UHPC-钢桁腹组合梁挠度及变形性能研究
Study on Deflection and Deformation Performance of UHPC-Steel Truss Web Composite Beams
摘要: 本文针对超高性能混凝土(UHPC)与钢桁腹组合梁的受力性能展开研究。基于经典梁理论,建立了考虑弯曲变形与剪切变形耦合作用的挠度计算模型,并对钢桁腹杆进行等效换算处理,将离散腹杆转化为连续钢腹板以便于剪切变形的分析,用于进行UHPC-钢桁腹组合梁在集中荷载作用下挠度的计算。通过有限元分析以及静力试验,我们对UHPC-钢桁腹组合梁在荷载影响下的挠度分布、应变特性和破坏模式进行了全面和系统的研究。试验结果表明,理论计算值与有限元及试验结果较为吻合,其中理论模型略显保守,有助于在工程设计中提供额外安全度。同时,对比分析揭示了不同部位(跨中与支座附近)弯曲与剪切变形对挠度贡献的区域性差异,为结构优化设计提供了理论依据。
Abstract: This paper investigates the mechanical performance of composite beams made of ultra-high performance concrete (UHPC) and steel truss webs. Based on classical beam theory, a deflection calculation model considering the coupled effects of bending and shear deformations is established. The steel truss web members were equivalently converted into a continuous steel web plate to facilitate the analysis of shear deformation. This model is used to calculate the deflection of UHPC-steel truss web composite beams under concentrated loading. Through finite element analysis and static tests, we conducted a comprehensive and systematic study on the deflection distribution, strain characteristics, and failure modes of UHPC-steel truss web composite beams under load. The test results show that the theoretical calculation values are in good agreement with the finite element and experimental results, with the theoretical model being slightly conservative, which helps provide an additional safety margin in engineering design. Moreover, comparative analysis revealed regional differences in the contributions of bending and shear deformation to deflection at different locations (midspan and near supports), providing a theoretical basis for structural optimization design.
文章引用:覃德明, 邹中权. UHPC-钢桁腹组合梁挠度及变形性能研究[J]. 土木工程, 2025, 14(5): 1011-1019. https://doi.org/10.12677/hjce.2025.145109

1. 引言

通过在钢和混凝土之间安装稳固的连接部件,钢–混凝土的组合结构确保了这两种材料能够共同承受压力,从而最大化地利用了钢材的抗拉能力和混凝土的抗压性能[1]。近年来,这种组合结构在桥梁工程中得到广泛应用,出现了多种新型形式,如钢梁–混凝土板组合梁、混凝土填充钢管拱桥等[2]。其中,钢桁腹组合梁由于采用由型钢或钢管组成的桁架腹杆代替传统厚重的实腹板,显著降低了结构自重、提高了结构开孔率,被视为极具发展潜力的一种钢–混凝土组合结构形式[2]

超高性能混凝土(UHPC)作为新一代水泥基材料,具有超高强度、良好延性和卓越耐久性,在桥梁领域展现出广阔的应用前景[3]-[5]。将UHPC材料应用于钢桁腹组合梁中,可进一步优化结构性能:UHPC板可以作为组合梁的桥面板或翼缘,提供更高的承载力和耐久性,并且由于UHPC的高强特性可减薄板厚、降低自重[6]。UHPC与钢桁腹的结合孕育出一种全新的桥梁结构形式——UHPC-钢桁腹组合梁。

