商家促销问题的演化博弈
Evolutionary Game of Business Promotion Problem
DOI: 10.12677/ecl.2025.1451474, PDF, HTML, XML,    国家自然科学基金支持
作者: 张 艳, 付永飞*:贵州大学数学与统计学院,贵州 贵阳
关键词: 商家促销演化博弈演化稳定策略仿真分析Business Promotion Evolutionary Game Evolutionary Stability Strategy Simulation Analysis
摘要: 如今,随着我国市场经济的持续发展和日益完善,市场竞争变得愈加激烈。无论是线上平台还是线下实体商家,都在寻求提升自身商品核心竞争力的途径。在这种背景下,商家往往通过各种促销活动来吸引消费者。然而,这些促销手段的使用也伴随着诸多问题的出现。本文基于有限理性,结合演化博弈理论,构建了商家、政府和消费者之间的三方博弈模型。通过合理设置相关参数,推导出复制动态方程,并分析了各方在博弈中的策略选择对系统演化稳定性的影响。此外,本文还探讨了不同参数变化对博弈结果的影响,并利用MATLAB数值仿真验证了该理论模型的正确性。
Abstract: Nowadays, with the continuous development and increasing perfection of China’s market economy, market competition has become increasingly fierce. Both online platforms and offline physical merchants are seeking ways to enhance the core competitiveness of their products. Against this backdrop, merchants often resort to various promotional activities to attract consumers. However, the use of these promotional means is also accompanied by the emergence of many problems. Based on bounded rationality and combined with the evolutionary game theory, this paper constructs a tripartite game model among merchants, the government, and consumers. By reasonably setting relevant parameters, the replication dynamic equations are derived, and the impact of the strategic choices of all parties in the game on the evolutionary stability of the system is analyzed. In addition, this paper explores the impact of changes in different parameters on the game results and verifies the correctness of the theoretical model through MATLAB simulation.
文章引用:张艳, 付永飞. 商家促销问题的演化博弈[J]. 电子商务评论, 2025, 14(5): 1884-1894. https://doi.org/10.12677/ecl.2025.1451474

1. 引言

随着互联网及各大线上交易平台的快速发展,中国商品市场的竞争愈加激烈。除了线下商户纷纷开展各类促销活动,拼多多、淘宝、抖音等线上平台也推出了形式多样、各具特色的促销活动。各大厂商力图发挥自身的产品资源优势,尽可能争夺市场份额,希望在激烈的竞争谋取更多利益。然而,在一系列促销活动背后,也出现了某些问题。尽管商品销售额有所增长,但店铺利润却未见增加,甚至出现下降的情况。同时,消费者购买的商品质量参差不齐。商家的促销活动复杂多样,甚至出现了虚假宣传和欺诈性促销等不诚信行为,这不仅损害了消费者利益,也为商家带来了负面影响。

近年来,随着市场竞争的加剧与促销策略的多样化,学者们从多角度对商家促销行为展开了研究。早期学者如侯书森[1]、赵国柱[2]聚焦于企业促销目标的制定原则,强调产品优势与预算约束对策略选择的影响,但其研究多基于静态决策框架,未能揭示多方主体动态博弈的复杂性。吴健安[3]虽提出促销策略需结合市场环境,但未对政府监管的作用机制进行深入探讨。近年来,博弈论逐渐成为分析促销行为的重要工具:白洋洋[4]运用博弈理论分析网络促销特征如何影响消费者行为,但其模型局限于商家与消费者的二元互动,忽略了政策监管对市场秩序的调节作用。沈国明和徐小东[5]运用博弈论分析方法,揭示了促销行为对企业经营效益影响的复杂性,指出不当的促销策略可能无法带来预期收益。顾春梅[6]建立了企业、消费者与政府的三方博弈模型,强调科学的促销决策必须统筹考虑政策导向、市场竞争格局、企业自身条件等多方面因素。但其主要聚焦于静态均衡分析,未能刻画策略演化的动态过程及稳定性条件。此外,赵金实和霍佳震[7]构建了基于消费者行为的零售商双边博弈策略研究。但该模型的关注重点是提高零售业供应链的运行效率,未进一步分析商家促销行为与政府的博弈关系。同样的,高平[8],卢方元[9]均通过理论分析和构建博弈模型,为商家的促销行为提供了建议,但未将政府规制变量纳入分析框架。薛玉林、吕廷杰等人[10]运用博弈理论,分析了“双十一”促销活动中的羊群效应,列出了网民之间、商户之间、网民与商户之间三种市场主体的7种博弈情形,其研究限于特定时段的高强度促销活动,理论框架缺乏对日常促销策略的普适解释力。

