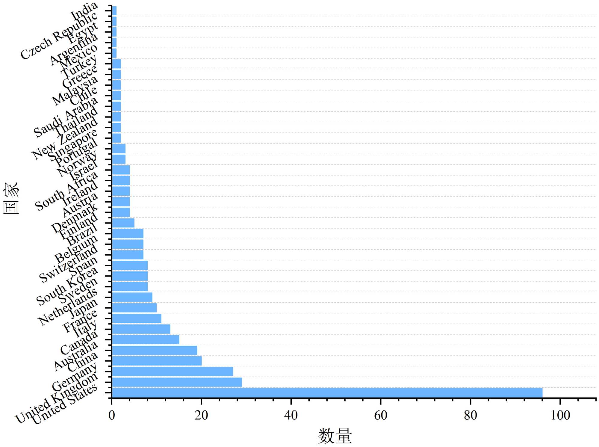
通过数据探索与预处理对数据集进行处理,按照年份进行了分类,覆盖了2018年至2022年每年350个上榜高校,旨在探究每年在QS排名榜内出现的国家。通过运用频次分析方法,确定了每个国家在这五年内出现在排名榜上的次数。随后,通过条形图,如图4~8,以图形方式展示了每年各国上榜的次数。这些图提供了不同国家高校上榜数量的排名情况。
Figure 4. Bar chart of countries with universities listed in 2018 
图4. 2018年上榜高校所在国家条形图
Figure 5. Bar chart of countries with universities listed in 2019
图5. 2019年上榜高校所在国家条形图
Figure 6. Bar chart of countries with universities listed in 2020
图6. 2020年上榜高校所在国家条形图
Figure 7. Bar chart of countries with universities listed in 2021
图7. 2021年上榜高校所在国家条形图
Figure 8. Bar chart of countries with universities listed in 2022
图8. 2022年上榜高校所在国家条形图
通过2018年至2022年的条形图,不难发现2018年至2022年QS上榜高校数量最多的国家均为United States。依据统计结果绘制如下频次统计表,结果如表1所示,该表即为2018年至2022年QS上榜高校数量排名前10的国家。
Table 1. Frequency statistics of different countries’ entries in the QS rankings by year
表1. 各年份不同国家上榜QS排名频次统计
 
  
    评选年份/所属国家  | 
    2018年  | 
    2019年  | 
    2020年  | 
    2021年  | 
    2022年  | 
  
