基于半解析方法的分级多段压裂水平井产能预测模型研究
Research on Productivity Prediction Model of Staged Multi-Segment Fractured Horizontal Wells Based on Semi-Analytical Method
DOI: 10.12677/jogt.2025.471016, PDF, HTML, XML,    科研立项经费支持
作者: 田 洛, 张秋实*, 赵一唯, 任星兆, 冯小军:辽宁石油化工大学石油天然气工程学院,辽宁 抚顺;黄子舰:盘锦中录油气技术服务有限公司,辽宁 盘锦
关键词: 半解析方法注采井网产能预测敏感性分析Semi-Analytical Method Injection-Production Well Pattern Productivity Prediction Sensitivity Analysis
摘要: 基于半解析理论提出的裂缝之间和裂缝内部的离散和耦合方法,对研究复杂缝网下的水平井产能预测方法对非常规油气开采具有重要意义。本文基于渗流理论和源函数理论,建立了流体在裂缝中、地层中以及在井筒内的渗流模型、水平井筒压力损失计算模型、水平井间干扰模型;通过引入裂缝中心坐标作为计算参数,对裂缝进行离散化处理,实现了裂缝间、裂缝与井筒间、裂缝与地层间的耦合,建立了水平井注采井网的产能预测模型。通过对产能影响因素分析可得:早期裂缝数量的增加使裂缝与储层接触面积变得更大,渗流通道增多,更多的流体可以通过裂缝流向井筒,从而提高产量。并随着地层渗透率、裂缝长度、裂缝导流能力的增大,流体渗流阻力变小、无阻流量增大,提高了储层的采出程度,产能会进一步显著提高。同时本文对油田现场分级多段压裂水平井产能预测具有一定的参考应用价值。
Abstract: The discretization and coupling methods proposed between and within fractures based on semi-analytical theory are of great significance for studying productivity prediction methods for horizontal wells in complex fracture networks in unconventional oil and gas extraction. This paper establishes fluid flow models in fractures, formations, and wellbores, pressure loss calculation models for horizontal wellbores, and interference models between horizontal wells based on fluid flow theory and source function theory. By introducing the coordinates of fracture centers as calculation parameters, the fractures are discretized, enabling coupling between fractures, between fractures and wellbores, and between fractures and formations. Furthermore, a productivity prediction model for horizontal injection-production well networks is established. Analysis of factors influencing productivity reveals that an increase in the number of fractures in the early stages results in a larger contact area between fractures and the reservoir, more flow channels, and more fluid flowing into the wellbore through fractures, thereby enhancing production. As formation permeability, fracture length, and fracture conductivity increase, fluid flow resistance decreases and the absolute open flow potential increases, leading to higher reservoir recovery and further significant improvements in productivity. Additionally, this paper provides certain reference value and application significance for productivity prediction of staged multi-fractured horizontal wells in oilfield operations.
文章引用:田洛, 黄子舰, 张秋实, 赵一唯, 任星兆, 冯小军. 基于半解析方法的分级多段压裂水平井产能预测模型研究[J]. 石油天然气学报, 2025, 47(1): 131-142. https://doi.org/10.12677/jogt.2025.471016

1. 引言

随着压裂技术的与时俱进,非常规储层复杂缝网条件下的直水联合开采的产能预测逐渐受到研究者的重视,并已经应用到实际油田的生产过程中[1]。半解析方法是另外一种模拟裂缝系统的有效方法,具有计算速度快、准确评价复杂裂缝情况等优点。Cinco [2]在1978年推导了用于研究无限导流垂直压裂井的半解析方法模型。Rodriguez [3]等改进了该模型,新模型可模拟有限导流裂缝和部分射穿储层的情况。随着水平井的广泛应用,Guo [4]等首次提出了水平井半解析模型,该模型将裂缝离散为多个微元段,每个微元段作为线源,使用源函数和格林函数方法进行求解。然而,该模型假设水平井筒为无限导流,且裂缝垂直于井筒,这些条件限制了模型的使用。Horne [5]等进一步改进了半解析模型,考虑了裂缝间的干扰情况。Larsen [6]等引入了井筒储集效应。随着对裂缝形态分布的深入理解,半解析模型得到了进一步的改进。源函数方法,纽曼乘积理论,势的叠加原则和裂缝网络的离散方法被引入到半解析模型中[7]。Yao [8]提出采用面源函数的方法研究水平井多级压裂的产能。她将油藏假设为六面体状的封闭油藏,所有的裂缝都垂直于水平井筒。这种假设更有利于面源函数的应用。Ren [9]等推导了包含倾斜裂缝的双重介质半解析模型。Chen [10]等提出了多级主裂缝伴随次生裂缝存在的半解析模型。但该模型只能假设次生裂缝正交于主裂缝。

