不同封装技术的相变泡沫混凝土力学和蓄热性能
Mechanical and Thermal Storage Properties of Phase Change Foamed Concrete with Different Encapsulation Techniques
摘要: 选取以石蜡为主要材料制成的相变材料微胶囊材料和石蜡–石墨定型材料掺入泡沫混凝土,分别制作两种相变泡沫混凝土。并对两种相变泡沫混凝土的抗压强度、导热性能、气孔微观构造,蓄热特性进行测试与分析。结果表明:适量的掺加相变材料可以增强泡沫混凝土的抗压强度,掺加P-G材料的泡沫混凝土更明显;泡沫混凝土的导热系数随着两种材料的加入先减小后增大,掺加MPCM的泡沫混凝土整体抗导热性优于掺加P-G材料的泡沫混凝土;掺加相变材料使泡沫混凝土具有了一定的蓄热储能能力,其蓄热能力大小与材料掺量有直接关系。
Abstract: Microencapsulated phase change materials primarily composed of paraffin and paraffin-graphite composite phase change materials were incorporated into foamed concrete to produce two types of phase change foamed concrete. The compressive strength, thermal conductivity, pore microstructure, and thermal storage characteristics of the two types of phase change foamed concrete were tested and analyzed. The results show that an appropriate amount of phase change materials can enhance the compressive strength of foamed concrete, with a more pronounced effect when using P-G material. The thermal conductivity of foamed concrete initially decreases and then increases with the addition of both materials, with foamed concrete incorporating MPCM showing better overall thermal resistance than that with P-G material. Incorporating phase change materials endows foamed concrete with a certain thermal storage capacity, directly related to the amount of material added.
文章引用:李庆凯, 张虎, 石富凯, 李中航, 胡金涛. 不同封装技术的相变泡沫混凝土力学和蓄热性能[J]. 土木工程, 2025, 14(4): 850-865. https://doi.org/10.12677/hjce.2025.144092

1. 引言

目前,建筑能耗的占比已经达到了世界国家能源消费总量的40%以上[1] [2]。其中超过75%建筑能耗用于供暖和制冷,且有不断增加的趋势[3]。国内的情况更加不容乐观,我国的建筑物中,高耗能建筑约占95%以上,与同纬度、气候相近的发达国家相比,我国单位面积建筑能耗约是这些发达国家的2到3倍[4]。地处严寒地区的住宅设计以冬季保温为主,无需考虑夏季降温,但随着全球变暖,部分严寒地区夏季室内过热成了新的问题[5]。寻找新的建筑材料,使围挡结构具有低导热系数和良好的保温性成了解决室内过热问题的新途径。

解决夏季室内过热有两种方式。一种方式使用泡沫混凝土作为建筑围挡结构能提高墙体保温性。李天等[6]研究指出泡沫混凝土砌块具有良好的保温隔热性能,同时兼具轻质、隔声效果,常被用于建筑物的外墙保温层。另一种方式是向墙体中加入相变材料,使墙体具有一定的蓄热功能。目前已有学者将各种相变材料应用于建筑墙体。张兵[7]指出相变材料应用于地板可以调节室温,减少室内温度波动。相变蓄热墙体可以结合太阳能通风达到建筑物调湿调温的目的。Zhang [8]等将相变材料宏观封装置于墙体中,构建了一种相变墙体,降低了墙壁的峰值热通量,减少了建筑制冷能耗。Kishore [9]通过对美国多个城市的相变墙体进行数值研究,确定了相变材料在墙体中的最佳位置,证明适当的应用相变材料可以减少夏季的制冷能耗。孟琪[10]将相变材料石蜡应用于水泥砂浆,使墙体导热系数降低,增强了墙体保温隔热性能。

相变材料种类多样,其中不同碳原子数的石蜡应用最为广泛。石蜡作为相变材料被广泛应用于建筑墙体,然而作为一种固液相变材料,直接掺入泡沫混凝土中存在泄露问题。对此已有学者提出了多种封装方式,主要分为微胶囊技术和定型技术。微胶囊技术是指将相变材料作为芯材,用密胺树脂、聚甲基丙烯酸甲酯等作为外壁,将相变材料封存,形成直径在1 μm到1000 μm的球型胶囊。Zou [8]等用界面聚合法制成直径2.5 μm的聚脲包覆石蜡微胶囊,Yu [11]将正十八烷/密胺树脂的微胶囊相变材料掺入砂浆,能够较好的封装石蜡。定型技术是一种宏观尺寸上的封装技术,将相变材料和定型材料用直混压制成型法或熔渗法制成复合材料,定型材料形成大量网状细孔状构造,利用毛细作用防止液态的相变材料渗出。闫全英[12]等用熔融再冷却的方法制备了石蜡和高密度聚乙烯组成的相变材料,得出具有一定承载石蜡能力的复合材料,石蜡在定型材料中渗出的临界值为85%。