国内外学者针对钢桁腹混凝土组合梁的受力性能进行了相关的试验和理论分析。刘玉擎把钢桁腹混凝土组合梁分类为组合结构桥梁,并对这种创新结构的特点进行了深入的阐述[7]。陈维针对钢桁腹混凝土组合梁的多个模型进行了深入研究,并对其分析手法进行了进一步的完善[8]。张岩在研究钢桁腹杆的纵向弹性模量时,观察到这部分构件的弯曲刚度相当低,因此在受弯时,可以近似认为其贡献可以忽略,组合梁的抗弯能力主要依赖于混凝土顶板和底板[9]。黄华琪为实现组合梁结构分析中截面统一化,提出了“组合截面等效抗弯惯性矩”的概念,并推导出相应的计算公式,以便于对整体结构进行弯曲性能评估[10]。王彤在探讨桁腹式组合桁梁的计算方法时,根据剪切变形相等的原则,将原先不连续的钢桁腹杆转化为连续的钢腹板,并进一步采用薄壁箱梁理论来分析这类结构[11]。张元海用剪力滞效应分析箱梁挠度,并给出考虑剪力滞效应时薄壁箱梁挠度计算公式[12]。韩国的研究人员对波折钢腹板混凝土组合梁桥和钢桁腹混凝土组合梁桥的缩尺模型进行了静态载荷测试,并进行了详细的比较分析[13]。N. Tullini介绍了半预制混合钢桁架混凝土梁(HSTCB)技术,主要用于分析混凝土与嵌入式钢构件(包括钢板和桁架)之间的失效模式及应力传递机制[14]

至今为止,钢桁腹组合结构的发展中,UHPC-钢桁腹组合梁的受力性能研究仍然是一个探索性的过程。但是现有的研究并未讨论UHPC-钢桁腹组合梁挠度及变形性能,为了让UHPC和钢材能够充分利用各自的优势,实现相互补充,本研究结合试验和有限元方法,对UHPC-钢桁腹组合梁的受力特性进行了深度探讨,重点开展UHPC-钢桁腹组合梁在集中荷载作用下的弯曲和剪切作用下挠度的计算方法。

2. UHPC-钢桁腹组合梁挠度计算

UHPC-钢桁腹组合梁在集中荷载作用下展现出弯剪耦合的结构响应特征。钢腹杆与UHPC顶底板通过节点刚性连接形成封闭受力框架,钢腹杆则承担剪力传递任务。为准确刻画其力学性能,需对弯曲变形与剪切变形过程进行建模和理论分析。

2.1. UHPC-钢桁腹组合梁的弯曲变形

UHPC-钢桁腹组合梁在竖向荷载作用下主要产生弯曲变形,典型受力过程可视为上下UHPC板作为受压与受拉翼缘,钢桁架提供内部连接与剪力路径。分析中基于经典梁理论,可将UHPC-钢桁腹组合梁简化为由混凝土顶板和底板构成的单一梁,其全截面共同一中性轴,从而进行变形分析。在进行计算之前,需要做出以下的基础假设[15]:

1) 对钢腹杆的弯曲变形视而不见;

2) UHPC的顶部和底部的剪切形变被排除在外;

3) 钢腹杆和UHPC顶底板都被假定为理想的弹性体,并且UHPC顶底板的整体挠曲变形是一致的。

在单梁模型中,钢腹杆被假定不会发生弯曲变形,因此在进行弯曲计算时,只需要考虑由UHPC顶板和底板组成的梁,而不需要考虑钢腹杆的影响,具体的弯曲计算模型可以参见图1

Figure 1. Bending calculation model

1. 弯曲计算模型

依据材料力学的理论,UHPC顶板上缘到整体截面形心的轴向距离被定义为:

Z= A u Z u + A d Z d A u + A d (1)

式中: A u 为UHPC顶板的面积, A d 为UHPC底板的面积,

Z u 为UHPC顶板截面的形心轴距坐标原点的距离,

Z d 为UHPC底板截面的形心轴距坐标原点的距离。

整体截面所具有的抗弯的惯性矩是:

I= I u + I d + A u ( Z Z u ) 2 + A d ( Z Z d ) 2 (2)

式中: I u 为UHPC顶板的抗弯惯性矩, I d 为UHPC底板的抗弯惯性矩。

图2所示,简支梁在任一位置受到竖向集中力F作用下,内力及位移可以通过以下方法进行计算:

Figure 2. Simply supported beam under concentrated load

2. 集中荷载作用下的简支梁

0xa 时:

M 1 ( x )= Fbx l (3)

Q 1 ( x )= Fb l (4)

axl 时:

M 2 ( x )=Fa( lx l ) (5)

Q 2 ( x )= Fa l (6)

假设钢腹杆上的剪应力为0的情况下,可以由 ω = M( x ) EI 推导出UHPC-钢桁腹组合梁的挠曲线方程:

