新疆精对苯二甲酸产业链发展形势
The Development Situation of Terephthalic Acid Industry Chain in Xinjiang
DOI: 10.12677/hjcet.2025.152009, PDF, HTML, XML,    科研立项经费支持
作者: 付小平, 董孝宇, 马朝伟*:新疆工程学院化学与环境工程学院新疆新能源材料与绿色化工重点实验室,新疆 乌鲁木齐;夏怀洲*:新疆中泰(集团)有限责任公司创新研究院,新疆 乌鲁木齐
关键词: PTAPTA下游产品应用现状反应机理合成路线PTA PTA Downstream Products Application Status Reaction Mechanism Synthetic Routes
摘要: 新疆油气资源丰富,为发展精对苯二甲酸(PTA)提供了充足的原料保障,因此有富裕PTA可用于生产重要的化工产品,如工程塑料、高性能纤维等。本文主要介绍PTA下游化工产品的应用现状,以及PTA为原料合成高附加值化工产品,因此讨论以PTA为原料合成高附加值化工产品对于推动化工产业链具有重要的意义。
Abstract: Xinjiang is rich in oil and gas resources, which provides sufficient raw materials for the development of pure terephthalic acid (PTA), so it can be used to produce important chemical products, such as engineering plastics and high-performance fibers. This paper mainly introduces the application status of PTA downstream chemical products, and the synthesis of high value-added chemical products from PTA as raw material, so it is of great significance to discuss the synthesis of high value-added chemical products with PTA as raw material to promote the chemical industry chain.
文章引用:付小平, 夏怀洲, 董孝宇, 马朝伟. 新疆精对苯二甲酸产业链发展形势[J]. 化学工程与技术, 2025, 15(2): 97-109. https://doi.org/10.12677/hjcet.2025.152009

1. 引言

精对苯二甲酸英文名Pure Terephthalic Acid (PTA),结构式HOOC[C6H4]COOH,相对分子量为166.13,是二元芳香羧酸,可与醇发生酯化反应,用于生产工程塑料、改性塑料、高性能纤维等产品。目前,世界上90%以上的PTA用于生产聚对苯二甲酸乙二醇酯(PET),其他用于生产新材料、高端纤维、增塑剂等(图1)。2023年我国PTA产能约8588万吨,产量约6879万吨[1],中国90%以上的PTA工厂分布在沿海、沿江区域,并集中在华东、华北和华南地区。其中新疆中泰化学年产为120万吨。

Figure 1. PTA downstream chemical industry chain diagram

1. PTA下游化工产业链图

此外,PTA除了用于生产PET之外还能用于合成其他的化工产物,如聚对苯二甲酸丙二醇酯、聚对苯二甲酸丁二醇酯、聚己二酸对苯二甲酸丁二醇酯等,使PTA的价值得到更充分地发挥,不局限于单一产品的生产,增加了其经济价值和市场需求。其次,促进了化工行业的多元化发展,为不同产业提供了更多的原材料选择,推动相关产业的进步和创新,为提升整个产业链的质量和水平提供支撑。另外,这些合成的其他产品可能在环保、新材料等方面发挥重要作用,为解决一些技术难题和推动可持续发展提供支持。

因此,PTA用于合成其他产品丰富了化工产业体系,对推动新疆经济发展和科技进步都有着积极的意义。

2. PTA下游主要化工产品分析

2.1. 聚对苯二甲酸乙二醇酯(PET)

2.1.1. 应用现状

PET主要用于生产涤纶纤维(长丝、短纤),2023年全国PET总产能为8000万吨,产量约6600万吨,涤纶纤维产量5000万吨,占全国PET产量76%;PET少量用于瓶片、膜材。目前,PET生产技术专利方有美国英威达、德国吉玛、中纺院等公司。

2.1.2. 反应机理

PET是由PTA和乙二醇(EG)通过酯化反应生成的。这个过程可以分为两个主要步骤酯化反应与缩聚反应。

第一步酯化反应

PTA和EG发生酯化反应,生成对苯二甲酸双羟乙酯(BHET),反应是一个逐步反应过程,属于酸自催化反应,无需额外的催化剂。主要影响因素包括EG/PTA摩尔比、反应温度及脱除反应生成的水[2]