以上学者多注重于相变材料本身的蓄热能力和封装技术的研究,对于将相变材料直接掺入泡沫混凝土的试验比较少。本文选用石蜡(正十八烷),通过微胶囊封装技术和定型技术两种不同的封装技术,将石蜡直接掺入泡沫混凝土,制成相变泡沫混凝土。测试、分析泡沫混凝土的力学性能;观察泡沫混凝土的微观构造;通过实验评价并比较其保温性能和蓄热能力。

2. 试验概况

2.1. 试验材料

本实验所用的材料包括:P∙O 42.5级普通硅酸盐水泥、水、粉煤灰、发泡剂(十二烷基硫酸钠,产自天津市华盛化学试剂有限公司)、稳泡剂(改性硅树脂聚醚微乳液,产自山东优索化工科技有限公司)。相变微胶囊(Microencapsulated Phase Change materials简称MPCM),是密胺树脂包裹正十八烷制成,产自上海昕亚新材料科技有限公司。石蜡(paraffin)-石墨(graphite)定型相变材料(P-G),是用多孔石墨吸附石蜡制成,产自广州中佳新材料科技有限公司。相变微胶囊(MPCM)和石蜡–石墨定型材料(P-G),形态见图1,具体参数见表1~2

Figure 1. MPCM (left) and P-G (right)

1. MPCM (左)与P-G (右)

Table 1. Some parameters of (MPCM)

1. 石蜡相变微胶囊(MPCM)部分参数

壳材

芯材(相变材料)

相变温度/℃

潜热/J

粒径/μm

密胺树脂

正十八烷

28

170

2~5

Table 2. Some parameters of (P-G)

2. 石墨–石蜡复合相变材料(P-G)部分参数

定型材料

相变材料

相变温度/℃

潜热/J

石墨

正十八烷

28

150

2.2. 实验设备

本实验所用的实验设备包括:水泥净浆搅拌机、万能试验机、标准恒温恒湿养护箱,控温箱、激光导热仪(德国耐驰LFA467激光导热仪)、电子显微镜(日立Regulus8100)等。

2.3. 相变泡沫混凝土的制备

(1) 相变微胶囊泡沫混凝土制备:按照发泡剂1.5 g/L,稳泡剂0.4 g/L,50℃的水配置发泡液,利用发泡枪连接气泵打出泡沫。按照表3称取水泥和MPCM,加入水泥净浆搅拌机,搅拌2 min。加水后搅拌3 min,然后加入泡沫搅拌3 min完成后浇入模具,在标准养护环境下养护48 h后拆模放入养护箱中,待养护7 d后取出进行抗压强度测试,试件见图2。按上述步骤配制泡沫混凝土,浇筑300 mm * 300 mm * 30 mm的标准试件,待测试导热系数。试件见图3

(2) 石墨–石蜡定型材料相变混凝土制备:按照表4称取材料,其余步骤同(1)。

(3) 制备封闭模型,模型尺寸及制作方法见下文。

Table 3. MPCM foam concrete mix ratio

3. MPCM泡沫混凝土配合比

组别

水胶比

水泥/(kg/m3)

水/(kg/m3)

泡沫/(m3)

MPCM/(kg/m3)

0% MPCM

0.5

600

300

1.2

0

3% MPCM

0.5

600

309

1.2

18

6% MPCM

0.5

600

318

1.2

36

9% MPCM

0.5

600

327

1.2

54

12% MPCM

0.5

600

336

1.2

72

Figure 2. Tests the compressive strength

2. 测试抗压强度试件

Figure 3. Test the thermal conductivity spe

3. 测试导热系数试件

Table 4. P-G foam concrete mix ratio

4. P-G泡沫混凝土配合比

组别

水胶比

水泥/(kg/m3)

水/(kg/m3)

