TAD-吲哚加合物的合成及其动态可逆性反应研究
Synthesis and Study of the Dynamic Reversible Reaction of TAD-Indole Adducts
DOI: 10.12677/aac.2025.152020, PDF, HTML, XML,   
作者: 杜雷星:浙江师范大学化学与材料科学学院,浙江 金华
关键词: TAD吲哚TAD-吲哚加合物动态可逆反应TAD Indole TAD-Indole Adducts Dynamic Reversible Reaction
摘要: 三唑啉二酮(TAD)-吲哚加合物作为一种重要的TAD等价物,其内含动态可逆的C-N键,可以条件可控地释放高活性的TAD,这一特性使其在生物标记、材料表面修饰和聚合物合成等领域展现出广阔的应用前景。
Abstract: Triazolinedione (TAD)-indole adducts, serving as an important TAD equivalent, contain dynamic and reversible C-N bonds that can conditionally release highly reactive TAD. This characteristic endows them with broad application prospects in the fields of bio-labeling, material surface modification, and polymer synthesis.
文章引用:杜雷星. TAD-吲哚加合物的合成及其动态可逆性反应研究[J]. 分析化学进展, 2025, 15(2): 199-210. https://doi.org/10.12677/aac.2025.152020

1. 引言

近年来,动态共价化学(Dynamic Covalent Chemistry, DCvC)因其在材料科学、药物发现和超分子化学中的广泛应用而备受关注[1] [2]。其核心在于通过可逆的化学反应实现分子结构的动态调整和功能的响应性变化,从而开发出可(再)加工和可回收的功能分子或材料热固性聚合物网络[3] [4]

在众多动态共价体系中,吲哚与4-取代的1,2,4-三唑啉-3,5-二酮,即三唑啉二酮(Triazolinedione, TAD)之间因其独特的反应特性和潜在的应用前景而成为研究热点[5]。值得关注的是,TAD-吲哚加合物在高温[6]或力触发[7]条件下可实现可逆的transclick反应。这种可逆性赋予TAD-吲哚体系在动态材料设计中的独特优势,例如实现材料的自修复[8]、形状记忆[9]和可回收性[10]等功能。通过精确控制反应条件,可以实现TAD-吲哚体系在不同温度下的动态行为,从而开发出具有智能响应性的材料。

2. TAD发展及其反应性概述

1894年,Thiele和Stange [11]首次报道了TAD化合物。然而,由于当时技术条件受限,TAD化合物在合成与纯化过程中面临诸多挑战,这极大限制了TAD试剂的广泛应用。直到20世纪60年代,Cookson [12]等人成功制备出纯结晶的4-苯基-TAD (库克森试剂),这一突破性成果才真正开启了TAD化学的新篇章,为后续研究奠定了重要基础[13]

三唑啉二酮其核心是一个五元杂环[14],包含两个氮原子和一个氧原子,构成了一个稳定的杂环结构,分子中的氮原子和氧原子的电子云分布使其表现出较高的电负性,从而具有较高的反应活性,特别是N=N结构具有较高的亲电性,与马来酰亚胺有相似之处[15],但反应活性更高,三唑啉二酮能参与多种反应,且在不同反应中展现出不同的特性(图1)。下面就其参与的反应进行简要介绍,主要分为环加成反应、芳香亲电取代反应以及Alder-ene反应。

2.1. 环加成反应

TAD是非常活泼的亲双烯体,当TAD与反应活性较高的双烯体发生[4 + 2]环加成反应,能在极短时间内实现定量转化,生成六元环的Diels-Alder加成产物,这一过程即便处于低温环境下,依然能够高效进行,这种反应具有高度的立体选择性和区域选择性,能够在温和条件下快速完成。此外,TAD还能与炔烃发生环加成反应,生成具有高度张力的二氮杂环丁烷环。下面简要介绍此方面的几例代表性工作。