第二步缩聚反应

在高温和催化剂的作用下发生BHET缩聚反应,生成PET。这个反应是一个可逆平衡反应,需要在高温和低压下进行,以促进反应向生成PET的方向进行。反应过程中脱去EG,反应机理实质是酯交换反应[3]

2.1.3. 合成技术路线

由PTA和EG生产PET (如图2所示)。

Figure 2. PTA and EG synthetic PET roadmap

2. PTA和EG合成PET路线图

2.1.4. 实际生产中的应用

PET具有良好的热塑性,广泛应用于饮料瓶制造,尤其是矿泉水、碳酸饮料和果汁瓶。PET瓶因其轻便、透明、耐冲击和可回收的特性,成为饮料包装的主流选择。可口可乐公司通过使用PET瓶,不仅提升产品竞争力和用户体验,还推动节能环保的发展。

2.2. 聚对苯二甲酸丙二醇酯(PTT)

2.2.1. 应用现状

PTT约80%用于生产短纤、长丝、无纺布、地毯等,其余则用于生产工程塑料和薄膜。2023年,中国PTT纤维年产能达34万吨,产量为20万吨。目前,PTT生产技术专利方有壳牌、杜邦、德固萨、清华大学和盛虹公司等。

2.2.2. 反应机理

PTA与1,3-丙二醇(PDO)生成对苯二甲酸丙二醇酯(BHPT)的过程主要涉及酯化反应和缩聚反应。

酯化反应是酸和醇反应生成酯和水的过程。在这个反应中,PTA和PDO反应生成BHPT和水。这个反应通常需要催化剂的存在,以加速反应的进行[4]

缩聚反应是指在催化剂的作用下,酯化反应生成的BHPT分子之间进一步反应,形成更大的聚合物分子PTT。

2.2.3. 合成技术路线

PTA和PDO进行酯化反应,生成BHPT和水。BHPT在减压情况下经过缩聚生成PTT (如图3所示)。

Figure 3. PTA and PDO synthetic PTT roadmap

3. PTA和PDO合成PTT路线图

2.2.4. 实际生产中的应用

PTT纤维具有优异的弹性、柔软性和抗污性,常用于生产高档服装、家居纺织品和工业用织物。杜邦公司通过使用PTT材料生产纤维,既提升纺织品的性能和舒适性,又利用可再生原料和节能减排措施推动可持续发展。

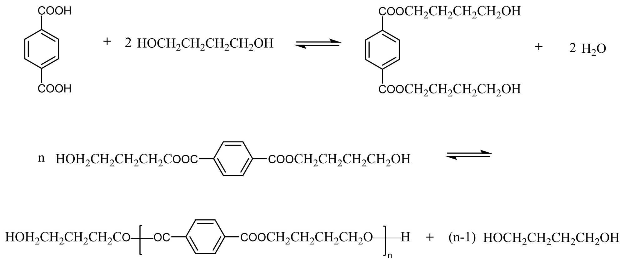
2.3. 聚对苯二甲酸丁二醇酯(PBT)

2.3.1. 应用现状

PBT主要应用于纺丝、光缆、工程塑料、色母粒、薄膜等领域,其中纺丝已经成为PBT最大的应用领域,工程塑料为第二大应用,出口位居第三,光缆位居第四。2023年国内PBT产能约180万吨,产量约100万吨。目前,PBT生产技术专利方有德国吉玛、扬州普利特、和时利、台湾长春公司等公司。

2.3.2. 反应机理

酯化反应是酸和醇反应生成酯和水的过程。PTA和1,4-丁二醇(BDO)在催化剂的作用下发生酯化反应,生成对苯二甲酸二丁酯(BHBT)和水。这个反应通常在高温和一定的压力下进行,以促进反应的进行[5]

缩聚反应在酯化反应之后,通过移除反应生成的水来促进BHBT分子间的缩聚反应,生成高分子量的PBT。缩聚反应需要在高温和高真空度下进行,以确保反应生成的水被有效地去除[6]