ω 1 ={ Fbx 6EI ( l 2 x 2 b 2 ) 0xa Fb 6EI [ l b ( xa ) 3 +( l 2 b 2 )x x 3 ] a<xl (7)

2.2. UHPC-钢桁腹组合梁的剪切变形

正如图3展示的,按照剪切变形保持一致的理念,把钢腹杆转化为连续的、具有特定厚度的钢腹板。将长度为d、垂直尺寸和水平投影分别为hb的钢腹杆视为边长为hb、厚度为t的钢板。

Figure 3. Equivalent conversion calculation model for steel webs

3. 钢腹杆等效换算计算模型

当钢腹杆受到剪力Q的影响时,节点B与节点A将会进行垂直方向的位移,此时相对位移为 η 1

η 1 = Δd cosφ = Qd cosφ E w A d 1 cosφ = Q d 3 E w A d h 2 (8)

式中: Δd 为剪力作用下的伸长量, φ 为钢腹杆之间的竖向夹角,

E w 为钢腹杆的弹性模量, A d 为钢桁腹杆的截面面积。

当边长为hb的钢板受到剪力Q的影响时,节点B和节点A也会出现相对的竖向移动 η 2

η 2 =bγ= bQ G w t w h (9)

根据剪切变形相等原则得:

Q d 3 E w A d h 2 = bQ G w t w h (10)

t w = E w A d bh G w d 3 (11)

尽管钢腹板具有比混凝土更高的弹性模量,但其在剪切作用中的作用面积实际上是相当有限的。因此,必须将剪切变形纳入考虑范围。需要做出以下的假设:

1) 忽略了钢腹板在纵向方向上的抗弯刚度;

2) 只关注钢腹板的剪切变形,而忽视了UHPC的顶部和底部的剪切形变;

3) 钢腹杆与UHPC的顶部和底部都是完美的弹性结构,而UHPC的顶部和底部在挠曲变形上是一致的。

在只施加剪切力的情况下,UHPC-钢桁腹组合梁在某一截面的挠度曲线的斜率与该截面的剪切应变是一致的:

ω =k Q( x ) G w A w (12)

式中:k是剪力不均匀系数且与截面形状有一定的关系,取为1。

G w 是钢腹杆的剪切模量, A w 是等效钢腹板未埋入混凝土中的面积。

将式(4)、(6)代入式(12)中可获得集中荷载作用下UHPC-钢桁腹组合梁挠度变形计算公式:

ω 2 ={ Fbx G w A w l 0xa Fa( lx ) G w A v l a<xl (13)

2.3. UHPC钢桁腹组合梁总挠度表达式

最终,总挠度由弯曲和剪切部分组成:

ω= ω 1 + ω 2 (14)

式中: ω 1 为UHPC-钢桁腹组合梁的弯矩产生的竖向挠度;

ω 2 为剪应力产生的竖向挠度。

通过结合式(7)和式(13),UHPC-钢桁腹组合梁在集中荷载影响下的挠度方程可以被有效地表达为:

ω={ Fbx 6EIl ( l 2 x 2 b 2 )+ Fbx G w A w l 0xa Fb 6EIl [ l b ( xa ) 3 +( l 2 b 2 )x x 3 ]+ Fa G w A w l ( lx ) a<xl (15)

3. 试验对比验证

3.1. 试件尺寸及加载方式

试件全长2800  mm,支座间净跨长2520  mm,梁高415  mm (包括上下各80  mm厚的UHPC板),梁宽550  mm。组合截面由上下两块UHPC板与中间钢桁架腹杆组成。钢桁架由6个连续的“V”形腹杆单元拼接而成,相邻腹杆夹角为60˚,支座处竖直腹杆与斜腹杆的夹角为30˚。腹杆60˚倾角的选取参考了相关研究的优化建议,以兼顾受力性能和构造要求。图4图5分别给出了试验梁的立面图和横截面示意图。加载采用液压千斤顶施加竖向力,通过分配梁传递至梁体,两加载点间距约840  mm,对称位于跨中两侧。加载过程中采用分级加载,每级荷载约为设计极限荷载的1/10。