2011年,Lehn课题组[16]报道了以蒽衍生物作为二烯,4-苯基-1,2,4–三唑啉-3,5-二酮(PTAD)作为亲双烯体,进行Diels-Alder反应(D-A反应) (图2)。反应在室温下进行,具有较高的效率和快速的反应性。通过测定不同温度下的平衡常数,计算出反应的热力学参数,表明反应是可逆的。此外,由于蒽具有强荧光,在动态加合物的形成过程中,温度的变化会导致组分中蒽浓度的改变,进而影响其荧光强度,从而可以实现荧光的热开关控制。

Figure 1. The reaction characteristics of TAD compounds

1. TAD化合物反应特性

Figure 2. The reversible D-A reaction between anthracene derivatives and TAD

2. 蒽衍生物与TAD之间可逆的D-A反应

2016年,David Sarlah课题组[17]报道了TAD与芳香烃之间的去芳构化二羟基化反应(图3)。该研究通过可见光激活含有杂原子的小分子–芳香亲电试剂,实现了TAD与多种芳香化合物的环加成反应,并进一步通过锇催化的二羟基化反应以及脲唑水解/催化氢化,将简单的芳香烃转化为高功能化的环己二烯二醇和环己烷二胺二醇。

Figure 3. The dearomatization and dihydroxylation between TAD and aromatic hydrocarbons

3. TAD与芳烃之间的去芳构化二羟基化

2021年,Singha课题组[8]研究了三唑啉二酮衍生物与带有5-甲基-2-呋喃酸酯侧链的聚甲基丙烯酸酯的D-A反应(图4),通过小分子模型反应研究,深入分析了TAD与呋喃衍生物的D-A反应机制,揭示了反应的热力学和动力学特征,实现了快速的D-A型“点击化学”修饰。并对改性后的聚合物进行了热分析测试和自修复性能测试,验证了其热可逆性和自修复能力。

Figure 4. Self-healing functional polymers based on D-A “Click Chemistry”: A rapid construction method using substituted furans and TAD derivatives

4. 基于D-A“点击化学”的自修复功能聚合物:取代呋喃和TAD衍生物的快速构筑方法

2022年,Raut课题组[18]研究了蒽作为双烯体,与双功能三唑啉二酮(bis-TAD)衍生物通过热可逆Diels-Alder反应在非烯烃弹性体中构建共价自适应网络(CANs)的反应(图5)。CANs弹性体在130℃以上发生逆DA (r-DA)反应,实现网络解交联;冷却后重新交联,证实其热可逆性。

Figure 5. Anthracene-containing covalent adaptive networks: A new type of self-healing elastomer

5. 含蒽基的共价适应性网络:一种新型自修复弹性体

2024年,Kuroda课题组[19]报道了在六氟异丙醇存在下,PTAD与炔烃之间的[3 + 2]环加成反应(图6),提供了一种简便、高效的合成介离子三唑啉酮的新方法,填补了TAD与炔烃之间的反应的空白。

Figure 6. Synthesis of neutral triazolinedione via cycloaddition reaction of PTAD with alkynes

6. PTAD与炔烃的环加成反应合成中性三唑啉酮

2.2. 芳香亲电取代反应

TAD能够作为亲电试剂与芳香化合物发生亲电芳香取代反应,从而生成1-芳基取代的脲唑化合物。此方面的代表性工作如下。

2010年,Breton课题组[20]报道了在三氟乙酸催化下4-甲基-1,2,4-三唑啉-3,5-二酮(MeTAD)与取代苯之间的反应(图7)。研究发现反应需要富电子芳香化合物,反应对芳香环上的官能团耐受性良好。该研究为合成1-芳基脲唑类化合物提供了新的方法。

Figure 7. The acid-catalyzed reaction of MeTAD with substituted benzenes

7. MeTAD与取代苯的酸催化反应

2010年,Barbas课题组[21]报道了PTAD与酪氨酸及其衍生物之间的反应(图8),发现PTAD可以与酪氨酸的酚基发生选择性反应,生成稳定的C-N键。该反应在温和的水相条件下进行,具有良好的化学选择性。这种基于PTAD的酪氨酸偶联反应可以在温和的条件下实现对蛋白质的修饰,且具有较高的选择性和稳定性。