泡沫/(m3)

P-G/(kg/m3)

粉煤灰/(kg/m3)

0% P-G

0.5

600

300

1.2

0

60

3% P-G

0.5

600

309

1.2

18

60

6% P-G

0.5

600

318

1.2

36

60

续表

9% P-G

0.5

600

327

1.2

54

60

12% P-G

0.5

600

336

1.2

72

60

2.4. 性能测试

按照规范JG/T 266-2011《泡沫混凝土》对试样进行抗压强度测定,试样尺寸为100 mm × 100 mm × 100 mm,给定加载速率为2 mm/min。测量相变微胶囊泡沫混凝土的导热系数,由即墨区亿谱检测技术服务部测定。拍摄相变材料和泡沫混凝土的电镜照片,进行微观分析。浇筑“封闭模型”,其内置温度传感器,通过控温箱改变外部温度,收集模型内部温度数据并分析,研究相变泡沫混凝土的保温性能和蓄热特性。

3. 试验结果与分析

3.1. 微观分析

相变微胶囊材料(MPCM)宏观外形是白色粉末,其基本单元是球状,粒径2~5 μm。它的存在形式往往是许多个基本微胶囊聚集在一起形成一个更大的球形,直径5~80 μm,见图4。其凝聚力较强,混凝土制备过程中的搅拌往往不能将其分散开,使得在泡沫混凝土中也是以这种聚集态存在,见图5,中间为破碎的聚集态微胶囊,从中可以看到微胶囊的基本单元。

Figure 4. Aggregate state of phase-change

4. 相变微胶囊聚集态

Figure 5. Broken aggregated phase change microcapsules

5. 破碎的聚集态相变微胶囊

P-G相变材料宏观外形是黑色粉末,其基本单元形状并不规则,差异性大,整体呈现片状,不同放大倍数电子显微镜下的P-G材料形态,见图6图7

Figure 6. Graphite-paraffin stereotyped

6. 石墨–石蜡定型材料

Figure 7. Graphite-paraffin stereotyped

7. 石墨–石蜡定型材料

取掺加了不同相变材料的泡沫混凝土切面拍摄电镜照片,分析泡沫混凝土中泡沫气孔的形状、大小和分布情况,以及泡沫壁的厚度。

对于MPCM组,随着相变材料的掺加,泡沫混凝土围观构造存在一定变化规律。随着掺量增加,气孔尺寸逐渐变大,数量减少,大小气孔尺寸悬殊减小,气孔壁变厚。当不掺加或者掺量为3%时,气孔尺寸小,分布密集且不均匀,气孔尺寸悬殊大。当掺量为6%时,直径小的气孔占比减少,气孔壁变厚,气孔的分布更加均匀。当掺量为9%,12%时小直径气泡几乎消失,气孔壁变得更厚,且气孔的形状不再是规则的球状,已经开始丧失气孔状微观构造。MPCM相变材料掺量为0%、6%、9%、12%的泡沫混凝土微观电镜照片,见图8

对于P-G组,随着P-G材料的掺加,不同掺量的泡沫混凝土所表现出的微观构造变化规律与MPCM组类似。随着P-G掺量的增加,大直径气泡占比减少,气孔逐渐不再紧密相连,气孔壁的厚度增大,但变化幅度不大。相对于MPCM组来说,不论P-G材料的掺量多少,气孔的尺寸大小和分布都比较均匀,尺寸小的气孔并不会明显减少。不同P-G材料掺量的泡沫混凝土微观构造见图9,依次为P-G材料掺量为0%、3%、6%、9%、12%的电镜照片。

Figure 8. Pore distribution of foam concrete with different MPCM contents

8. 不同MPCM掺量泡沫混凝土气孔分布情况

Figure 9. Distribution of pores in foam concrete with different P-G material contents

9. 不同P-G材料掺量泡沫混凝土气孔分布情况

P-G组气孔变化规律可能与粉煤灰的掺加有关,陈立延等[13]研究发现泡沫混凝土掺加粉煤灰有效调整了浆体的和易流动性,因此孔隙的平均孔径变小。粉煤灰的基本单元形状是球状,起到了润滑的作用,保护了气泡。增强了净浆的和易性,减缓了泡沫上升导致的泡沫与净浆离析,使泡沫分布均匀,浇筑时明显改善了塌模现象。