  
    United State (美国)  | 
    97  | 
    101  | 
    96  | 
    98  | 
    92  | 
  
  
    United Kingdom (英国)  | 
    30  | 
    29  | 
    29  | 
    27  | 
    27  | 
  
  
    Germany (德国)  | 
    28  | 
    29  | 
    27  | 
    26  | 
    27  | 
  
  
    China (中国)  | 
    20  | 
    20  | 
    20  | 
    22  | 
    19  | 
  
  
    Australia (澳大利亚)  | 
    19  | 
    16  | 
    19  | 
    21  | 
    21  | 
  
  
    Canada (加拿大)  | 
    14  | 
    15  | 
    15  | 
    15  | 
    15  | 
  
  
    Japan (日本)  | 
    13  | 
    11  | 
    10  | 
    10  | 
    10  | 
  
  
    Italy (意大利)  | 
    12  | 
    13  | 
    13  | 
    12  | 
    11  | 
  
  
    Netherlands (荷兰)  | 
    10  | 
    9  | 
    9  | 
    9  | 
    9  | 
  
  
    France (法国)  | 
    10  | 
    11  | 
    11  | 
    9  | 
    12  | 
  
 
Figure 9. 3D histogram of frequency changes in QS rankings by year and country
图9. 不同年份、国家QS排名上班频次变化三维直方图
在2018年至2022年的时间段内,美国始终为QS上榜高校数量最多的国家。排名前10的国家名单保持了相对的稳定性,分别为美国、英国、德国、中国、澳大利亚、加拿大、日本、意大利、荷兰和法国。这些国家之间的排名次序发生的变化,主要集中在荷兰、意大利和日本这三个国家之间。这种稳定的趋势和微小的排名变化反映出这些国家在高等教育领域的持续投入和优越性能(如图9所示)。此外,对于荷兰、意大利和日本等国家,其在排名中的微小浮动可能源于多个因素,包括研究投入、学术产出、国际合作等方面的细微变化。这些微妙的变化可能在全球高等教育竞争中产生深远的影响,驱动着国际学府之间的竞争与协作。
(二) 城市上榜大学数量统计模型
借助于Origin输出的所有上榜高校城市的饼图,并对上榜高校数量排名前10的城市进行径向条形图分析,如图10~14所示,通过饼图和径向条形图,绘制如下频次统计表,取出现频次最高的前10个城市进行统计,结果如表2所示。
Figure 10. Top 10 cities by number of listings in 2018
图10. 2018年上榜数量前10的城市
Figure 11. Top 10 cities by number of listings in 2019
图11. 2019年上榜数量前10的城市
Figure 12. Top 10 cities with the most entries in 2020
图12. 2020年上榜数量前10的城市
Figure 13. Top 10 cities with the most entries in 2021
图13. 2021年上榜数量前10的城市
Figure 14. Top 10 cities with the most entries in 2022
图14. 2022年上榜数量前10的城市
Table 2. Frequency statistics of different cities listed in QS rankings by year
表2. 各年份不同城市上榜QS排名频次统计
 
  
    评选年份 所在城市  | 
    2018年  | 
    2019年  | 
    2020年  | 
    2021年  | 
    2022年  | 
  