Figure 8. Tyrosine bioconjugation: The “click”-like reaction of tyrosine

8. 酪氨酸生物偶联:酪氨酸的“点击”式反应

2013年,Barbas课题组[22]合成了多种带有不同官能团(如炔基、叠氮基和酮基)的PTAD衍生物,这些衍生物可以与酪氨酸的酚基团发生快速、高效的点击反应(图9)。证明了PTAD衍生物对酪氨酸的高选择性,即使在复杂的生物分子环境中,该反应也能特异性地标记酪氨酸残基。

Figure 9. Bioconjugation strategies with the tyrosine-click reaction

9. 酪氨酸点击反应的生物偶联策略

2021年,谭斌课题组[23]报道了取代苯酚与TAD之间的亲电芳香取代反应(图10),作者采用手性磷酸(CPA)催化的去对称化策略,高效构建了轴手性B-芳基-1,2-氮杂硼烷。首次实现了含有B-C立体中心的轴手性1,2-氮杂硼烷的催化对映选择性合成。

Figure 10. Chiral phosphoric acid-catalyzed remote control of axial chirality at the boron-carbon bond

10. 手性磷酸催化的远程控制B-C键上的轴手性

2.3. Alder-Ene反应

TAD化合物与烯烃会发生Alder-ene反应,这一反应不仅具有较高的反应速率,还呈现出良好的选择性,在有机合成及材料科学等领域具有重要意义。

2014年,Kiselev课题组[24]报道了PTAD与环己烯、1-己烯和2,3-二甲基-2-丁烯之间的Azo-Ene反应(图11)。首次测定了PTAD与环己烯、1-己烯和2,3-二甲基-2-丁烯发生Azo-Ene反应的焓变、熵变和活化体积。通过紫外吸收光谱法和停流法测定了反应速率常数,并计算了反应的活化参数。发现反应的活化熵和活化体积的负值较大,表明反应的过渡态具有高度有序的环状结构。通过计算反应焓变和体积变化,发现这些反应在标准条件下是不可逆的。

2022年,Kuroda课题组[25]报道了PTAD与烯烃之间的Azo-Ene反应(图12),发现传统TAD与烯烃的Azo-Ene反应中,由于副反应的存在,反应效率较低。通过对比不同的溶剂,发现六氟异丙醇(HFIP)由于其高氢键供体的独特性能,可能通过氢键作用稳定了反应过渡态,从而显著提高了TAD与烯烃反应的选择性和产率。

Figure 11. The Alder-ene reaction between PTAD and alkenes

11. PTAD与烯烃之间的Alder-ene反应

Figure 12. The remarkable solvent effect on Azo-ene reactions

12. Azo-ene反应的显著溶剂效应

3. TAD与吲哚反应及应用

TAD不仅能与烯烃发生不可逆的Alder-ene反应,还可与吲哚之间发生可逆的Alder-ene反应。2003年,Baran [6]首次报道了吲哚与MeTAD的反应(图13),并提出了吲哚2,3-π键保护–去保护的方法。研究发现通过在真空条件下加热TAD-吲哚加合物,可以从中再生吲哚,反应最初被称为吲哚的保护基策略。这一工作位TAD-吲哚加合物的后续研究奠定了基础。

在Baran工作的基础上,2014年Du Prez课题组[5]报道了TAD在点击化学中的应用(图14)。他们发现TAD化合物能够在室温下与多种烯烃发生快速且高选择性的点击反应,生成相应的加成产物,且无需催化剂。此外,他们发现TAD与吲哚的反应在较高温度下是可逆的,而与二烯的反应不可逆。因此,他们在加热TAD-吲哚加合物的同时向其中加入共轭二烯烃以捕获高活性的TAD,使其生成稳定的D-A加合物,实现所谓的“transclick”反应。

Figure 13. The first method for protection-deprotection of the indole 2,3-π bond

13. 吲哚2,3-π键的保护–去保护的第一种方法

Figure 14. TAD enables ultrafast and reversible click chemistry

14. TAD实现超快速且可逆的点击化学反应

2016年,Jérôme课题组[9]设计一种新型的聚(ε-己内酯) (PCL)基形状记忆材料(图15),通过TAD与吲哚之间高效点击化学反应实现材料的高效交联和可重复加工,同时保持优异的形状记忆性能。通过性能测试与应用验证,发现交联材料在高应变下可以完全松弛并形成新的稳定形状,表现出优异的形状记忆性能。