3.2. 抗压强度试验结果及分析

对不同相变材料的不同掺量的泡沫混凝土进行抗压强度测试,抗压强度和比强度与两种相变材料掺量的关系见图10~11。祝捷[14]等研究指出泡沫混凝土抗压强度随着孔隙率的增大而降低。本文中两种相变材料就是通过改变泡沫混凝土孔隙大小和分布,进而影响强度。

Figure 10. Relationship between compressive strength and the amount of phase change material

10. 抗压强度与相变材料掺量的关系

Figure 11. Relationship between specific strength and PCM content

11. 比强度与相变材料掺量的关系

对于MPCM组而言,MPCM的掺加有利于增强抗压强度,但是并无一定的规律性。由于泡沫混凝土配置密度难以控制,引入比强度的概念来减少密度对强度的影响。比强度是指单位体积质量的材料强度,即试件抗压强度与密度的比值,是衡量材料是否轻质、高强的指标。比强度与相变材料的掺量关系,见图11。随着掺量的增加,泡沫混凝土比强度先增加后降低,在掺量为6%时,比强度最大。在MPCM为6%时,比强度最大,此时泡沫混凝土轻质高强的特性最明显。比不掺加MPCM的泡沫混凝土强度提高了144.4%,比强度提高了139.7%。从实验结果可知,适量的掺加MPCM有利于增加强度。

影响相变泡沫混凝土强度和比强度的因素有两个:一方面是气孔的分布均匀程度和气孔壁厚度;另一方面是MPCM材料本身力学性能对泡沫混凝土的影响。

气孔壁厚度和气孔分布情况影响泡沫混凝土的抗压强度。气孔分布越均匀,气孔壁越厚,泡沫混凝土的抗压强度越高。MPCM材料表面光滑,与水泥拌合具有提高和易性的作用,水泥净浆在与泡沫一起搅拌时,MPCM不参与水化,依然保持其球形形状,起到“滚珠”的作用,使泡沫混凝土浆中的泡沫分布均匀。从微观分析结果来看,掺加MPCM材料能使气孔壁变厚,小尺寸气泡占比降低。所以从这个方面来说,MPCM掺量越大,泡沫混凝土的强度和比强度就越大。

MPCM材料本身的力学性能影响泡沫混凝土的抗压强度。MPCM总是以“聚集态”的形式存在,结构松散,粘结力小。随着MPCM材料掺量增加过量的MPCM会导致水化凝结硬化的水泥石中,泡沫壁中有过多的MPCM,受压时“聚集态”球体会发生破裂,释放出大量微胶囊,泡沫壁更易破碎,从而抗压强度下降。从这个方面来说,MPCM的掺量越大,泡沫混凝土的强度和比强度越小。

两个因素对泡沫混凝土的强度影响是相反的。所以泡沫混凝土的抗压强度在这两个因素的影响下,与MPCM的掺量关系不是单调递增或递减的结果,而是存在最佳掺量,能够平衡两个影响因素。使泡沫壁足够厚,泡沫足够均匀,具有一定的强度,而又使气孔壁中的“聚集态”微胶囊不是太多,不能对气孔壁的强度有较大影响。由实验数据可知,MPCM材料的最佳掺量在6%左右。

对于P-G组而言,随着P-G掺量的增加,强度和比强度都随之增加。本实验P-G组采用外加法加入额外的10%的粉煤灰和不同比例的P-G材料,由图10可知,在只掺加粉煤灰,不加相变材料时,强度小于不掺加粉煤灰的纯水泥浆组,可见只添加粉煤灰会降低泡沫混凝土的强度。

P-G组泡沫混凝土的强度与相变材料掺量的关系变化趋势与MPCM组不同,是随着P-G材料的掺加,强度和比强度都单调递增。其强度影响因素也是从两个方面分析。一方面是P-G材料自身有一定的强度,P-G的掺加使气孔壁更加坚固,泡沫混凝土强度增大;另一方面是随着P-G材料的掺加,泡沫的分布更加均匀,大气泡减少,气孔壁有略微的变厚,使泡沫混凝土强度变大。

由以上对两组实验数据的分析,可以看出两种相变混凝土的力学性能不同。MPCM组在掺量6%左右取得最大强度,P-G组随着掺量增大强度增大。相变材料的掺量大于6%时P-G组的抗压强度要高于MPCM组。