在水力压裂过程中,压裂液进入地层发生渗吸置换效应并扩展次生裂缝,形成复杂的缝网结构[11]。阴国锋[12]等人基于量井径模型和叠加原理,联合面积井网产能计算公式,推导得到压裂直井和水平井联合井网产能计算公式[13]。针对页岩储层,朱维耀[14]等人建立考虑扩散、滑移及解吸的水平井单段压裂产能方程及多段压裂水平井产能预测模型,并分析产能影响因素[15]。WEN [16]根据低渗透储层的叠加原理和势压关系,建立了套管压裂完井水平井渗流模型,该模型能较好地描述低渗透储层的渗流特征。在建立的新渗流模型的基础上,建立了低渗透压裂水平井产能预测的渗流与井筒流动耦合目标模型[17]。XIAO [18]基于双孔隙度–离散裂缝模型,建立了复杂裂缝网络裂缝井的综合渗流数学模型,并结合非结构化网格和控制体积有限元法进行了数值求解[19]。针对致密储层,TIAN [20]等人建立了致密油储集层多重孔隙介质变形与流体流动的全耦合数学模型,改进了渗透率与应力耦合模型,形成了基于流固耦合效应的致密砂砾岩储层体积压裂水平井产量预测模型[21]。强贤宇[22]等人建立适用于致密砂岩各向异性气藏分段压裂水平井气水两相产能预测模型,并绘制气水两相产能预测曲线,评价敏感参数对产能的影响[23]

本文以多段压裂水平井注采井网产能预测模型为研究目标,研究基于半解析理论的裂缝之间和裂缝内部的离散和耦合方法,根据压力叠加原理与点源函数对裂缝进行离散处理,从而求得模型在定压生产条件下的拉氏空间解,并通过数值反演方法,求得多段压裂水平井产能。建立复杂裂缝性地层渗流模型、水平井筒压降损失模型,水平井井间干扰模型,对每个裂缝离散单元及井筒在节点处进行压力和流量的耦合,设计不同井数的系数矩阵。基于叠加原理建立不同注采井网下的产能模型,结合井组边界条件形成系数矩阵,实现储层井组间的产能预测。

2. 物理模型及假设条件

基于复杂裂缝系统构建,一个由单一井口及多条相互交织的复杂裂缝网络组成的水平压裂井物理模型,如图1所示。在构建模型时,必须确保满足以下一系列条件:

(1) 流动系统中地层应为无限大,且具备水平性、均质性、各向同性,以保证流体的均匀分布与流动;

(2) 地层内的流体需为单相、均质、弱可压缩的,以确保流动特性的稳定性;

(3) 所有裂缝应垂直于地层,以便准确模拟裂缝对流体流动的影响;

(4) 在此模型中,省略重力和毛细管力带来的影响,以简化分析过程;

(5) 流体的流动应严格遵循达西定律,确保流动的定量描述准确可靠;

(6) 温度对地层的影响也不考虑,以突出其他因素对流动的主导作用。

在该模型中,水平井筒处于地层中心,其井筒边缘与地层的顶部和底部边缘保持平行;人工压裂产生的裂缝会与地层保持垂直并和井筒以任意角度相交;同时水平井筒会以定注入量、定井底压力向地层注入。

Figure 1. Physical model of horizontal well

1. 水平井物理模型

3. 数学模型

3.1. 裂缝地层渗流模型研究

3.1.1. 裂缝中不稳定渗流

裂缝内流体渗流的偏微分方程为[24]

