| 
                                            [1]
                                         | 
                                        
                                             Barzaman, K., Karami, J., Zarei, Z., Hosseinzadeh, A., Kazemi, M.H., Moradi-Kalbolandi, S., et al. (2020) Breast Cancer: Biology, Biomarkers, and Treatments. International Immunopharmacology, 84, Article 106535. [Google Scholar] [CrossRef] [PubMed] 
                                         | 
                                    
                     
                                
                                    
                                        | 
                                            [2]
                                         | 
                                        
                                             Pfeiffer, R.M., Webb-Vargas, Y., Wheeler, W. and Gail, M.H. (2018) Proportion of U.S. Trends in Breast Cancer Incidence Attributable to Long-Term Changes in Risk Factor Distributions. Cancer Epidemiology, Biomarkers & Prevention, 27, 1214-1222. [Google Scholar] [CrossRef] [PubMed] 
                                         | 
                                    
                     
                                
                                    
                                        | 
                                            [3]
                                         | 
                                        
                                             Siegel, R.L., Miller, K.D., Fuchs, H.E. and Jemal, A. (2021) Cancer Statistics, 2021. CA: A Cancer Journal for Clinicians, 71, 7-33. [Google Scholar] [CrossRef] [PubMed] 
                                         | 
                                    
                     
                                
                                    
                                        | 
                                            [4]
                                         | 
                                        
                                             Mohamed, H.T., El-Shinawi, M., Nouh, M.A., Bashtar, A., Elsayed, E.T., Schneider, R.J., et al. (2014) Inflammatory Breast Cancer: High Incidence of Detection of Mixed Human Cytomegalovirus Genotypes Associated with Disease Pathogenesis. Frontiers in Oncology, 4, Article 246. [Google Scholar] [CrossRef] [PubMed] 
                                         | 
                                    
                     
                                
                                    
                                        | 
                                            [5]
                                         | 
                                        
                                             Samuel, S.M., Varghese, E., Varghese, S. and Büsselberg, D. (2018) Challenges and Perspectives in the Treatment of Diabetes Associated Breast Cancer. Cancer Treatment Reviews, 70, 98-111. [Google Scholar] [CrossRef] [PubMed] 
                                         | 
                                    
                     
                                
                                    
                                        | 
                                            [6]
                                         | 
                                        
                                             Hu, F.B. (2011) Globalization of Diabetes: The Role of Diet, Lifestyle, and Genes. Diabetes Care, 34, 1249-1257. [Google Scholar] [CrossRef] [PubMed] 
                                         | 
                                    
                     
                                
                                    
                                        | 
                                            [7]
                                         | 
                                        
                                             Shikata, K., Ninomiya, T. and Kiyohara, Y. (2012) Diabetes Mellitus and Cancer Risk: Review of the Epidemiological Evidence. Cancer Science, 104, 9-14. [Google Scholar] [CrossRef] [PubMed] 
                                         | 
                                    
                     
                                
                                    
                                        | 
                                            [8]
                                         | 
                                        
                                             Vigneri, P., Frasca, F., Sciacca, L., Pandini, G. and Vigneri, R. (2009) Diabetes and Cancer. Endocrine-Related Cancer, 16, 1103-1123. [Google Scholar] [CrossRef] [PubMed] 
                                         | 
                                    
                     
                                
                                    
                                        | 
                                            [9]
                                         | 
                                        
                                             Larsson, S.C., Mantzoros, C.S. and Wolk, A. (2007) Diabetes Mellitus and Risk of Breast Cancer: A Meta-Analysis. International Journal of Cancer, 121, 856-862. [Google Scholar] [CrossRef] [PubMed] 
                                         | 
                                    
                     
                                
                                    
                                        | 
                                            [10]
                                         | 
                                        
                                             Stattin, P., Björ, O., Ferrari, P., Lukanova, A., Lenner, P., Lindahl, B., et al. (2007) Prospective Study of Hyperglycemia and Cancer Risk. Diabetes Care, 30, 561-567. [Google Scholar] [CrossRef] [PubMed] 
                                         | 
                                    
                     
                                
                                    
                                        | 
                                            [11]
                                         | 
                                        
                                             Boyle, P., Boniol, M., Koechlin, A., Robertson, C., Valentini, F., Coppens, K., et al. (2012) Diabetes and Breast Cancer Risk: A Meta-Analysis. British Journal of Cancer, 107, 1608-1617. [Google Scholar] [CrossRef] [PubMed] 
                                         | 
                                    
                     
                                
                                    
                                        | 
                                            [12]
                                         | 
                                        
                                             Zhao, X. and Ren, G. (2016) Diabetes Mellitus and Prognosis in Women with Breast Cancer. A Systematic Review and Meta-Analysis Medicine, 95, e5602. [Google Scholar] [CrossRef] [PubMed] 
                                         | 
                                    
                     
                                