3.3. 导热系数分析

导热系数是评价材料保温性能的重要指标。保温材料通常是要求其导热系数低于0.12 W/(m*K),高效保温材料的导热系数则要求低0.05 W/(m*K) [15]

本实验对五组掺有不同量MPCM和P-G的泡沫混凝土测量了其导热系数,详情见表5~6图12

Table 5. Thermal conductivity of foam concrete with different MPCM dosages

5. 不同MPCM掺量泡沫混凝土的导热系数

MPCM产量(%)

导热系数(W/m*k)

0

0.3588

3

0.1608

6

0.0689

9

0.0599

12

0.1402

Table 6. Thermal conductivity of foam concrete with different P-G contents

6. 不同P-G掺量泡沫混凝土的导热系数

P-G掺量(%)

导热系数(W/m*k)

0

0.3512

3

0.2077

6

0.2166

9

0.2722

12

0.3691

Figure 12. Thermal conductivity as a function of the amount of phase change material

12. 导热系数与相变材料掺量的关系

相变泡沫混凝土的导热系数随着MPCM的掺量增加先降低后增大,拟合曲线呈现明显的二次函数特征。拟合函数为式(1)

Y=0.0051 x 2 0.0788x+0.3567, R 2 =0.9993 (1)

按照该函数计算,在掺量为7.73%时取得最小导热系数为0.0523 W/m*K。当MPCM掺量的4.082%~11.368%之间导热系数小于0.12 W/(m*K),具有良好的保温性能。

P-G组呈现类似的规律,随着掺量的增大导热系数先降低后升高,拟合函数为式(2)

Y=0.004 x 2 0.0469x+0.3387, R 2 =0.9381 (2)

按照该函数计算,在掺量为4.60%时,导热系数取得最小值为0.2118 W/m*K。

两组实验的导热系数与相变材料的掺量规律类似,都表现为二次函数的变化规律。在函数下降段,因为相变材料的导热系数较小,水泥导热系数大,随着相变材料掺量的增加导热系数会减小。由前文的微观分析,随着相变材料的掺加两组泡沫混凝土的气孔尺寸与分布都趋于均匀,气孔不再集中分布,气孔壁变厚。水泥之间的连接更多,热流通过水泥传递变多,气泡隔热的作用变小,进而导热系数增大,所以函数的后半段是上升的。

从两组实验数据的拟合曲线可以看出,P-G组的导热系数整体高于MPCM组,因此MPCM是相对更加高效的阻断热流的外加剂。但是P-G材料的最佳掺量小于MPCM组,可以节省相变材料。

3.4. 相变泡沫混凝土保温可行性试验及分析

Figure 13. Phase-change foam concrete closure model

13. 相变泡沫混凝土封闭模型

Figure 14. Temperature control chamber

14. 控温箱

任海洋等[16]制作“房屋”模型进行实验,得到结论:相变材料混凝土墙壁一天之中温度差异较普通混凝土墙壁更小,可以更好的维持室内温度稳定。Chen等[17]指出相变墙体改善了屋内热环境,降低了室内最大温度和平均气温,而且推迟了最大温度到来的时间。本文制备了封闭模型,相变材料以直接掺入的方法应用于泡沫混凝土,对模型蓄热能力测试与评价,对相变材料应用于泡沫混凝土的可行性进行分析。

浇筑封闭模型,见图13,模型中心放置温度传感器与外界计算机相连。两种相变泡沫混凝土分别浇筑5个模型,相变材料掺量分别为0%、3%、6%、9%、12%。将模型置于控温箱中,设置控温箱温度为50℃,等到温度传感器采集到的模型内的温度,不再变化后,将控温箱温度调为10摄氏度,模型内温度趋于10℃时,实验结束。控温箱见图14。数据采集仪每30s采集一次温度信息,实验时长450分钟,分别将5个模型内的温度变化信息绘制成图像。