  
    London (UK) (伦敦)  | 
    6  | 
    6  | 
    6  | 
    5  | 
    5  | 
  
  
    New York City (纽约)  | 
    6  | 
    6  | 
    5  | 
    5  | 
    4  | 
  
  
    Seoul (首尔)  | 
    5  | 
    5  | 
    5  | 
    5  | 
    5  | 
  
  
    Tokyo (东京)  | 
    4  | 
    3  | 
    3  | 
    3  | 
    3  | 
  
  
    Taipei City (台北市)  | 
    3  | 
    3  | 
    3  | 
    3  | 
    2  | 
  
  
    Paris (巴黎)  | 
    4  | 
    5  | 
    4  | 
    3  | 
    3  | 
  
  
    Houston (休斯顿)  | 
    3  | 
    3  | 
    3  | 
    3  | 
    3  | 
  
  
    Hong Kong (香港)  | 
    3  | 
    2  | 
    2  | 
    2  | 
    2  | 
  
  
    Sao Paulo (圣保罗)  | 
    3  | 
    2  | 
    3  | 
    3  | 
    3  | 
  
  
    Sydney (悉尼)  | 
    3  | 
    2  | 
    3  | 
    3  | 
    3  | 
  
  
    Milan (米兰)  | 
    2  | 
    3  | 
    4  | 
    4  | 
    3  | 
  
  
    Beijing (北京)  | 
    2  | 
    3  | 
    3  | 
    3  | 
    3  | 
  
 
Figure 15. 3D histogram of frequency changes in QS rankings for different cities over the years
图15. 各年份不同城市QS排名上榜频次变化三维直方图
如图15所示,伦敦在2018年至2022年期间一直稳坐城市上榜数量的首位。纽约在2018年、2019年和2021年与伦敦并列首位,但在2022年排名下降至第三位。首尔、休斯顿和悉尼的排名保持稳定,并呈现出同步的发展趋势。特别是亚洲的首尔在全球高等教育舞台上的地位逐渐上升。台北在这个时间段内的上榜数量有所减少。巴黎在2019年达到上榜数量的高峰,但随后有所下降。
(三) QS得分和排名预测模型
1. 相关分析
对数据完成编码与扩展后,对数据集进行相关系数计算,本文展示原始指标的相关系数作为示例,如下图16所示。
Figure 16. Correlation coefficient heatmap
图16. 相关系数热力图
2. 模型建立
在数据分析领域,不同的回归方法和模型在预测任务中发挥着重要作用。线性模型作为最基本的方法之一,基于线性关系拟合数据。梯度提升树模型通过逐步修正残差来构建更精确的决策树,在大规模数据集上具有优势。模型融合技术如Stacking进一步将不同模型的预测结果融合,以提高整体预测性能。在实际应用中,选择合适的模型和方法将有助于更准确地预测和分析数据。本文利用统计模型和机器学习模型训练多种模型,从而进行特征选择,最后通过模型比较选取最优的预测模型。
线性回归是最简单的回归方法之一。Lasso回归是线性回归的一种变体,它除了考虑拟合数据外,还加入了L1正则化项(Lasso惩罚)。Lasso回归不仅通过最小化残差来拟合数据,还倾向于将某些回归系数缩小甚至变为零,从而实现特征选择和模型的稀疏性。GBDT (Gradient Boosting Decision Tree)是梯度提升树的一种,通过逐步优化残差(实际值与预测值之间的差异)来训练决策树。结合了稀疏数据处理、正则化、特征选择和缺失值处理等技术,从而提供更好的性能和效率。XGBoost引入了正则化项和增强的特征分裂算法。LightGBM (Light Gradient Boosting Machine)也是梯度提升树的变种,与传统的梯度提升树相比,LightGBM使用基于直方图的算法来更高效地选择特征分裂点,并且支持并行化训练。这使得LightGBM在大规模数据集上具有优势。
Stacking (堆叠)是一种模型融合技术,用于将多个基本模型组合成一个更强大的模型,以提高预测性能。Stacking的基本思想是将不同的模型的预测结果作为新的特征输入给一个元模型,从而使得元模型能够学习如何综合利用这些基本模型的预测。
3. 模型求解
研究中对多个回归模型进行了比较,包括Lasso回归、岭回归、GBDT、XGBoost和LightGBM。其中重点关注了MSE、MAE和R2等指标。结果表明,XGBoost在MSE和MAE方面表现最佳,预测误差较小,是该预测任务的最佳模型。这些结果为模型性能评估提供了有力依据,也对未来类似任务的模型选择有重要参考价值(如表3,表4所示)。
Table 3. Comparison of errors for Point variable across different models
表3. Point变量各模型误差对比
 
  
    应变量  | 
    模型  | 
    R2  | 
    MSE  | 
    MAE  | 
  
  
    Point  | 
    线性回归  | 
    0.799280594  | 
    12.42928686  | 
    2.334476587  | 
  
  
    Lasso回归  | 
    0.794638344  | 
    12.71675214  | 
    2.397770564  | 
  
  
    岭回归  | 
    0.799280191  | 
    12.42931181  | 
    2.334488311  | 
  
  
    GBDT  | 
    0.961403536  | 
    2.390035565  | 
    0.979901658  | 
  
  
    XGBoost  | 
    0.96478227  | 
    2.180811902  | 
    1.019725779  | 
  
  
    LightGBM  | 
    0.960689896  | 
    2.434226819  | 
    1.048010878  | 
  
  
    Stacking融合模型  | 
    0.95074958  | 
    1.049577652  | 
    3.049767858  | 
  
 Table 4. Comparison of errors for each model with Rank variable
表4. Rank变量各模型误差对比
 
  
    应变量  | 
    模型  | 
    R2  | 
    MSE  | 
    MAE  | 
  
  
    Rank  | 
    线性回归  | 
    0.854274544  | 
    1468.085508  | 
    21.88188616  | 
  
  
    Lasso回归  | 
    0.851831352  | 
    1492.699014  | 
    22.08603709  | 
  
  
    岭回归  | 
    0.854274375  | 
    1468.087207  | 
    21.88193933  | 
  
  
    GBDT  | 
    0.933589154  | 
    669.0443994  | 
    16.09863729  | 
  
  
    XGBoost  | 
    0.939874446  | 
    619.6863703  | 
    16.32546936  | 
  
  
    LightGBM  | 
    0.931698825  | 
    619.6863703  | 
    16.92120545  | 
  
  
    Stacking融合模型  | 
    0.934975402  | 
    655.078892  | 
    16.85039166  | 
  
 确定建立XGBoost模型后,需要进一步对其进行参数调整,以提升其预测性能。通过调参,达到了模型的最佳表现,具体的优化结果详见表5。同时,针对参数的范围采用了网格搜索技术,以实现更加精确的调整,以获取最佳的模型配置。
Table 5. Display of optimal results for XGBoost model
表5. XGBoost模型最优效果展示
 