2 p fD x D 2 + q fD ( t D ) C fD = 1 C η p fD t D x D i1 x D x D i (1)

式中,PfD为裂缝中无因次流动压力;xD为裂缝中距离离散点的无因次距离;qfD为地层向各源点的无因次流量;CfD为无因次导流能力;tD为无因次时间;Cη为无因次扩散系数。

将流体在裂缝中流动的微分方程进行拉普拉斯变换可得

2 p ¯ fD x D 2 + q ¯ fD ( t D ) C fD = 1 C η u p ¯ fD x D i1 x D x D i (2)

由于在每一个单元中,流量的变化不仅局限于两个端点间,还会影响到整个单元内部压力的分布。因此,可得到单元内任意一点的压力表达式为[25]

p ¯ fD ( x D ,u )= q ¯ N D i1 * p ¯ s ( x D , x D i1 ,u ) q ¯ N D i * p ¯ s ( x D , x D i ,u ) C η C fD u q f D i (3)

对单元进行分析时,单元两端的边界被设定为封闭边界。在X点处,该点作为线源点。基于这一设定,(式3)中

p ¯ fD ( x D ,u )= b i ( x D ) q ¯ N D i1 * c i ( x D ) q ¯ N D i * + d i q f D i (4)

其中,qfD为沿井筒单元流向地层的流量。

b i = 1 C fD u C η { 2cosh[ ( x D x D i1 ) u C η ] exp( 2( x D i x D i1 ) u C η )1 +exp[ | x D x D i1 | u C η ] (5)

c i = 1 C fD u C η { 2cosh[ ( x D i x D ) u C η ] exp( 2( x D i x D i1 ) u C η )1 +exp[ | x D i x D | u C η ] (6)

d i = C η C fD u (7)

3.1.2. 地层不稳定渗流

基于质量守恒基本定理[26],给出在一个均质化、各项性能都保持一致的地层中,弱可压缩流体的不稳定渗流的连续性方程

-{ [ ρ( p ) v x ] x + [ ρ( p ) v y ] y + [ ρ( p ) v z ] z }= [ ϕρ( p ) ] t (8)

其中,ρ为流体密度,kg/m3xyz为三维坐标方向。

若考虑流体在平面内的流动情况时,则微分方程式(8)可转化为

2 p r 2 + 1 r p r = 1 3.6η p t (9)

若将井筒储集系数与表皮系数相结合,在拉普拉斯空间内,井底的压力的表达式为

p ¯ wD ' ( u )= u p ¯ wD +S u[ 1+ C D u( u p ¯ wD +S ) ] (10)

3.2. 水平井注采井网产能计算模型

对复杂地层模型分析时,发现在多个关键源汇点相互作用下,各点的流动状态都可能发生变化[27]。比如出现了新的源汇点,或者源汇间的导流能力发生了变化,原来的源汇点的作用范围和强度也随之改变,这种变化会导致目标点位的势能发生相应的变动。利用势的叠加理论,将裂缝系统在时间维度和空间维度上进行细致的划分[28]。当地层中存在多口井时,可以将其视为增加了多个源汇点,进而增加了井间干扰的来源。为了准确分析这种情况,需要基于叠加原理重新构建矩阵的结构[29]

3.2.1. 水平井系数矩阵特征

将每条裂缝独立研究,基于流量守恒的基本原理,可列出裂缝离散后每个单元的流量平衡方程[30]。之后把这些平衡方程中包含的各个系数视为构建矩阵的关键元素。针对半条裂缝有:

p ¯ D ( x D ,u )= 1 1 q ¯ fD ( x D ,u ) K 0 ( | x D x D | u )d x D (11)

水平井筒的系数矩阵同样也包含了裂缝与地层、裂缝间的耦合系数。鉴于水平井筒的长度较大,考虑其中存在的压力损失情况。因此在构建矩阵时,用ΔPi表示压裂点间存在的压降,可以针对相邻的井筒节点,给出其压力损失方程。如图2所示。