3.4.1. 掺加MPCM组

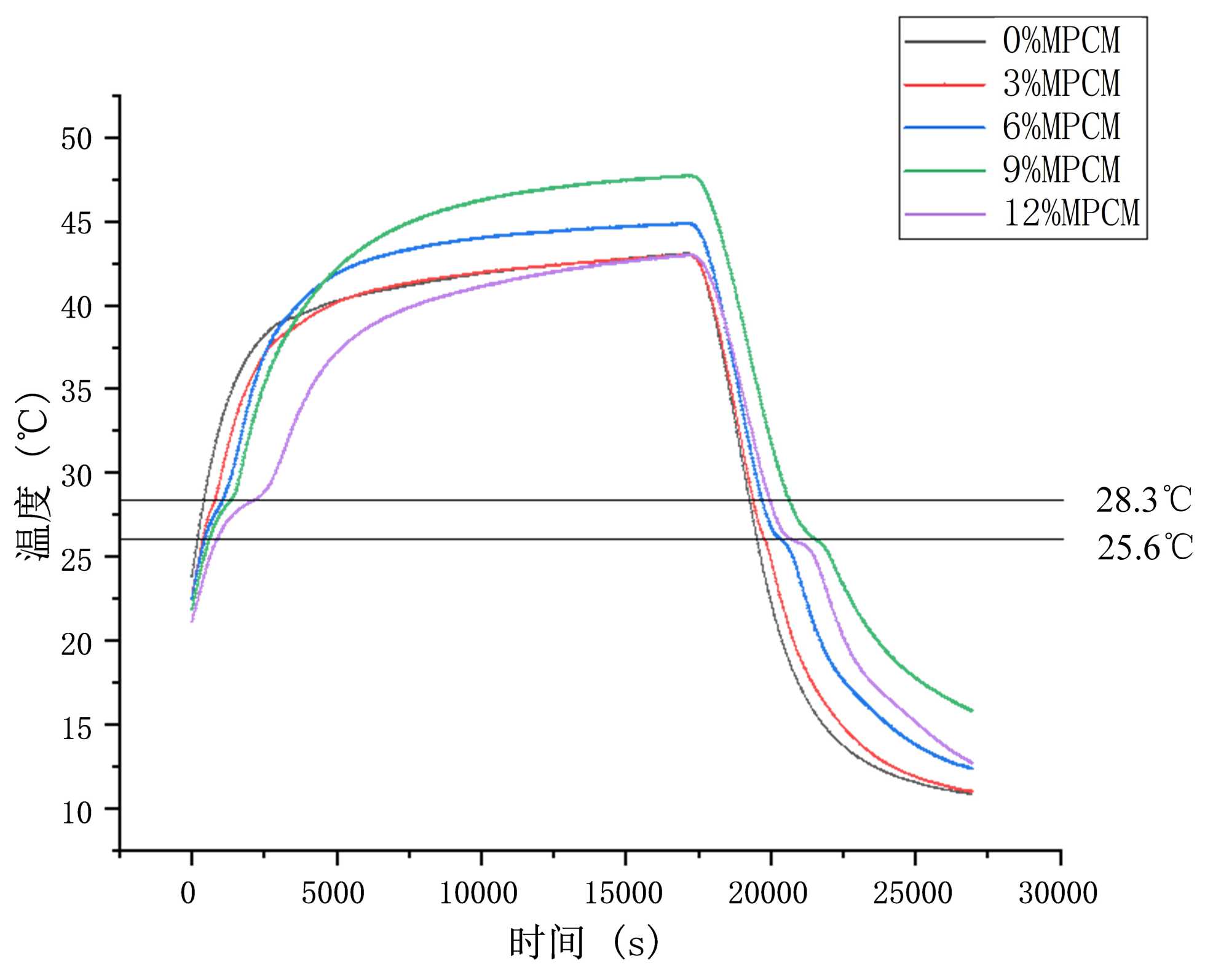
MPCM掺量不同的模型内部温度变化曲线,见图15。从图中可以看出,不掺加相变材料的模型温度变化曲线是一条平滑的曲线,而无论是控温箱升温还是降温阶段,掺加MPCM的模型对应的温度变化曲线,在25℃~30℃之间都有一定的温度变化“台阶”。在28℃左右模型内部温度上升或下降一定的温度用时比其他温度段更长,即外部环境对模型内部进行热传递,而模型内部温度变化很慢或者基本不变。