Figure 4. Elevation view of the UHPC-steel truss composite beam

4. UHPC-钢桁腹组合梁立面图

Figure 5. Cross-sectional view of the UHPC-steel truss composite beam

5. 横截面图

3.2. 材料特性

试件材料方面,腹杆采用外径45  mm的Q345B级无缝钢管。为确保钢腹杆与UHPC板的可靠连接,在每个节点处预先在钢管壁上钻孔,在绑扎钢筋骨架时将贯穿梁高的钢筋穿过孔洞,使上下UHPC板内的钢筋与钢桁腹相扣合,形成共同受力的整体。UHPC混凝土的设计强度等级为C120 (立方体抗压强度120  MPa),拌合料中掺入约2% (体积分数)的短钢纤维以提高延性和抗裂性能,现场实测立方体抗压强度为100  MPa。顶板和底板内均配置纵向钢筋和箍筋(钢筋等级HRB400,屈服强度400  MPa),其中底板所配纵筋直径相对更大(下层纵筋直径16  mm),以增强底部抗拉承载能力。

3.3. 试验现象描述

在试验过程中,UHPC-钢桁腹组合梁依次经历了明显的弹性阶段、开裂阶段和破坏阶段。初始加载阶段(弹性阶段),梁体表现为线弹性工作,挠度与荷载成线性关系,各截面应变分布近似满足平截面假定,此时组合截面中的UHPC板和钢桁腹协同受力,构件未出现裂缝。当荷载增至约40  t时,UHPC顶板和底板边缘开始出现细微裂缝,标志试件进入开裂阶段。随着荷载进一步增加,裂缝沿梁高方向逐渐向梁跨中和腹杆节点处扩展;混凝土开裂后,部分应力转移至内部钢筋和钢腹杆,中性轴下移,整体刚度开始下降,挠度增长率明显加快。当荷载接近60  t (极限荷载)时,梁底部在腹杆节点附近出现贯通的横向裂缝,此时荷载不再增加而挠度持续增大,结构进入破坏阶段。试验梁最终以弯曲破坏形式失效,表现为底部UHPC板拉裂,钢桁腹腹杆未发生明显的屈曲或断裂。