  
    应变量  | 
    模型  | 
    R2  | 
    MSE  | 
    MAE  | 
  
  
    Point  | 
    XGBoost  | 
    0.966586732  | 
    2.069072972  | 
    0.9809858311244417  | 
  
  
    Rank  | 
    XGBoost  | 
    0.938717359  | 
    617.3812062  | 
    16.19027775798525  | 
  
 训练集得分接近1表示模型在训练数据上表现很好,基本能够完美地拟合训练数据中的模式。测试集得分在0.95左右表示模型在未知数据上也有很好的预测能力,具有良好的泛化性能。两者之间的差异也相对较小,这表明模型没有严重的过拟合问题,即模型没有过于复杂地适应训练数据的噪声。由图17可知模型表现出较好的拟合效果,能够因此可以充分利用数据中的信息来进行准确的预测。
Figure 17. Rank, Point test set fitting effect chart
图17. Rank、Point测试集拟合效果图
在训练模型的过程中完成了特征重要性的选择,如下图18所示。
Figure 18. Rank, Point feature importance bar chart
图18. Rank、Point特征重要性条形图
从图示的结果可以得出,大学名称与所在城市是重要性分数较高的特征这或许反映了不同大学之间的声誉、影响力等因素差异。大学所在城市在排名预测中同样具有重要作用,这表明城市的因素可能与排名有关。
4. 结果分析
对比原始数据和预测结果,如下表6所示。University at Buffalo SUNY学校排名波动较大,因而预测结果也有较大的波动情况,而得分较为稳定,预测结果的得分在保留1位小数时相同,说明其得分在没有外界干扰下,这所大学的得分将会趋于一个稳定值63.8。
Table 6. University at Buffalo SUNY results analysis
表6. University at Buffalo SUNY结果分析
 
  
    年份  | 
    Rank  | 
    Point  | 
  
  
    2018年  | 
    231  | 
    64.4  | 
  
  
    2019年  | 
    178  | 
    70  | 
  
  
    2020年  | 
    195  | 
    68.1  | 
  
  
    2021年  | 
    189  | 
    69  | 
  
  
    2022年  | 
    343  | 
    61  | 
  
  
    2030年  | 
    296  | 
    63.8  | 
  
  
    2050年  | 
    300  | 
    63.8  | 
  
 
1) 历年上榜高校所属国可视化分析
为进一步分析全球高校分布趋势,本文对历年QS上榜高校所在地区进行统计,以热力图形式呈现,如下图19所示。
Figure 19. Heatmap of locations of universities listed over the years
图19. 历年上榜高校所在地热力图
在2018至2022年间,亚洲、欧洲、美洲、大洋洲上榜高校较多,而对于经济稍微落后的非洲,几乎没有高校上榜。这一可视化结果说明国家发展水平、教育投入水平影响了高校发展的水平,进而影响其在QS指标评估下的得分。根据QS公布的区域排名各个大洲各个大洋的上榜高校数量进行统计分析,结果如表7所示。
Table 7. Continent classification summary table
表7. 洲分类汇总表
 
  
    洲名  | 
    洲排名均值  | 
    全球排名均值  | 
    大学总个数  | 
  
  
    北美洲  | 
    54.3  | 
    163.5092593  | 
    108.0  | 
  
  
    大洋洲  | 
    12.0  | 
    176.3043478  | 
    23.0  | 
  
  
    非洲  | 
    3.5  | 
    247.6666667  | 
    6.0  | 
  
  
    南美洲  | 
    5.5  | 
    218.6  | 
    10.0  | 
  
  
    欧亚两洲  | 
    2.0  | 
    255.3333333  | 
    3.0  | 
  
  
    欧洲  | 
    72.2  | 
    163.1458333  | 
    144.0  | 
  
  
    亚洲  | 
    28.4  | 
    205.9464286  | 
    56.0  | 
  
 除去横跨欧亚两洲的特殊情况,洲与洲之间的排名均值差异较大,北美洲拥有108所高校,平均排名163.51,而欧洲有144所高校,平均排名也在163.15。由此可以说明,欧洲高校的平均水平略高于北美洲。
2) 上榜高校类型分类
对2018年至2022年上榜高校的所属类别进行汇总,主要分为综合性大学、研究型大学等9类,如下表8所示。
Table 8. Summary of university type classification
表8. 大学类型分类汇总表
 