2.3.3. 合成技术路线

PTA和BDO酯化反应,生成BHBT和水,BHBT在减压情况下经过缩聚生成PBT (如图4所示)。

Figure 4. Roadmap for the synthesis of PBT by PTA and BDO

4. PTA和BDO合成PBT路线图

2.3.4. 实际生产中的应用

PBT具有优异的电绝缘性,常用于制造电子元件、连接器和开关等。泰科电子通过使用PBT材料制造电子连接器,不仅提升产品的性能和可靠性,同时优化生产工艺,减少有害物质排放。

2.4. 聚己二酸对苯二甲酸丁二醇酯(PBAT)

2.4.1. 应用现状

PBAT是一种优良的生物降解材料,主要用于包装、餐具、化妆品瓶及药品瓶、一次性医疗用品、农用薄膜、农药及化肥缓释材料、生物医用高分子材料等领域,2023年国内PBAT产能为140万吨,产量33万吨。目前,PBAT生产技术专利方有金晖兆隆、杭州金富、清华大学、巴斯夫、金发科技等。

2.4.2. 反应机理

酯化反应

PTA酯化:将PTA和BDO加入反应釜中,加入钛酸四丁酯等催化剂,逐步升温至160℃~250℃,进行酯化反应,获得PTA和BDO的低聚酯化物a。己二酸(AA)酯化:将AA、BDO、酯化活化剂二环己基碳二亚胺和催化剂4-二甲氨基吡啶投入反应釜中,向反应釜内抽真空,充氮气,反复置换2~4次,按照10℃~20℃/10 min,加热至120℃~140℃搅拌进行酯化反应,获得AA与BDO的低聚酯化物b [7]

缩聚反应

缩聚反应:将低聚酯化物a和低聚酯化物b混合,加入钛酸四丁酯等催化剂、抗氧化剂、热稳定剂,抽真空,充氮气,反复置换2~4次,在真空条件下进行缩聚反应,反应温度为200℃~250℃,反应时间为2~5 h,反应压力为50~150 Pa,制得PBAT [8]

2.4.3. 合成技术路线

将二元醇、二元酸先进行酯化,然后再在高真空下进行熔融缩聚(如图5所示)。

2.4.4. 实际生产中的应用

PBAT是一种生物降解塑料,广泛应用于包装、农业和一次性用品等领域。PBAT具有良好的生物降解性、柔韧性和机械性能,是传统塑料的理想替代品。巴斯夫通过使用PBAT材料制造可降解塑料袋,既提升产品的环保性能和使用性能,又推动了PBAT材料的回收利用,建立循环经济模式。

Figure 5. Roadmap for the synthesis of PBAT by PTA and BDO

5. PTA和BDO合成PBAT路线图

2.5. 聚对苯二甲酸1,4-环己烷二甲醇酯(PCT)

2.5.1. 应用现状

电子与汽车是PCT的主要下游市场,合计需求占比达到78%左右,电子领域需求占比最大,达到58%左右。除此之外,PCT还可用来制造光学纤维、插座、医用护目镜、医用导管、太阳镜、食品包装膜材等。2023年,全球PCT市场规模约为2.4亿美元,预计到2030年市场规模将达到2.0亿美元左右。目前,PCT生产商主要是美国塞拉尼斯(Celanese Corporation)、韩国SK Chemicals等。我国PCT行业起步晚,20世纪90年代才开始进行技术研究。

2.5.2. 反应机理

PTA和1,4-环己烷二甲醇(CHDM)生成PCT的过程主要涉及酯化反应和缩聚反应。

酯化反应

酯化反应是酸和醇反应生成酯和水的过程。在这个反应中,PTA和CHDM在催化剂的作用下反应生成对苯二甲酸1,4-环己烷二甲醇酯(BHCT)和水。这个反应是一个平衡反应,通常需要通过去除生成的水来推动反应向生成酯的方向进行[9]

缩聚反应

缩聚反应是指单体分子间通过缩合反应形成聚合物的过程。在PCT的合成中,酯化反应生成的BHCT分子会进一步发生缩聚反应,形成高分子量的PCT。这个过程通常需要在高温和减压的条件下进行,以促进反应的进行和提高聚合物的分子量[10] [11]

2.5.3. 合成技术路线

PTA和CHDM进行酯化反应生成BHCT和水。BHCT在减压情况下经过缩聚生成PCT (如图6所示)。

2.5.4. 实际生产中的应用

PCT是一种高性能工程塑料,具有优异的耐热性、机械强度和化学稳定性,特别是在高温和高强度环境下表现出色。杜邦通过使用PCT材料制造高温电子连接器,提升了产品的性能且实现了信号的稳定传输。