3.4. 挠度测试结果对比

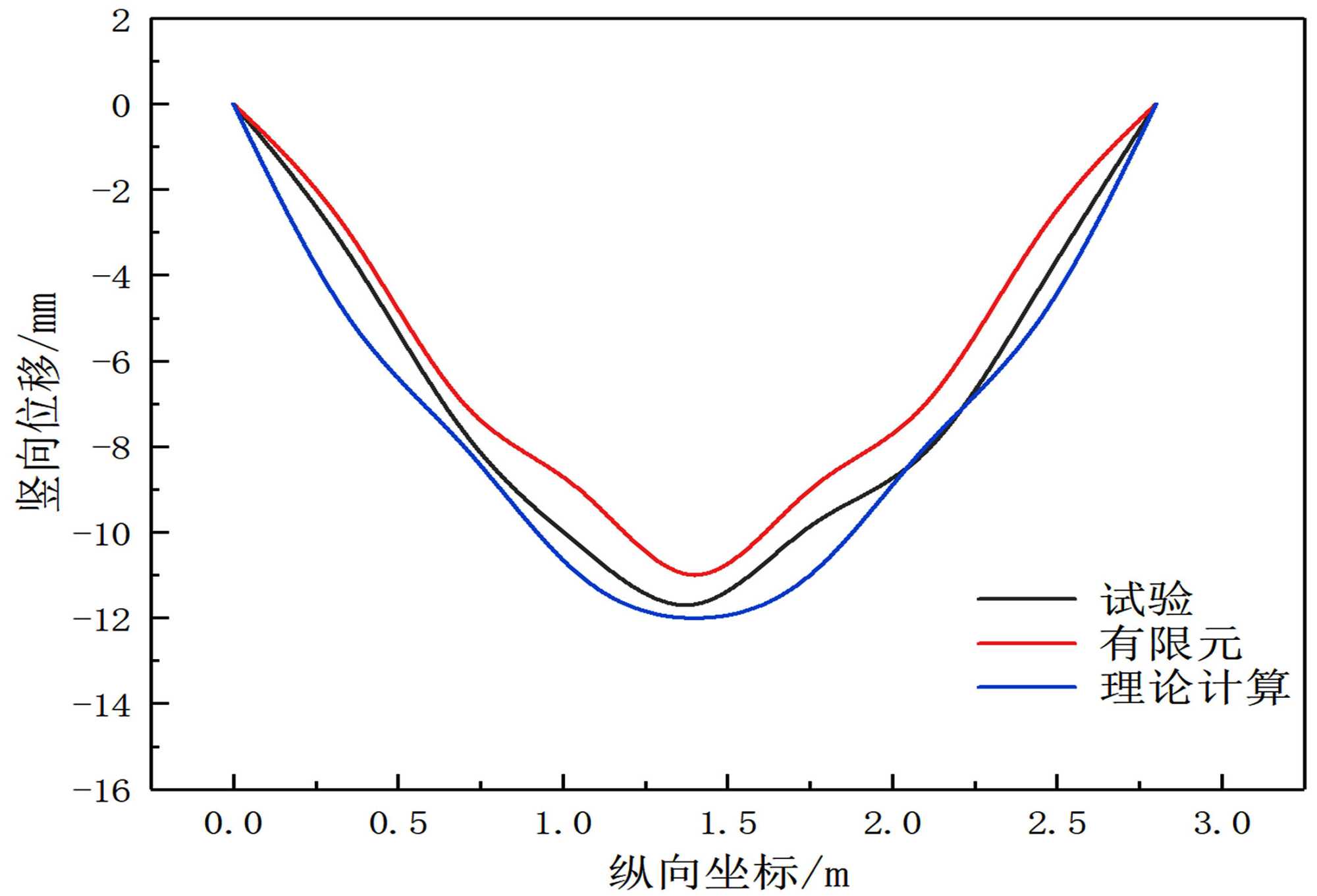
对于UHPC-钢桁腹组合试验梁,我们使用ABQUS有限元分析方法和静力试验手段对其力学性能进行研究,并对两者所得结果进行比对分析。与此同时,将有限元模拟结果与实际静力试验测得数据,与基于理论计算得出的UHPC-钢桁腹组合梁挠度理论值进行对比,以评估该方法的准确性和可靠性。

Figure 6. Distribution of vertical displacement along the longitudinal direction of the UHPC-Steel truss web composite beam

6. UHPC-钢桁腹组合梁竖向位移沿纵向分布

图6展示了UHPC-钢桁腹组合梁在荷载作用下的纵向挠度分布对比,其中包含了基于理论公式计算的挠度值、有限元分析结果以及实际试验测得的数据。由图中对比情况可见,理论公式计算得到的挠度值与有限元分析以及试验结果之间的差异并不显著,两者均展现出相似的变化趋势。不过,值得注意的是,理论计算出的挠度值略高于有限元分析与试验结果。这一现象说明本文的挠度计算公式用于实际工程时显示出稍显保守的特点,从而这样可以在工程设计中增添一层安全保障。

α 1 代表弯曲变形对UHPC-钢桁腹组合梁的挠度所做的贡献率,而 α 2 代表剪切变形对UHPC-钢桁腹组合梁挠度的贡献率:

α 1 = ω 1 ω , α 2 = ω 2 ω (16)

表1详细呈现了UHPC-钢桁腹组合梁在各个节点上的竖向位移数据,并进一步列举了弯曲变形和剪切变形对整体挠度所作出的贡献比例。

Table 1. Deflection contribution rate under load

1. 荷载下的挠度贡献率

纵向坐标/m

ω 1 /mm

ω 2 /mm

ω /mm

α 1 /(%)

α 2 /(%)

l/8

3.01

1.51

4.52

66.59

33.41

l/4

4.88

2.64

7.52

64.89

35.11

3l/8

6.51

4.00

10.51

61.94

38.06

l/2

6.48

4.91

11.39

56.89

43.11

5l/8

6.51

4.00

10.51

61.94

38.06

3l/4

4.88

2.64

7.52

64.89

35.11

7l/8

3.01

1.51

4.52

66.59

33.41

从所提供的表格数据中,我们可以明显观察到,弯曲变形对整体挠度产生的影响是最为显著的,并且这种影响的贡献率会随着节点之间的距离增加而明显上升;与此相对照,越接近跨中的距离,剪切变形带来的效应也会更为明显。更具体地说,弯曲变形对挠度的贡献通常保持在50%到60%的范围内,而剪切变形对挠度的贡献则通常在30%到40%之间。这说明,在不同部位,梁的挠度受两种变形机制的影响存在明显的分布差异,从而为进一步优化结构设计提供了依据。