  
    类型  | 
    数量  | 
    类型  | 
    数量  | 
    类型  | 
    数量  | 
  
  
    综合性大学  | 
    1511  | 
    工程技术大学  | 
    22  | 
    农业大学  | 
    9  | 
  
  
    研究型大学  | 
    89  | 
    医科大学  | 
    10  | 
    研究机构  | 
    6  | 
  
  
    医学院  | 
    89  | 
    理工科大学  | 
    9  | 
    科研机构  | 
    5  | 
  
 QS上榜高校中绝大部分均为综合性大学,而研究型大学次之,只有少部分的农业大学、研究机构、科研机构登上了QS排行榜。结合QS评估指标,合理推断综合性大学拥有更多维的学科、更多的科研成果因此能够登上QS排行榜。
3) 上榜高校排名变动一致性与稳定性研究
由于2018年~2022年上榜高校存在一定的波动,因此本文在研究时仅选取了5年均上榜的高校进行排名变动一致性与稳定性分析,部分数据如下表9。
Table 9. Partial data on ranking changes from 2018 to 2022
表9. 2018年至2022年排名变动数据(部分)
 
  
    学校名称  | 
    2018年  | 
    2019年  | 
    2020年  | 
    2021年  | 
    2022年  | 
  
  
    Harvard University  | 
    1  | 
    1  | 
    1  | 
    1  | 
    1  | 
  
  
    University of Oxford  | 
    2  | 
    2  | 
    2  | 
    2  | 
    2  | 
  
  
    Yale University  | 
    12  | 
    12  | 
    12  | 
    11  | 
    13  | 
  
  
    University of Cambridge  | 
    2  | 
    3  | 
    3  | 
    4  | 
    4  | 
  
  
    Stanford University  | 
    5  | 
    4  | 
    4  | 
    3  | 
    5  | 
  
  
    Massachusetts Institute of Technology (MIT)  | 
    4  | 
    6  | 
    6  | 
    6  | 
    6  | 
  
  
    Johns Hopkins University  | 
    5  | 
    5  | 
    5  | 
    5  | 
    3  | 
  
  
    University of Toronto  | 
    13  | 
    11  | 
    13  | 
    13  | 
    12  | 
  
  
    UCL  | 
    8  | 
    10  | 
    8  | 
    10  | 
    8  | 
  
  
    University of Amsterdam  | 
    34  | 
    35  | 
    33  | 
    36  | 
    34  | 
  
 对于上述排名变动数据,两两之间利用肯德尔相关系数对数据的一致性进行研究,其结果如下表10所示。
Table 10. Consistency analysis of rankings
表10. 排名一致性分析表
 
  
    年份  | 
    肯德尔相关系数  | 
    年份  | 
    肯德尔相关系数  | 
  
  
    2018~2019  | 
    0.897**  | 
    2018~2021  | 
    0.886**  | 
  
  
    2018~2020  | 
    0.878**  | 
    2018~2022  | 
    0.799**  | 
  
  
    2018~2021  | 
    0.841**  | 
    2018~2021  | 
    0.923**  | 
  
  
    2018~2022  | 
    0.797**  | 
    2018~2022  | 
    0.828**  | 
  
  
    2018~2020  | 
    0.923**  | 
    2018~2022  | 
    0.832**  | 
  
 **在置信度(双侧)为0.01时,相关性是显著的。
由表可知,近五年的数据的肯德尔系数均保持在0.79以上,属于高相关,变化幅度小,内部稳定,具有一定的社会公信力。因此可知QS高校排行榜稳定性较高,虽有一定范围的波动,但也从数据层面说明了QS高校排行榜评价指标的变化对高校的影响。对上榜高校排名标准差进行计算,其部分结果如下表11所示。
Table 11. Stability analysis of rankings
表11. 排名稳定性分析
 