Figure 2. Horizontal well coefficient matrix

2. 水平井系数矩阵

3.2.2. 水平井筒压力损失分析

水平井筒内的压降问题主要包含两部分:由于流速改变而引起的压力下降,这种变化源于流量 q N1 q N2 在进入井筒后;其次由于流体在井筒内的各流动单元与井筒发生摩擦导致的摩阻损失[31]。加速压降的产生主要是由于粒子运动所产生的动能发生了改变,这种损失在裂缝和井筒的交界处最为明显。

压降损失可以表示为

7.45× 10 12 dp dx = d( ρ v h 2 ) dx (12)

式中,Vh是井筒内流体的流动速度,m3·s1/m2

将裂缝与井筒交点前后的压力和流量分别表示为PwiPwi-1qwiqwi-1

7.45× 10 12 ( p wi p wi1 )= 4 ρ sc B π 2 r w 4 q sc 2 ( q wi 2 q wi1 2 ) (13)

摩擦压降的形成源于生产中井筒内壁的粗糙不平,使油气流动时产生了一定程度的摩擦作用[32]。摩擦压降的表达式为

7.45× 10 12 dp dl = fρ v h 2 4 r w (14)

式中,l为线长度,m。

4. 水平井模型验证

本模型采用数值方法和半解析方法相结合的方式进行对比验证[33]。主要采用商业化测试软件对比模拟了不同地层渗流条件下的水平井产能来验证模型的可靠性。选用的基础参数如表1所示[34]

Table 1. Validation parameters of horizontal fracturing well model

1. 水平压裂井模型验证参数

参数名称

水平井模型验证参数

单位

地层渗透率

1

md

地层孔隙度

8.5

%

地层厚度

15

M

原始地层压力

20

MPa

流体粘度

4

cp

裂缝半长

100

m

裂缝导流能力

200

mD/m

井底流压

15

MPa

综合压缩系数

0.001

MP1

井筒储集系数

0.8

m3/MPa

流体体积系数

1.06

表皮系数

0.00034

裂缝级数

2.5

图3所示,利用商业软件建立裂缝数量为2条和5条时的水平井数值模型。

(a) (b)

Figure 3. Numerical model of horizontal well (a) Two numerical models of cracks; (b) 5 numerical models of cracks

3. 水平井数值模型(a) 2条裂缝数值模型;(b) 5条裂缝数值模型

Figure 4. Verification of horizontal well model

4. 水平井模型验证

图4所示,为裂缝数量2条、5条下水平压裂井计算对比结果。其中曲线为不同数量下应用商业软件计算得出的压力值;带标记点的曲线为应用模型计算得出不同裂缝数量下的压力值。由结果可知,水平井计算结果与软件计算结果拟合效果显著,证明模型可靠[35]

5. 水平井产能敏感分析

基于本文建立的水平井产能预测模型及表1基本参数,并设置井距为100 m,建立三口水平井为一注两采井网类型,分析地层渗透率和裂缝半长等因素对水平井产能影响[36]

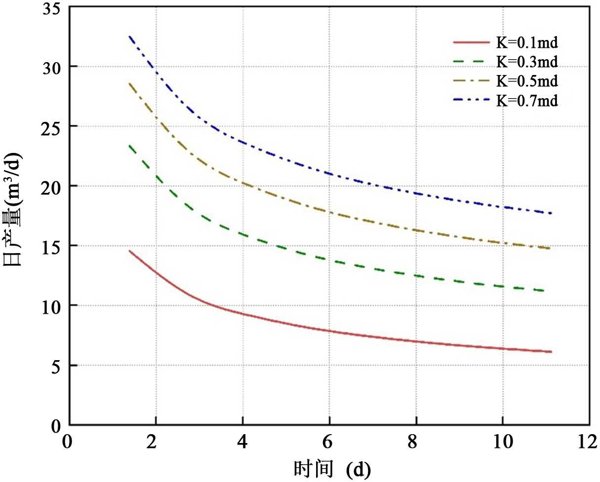
5.1. 地层渗透率

只改变地层渗透率分别为0.1 md、0.3 md、0.5 md、0.7 md。地层渗透率对注入能力及产能的影响如图5(a)、(b)所示。地层渗透率增大,注采井间的压力梯度减小,流体渗流阻力减小,储层采出程度更大,地层吸收能力增强,从而油田也达到增产稳产的效果[37]。与直井四点、五点、七点井网对比,一注两采型在一定程度上增加裂缝数量,在同一渗透率下,产量也增加了1倍[38]