Figure 6. Roadmap for the synthesis of PTA and CHDM into PCT

6. PTA和CHDM合成PCT路线图

2.6. 环己二甲醇改性聚对苯二甲酸乙二醇酯(PETG/PCTG)

2.6.1. 应用现状

PETG/PCTG是一种很好的3D打印材料,打印温度190℃~230℃,主要用于工艺品、建筑模型、工业机械塑料配件、模型机械、电子电器、仪器仪表、家居用品等等。2023年全球PETG塑料市场规模大约为17.75亿美元,预计2030年将达到23.5亿美元;2023年全球PCTG市场规模为2.0亿美元,预计到2030年将达到2.8亿美元。目前,PETG/PCTG生产技术专利方有EASTMAN和SK化学等企业。

2.6.2. 反应机理

PTA与EG在高温和催化剂作用下进行酯化反应生成BHET。此反应为缩聚反应的一部分,伴随有水分子的生成。在220℃~270℃之间加入常用催化剂钛酸四丁酯或醋酸锑,在减压条件下进行,以便脱除生成的水。

BHET与CHDM的酯交换反应生成的BHET进一步与CHDM进行酯交换反应,这是改性的关键步骤。通过酯交换在200℃~250℃,在减压条件下采用醋酸锌、醋酸钙等催化剂,引入CHDM单元形成PETG主链,并释放出EG作为副产物[12]

2.6.3. 合成技术路线

PTA和EG、CHDM进行酯化反应,并进一步缩聚生成(如图7所示)。

Figure 7. PETG modification roadmap

7. PETG改性路线图

2.6.4. 实际生产中的应用

通过CHDM改性的PETG是一种非结晶型共聚聚酯材料,具有优异的透明度、韧性和易加工性。广州大雄化工有限公司通过使用PETG材料制造3D打印产品,其光泽度好,光滑细腻,色泽均匀平整。

2.7. 热塑性聚酯弹性体(TPEE)

2.7.1. 应用现状

TPEE主要用于要求减震、耐冲击、耐曲挠、密封性和弹性、耐油、耐化学品并要求足够强度的领域。2023年全球TPEE市场销售额约90亿美元,预计到2030年达122亿美元。目前,TPEE生产技术专利方有杜邦、EASTMAN、SK化学、吉玛、台湾长春、中科院和中蓝晨光等企业。

2.7.2. 反应机理

PBT与聚四氢呋喃(PTMEG)的缩聚反应是一种逐步聚合反应,涉及多个基本步骤:

酯交换反应:首先,PBT的酯基团与PTMEG的羟基发生酯交换反应,生成新的酯键,并释放出小分子醇。扩链反应:生成的新的活性端基继续与其他分子的端基反应,使得聚合物链不断延长。交联反应:在特定条件下,可以通过交联剂的作用引入交联结构,进一步提高材料的弹性[13]

2.7.3. 合成技术路线

第一步:PTA与甲醇反应生成对苯二甲酸二甲醇酯(DMT) (如图8所示)。

Figure 8. PTA reacts with methanol to generate the dimethol terephthalate reaction equation

8. PTA与甲醇反应生成对苯二甲酸二甲醇酯反应方程

第二步:DMT与BDO酯交换反应,生成BHBT (如图9所示)。

Figure 9. DMT reacts with BDO to synthesize the BHBT equation

9. DMT与BDO反应合成BHBT方程式

第三步:BHBT与PTMEG缩聚反应,生成TPEE (如图10所示)。

Figure 10. BHBT reacts with PTMEG to synthesize the TPEE equation

10. BHBT与PTMEG反应合成TPEE方程式

2.7.4. 实际生产中的应用

TPEE由结晶型聚酯硬段和非晶型聚醚组成。其具有优异的耐热性、耐化学性、机械强度和弹性,广泛应用于汽车、电子电器方面。福特汽车公司通过使用TPEE材料制造汽车传动轴防尘罩,不但提升产品的性能和可靠性,而且推动TPEE材料的回收利用,减少废弃物对环境的影响。

2.8. 对位芳纶(PPTA1414)