  
    学校名称  | 
    标准差  | 
    学校名称  | 
    标准差  | 
  
  
    Harvard University  | 
    0.0000  | 
    University of Southern Denmark (SDU)  | 
    40.2413  | 
  
  
    University of Oxford  | 
    0.0000  | 
    Swedish University of Agricultural Sciences  | 
    41.3067  | 
  
  
    Yale University  | 
    0.6324  | 
    University of Porto  | 
    41.4005  | 
  
  
    University of Cambridge  | 
    0.7483  | 
    Kyung Hee University  | 
    42.2819  | 
  
  
    Stanford University  | 
    0.7483  | 
    Rutgers University-New Brunswick  | 
    44.5035  | 
  
  
    Massachusetts Institute of Technology  | 
    0.8000  | 
    The Hebrew University of Jerusalem  | 
    45.3934  | 
  
  
    Johns Hopkins University  | 
    0.8000  | 
    Weizmann Institute of Science  | 
    48.5782  | 
  
  
    University of Toronto  | 
    0.8000  | 
    University of Bordeaux  | 
    51.6550  | 
  
  
    UCL  | 
    0.9798  | 
    University at Buffalo SUNY  | 
    60.5653  | 
  
  
    University of Amsterdam  | 
    1.0198  | 
    King Abdulaziz University (KAU)  | 
    63.5150  | 
  
 
4) QS排名指标权重分析
为比较分析QS世界大学排名指标体系的特征,将QS大学综合排名体系的6个指标进行汇总、归纳和分类。本文将评价标准分为主观性和客观性两类。主观性标准包括声誉类指标,如教学声誉、研究声誉、雇主声誉等。客观性标准包含经济、教学质量、文献和国际化等指标。教学质量类关注师生比例和教师学历,文献类包括论文数量、引用数量和引用比率等,国际化类涉及国际师生和学术论文,如表12所示。
Table 12. World university rankings criteria and weights
表12. 世界大学排行榜指标、权重
 
  
    QS排名评价指标维度  | 
  
  
    声誉类  | 
    内容  | 
    学术声誉;雇主声誉  | 
  
  
    (主观性指标)  | 
    权重  | 
    50%  | 
  
  
    教学质量类  | 
    内容  | 
    生师比  | 
  
  
    (客观性指标)  | 
    权重  | 
    20%  | 
  
  
    文献类  | 
    内容  | 
    师均引用率  | 
  
  
    (客观性指标)  | 
    权重  | 
    20%  | 
  
  
    国际化  | 
    内容  | 
    国际教师比例;国际学术比例  | 
  
  
    (客观性指标)  | 
    权重  | 
    10%  | 
  
 值得注意的是,QS世界大学排名声誉类作为一个主观性指标占据了高达50%的权重。在这种情况下,如果声誉影响的数据获取和处理方式不够良好,或者不被明确理解,那么该排名的科学性就会受到质疑。因此QS排行榜应该在找准自身定位的基础上,根据定位合理规划指标体系的数量和权重分配。通过爬取网上相关数据,并通过随机森林模型进行特征重要性输出,具体数据如表13所示。
Table 13. Ranking data sheet
表13. 排名数据表
 
  
     | 
    2018年  | 
    2019年  | 
    2020年  | 
    2021年  | 
    2022年  | 
    2023年  | 
    2024年  | 
    总计  | 
  
  
    学校名称  | 
    0.9890  | 
    0.9997  | 
    0.9997  | 
    0.9997  | 
    0.9910  | 
    0.9986  | 
    0.9986  | 
    6.9762  | 
  
  
    Faculty Student  | 
    0.0100  | 
    0.0001  | 
    0.0001  | 
    0.0001  | 
    0.0002  | 
    0.0002  | 
    0.0002  | 
    0.0107  | 
  
  
    Academic  | 
    0.0003  | 
    0.0001  | 
    0.0001  | 
    0.0001  | 
    0.0048  | 
    0.0005  | 
    0.0005  | 
    0.0062  | 
  