(a) (b)

Figure 5. The impact of different permeability rates on injection capacity and production capacity under the one injection, two mining types. (a) Impact on injection capability; (b) Impact on production capacity

5. 一注两采类型下不同渗透率对注入能力、产能的影响(a) 对注入能力的影响;(b) 对产能的影响

5.2. 裂缝半长

只改变裂缝半长分别为50 m、100 m、150 m、200 m。裂缝半长对注入能力及产能的影响如图6(a)、(b)所示[39]。结果表明,增加裂缝长度,可提高日注入量和产量。在相同的裂缝位置处,裂缝越长,产量提升幅度越大[40]

(a) (b)

Figure 6. The impact of different crack half lengths on injection capacity and productivity under the one shot two mining types. (a) Impact on injection capability; (b) Impact on production capacity

6. 一注两采类型下不同裂缝半长对注入能力、产能的影响(a) 对注入能力的影响;(b) 对产能的影响

5.3. 裂缝导流能力

只改变裂缝导流能力分别为50 md∙m、100 md∙m、150 md∙m、200 md∙m。裂缝导流能力对注入能力及产能的影响如图7(a)、(b)所示,裂缝导流能力越大,日注入量和日产量初期越大;随着时间增大,日注入量和日产量逐渐减小趋于平缓[41]。裂缝导流能力反应了裂缝中流体渗流程度的大小,对井筒的供液能力有较大影响。在水平注采下,裂缝导流能力增大,无阻流量增大,产能增长幅度减缓,所以日注入量及产量均随着裂缝的导流能力变化而变化,随着时间延长而减少[42]

(a) (b)

Figure 7. The impact of different fracture conductivity on injection capacity and production capacity under one injection and two mining types. (a) Impact on injection capability; (b) Impact on production capacity

7. 一注两采类型下不同裂缝导流能力对注入能力、产能的影响(a) 对注入能力的影响;(b) 对产能的影响

5.4. 裂缝数量

只改变水平井裂缝数量分别为2条、4条、6条、8条。裂缝数量对注入能力及产能的影响如图8(a)、(b)所示。裂缝数量对早期日注入量影响较大,这是因为裂缝数量的增加使裂缝与储层接触面积变得更大,渗流通道增多,更多的流体可以通过裂缝流向井筒,从而进一步提高产量[43]。从图8(b)可以看出,当裂缝的数量从2条增加到4条,产量增加到原来的两倍;当裂缝再翻倍增加到8条时,产量又增加到原来的两倍。但是裂缝数量过多会导致布缝变密,井间干扰现象明显[44]

(a) (b)

Figure 8. The impact of different numbers of cracks on injection capacity and productivity under one injection and two mining types. (a) Impact on injection capability; (b) Impact on production capacity

8. 一注两采类型下不同裂缝数量对注入能力、产能的影响(a) 对注入能力的影响;(b) 对产能的影响

6. 结论

本文以油田压裂开采后形成的复杂缝网结构和水平井为研究目标,通过建立水平井注采井网产能预测模型计算产液能力,主要结论如下:

(1) 基于压力叠加原理,设计了水平井生产的系数矩阵结构,该矩阵反映了所有离散单元之间的相互干扰。压裂井模型采用输入井筒及裂缝坐标的方式建模求解,该方法能够模拟不同数量、不同井型条件下产能。

(2) 分析地层渗透率、裂缝半长、裂缝导流能力及裂缝条数对注入量和产能的影响。结果表明,随着地层渗透率、裂缝长度及裂缝导流能力的增大,流体渗流阻力减小、地层吸收能力增大,提高了储层的采出程度,增加日产量及最终产量。而且裂缝条数及裂缝导流能力对早期日注入量影响较大,其他影响因素相对较小。

基金项目

浅层稠油油藏二氧化碳采能及封存一体化技术研究,辽宁省科技厅,国际科技合作计划,项目编号:2023JH2/10700020;