Figure 15. Reversible TAD chemistry for the design of (Re)processable PCL-based shape-memory materials

15. 可逆的TAD化学反应用于设计再加工的基于PCL的形状记忆材料

4. TAD-吲哚加合物的动态可逆性研究

随着吲哚-TAD类化合物在动态化学领域的应用不断增加,TAD与吲哚之间的动态可逆反应受到了更深入的关注。在室温甚至低于室温时,TAD-吲哚加合物仍能迅速形成。TAD-吲哚加合物的可逆反应温度高度依赖于吲哚底物取代基的位置(图16)。特别是吲哚的2位起着关键作用[26]。最初,TAD与吲哚之间的Alder-ene反应生成亚胺产物,其可逆反应温度通常在100℃~150℃之间(图16(a))。然而,当吲哚2位存在烯丙位氢原子时,生成的亚胺容易通过互变异构转变为更稳定的烯胺,此时可逆反应温度显著升高至250℃~280℃ (图16(b))。由于高温可能导致TAD分解,因此在实际应用中应尽量避免烯胺的形成。此外,只有当吲哚的3位存在取代基时,TAD-吲哚反应才表现出可逆性,从而防止加合物发生芳香性重构(图16(c))。

Figure 16. The impact of various substituents on the reversible reactivity of indoles

16. 不同取代基对吲哚可逆反应性的影响

近年来,TAD-吲哚加合物的动态可逆化学已受到广泛关注,在高温/机械力作用下可以激活的TAD-吲哚加合物中C-N键的动态特性,下面分别从高温和机械力条件两个方面进行阐述。

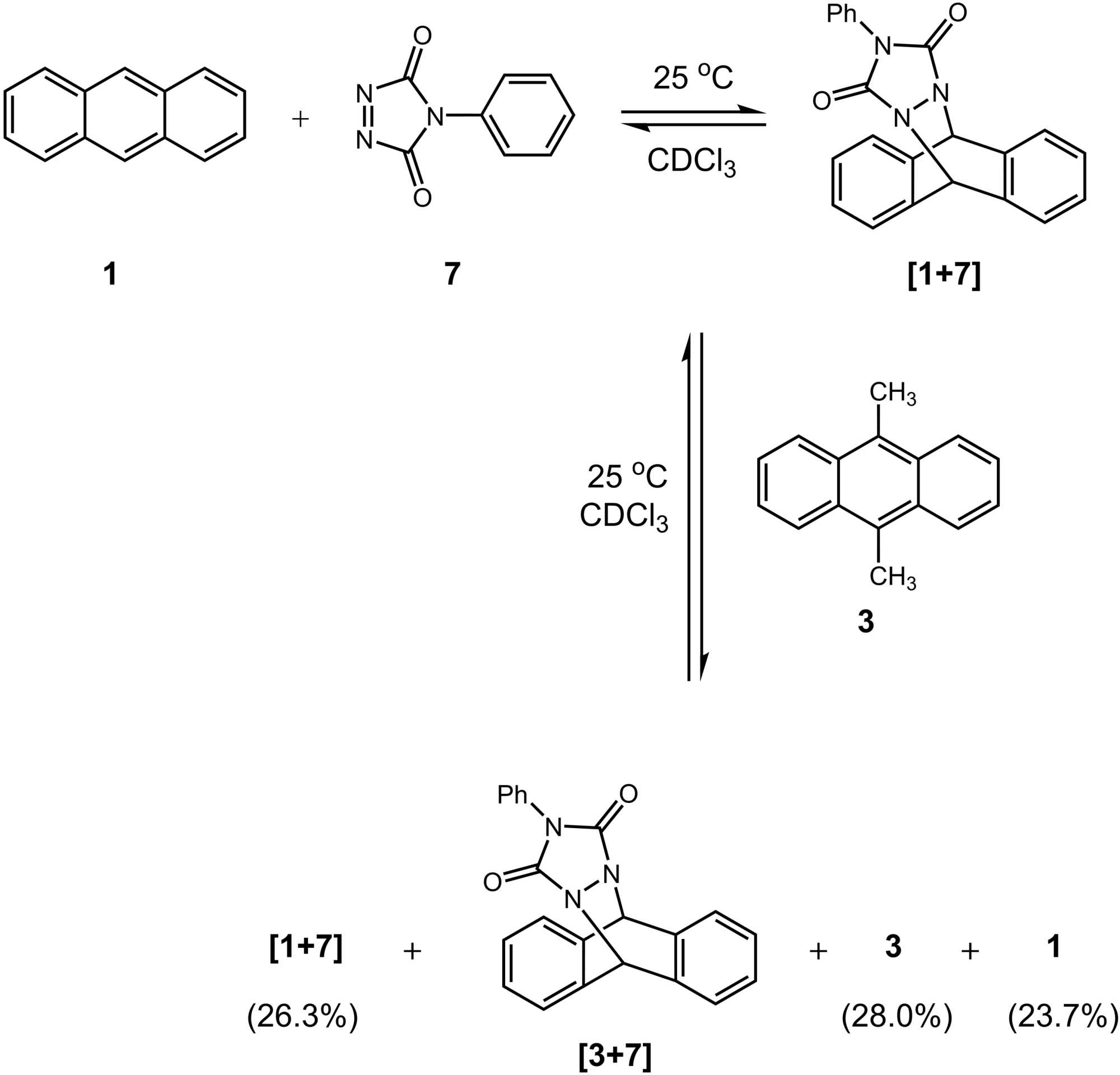
2017年,Du Prez课题组[27]研究了含有不同取代基的TAD-吲哚加合物在高温下的可逆行为(图17)。研究表明,随着吲哚C3位置的位阻显著增加,对逆向反应有促进作用,作者通过实验,确定了不同TAD-吲哚加合物逆向反应的半衰期温度。