本文以演化博弈理论为分析框架,将与商家促销活动利益相关的主体界定为那些既会受到商家正常促销活动影响,同时又能对商家促销活动产生一定反作用的个人与社会团体,具体包括政府、商家和消费者[11]。这三类主体之间存在着紧密的内在联系,彼此相互制约并相互影响。每一方都有独特的利益诉求,并在行为决策上拥有自主选择权。各方的行为选择将对商家的促销活动产生不同的效果,进而影响商家最终的促销策略和行为实施[12]。本文通过构建三方动态演化模型,分析政府、商家和消费者三者之间的博弈关系,探讨在不同情况下商家应采取何种促销方式,政府和消费者又如何应对,从而实现市场经济规范、提高社会福利、促进经济发展的目的。

2. 促销博弈分析与相关变量

2.1. 演化博弈模型的基本假设

1) 博弈主体

政府、企业和消费者构成的社会系统视为一种整体的系统,该系统内的三方均为具备学习能力的有限理性个体,且拥有相应行为的选择和权利。

2) 博弈主体行为策略

政府的行为策略集 S 1 ={ M 1  , M 2   } ,“高质量监管”指政府充分投入资源,积极监督商家的促销行为,能够有效发现并处理不道德或违规行为,并采取相应的惩处措施;“低质量监管”则指政府虽然进行监管,但未能有效识别或处理违规促销行为。

商家的行为策略集 S 2 ={ K 1  ,  K 2   } ,“正规促销”指商家所有促销活动均符合道德规范,遵守相关法律法规,不损害社会和消费者的任何利益;“违规促销”则指商家通过不正当手段进行促销,这种行为可能损害其他商家、社会及消费者的利益,以谋取更大的利润。

消费者的行为策略集 S 3 ={ N 1  ,  N 2   } ,“购买”指消费者在商家促销时,未了解促销是否合法,且无论是否真正需要该商品,因觉得促销商品划算或物美价廉而果断购买的行为;“不购买”则指消费者在面对商家促销时,尽管需要该商品,却因各种原因放弃购买的行为。

3) 行为策略采取的概率

假设在群体博弈的初始阶段,政府部门选择“高质量监管”策略的概率为x,选择“低质量监管”策略的概率为 1x ;商家选择“正规促销”策略的概率为y,选择“违规促销”的概率为 1y ;消费者选择“购买”策略的概率为z,选择“不购买”的概率为 1z 。其中, 0x1 0y1 0z1

4) 模型中各参数假设及其含义如表1所示。

Table 1. Main parameters of the model and representations

1. 模型主要参数及其表达含义

参数

表达含义

M 1

政府采取高质量监管所获得的社会效益

M 2

政府采取低质量监管所获得的社会效益

C 1

政府采取高质量监管所付出的成本

C 2

政府采取低质量监管所付出的成本

P

政府高质量监管时对商家违规促销的惩罚

U 1

消费者购买商品时政府高质量监管获得的信用

U 2

消费者购买商品政府低质量监管的名誉损失

C 3

商家正规促销所需要的成本

C 4

商家违规促销所需要的成本

R 1

消费者购买商品时商家违规促销所获得额外收益

R 3

商家促销所获得的收益

U

消费者购买正规促销商品获得的效用

N 3

消费者购买违规促销商品因质量问题所遭受的损失

2.2. 三方演化博弈模型的建立

根据政府、商家和消费者的行为策略组合,可以得出三方的博弈组合有8种,分别为(M1高质量监管,K1正规促销,N1购买)、(M1高质量监管,K1正规促销,N2不购买)、(M1高质量监管,K2违规促销,N1购买)、(M1高质量监管,K2违规促销,N2不购买)、(M2低质量监管,K1正规促销,N1购买)、(M2低质量监管,K1正规促销,N2不购买)、(M2低质量监管,K2违规促销,N1购买)、(M2低质量监管,K2违规促销,N2不购买)。根据表1参数假设可知,当策略为(M1高质量监管,K1正规促销,N1购买)时,政府监管需要一定的人力、物力及财力等成本,同时采取高质量监管时,政府会有一定的收益;商家进行促销行为时会有一定的成本支出,相应地,也会有一定利润产生;消费者购买促销商品时,会得到一定的效用。同理,可以得出政府、商家和消费者的多种策略组合下的收益,具体如表2所示。