基于多维卷积网络的油气压裂试并智能解释方法研究,辽宁省教育厅,项目编号:JYTMS20231443。

NOTES

*通讯作者。

参考文献

[1] 李亚龙, 刘先贵, 胡志明, 等. 页岩气水平井产能预测数值模型综述[J]. 地球科学进展, 2020, 35(4): 350-362.
[2] Cinco L., H., Samaniego V., F. and Dominguez A., N. (1978) Transient Pressure Behavior for a Well with a Finite-Conductivity Vertical Fracture. Society of Petroleum Engineers Journal, 18, 253-264. [Google Scholar] [CrossRef
[3] Rodriguez, F., Horne, R.N. and Cinco-Ley, H. (1984) Partially Penetrating Vertical Fractures: Pressure Transient Behavior of a Finite-Conductivity Fracture. Proceedings of SPE Annual Technical Conference and Exhibition, Houston, 16-19 September 1984, SPE-13057-MS. [Google Scholar] [CrossRef
[4] Guo, G. and Evans, R.D. (1993) Pressure-Transient Behavior and Inflow Performance of Horizontal Wells Intersecting Discrete Fractures. SPE Annual Technical Conference and Exhibition, Houston, 3-6 October 1993, SPE-26446-MS. [Google Scholar] [CrossRef
[5] Horne, R.N. and Temeng, K.O. (1995) Relative Productivities and Pressure Transient Modeling of Horizontal Wells with Multiple Fractures. Middle East Oil Show, Bahrain, 11-14 March 1995, SPE-29891-MS. [Google Scholar] [CrossRef
[6] Larsen, L. and Hegre, T.M. (1994) Pressure Transient Analysis of Multifractured Horizontal Wells. SPE Annual Technical Conference and Exhibition, New Orleans, 25-28 September 1994, SPE-28389-MS. [Google Scholar] [CrossRef
[7] 李海涛, 王俊超, 李颖, 等. 基于体积源的分段压裂水平井产能评价方法[J]. 天然气工业, 2015, 35(9): 55-63.
[8] Yao, S., Zeng, F., Liu, H. and Zhao, G. (2013) A Semi-Analytical Model for Multi-Stage Fractured Horizontal Wells. Journal of Hydrology, 507, 201-212. [Google Scholar] [CrossRef
[9] Zongxiao, R., Xiaodong, W., Dandan, L., Rui, R., Wei, G., Zhiming, C., et al. (2016) Semi-analytical Model of the Transient Pressure Behavior of Complex Fracture Networks in Tight Oil Reservoirs. Journal of Natural Gas Science and Engineering, 35, 497-508. [Google Scholar] [CrossRef
[10] Chen, Z., Liao, X., Zhao, X., Lv, S. and Zhu, L. (2016) A Semianalytical Approach for Obtaining Type Curves of Multiple-Fractured Horizontal Wells with Secondary-Fracture Networks. SPE Journal, 21, 538-549. [Google Scholar] [CrossRef
[11] 李晓军, 张琪, 路智勇. 断块油藏水平井与直井组合井网渗流解析解及其应用[J]. 中国石油大学学报(自然科学版), 2010, 34(3): 84-88.
[12] 阴国锋, 徐怀民, 叶双江, 等. 水平井注采井网条件下加密水平井产能评价模型[J]. 中国石油大学学报(自然科学版), 2011, 35(4): 93-97.
[13] 刘今子, 邸伟娇, 宋考平, 等. 基于井网单元的非均质低渗透油藏产能计算方法[J]. 东北石油大学学报, 2018, 42(4): 101-108.
[14] 郭小哲, 王晶, 刘学锋. 页岩气储层压裂水平井气-水两相渗流模型[J]. 石油学报, 2016, 37(9): 1165-1170.
[15] Chen, H., Feng, Q., Zhang, X., Zhou, W. and Geng, Y. (2017) A Prediction Formula for Ratio of Injection-Production Control Area in Triangle Well Pattern. Journal of Petroleum Exploration and Production Technology, 8, 195-203. [Google Scholar] [CrossRef
[16] Wen, J., Luo, W. and Yin, Q.G. (2019) Productivity Prediction of Fractured Horizontal Wells with Low Permeability Flow Characteristics. Journal of Environmental Engineering and Landscape Management, 27, 82-92.