Figure 17. Thermally controlled tandem TAD click and transclick reaction sequence

17. 受热控制的TAD点击和transclick反应序列

2022年,常冠军课题组[7]研究了TAD与吲哚衍生物之间的反应(图18),以TAD作为交联剂,含吲哚的聚合物为原料,制备了C-N交联的聚合物材料。作者开发的基于TAD-吲哚反应的力可逆C-N键交联聚合物,能够在室温下实时响应机械力,实现聚合物材料在机械强度和延展性方面的显著提升。可以避免传统共价交联聚合物在长期受力下的不可逆损伤,延长材料的使用寿命。

Figure 18. Construction of force-responsive reversible TAD-indole covalent crosslinked high-strength and tough polymers

18. 力致可逆TAD-吲哚共价交联高强韧聚合物的构筑

5. 总结

综上所述,本文介绍了TAD化合物的发展历程,及其在有机合成和动态共价化学中的广泛应用,简要总结了过去几十年的研究进展。为后续利用TAD进行化学修饰和材料制备提供新的策略,特别是在聚合物科学中具有重要应用价值,可用于制备具有热可逆性、可愈合性和可重塑性的聚合物材料。

参考文献

[1] Jin, Y., Wang, Q., Taynton, P. and Zhang, W. (2014) Dynamic Covalent Chemistry Approaches toward Macrocycles, Molecular Cages, and Polymers. Accounts of Chemical Research, 47, 1575-1586.
https://doi.org/10.1021/ar500037v
[2] Jin, Y., Yu, C., Denman, R.J. and Zhang, W. (2013) Recent Advances in Dynamic Covalent Chemistry. Chemical Society Reviews, 42, 6634-6654.
https://doi.org/10.1039/c3cs60044k
[3] Rowan, S.J., Cantrill, S.J., Cousins, G.R.L., Sanders, J.K.M. and Stoddart, J.F. (2002) Dynamic Covalent Chemistry. Angewandte Chemie International Edition, 41, 898-952.
https://doi.org/10.1002/1521-3773(20020315)41:6<898::aid-anie898>3.0.co;2-e
[4] Maes, S., Badi, N., Winne, J.M. and Du Prez, F.E. (2025) Taking Dynamic Covalent Chemistry Out of the Lab and into Reprocessable Industrial Thermosets. Nature Reviews Chemistry, 9, 144-158.
https://doi.org/10.1038/s41570-025-00686-7
[5] Billiet, S., De Bruycker, K., Driessen, F., Goossens, H., Van Speybroeck, V., Winne, J.M., et al. (2014) Triazolinediones Enable Ultrafast and Reversible Click Chemistry for the Design of Dynamic Polymer Systems. Nature Chemistry, 6, 815-821.
https://doi.org/10.1038/nchem.2023
[6] Baran, P.S., Guerrero, C.A. and Corey, E.J. (2003) The First Method for Protection-Deprotection of the Indole 2, 3-π Bond. Organic Letters, 5, 1999-2001.
https://doi.org/10.1021/ol034634x
[7] Du, M., Houck, H.A., Yin, Q., Xu, Y., Huang, Y., Lan, Y., et al. (2022) Force-Reversible Chemical Reaction at Ambient Temperature for Designing Toughened Dynamic Covalent Polymer Networks. Nature Communications, 13, Article No. 3231.
https://doi.org/10.1038/s41467-022-30972-7
[8] Mondal, P., Jana, G., Pal, T.S., Chattaraj, P.K. and Singha, N.K. (2021) Self-Healable Functional Polymers Based on Diels-Alder ‘Click Chemistry’ Involving Substituted Furan and Triazolinedione Derivatives: A Simple and Very Fast Approach. Polymer Chemistry, 12, 6283-6290.