2.8.1. 应用现状

PPTA1414具有高强度高模量的特点,主要应用于个体防护、防弹装甲、力学橡胶制品、高强缆绳、石棉替代品等。2023年国内对位芳纶的名义产能超过2万吨,但实际有效产能和产量远小于名义产能。目前,PPTA1414生产技术专利方有杜邦、帝人、可隆、蓝星新材、仪征化纤等公司。

2.8.2. 反应机理

PTA与氯亚砜(SOCl2)反应生成对苯二甲酰氯(TPC)是一种典型的酰氯化反应。

亲核取代:SOCl2中的氯原子较为活泼,在反应中首先攻击PTA的羧基氧原子,形成一个四面体过渡状态。离去基团:随后,一个氯负离子(Cl⁻)离去,形成酰氯基团(-COCl)。同时释放出二氧化硫(SO2)和氯化氢(HCl)。平衡反应:此反应为平衡反应,可以通过去除生成的SO2和HCl气体推动平衡向右移动,提高产物的产率。

TPC与对苯二胺(PPD)反应生成对位芳纶(PPTA)是一种缩聚反应。

亲核进攻:对苯二胺中的氨基(-NH2)作为亲核试剂,攻击对苯二甲酰氯中的羰基碳(C=O),形成一个四面体中间体。离去基团:氯离子(Cl⁻)作为离去基团,形成胺基化的酰氯。脱盐酸:胺基化的酰氯进一步与另一个对苯二胺分子反应,脱去一分子盐酸(HCl),形成稳定的酰胺键(-CO-NH-)。链增长:通过反复的亲核进攻和脱盐酸步骤,逐渐形成高分子量的对位芳纶聚合物[14]

2.8.3. 合成技术路线

第一步:PTA与SOCl2反应生成TPC (如图11所示)。

Figure 11. PTA reacts with SOCl2 to synthesize the TPC equation

11. PTA与SOCl2反应合成TPC方程式

第二步:TPC与PPD反应生成PPTA1414 (如图12所示)。

Figure 12. The equation for the synthesis of TPC and PPD PPTA1414

12. TPC与PPD反应合成PPTA1414方程式

2.8.4. 实际生产中的应用

PPTA1414是具有高强度、高模量和耐热性的合成纤维。杜邦公司利用PPTA1414纤维的轻便性,设计出更加符合人体工程学的防弹背心,提高穿着舒适度和活动自由度。PPTA1414纤维制成的防弹衣能够为军事人员、警察和其他安全工作者提供有效的生命保护。

2.9. 对苯二甲酸二辛酯(DOTP)

2.9.1. 应用现状

DOTP作为PVC制品特别是作为PVC高档制品助剂,广泛应用于耐油电缆、煤气管、防水卷材、人造革、鞋料、耐高温线材包覆层等。2023年全国DOTP总产能约300万吨,产量约135万吨。2023年全球对苯二甲酸二辛酯市场规模为24.0亿美元,预计到2032年将达到38.9亿美元。目前,该技术在国内已成熟,生产技术专利方有巴斯夫、EASTMAN、江苏正丹化学、山东同源环保等。

2.9.2. 反应机理

单酯化反应:PTA与辛醇首先发生单酯化反应,生成对苯二甲酸单辛酯。这一步反应不需要催化剂,且反应不可逆。

双酯化反应:对苯二甲酸单辛酯进一步与辛醇发生酯化反应,生成对苯二甲酸二辛酯(DOTP)。这一步反应通常需要催化剂,并且提高温度可以加快反应速率[15]

2.9.3. 合成技术路线

由PTA和辛醇生产DOTP (如图13所示)。

2.9.4. 实际生产中的应用

DOTP是一种常见的增塑剂,用于提高塑料材料的柔韧性和可加工性。EastmachChemicals公司使用DOTP增塑的PVC管道具有良好的柔韧性,易于弯曲和安装,适用于复杂或不规则的管道布局。