[17] Sun, M.S., Liu, C.Y., Feng, C.J., et al. (2017) Main Controlling Factors and Predictive Models for the Study of the Characteristics of Remaining Oil Distribution during the High Water-Cut Stage in Fuyu oilfield, Songliao Basin, China. Energy Exploration & Exploitation, 36, 97-113.
[18] Xiao, H., Chen, M., Jing, C., Zhao, H. and Wang, K. (2023) Production Simulation and Prediction of Fractured Horizontal Well with Complex Fracture Network in Shale Gas Reservoir Based on Unstructured Grid. Frontiers in Earth Science, 11, Article 1257219. [Google Scholar] [CrossRef
[19] Kang, S., Pu, C., Wang, Y., Liu, W., Wang, K., Huang, F., et al. (2022) Parameter Optimization of Asynchronous Cyclic Waterflooding for Horizontal-Vertical Well Patterns in Tight Oil Reservoirs. ACS Omega, 7, 11226-11239. [Google Scholar] [CrossRef] [PubMed]
[20] Tian, L., Chai, X., Wang, P. and Wang, H. (2020) Productivity Prediction Model for Stimulated Reservoir Volume Fracturing in Tight Glutenite Reservoir Considering Fluid-Solid Coupling. Frontiers in Energy Research, 8, Article 573817. [Google Scholar] [CrossRef
[21] Gao, M., Wei, C., Zhao, X., Huang, R., Li, B., Yang, J., et al. (2023) Intelligent Optimization of Gas Flooding Based on Multi-Objective Approach for Efficient Reservoir Management. Processes, 11, Article 2226. [Google Scholar] [CrossRef
[22] 强贤宇, 侯大力, 向雪妮, 等. 一种新的多因素压裂水平井产能评价方法[J]. 科学技术与工程, 2023, 23(10): 4168-4175.
[23] Su, Z., Gao, S., Li, Z., Li, T. and Kang, N. (2024) Integrated Waterflooding Effect Evaluation Methodology for Carbonate Fractured-Vuggy Reservoirs Based on the Unascertained Measure-Mahalanobis Distance Theory. Processes, 12, Article 274. [Google Scholar] [CrossRef
[24] 朱维耀, 马东旭, 亓倩, 等. 复杂缝网页岩压裂水平井多区耦合产能分析[J]. 天然气工业, 2017, 37(7): 60-68.
[25] 张芨强, 雷霄, 张乔良, 等. 低渗透气藏产水压裂水平井产能评价[J]. 天然气地球科学, 2019, 30(12): 1701-1708.
[26] Zhu, D.W., Hu, Y.L. and Cui, M.Y. (2020) Productivity Simulation of Hydraulically Fractured Wells Based on Hybrid Local grid Refinement and Embedded Discrete Fracture Model. Petroleum Exploration and Development, 47, 365-373.
[27] Zhang, L. and Gu, D.H. (2024) New Model for Predicting Production Capacity of Horizontal Well Volume Fracturing in Tight Reservoirs. ACS Omega, 9, 11806-11819.
[28] 邓美洲, 牛娜, 尹霜, 等. 各向异性致密砂岩气藏分段压裂水平井气水两相产能预测模型[J]. 油气地质与采收率, 2024, 31(3): 99-111.
[29] Xiong, S.C., Liu, S.Y. and Weng, D.W. (2022) A Fractional Step Method to Solve Productivity Model of Horizontal Wells Based on Heterogeneous Structure of Fracture Network. Energies, 15, Article 3907.
[30] Qian, W., Shengxian, Z., Chenxi, Y., Wenbao, Z., Chao, F. and Peng, T. (2022) Horizontal Well Orientation Optimization Based on the Integration of Hydraulic Fracturing Network Simulation and Productivity Prediction. 56th U.S. Rock Mechanics/Geomechanics Symposium, Santa Fe, 26-29 June 2022, ARMA-2022-0681. [Google Scholar] [CrossRef