4. 总结

1) 本文考虑弯曲与剪切耦合效应的挠度计算模型,经有限元分析与静力试验验证,能够较准确地反映UHPC-钢桁腹组合梁在集中荷载作用下的变形特性。

2) 分析结果表明,UHPC-钢桁腹组合梁在集中荷载作用下的弯曲变形对整体挠度的贡献较大,且其影响在靠近支座区域逐渐增强,而在跨中区域剪切变形的影响相对更为显著。

3) UHPC-钢桁腹组合梁在集中荷载作用下的理论计算得到的挠度值普遍略大于有限元及试验测定值,表明该方法在实际工程应用中具有保守性,从而为结构设计提供了必要的安全度。

参考文献

[1] 樊健生, 聂建国. 钢-混凝土组合桥梁研究及应用新进展[J]. 建筑钢结构进展, 2006, 8(5): 35-39.
[2] 聂建国, 陶慕轩, 吴丽丽, 等. 钢-混凝土组合结构桥梁研究新进展[J]. 土木工程学报, 2012, 45(6): 110-122.
[3] Henderson, I.E.J., Zhu, X.Q., Uy, B. and Mirza, O. (2015) Dynamic Behaviour of Steel-Concrete Composite Beams with Different Types of Shear Connectors. Part II: Modelling and Comparison. Engineering Structures, 103, 308-317. [Google Scholar] [CrossRef
[4] Khaloo, A.R. and Afshari, M. (2005) Flexural Behaviour of Small Steel Fibre Reinforced Concrete Slabs. Cement and Concrete Composites, 27, 141-149. [Google Scholar] [CrossRef
[5] 周茗如, 樊乐涛, 于景龙, 等. 基于平板法纤维混凝土早期抗裂性能试验研究[J]. 硅酸盐通报, 2016, 35(8): 2590-2595.
[6] 邵旭东, 邱明红, 晏班夫, 等. 超高性能混凝土在国内外桥梁工程中的研究与应用进展[J]. 材料导报, 2017, 31(23): 33-43.
[7] 刘玉擎. 组合结构桥梁[M]. 北京: 人民交通出版社, 2005.
[8] 陈维. 钢桁腹组合桥力学模型及其对比[D]: [硕士学位论文]. 武汉: 华中科技大学, 2014.
[9] 张岩, 杨霞林, 冀伟. 钢桁腹式混凝土组合箱梁的结构性能分析[J]. 水利与建筑工程学报, 2018, 16(4): 21-25.
[10] 黄华琪, 刘钊, 张建东. 桁腹混凝土梁桥的组合截面等效抗弯刚度[J]. 结构工程师, 2011, 27(4): 73-77.
[11] 王彤, 谢旭, 王渊, 等. 桁腹式组合桁梁结构计算理论[J]. 浙江大学学报: 工学版, 2014, 48(4): 711-720.
[12] 张元海, 林丽霞, 刘勇. 剪力滞效应对箱形梁挠度影响的研究[J]. 计算力学学报, 2012, 29(4): 625-630.
[13] Jung, K., Kim, J.J., Yi, J. and Lee, S. (2013) Development and Evaluation of New Connection Systems for Hybrid Truss Bridges. Journal of Advanced Concrete Technology, 11, 61-79. [Google Scholar] [CrossRef
[14] Tullini, N. and Minghini, F. (2013) Nonlinear Analysis of Composite Beams with Concrete-Encased Steel Truss. Journal of Constructional Steel Research, 91, 1-13. [Google Scholar] [CrossRef
[15] 董峰, 张建东, 李雪红, 刘朵, 徐秀丽. 钢桁腹预应力混凝土组合梁桥静动载试验研究[J]. 中外公路, 2015, 35(2): 124-129.