https://doi.org/10.1039/d1py00910a
[9] Defize, T., Riva, R., Thomassin, J., Alexandre, M., Herck, N.V., Prez, F.D., et al. (2016) Reversible TAD Chemistry as a Convenient Tool for the Design of (re)processable PCL‐Based Shape‐Memory Materials. Macromolecular Rapid Communications, 38, Article ID: 1600517.
https://doi.org/10.1002/marc.201600517
[10] He, M., Li, J., Xu, J., Wu, L., Li, N. and Zhang, S. (2024) Dynamic Recyclable High-Performance Epoxy Resins via Triazolinedione-Indole Click Reaction and Cation-π Interaction Synergistic Crosslinking. Polymers, 16, Article 1900.
https://doi.org/10.3390/polym16131900
[11] Thiele, J. and Stange, O. (1894) Ueber Semicarbazid. Justus Liebigs Annalen der Chemie, 283, 1-46.
https://doi.org/10.1002/jlac.18942830102
[12] Cookson, R.C., Gilani, S.S.H. and Stevens, I.D.R. (1962) 4-Phenyl-1, 2, 4-Triazolin-3, 5-Dione: A Powerful Dienophile. Tetrahedron Letters, 3, 615-618.
https://doi.org/10.1016/s0040-4039(00)70917-8
[13] Cookson, R.C., Gilani, S.S.H. and Stevens, I.D.R. (1967) Diels-alder Reactions of 4-Phenyl-1, 2, 4-Triazoline-3, 5-Dione. Journal of the Chemical Society C: Organic, 1967, 1905-1909.
https://doi.org/10.1039/j39670001905
[14] Kawai, K., Ikeda, K., Sato, A., Kabasawa, A., Kojima, M., Kokado, K., et al. (2022) 1, 2-Disubstituted 1, 2-Dihydro-1, 2, 4, 5-Tetrazine-3, 6-Dione as a Dynamic Covalent Bonding Unit at Room Temperature. Journal of the American Chemical Society, 144, 1370-1379.
https://doi.org/10.1021/jacs.1c11665
[15] De Bruycker, K., Billiet, S., Houck, H.A., Chattopadhyay, S., Winne, J.M. and Du Prez, F.E. (2016) Triazolinediones as Highly Enabling Synthetic Tools. Chemical Reviews, 116, 3919-3974.
https://doi.org/10.1021/acs.chemrev.5b00599
[16] Roy, N. and Lehn, J. (2011) Dynamic Covalent Chemistry: A Facile Room‐Temperature, Reversible, Diels-Alder Reaction between Anthracene Derivatives and n‐Phenyltriazolinedione. ChemistryAn Asian Journal, 6, 2419-2425.
https://doi.org/10.1002/asia.201100244
[17] Southgate, E.H., Pospech, J., Fu, J., Holycross, D.R. and Sarlah, D. (2016) Dearomative Dihydroxylation with Arenophiles. Nature Chemistry, 8, 922-928.
https://doi.org/10.1038/nchem.2594
[18] Kumar Raut, S., Sarkar, S., Mondal, P., Meldrum, A. and Singha, N.K. (2023) Covalent Adaptable Network in an Anthracenyl Functionalised Non-Olefinic Elastomer; a New Class of Self-Healing Elastomer Coupled with Fluorescence Switching. Chemical Engineering Journal, 453, Article ID: 139641.