[31] Huzhen, W., Tiancheng, L., Zhuangzhuang, S., Chunyao, W., Zhenyu, L., Zhijun, Z., et al. (2022) Formation Pressure Distribution and Productivity Prediction of Fractured Horizontal Wells in Stress Sensitive Reservoirs. Frontiers in Energy Research, 10, Article 978134. [Google Scholar] [CrossRef
[32] Sun, R., Hu, J., Zhang, Y. and Li, Z. (2020) A Semi-Analytical Model for Investigating the Productivity of Fractured Horizontal Wells in Tight Oil Reservoirs with Micro-Fractures. Journal of Petroleum Science and Engineering, 186, Article ID: 106781. [Google Scholar] [CrossRef
[33] Tao, L., Guo, J., Li, Z., Wang, X., Yang, S., Shi, K., et al. (2021) A New Productivity Prediction Hybrid Model for Multi-Fractured Horizontal Wells in Tight Oil Reservoirs. SPE/IATMI Asia Pacific Oil & Gas Conference and Exhibition, 12-14 October 2021, SPE-205620-MS. [Google Scholar] [CrossRef
[34] Chen, X., Li, J., Gao, P. and Zhou, J. (2022) Prediction of Shale Gas Horizontal Wells Productivity after Volume Fracturing Using Machine Learning—An LSTM Approach. Petroleum Science and Technology, 40, 1861-1877. [Google Scholar] [CrossRef
[35] 刘思雨, 王坤, 谢明英, 等. 低渗油藏不规则缝网压裂水平井产能预测模型[J]. 计算物理, 2024, 41(4): 503-514.
[36] 张秋实, 何金宝, 胡志勇, 等. 延长油田低渗透储层压裂水平井产能预测模型[J]. 当代化工, 2022, 51(6): 1420-1424.
[37] Wang, Z., Zhao, X., Yang, Z., Xiao, Q. and Lan, J. (2022) Modeling for Volume-Fracturing Vertical Wells in Tight Oil Reservoir Considering NMR-Based Research on Imbibition. Lithosphere, 2022, Article ID: 2730294. [Google Scholar] [CrossRef
[38] Deng, J., He, J.J. and Gao, L. (2024) Productivity Model for Multi-Fractured Horizontal Wells Accounting for Cross-Scale Flow of Gas and Total Factor Characteristics of Fractures. Fuel, 360, Article ID: 130581.
[39] Zhang, D.X., Zhang, L.H. and Tang, H.Y. (2022) Fully Coupled Fluid-Solid Productivity Numerical Simulation of Multistage Fractured Horizontal Well in Tight Oil Reservoirs. Petroleum Exploration and Development, 49, 382-393.
[40] Xiong, S., Liu, S., Weng, D., Shen, R., Yu, J., Yan, X., et al. (2022) A Fractional Step Method to Solve Productivity Model of Horizontal Wells Based on Heterogeneous Structure of Fracture Network. Energies, 15, Article 3907. [Google Scholar] [CrossRef
[41] Osisanya, S.O., Ayokunle, A.T., Ghosh, B. and Suboyin, A. (2021) Modified Horizontal Well Productivity Model for a Tight Gas Reservoir Subjected to Non-Uniform Damage and Turbulence. Energies, 14, Article 8334. [Google Scholar] [CrossRef
[42] Ran, L., Gaomin, L., Jinzhou, Z., Lan, R. and Jianfa, W. (2022) Productivity Model of Shale Gas Fractured Horizontal Well Considering Complex Fracture Morphology. Journal of Petroleum Science and Engineering, 208, Article ID: 109511. [Google Scholar] [CrossRef
[43] Luo, A., Li, Y., Wu, L., Peng, Y. and Tang, W. (2021) Fractured Horizontal Well Productivity Model for Shale Gas Considering Stress Sensitivity, Hydraulic Fracture Azimuth, and Interference between Fractures. Natural Gas Industry B, 8, 278-286. [Google Scholar] [CrossRef
[44] 孙若凡, 张彦军, 张秀玲, 等. 双重介质致密油藏压裂水平井产能预测模型及参数分析[J]. 科学技术与工程, 2019, 19(10): 89-96.