Table 2. The evolutionary game payoff matrix among the government, businesses, and consumers

2. 政府、商家和消费者之间的演化博弈收益矩阵

政府

商家

消费者

/

/

购买z

不购买 1z

高质量监管x

正规促销y

M 1 C 1 + U 1 ,  R 3 C 3 , U

M 1 C 1 ,  R 3 C 3 , 0

违规促销 1y

M 1 C 1 +P+ U 1 ,  R 3 + R 1 C 4 P,  N 3

M 1 C 1 +P,  R 3 C 4 P, 0

低质量监管 1x

正规促销y

M 2 C 2 U 2 ,  R 3 C 3 , U

M 2 C 2 ,  R 3 C 3 , 0

违规促销 1y

M 2 C 2 U 2 ,  R 3 + R 1 C 4 ,  N 3

M 2 C 2 ,  R 3 C 4 , 0

3. 演化博弈模型分析

3.1. 三方演化博弈的复制动态方程

“复制动态”是对有限理性的参与主体策略调整过程的动态描述与分析。接下来依次构造政府、商家和消费者的复制动态方程。设政府选择“高质量监管”策略的期望收益为V11、选择“低质量监管”策略的期望收益为V12,平均期望收益为V1,则有:

V 11 =yz( M 1 C 1 + U 1 )+y( 1z )( M 1 C 1 )+z( 1y )( M 1 C 1 +P+ U 1 )+( 1z )( 1y )( M 1 C 1 +P ) ,

V 12 =yz( M 2 C 2 U 2 )+y( 1z )( M 2 C 2 )+z( 1y )( M 2 C 2 U 2 )+( 1y )( 1z )( M 2 C 2 ) ,

V 1 =x V 11 +( 1x ) V 12 .

构造政府行为策略的复制动态方程为:

F( x )= dx dt =x( 1x )( M 1 C 1 + C 2 M 2 +PyP+z U 1 +z U 2 ),

同理,设商家选择“正规促销”策略的期望收益为V21,选择“违规促销”策略的期望收益为V22,平均期望收益为V2,则有:

V 21 =xz( R 3 C 3 )+x( R 3 C 3 )( 1z )+z( R 3 C 3 )( 1x )+( R 3 C 3 )( 1x )( 1z ) ,

V 22 =xz( R 3 + R 1 C 4 P )+x( R 3 C 4 P )( 1z )+z( R 3 + R 1 C 4 )( 1x )+( R 3 C 4 )( 1x )( 1z ) ,

V 2 =y V 21 +( 1y ) V 22 .

构造商家行为策略的复制动态方程为:

F( y )= dy dt =y( 1y )( xPz R 1 + C 4 C 3 ) .

同理,设消费者选择“购买”策略的期望收益为V31,选择“不购买”策略的期望收益为V32,平均期望收益为V3,则有:

V 31 =Uxy+x( N 3 )( 1y )+Uy( 1x )+( N 3 )( 1x )( 1y ) ,

V 32 =0 ,

V 3 =z V 31 +( 1z )0 .

构造消费者行为策略的复制动态方程为:

F( z )= dz dt =z( V 31 V 3 )=z( 1z )( V 31 V 32 )=z( 1z )( N 3 + N 3 y+Uy ) .