https://doi.org/10.1016/j.cej.2022.139641
[19] Kuroda, Y., Krell, M., Kurokawa, K. and Takasu, K. (2024) Synthesis of Mesoionic Triazolones via a Formal [3 + 2] Cycloaddition between 4-Phenyl-1, 2, 4-Triazoline-3, 5-Dione and Alkynes. Chemical Communications, 60, 1719-1722.
https://doi.org/10.1039/d3cc05088b
[20] Breton, G.W. (2011) Acid-Catalyzed Reaction of 4-Methyl-1, 2, 4-Triazoline-3, 5-Dione (MeTAD) with Substituted Benzenes. Tetrahedron Letters, 52, 733-735.
https://doi.org/10.1016/j.tetlet.2010.12.024
[21] Ban, H., Gavrilyuk, J. and Barbas, C.F. (2010) Tyrosine Bioconjugation through Aqueous Ene-Type Reactions: A Click-Like Reaction for Tyrosine. Journal of the American Chemical Society, 132, 1523-1525.
https://doi.org/10.1021/ja909062q
[22] Ban, H., Nagano, M., Gavrilyuk, J., Hakamata, W., Inokuma, T. and Barbas, C.F. (2013) Facile and Stabile Linkages through Tyrosine: Bioconjugation Strategies with the Tyrosine-Click Reaction. Bioconjugate Chemistry, 24, 520-532.
https://doi.org/10.1021/bc300665t
[23] Yang, J., Zhang, J., Bao, W., Qiu, S., Li, S., Xiang, S., et al. (2021) Chiral Phosphoric Acid-Catalyzed Remote Control of Axial Chirality at Boron–carbon Bond. Journal of the American Chemical Society, 143, 12924-12929.
https://doi.org/10.1021/jacs.1c05079
[24] Kiselev, V.D., Kornilov, D.A., Kashaeva, H.A., Potapova, L.N. and Konovalov, A.I. (2014) 4‐Phenyl‐1, 2, 4‐Triazoline‐3, 5‐Dione in the Ene Reactions with Cyclohexene, 1‐Hexene and 2, 3‐Dimethyl‐2‐Butene. The Heat of Reaction and the Influence of Temperature and Pressure on the Reaction Rate. Journal of Physical Organic Chemistry, 27, 401-406.
https://doi.org/10.1002/poc.3277
[25] Kuroda, Y. (2022) Remarkable Solvent Effect of Fluorinated Alcohols on Azo-Ene Reactions. Chemical and Pharmaceutical Bulletin, 70, 359-361.
https://doi.org/10.1248/cpb.c22-00076
[26] Houck, H. (2020) Light and Temperature Triggered Triazolinedione Reactivity for On-Demand Bonding and Debonding of Polymer Systems. Karlsruher Institut für Technologie (KIT).
[27] Chehardoli, G., Zolfigol, M.A., Ghaemi, E., Madrakian, E., Niknam, K. and Mallakpour, S. (2012) N2O4 Chemisorbed Onto n‐Propylsilica Kryptofix 21 and Kriptofix 22 as Two New Functional Polymers for the Fast Oxidation of Urazoles and 1, 4‐Dihydropyridines. Journal of Heterocyclic Chemistry, 49, 596-599.
https://doi.org/10.1002/jhet.828