                                    
                                        | 
                                            [13]
                                         | 
                                        
                                             Peairs, K.S., Barone, B.B., Snyder, C.F., Yeh, H., Stein, K.B., Derr, R.L., et al. (2011) Diabetes Mellitus and Breast Cancer Outcomes: A Systematic Review and Meta-Analysis. Journal of Clinical Oncology, 29, 40-46. [Google Scholar] [CrossRef] [PubMed] 
                                         | 
                                    
                     
                                
                                    
                                        | 
                                            [14]
                                         | 
                                        
                                             Vona-Davis, L. and P. Rose, D. (2012) Type 2 Diabetes and Obesity Metabolic Interactions: Common Factors for Breast Cancer Risk and Novel Approaches to Prevention and Therapy. Current Diabetes Reviews, 8, 116-130. [Google Scholar] [CrossRef] [PubMed] 
                                         | 
                                    
                     
                                
                                    
                                        | 
                                            [15]
                                         | 
                                        
                                             Goodwin, P.J., Ennis, M., Pritchard, K.I., Trudeau, M.E., Koo, J., Taylor, S.K., et al. (2012) Insulin-and Obesity-Related Variables in Early-Stage Breast Cancer: Correlations and Time Course of Prognostic Associations. Journal of Clinical Oncology, 30, 164-171. [Google Scholar] [CrossRef] [PubMed] 
                                         | 
                                    
                     
                                
                                    
                                        | 
                                            [16]
                                         | 
                                        
                                             Schrauder, M.G., Fasching, P.A., Häberle, L., Lux, M.P., Rauh, C., Hein, A., et al. (2011) Diabetes and Prognosis in a Breast Cancer Cohort. Journal of Cancer Research and Clinical Oncology, 137, 975-983. [Google Scholar] [CrossRef] [PubMed] 
                                         | 
                                    
                     
                                
                                    
                                        | 
                                            [17]
                                         | 
                                        
                                             De Bruijn, K.M.J., Arends, L.R., Hansen, B.E., Leeflang, S., Ruiter, R. and van Eijck, C.H.J. (2013) Systematic Review and Meta-Analysis of the Association between Diabetes Mellitus and Incidence and Mortality in Breast and Colorectal Cancer. British Journal of Surgery, 100, 1421-1429. [Google Scholar] [CrossRef] [PubMed] 
                                         | 
                                    
                     
                                
                                    
                                        | 
                                            [18]
                                         | 
                                        
                                             Rivenbark, A.G., O’Connor, S.M. and Coleman, W.B. (2013) Molecular and Cellular Heterogeneity in Breast Cancer. Challenges for Personalized Medicine. The American Journal of Pathology, 183, 1113-1124. [Google Scholar] [CrossRef] [PubMed] 
                                         | 
                                    
                     
                                
                                    
                                        | 
                                            [19]
                                         | 
                                        
                                             Mohamed, A., Krajewski, K., Cakar, B. and Ma, C.X. (2013) Targeted Therapy for Breast Cancer. The American Journal of Pathology, 183, 1096-1112. [Google Scholar] [CrossRef] [PubMed] 
                                         | 
                                    
                     
                                
                                    
                                        | 
                                            [20]
                                         | 
                                        
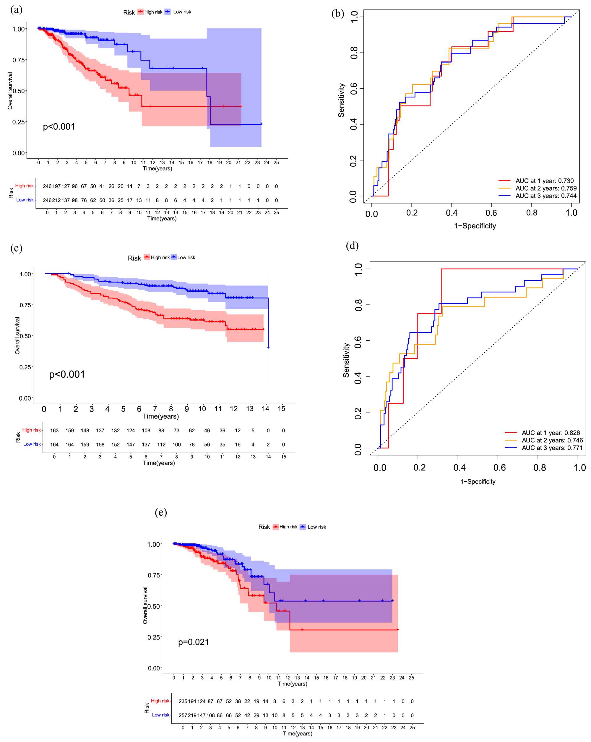
                                             Rich, J.T., Neely, J.G., Paniello, R.C., Voelker, C.C.J., Nussenbaum, B. and Wang, E.W. (2010) A Practical Guide to Understanding Kaplan-Meier Curves. Otolaryngology—Head and Neck Surgery, 143, 331-336. [Google Scholar] [CrossRef] [PubMed] 
                                         | 
                                    