Figure 13. The reaction equation of PTA and octanol to synthesize DOTP

13. PTA和辛醇反应合成DOTP反应方程式

3. 意见和建议

3.1. PTA产业链生成的工艺改进

3.1.1 新疆产业与PTA产业链发展的结合点

新疆风光资源丰富,绿电价格低廉(0.2~0.3元/度),可为高能耗的聚酯生产提供低碳化解决方案。煤化工路线可生产乙二醇(MEG,PTA的下游配套原料),推动“煤–乙二醇-PTA-聚酯”一体化布局。面向中亚、欧洲市场的出口潜力大,可发展高附加值纺织、包装材料等终端产品。国家能源化工基地定位,政策支持石化产业链延伸,如化纤纺织产业园区的集群化发展。

3.1.2. PTA产业连生成工艺提升方向

1. 绿色低碳化升级

利用新疆风光电资源,推动聚酯生产环节(如熔融缩聚、纺丝)的电气化改造,降低碳排放。碳捕集与循环利用,针对聚酯生产中的CO2排放,结合新疆煤化工碳捕集技术(CCUS),将CO2转化为工业原料(如碳酸二甲酯),实现循环经济。

2. 原料多元化与工艺创新

新疆煤制乙二醇产能较大(如中泰化学),但产品杂质(如1,2-丁二醇)影响聚酯质量。需通过催化剂优化、精馏工艺改进,提升乙二醇纯度,满足高端聚酯需求。结合新疆农业资源(棉花秸秆等生物质),开发生物基对二甲苯(PX)技术,逐步替代石油基PTA,减少对化石原料依赖。

3. 产品高端化与差异化

发展功能性涤纶(阻燃、抗菌、导电纤维),对接新疆纺织服装产业升级需求(如军需、户外装备特种面料)。开发光伏背板膜、光学膜等高端产品,对接新疆光伏产业链(硅基新材料)及中亚电子产品出口市场。

4. 智能化与数字化升级

引入工业互联网、数字孪生技术优化聚酯生产流程(如熔体直纺的温控、能耗管理),降低人工成本(新疆劳动力短缺)。构建“PTA-聚酯–纺织”全链条数据平台,整合新疆本地原料(棉花、煤化工产品)与中亚市场需求信息,实现柔性生产。

5. 产业链协同与循环经济

推动“炼化-PTA-聚酯–纺织”集群发展(如奎屯–独山子石化园区),减少原料运输成本。聚酯废料(如废旧纺织品)回收再生,结合新疆再生资源政策,建设化学法回收装置(如糖酵解技术),生产再生聚酯切片。

3.2. PTA产业发展在新疆的发展方向

新疆油气资源丰富,为生产PTA提供充足的原料保障,PTA可用于生产高附加值的工程塑料、改性塑料、高性能纤维等化工新材料产品,还可以协同耦合新疆丰富的风光等新能源以及棉花等生物质资源,将新疆资源优势最大限度地转化为产业优势和经济优势,促进产业转型升级发展,增强产业链供应链安全稳定,提升向西开放水平,实现人民安居乐业,支撑新疆社会大局长期稳定发展。

由于新疆PTA产业起步较晚,需加大技术创新投入,加强与高校、科研机构的合作,开展产学研合作,推动产业的技术升级和创新发展;加强与中亚、俄罗斯等国家的国际合作,拓展国际市场,提升产业的国际化水平;加强绿色可持续发展,实现产业的绿色发展。

PTA产业作为资本与技术密集型产业,可通过产业链关联效应(前向、后向、旁侧效应)形成区域经济增长极。新疆依托能源优势(油气、煤炭)布局PTA产能,能够带动炼化、化纤、纺织等上下游产业集聚,促进资本、技术、人才等要素的定向流动,重构区域产业空间结构。

传统资源型地区易陷入“资源依赖–产业单一化–创新抑制”的陷阱。新疆发展PTA产业需通过纵向延伸(PX-PTA-聚酯–纺织)与横向耦合(煤化工、绿氢、光伏协同)打破单一资源输出模式,推动产业链高阶化与多元化,实现资源红利向创新能力的转化。

PTA生产的高能耗、高排放特征可能加剧区域环境压力。新疆需通过绿色技术创新(如绿电替代、CCUS技术)与循环经济模式(废聚酯化学回收)实现产业发展与生态承载力的动态平衡,避免环境质量随经济增长先恶化后改善的传统路径。

4. 结论

(1) 降低PTA成本。充分依托新疆丰富的油气和煤炭资源优势,打通油-PX-PTA产业链,降低PTA成本,提升PTA下游产业链抗风险能力;