  
    Reputation  | 
     | 
     | 
     | 
     | 
     | 
     | 
     | 
     | 
  
  
    Employer  | 
     | 
     | 
    0.0001  | 
    0.0001  | 
    0.0031  | 
    0.0002  | 
    0.0002  | 
    0.0035  | 
  
  
    Reputation  | 
     | 
     | 
     | 
     | 
     | 
     | 
     | 
     | 
  
  
    International Faculty  | 
    0.0002  | 
    0.0001  | 
    0.0001  | 
    0.0000  | 
    0.0005  | 
    0.0002  | 
    0.0002  | 
    0.0013  | 
  
  
    International Student  | 
     | 
     | 
    0.0001  | 
    0.0001  | 
    0.0003  | 
    0.0003  | 
    0.0001  | 
    0.0010  | 
  
  
    Citations Per Faculty  | 
    0.0002  | 
    0.0000  | 
    0.0001  | 
    0.0001  | 
    0.0003  | 
    0.0001  | 
    0.0001  | 
    0.0009  | 
  
  
    International  | 
    0.0001  | 
    0.0001  | 
     | 
     | 
     | 
     | 
     | 
    0.0001  | 
  
  
    Students  | 
     | 
     | 
     | 
     | 
     | 
     | 
     | 
     | 
  
  
    国家/地区  | 
    0.0001  | 
     | 
     | 
     | 
     | 
     | 
     | 
    0.0000  | 
  
  
    Year  | 
    0.0000  | 
    0.0000  | 
    0.0000  | 
    0.0000  | 
    0.0000  | 
    0.0000  | 
    0.0000  | 
    0.0000  | 
  
  
    总计  | 
    1  | 
    1  | 
    1  | 
    1  | 
    1  | 
    1  | 
    1  | 
    7  | 
  
 学校名称在排名和得分中均表现出最重要的特性,且远远领先其他指标,反映出学校排名相对稳定,尤其受时间的干扰较小;其次影响较大的是Academic Reputation (学术声誉),该指标反映了学术界对该大学的研究成果、教育质量和知名教职员的认可程度。整体来看,上榜的高水平大学整体发展比较稳定,排名趋势受时间影响较小,与学校知名度关系较大。
4. 结论与建议
本研究对2018至2022年QS世界大学排名前350名的高校数据进行了深入分析,总结了以下结论:美国高校在全球大学排名中一直保持领先地位,这归功于其强大的研究能力、资金投入和高水平的学术声誉。城市集聚效应显著,伦敦和纽约作为教育和文化中心,拥有的顶尖高校数量最多。排名的稳定性分析显示,排名前列的大学通常更稳定,而中下游的大学排名波动较大。通过对排名指标的权重分析,研究发现学术声誉和雇主评价在排名中占有较高比重,而师生比和国际化指标的影响相对较小。预测模型表明,虽然排名在短期内有一定的可预测性,但长期趋势受到多种因素的复杂影响。
基于结论,提出以下建议:高校需通过战略规划精确定位学术研究优势,优化资源配置。例如,增加潜力领域投资,与其他机构合作共享资源。保持教育质量与师生比平衡,确保学生获得个别关注和支持。加强与校友和企业的长期合作,提高雇主评价和学生就业机会。其次,政府和教育管理部门应认识到现有大学排名局限,探索更全面的评价机制,包括考虑地区特色、教育使命和社会责任的评价标准。鼓励高校公开更多性能指标,如就业率、学生满意度和社会影响力,提供全面的高等教育评价体系。第三,高校应通过建立国际伙伴关系、参与国际项目和提供跨文化课程来增强国际化程度,提高国际声誉,为学生提供全球视野和跨文化交流机会。考虑发展在线教育和远程学习课程,吸引全球学生,分享教育资源和专业知识。最后,高校应超越即时排名依赖,关注长期教育质量和研究成果,投资于教师专业发展、研究基础设施建设和学生支持服务改善。建立全面的质量保证体系,确保教育和研究活动满足国际标准[6]。与行业合作,确保课程内容与职业市场需求一致,提高毕业生就业竞争力。