                     
                                
                                    
                                        | 
                                            [21]
                                         | 
                                        
                                             Yu, G., Wang, L., Han, Y. and He, Q. (2012) Clusterprofiler: An R Package for Comparing Biological Themes among Gene Clusters. OMICS: A Journal of Integrative Biology, 16, 284-287. [Google Scholar] [CrossRef] [PubMed] 
                                         | 
                                    
                     
                                
                                    
                                        | 
                                            [22]
                                         | 
                                        
                                             Li, W., Liu, H., Qian, W., Cheng, L., Yan, B., Han, L., et al. (2018) Hyperglycemia Aggravates Microenvironment Hypoxia and Promotes the Metastatic Ability of Pancreatic Cancer. Computational and Structural Biotechnology Journal, 16, 479-487. [Google Scholar] [CrossRef] [PubMed] 
                                         | 
                                    
                     
                                
                                    
                                        | 
                                            [23]
                                         | 
                                        
                                             García-Esquinas, E., Guinó, E., Castaño-Vinyals, G., Pérez-Gómez, B., Llorca, J., Altzibar, J.M., et al. (2016) Association of Diabetes and Diabetes Treatment with Incidence of Breast Cancer. Acta Diabetologica, 53, 99-107. [Google Scholar] [CrossRef] [PubMed] 
                                         | 
                                    
                     
                                
                                    
                                        | 
                                            [24]
                                         | 
                                        
                                             Tang, Y., Wang, Y., Kiani, M.F. and Wang, B. (2016) Classification, Treatment Strategy, and Associated Drug Resistance in Breast Cancer. Clinical Breast Cancer, 16, 335-343. [Google Scholar] [CrossRef] [PubMed] 
                                         | 
                                    
                     
                                
                                    
                                        | 
                                            [25]
                                         | 
                                        
                                             Wu, L. and Yang, X. (2018) Targeting the Hippo Pathway for Breast Cancer Therapy. Cancers, 10, Article 422. [Google Scholar] [CrossRef] [PubMed] 
                                         | 
                                    
                     
                                
                                    
                                        | 
                                            [26]
                                         | 
                                        
                                             Ganapathy-Kanniappan, S. (2017) Taming Tumor Glycolysis and Potential Implications for Immunotherapy. Frontiers in Oncology, 7, Article 36. [Google Scholar] [CrossRef] [PubMed] 
                                         | 
                                    
                     
                                
                                    
                                        | 
                                            [27]
                                         | 
                                        
                                             Li, L., Liang, Y., Kang, L., Liu, Y., Gao, S., Chen, S., et al. (2018) Transcriptional Regulation of the Warburg Effect in Cancer by SIX1. Cancer Cell, 33, 368-385.E7. [Google Scholar] [CrossRef] [PubMed] 
                                         | 
                                    
                     
                                
                                    
                                        | 
                                            [28]
                                         | 
                                        
                                             Cheng, X., Jia, X., Wang, C., Zhou, S., Chen, J., Chen, L., et al. (2023) Hyperglycemia Induces PFKFB3 Overexpression and Promotes Malignant Phenotype of Breast Cancer through RAS/MAPK Activation. World Journal of Surgical Oncology, 21, Article No. 112. [Google Scholar] [CrossRef] [PubMed] 
                                         | 
                                    
                     
                                
                                    
                                        | 
                                            [29]
                                         | 
                                        
                                             Gajeton, J., Krukovets, I., Muppala, S., Verbovetskiy, D., Zhang, J. and Stenina-Adognravi, O. (2021) Hyperglycemia-Induced miR-467 Drives Tumor Inflammation and Growth in Breast Cancer. Cancers, 13, Article 1346. [Google Scholar] [CrossRef] [PubMed] 
                                         | 
                                    
                     
                                
                                    
                                        | 
                                            [30]
                                         | 
                                        
                                             Dizdaroglu, M. (2012) Oxidatively Induced DNA Damage: Mechanisms, Repair and Disease. Cancer Letters, 327, 26-47. [Google Scholar] [CrossRef] [PubMed] 
                                         | 
                                    
                     
                                
                                    
                                        | 
                                            [31]
                                         | 
                                        
                                             Hirano, T. (2021) IL-6 in Inflammation, Autoimmunity and Cancer. International Immunology, 33, 127-148. [Google Scholar] [CrossRef] [PubMed] 
                                         | 
                                    
                     
                                
                                    
                                        | 
                                            [32]
                                         | 
                                        
                                             Pollak, M. (2012) The Insulin and Insulin-Like Growth Factor Receptor Family in Neoplasia: An Update. Nature Reviews Cancer, 12, 159-169. [Google Scholar] [CrossRef] [PubMed] 
                                         |