(2) 攻克关键技术。一是攻克PDO、CHDM等原料生产技术,二是攻克“PTA-PTT-高性能纤维”、“PTA-PCT-工程塑料”、“PTA-TPEE-工程塑料”、“PTA-PCTG/PETG-工程塑料”、“PTA-PPTA1414-工程塑料”等生产技术;

(3) 差异化发展。新疆市场相对封闭,应结合新疆风光等新能源资源、棉花等生物质资源情况,以及周边国家市场需求,差异化发展对苯二甲酸二辛酯(DOTP),PTA-PBT-工程塑料、高性能纤维、可降解塑料产业链,以及PTA-PET-短纤、长丝–棉花混纺–纺织服装产业链。

基金项目

本论文得到新疆维吾尔自治区重大科技专项电池级无水氢氧化锂及高品质锂盐产品制备关键技术研发(No. 2022A01005-2)、新疆工程学院煤化工过程副产物高值转化协同创新中心、新疆工程学院非线性反应动力学法对新疆苦咸水氯含量的传感应用(No. 2024xgy052605)项目支持、国家自然科学基金(No. 22268043)项目支持。

NOTES

*通讯作者。

参考文献

[1] 中国石油和化学工业联合会. 中国石油和化工大宗产品年度报告[R]. 2024.
[2] 张大省. 聚对苯二甲酸乙二醇酯的合成基本原理Ⅰ.对苯二甲酸乙二醇酯的合成[J]. 合成纤维工业, 2023, 46(1): 43-48.
[3] 李建国. 聚对苯二甲酸乙二醇酯的合成、改性及应用[J]. 中外企业家, 2011(2): 150-152.
[4] 张丽. 我国1,3丙二醇—聚对苯二甲酸丙二醇酯产业链发展形势[J]. 化学工业, 2014, 32(6): 7-8.
[5] 聚对苯二甲酸丁二醇酯工程塑料用原料1,4-丁二醇技术开发[Z]. 北京: 中国石化北京化工研究院, 2000.
[6] 关忠博, 李铭新, 王华森, 等. 一种对苯二胺类化合物及其制备方法和应用[P]. 中国专利, 202210923254.5. 2022-08-02.
[7] 欧阳春平, 卢昌利, 郭志龙, 等. 聚对苯二甲酸-己二酸丁二醇酯(PBAT)合成工艺技术研究进展与应用展望[J]. 广东化工, 2021, 48(6): 47-48.
[8] 陈菡. 聚己二酸对苯二甲酸丁二醇酯(PBAT)的合成工艺优化及其产品改性[D]: [硕士学位论文]. 北京: 中国科学院大学, 2015.
[9] 蔡智怡, 黄关葆. 对苯二甲酸与1 4-环己烷二甲醇直接酯化反应的研究[J]. 中国塑料, 2011, 25(8): 34-37.
[10] 蔡智怡. 聚对苯二甲酸-1,4-环已烷二甲醇酯(PCT)的合成与性能研究[D]: [硕士学位论文]. 北京: 北京服装学院, 2012.
[11] 苏光耀, 邓兵, 黄樟土. 一种高效制备聚对苯二甲酸1,4-环己烷二甲醇酯(PCT)的方法[P]. 中国专利, 202110592633.6. 2021-05-28.
[12] 向国栋, 官军, 王灿, 等. 再生聚对苯二甲酸乙二醇-1,4-环己烷二甲醇共聚酯的制备及其固相缩聚[J]. 工程塑料应用, 2023, 51(7): 7-12.
[13] Walkowiak, K., Irska, I. and Paszkiewicz, S. (2022) Synthesis and Characterization of Poly(Hexamethylene 2,6-Naphthalate)-Block-Poly(Tetrahydrofuran) Copolymers with Shape Memory Effect. Materials Research Bulletin, 155, Article 111954. [Google Scholar] [CrossRef
[14] 宋西全, 姜茂忠, 唐凯, 等. 一种超细旦对位芳纶纤维制备工艺的制作方法[P]. 中国专利, 202211678966.1. 2022-12-27.
[15] 方国阳, 林金清. 酯化反应合成对苯二甲酸二异辛酯的研究进展[J]. 化学工程与装备, 2011(9): 177-180.