掺加相变材料的模型在接受外环境热辐射时,会将一部分热量储存,延缓温度升高,在温度下降时则会释放热量来维持温度,即拥有了蓄热特性。温度变化曲线在28℃左右斜率明显地发生突变,将两次突变之间的部分定义为“温度变化台阶”。对28℃左右的升温段和降温段的温度变化曲线进行分析,见图16~17。在温度变化台阶两侧温度变化曲线接近直线,做出直线辅助线将直线辅助线偏离温度曲线的点定义为“温度变化台阶”的开始点和结束点,两点之间的区域即“温度变化台阶”。因为是同种相变材料,相变温度区间相同各组温度台阶的长短可能不同,但是开始点与结束点的纵坐标近似相同,故可以确定了“温度变化台阶”的区域和相变的温度变化区间。如图16~17所示,MPCM组的升温相变区间为26.6℃~28.9℃,降温相变区间为27.1℃~24.9℃。用完成相变区间温度变化所需的时间来量化评价蓄热能力,详情见表7。从中可以看出随着相变材料掺量增加,在26.6℃~28.9℃上升相同温度或从27.1℃降到24.9℃,所需的时间越长,温度曲线“台阶”越长,模型蓄热能力越强。

Figure 15. Temperature curves inside the model with different MPCM dosages

15. 不同MPCM掺量的模型内部的温度变化曲线

Figure 16. Temperature curve at the “step” of the heating section inside the model

16. 模型内部升温段“台阶”处温度变化曲线

Figure 17. Temperature curve at the “step” of the internal cooling section of the model

17. 模型内部降温段“台阶”处温度变化曲线

Table 7. The time taken by the foamed concrete with different MPCM dosages to heat up and cool down the “step”

7. 不同MPCM掺量的泡沫混凝土在升温降温“台阶”所用时间

MPCM掺量/%

26.6℃~28.9℃所需时间/s

27.1℃~24.9℃所需时间/s

0

180

240

3

420

390

6

630

810

9

780

1050

12

1440

1260

综上分析,可知随着MPCM材料的掺加,泡沫混凝土的蓄热能力逐渐增强。从图中我们可以看出完成温度变化台阶的长短与各个曲线原本的斜率有关,斜率受模型导热系数的影响,并不只取决于相变材料的掺量。最终表现出的规律是相变材料掺量越多,蓄热能力越强。得出这种规律的原因是相变材料对模型的影响远大于模型其自身导热系数的影响。

3.4.2. 掺加P-G组

Figure 18. Temperature curve at the “step” of the internal heating section of the model

18. 模型内部升温段“台阶”处温度变化曲线

Figure 19. Temperature curve at the “step” of the heating section inside the model

19. 模型内部升温段“台阶”处温度变化曲线

掺加不同量P-G材料的模型内部温度变化曲线,见图18。与MPCM组变化规律相似,升温和降温阶段存在“温度变化台阶”。用上述做辅助线的方法确定温度变化区间的方法对升温和降温的“温度变化台阶”进行分析。得到升温相变区间为26.5℃~30℃,降温相变区间为29.4℃~26.8℃,见图19~20。用完成相变区间温度变化所需的时间来量化评价蓄热能力,详情见表8。由表8可知,当P-G材料的掺量超过6%时蓄热能力有显著提升,并没有其他明显的规律。

Figure 20. Temperature curve at the “step” of the cooling section inside the model

20. 模型内部降温段“台阶”处温度变化曲线

Table 8. The time taken by the foamed concrete with different P-G dosages to heat up and cool down the “step”

8. 不同P-G掺量的泡沫混凝土在升温和降温“台阶”所用时间

P-G掺量/%

26.5℃~30℃所需时间/s

29.4℃~26.8℃所需时间/s

0

330

270

3

870

480

6

1890

930

9

1350

840

12

1320

1020

4. 结论

用相变微胶囊(MPCM)和石蜡–石墨定型材料(P-G)与泡沫混凝土结合制备相变泡沫混凝土,对其微观电镜、抗压强度、导热系数等进行测试,并搭建模型进行可行性实验,得到以下结论。

(1) 掺加相变材料能改变泡沫混凝土的微观构造。MPCM的掺加,使泡沫混凝土的气孔尺寸差异减小,分布更均匀,气孔壁厚度增加。掺加P-G,对其微观构造改善效果不显著。

(2) 相变微胶囊能提供一定的强度,泡沫混凝土的比强度随着MPCM的掺量增加,先增大后减小。P-G泡沫混凝土强度,随着P-G材料的掺加强度增大。

(3) 相变泡沫混凝土的导热系数随着相变材料的加入先减小后增大,呈二次函数变化趋势。MPCM泡沫混凝土导热系数整体上小于P-G泡沫混凝土。

(4) 两种相变材料的加入,使泡沫混凝土有了蓄热能力。MPCM泡沫混凝土的蓄热能力随着MPCM的掺量增加而增强。P-G泡沫混凝土的蓄热能力与掺量的关系规律不明显。

两种泡沫混凝土都有作为围挡结构,解决夏季室内过热问题的潜力,MPCM混凝土优于P-G混凝土。

基金项目

黑龙江省大学生创新训练计划支持项目(202310225637)。

NOTES

*第一作者。

#通讯作者。

参考文献

[1] Akeiber, H., Nejat, P., Majid, M.Z.A., Wahid, M.A., Jomehzadeh, F., Zeynali Famileh, I., et al. (2016) A Review on Phase Change Material (PCM) for Sustainable Passive Cooling in Building Envelopes. Renewable and Sustainable Energy Reviews, 60, 1470-1497.
https://doi.org/10.1016/j.rser.2016.03.036
[2] Vanaga, R., Blumberga, A., Freimanis, R., Mols, T. and Blumberga, D. (2018) Solar Facade Module for Nearly Zero Energy Building. Energy, 157, 1025-1034.
https://doi.org/10.1016/j.energy.2018.04.167
[3] Barzin, R., Chen, J.J.J., Young, B.R. and Farid, M.M. (2015) Application of PCM Energy Storage in Combination with Night Ventilation for Space Cooling. Applied Energy, 158, 412-421.
https://doi.org/10.1016/j.apenergy.2015.08.088
[4] Ding, L. and Ye, H. (2011) Comparative Analysis of the Effects of PCMs and Insulation Materials on Energy Saving in Buildings Located in Five Typical Cities. Acta Energiae Solaris Sinica, 32, 508-516.
[5] 邵郁, 宋文洁, 薛静, 等. 哈尔滨地区住宅建筑夏季过热现象探讨及设计策略研究[J]. 建筑学报, 2021(S2): 80-85.
[6] 李天, 王智, 周涛涛. 泡沫混凝土的研究应用现状[J]. 混凝土, 2019(1): 26-29.
[7] 张兵, 武卫东, 常海洲. 相变蓄热材料在节能建筑领域的应用与研究进展[J]. 化工新型材料, 2019, 47(9): 54-57.
[8] Zou, G.L., Lan, X.Z., Tan, Z.C., et al. (2004) Microencapsulation of N-Hexadecane as a Phase Change Material in Polyurea. Acta Physico-Chimica Sinica, 20, 90-93.
https://doi.org/10.3866/pku.whxb20040119
[9] Kishore, R.A., Bianchi, M.V.A., Booten, C., Vidal, J. and Jackson, R. (2020) Optimizing PCM-Integrated Walls for Potential Energy Savings in U.S. Buildings. Energy and Buildings, 226, Article ID: 110355.
https://doi.org/10.1016/j.enbuild.2020.110355
[10] 孟琦. 相变墙体相变层传热特性研究[D]: [硕士学位论文]. 呼和浩特: 内蒙古工业大学, 2021.
[11] Yu, W., Meng, Q. and Tong, H. (2023) Effect of Microencapsulated Phase Change Material on Thermal and Mechanical Properties of Mortar. Journal of Building Materials, 26, 215-220.
[12] 闫全英, 王威. 低温定形相变材料在相变墙体中应用的可行性研究[J]. 新型建筑材料, 2005(2): 58-59.
[13] 陈立延, 杨安, 洪芬, 等. 不同粉煤灰掺量对泡沫混凝土性能及其孔径的影响[J]. 混凝土, 2021(8): 137-140.
[14] 祝捷, 谢永祥. 泡沫混凝土强度及应变研究[J]. 混凝土, 2010(9): 124-126.
[15] Wang, Y., Zhao, J. and Su, W. (2023) Study on Preparation and Thermal Conductivity of Foam Concrete Inorganic Thermal Insulation Materials. Journal of Functional Materials, 54, Article ID: 05101.
[16] 任海洋, 刘素芳, 刘洋. 复合相变材料建筑墙体保温性能试验及研究[J]. 建筑技术, 2016, 47(11): 983-986.
[17] Chen, P., Jiang, D., Xu, Y., et al. (2023) Research Progress of Phase Change Material Selection and Energy Saving of Energy Storage Wall. New Chemical Materials, 51, 207-212.