联立复制动态方程 F( x ) F( y ) F( z ) ,则组成了政府、商家和消费者动态演化的三维动力系统,当政府、商家和消费者不同策略的期望相等时,系统能维持在稳定状态。

3.2. 三方演化博弈的均衡点及稳定性分析

3.2.1. 均衡点

在多群体演化博弈中,由于演化稳定策略组合(ESS)和渐近稳定状态都是纯策略[13],本文只需要分析内部均衡点的稳定性,根据Weinstein提出的微分方程稳定性定理[14]。令 F( x )=0 F( y )=0 F( z )=0 ,当系统策略选择的变化率为0时,即可得出三维复制动态系统的内部均衡解,共有8个均衡点,分别为: Q 1 ( 0, 0, 0 ) Q 2 ( 1, 0, 0 ) Q 3 ( 0, 1, 0 ) Q 4 ( 0, 0, 1 ) Q 5 ( 1, 1, 0 ) Q 6 ( 1, 0, 1 ) Q 7 ( 0, 1, 1 ) Q 8 ( 1, 1, 1 )

这8个均衡点构成了演化博弈域的边界 { ( x,y,z )| x=0,1; y=0,1; z=0,1 } ,由此围成的区域M是三方博弈的均衡解域,即 M={ ( x,y,z )| 0x1, 0y1, 0z1 } ,下面讨论这8个均衡解的渐近稳定性。

由三个复制动态微分方程可得雅可比矩阵为:

J=( ( 12x )( C 2 C 1 + M 1 M 2 +PPy+z( U 1 + U 2 ) ) x( x1 )P x( 1x )( U 1 + U 2 ) y( 1y )P ( 2y1 )( C 3 C 4 xP+z( R 1 R 2 ) ) y( y1 ) R 1 0 z( 1z )( N 3 +U ) ( 12z )( N 3 +y( U+ N 3 ) ) )

3.2.2. 均衡点稳定性分析

根据演化博弈相关理论知识和上述所求雅可比矩阵,即可求得均衡点(0, 0, 0)的复制动力系统的雅可比矩阵的特征值为 λ 1 = C 2 C 1 + M 1 M 2 +P λ 2 = C 4 C 3 λ 3 = N 3 。同理,可以求出其他均衡点下复制动力系统雅可比矩阵的特征值,并判断不同条件下特征值的正负情况,具体如表3表4所示。

商家促销行为的策略博弈均衡受多种因素影响,具体分析如下。

情况1:在三方博弈中,当 M 1 C 1 + U 1 +P< M 1 C 2 U 2 C 4 > C 3 时,政府采取高质量监管的社会效益、成本、对违规商家罚款及消费者购买商品的信用总和小于低质量监管的社会效益、成本以及消费者的名誉损失;同时,商家违规促销的成本低于正规促销的成本,演化稳定点 Q 1 ( 0, 0, 0 ) 为政府选择低质量监管,商家选择违规促销,而消费者选择不购买商品。

情况2:在三方博弈中,当 M 1 C 1 > M 2 C 2 C 3 > R 1 C 4 时,当商家选择正规促销商品,消费者选择购买商品时,政府选择高质量监管的得益大于低质量监管时,在这种情况下,政府选择高质量监管而消费者选择购买商品时,商家选择正规促销商品的得益大于违规促销的得益,且此时雅可比矩阵的三个特征值均小于0,那么 Q 8 ( 1, 1, 1 ) 为演化稳定点。也就是说,政府最终趋向于选择高质量监管,商家选择正规促销商品,消费者选择购买促销商品。

Table 3. ESS based on Case 1

3. 基于情况1的ESS

均衡点

特征值

符号

状态

Q 1 ( 0, 0, 0 )

C 2 C 1 + M 1 M 2 +P,  C 4 C , 3   N 3

(−, −, −)

ESS

Q 2 ( 1, 0, 0 )

( C 2 C 1 + M 1 M 2 +P ),  C 4 C 3 +P,  N 3

(+, ×, −)

不稳定点

Q 3 ( 0, 1, 0 )

C 2 C 1 + M 1 M 2 ,  C 3 C 4 , U

(−, +, +)

不稳定点

Q 4 ( 0, 0, 1 )

C 2 C 1 + M 1 M 2 +P+ U 1 + U 2 ,  C 4 C 3 R 1 ,  N 3

(−, −, +)

不稳定点

Q 5 ( 1, 1, 0 )

( C 2 C 1 + M 1 M 2 ),  C 3 C 4 P, U

(+, ×, +)

不稳定点

Q 6 ( 1, 0, 1 )

( C 2 C 1 + M 1 M 2 +P+ U 1 + U 2 ), ( C 3 C 4 + R 1 P ),  N 3

(+, ×, +)

不稳定点

Q 7 ( 0, 1, 1 )

C 2 C 1 + M 1 M 2 + U 1 + U 2 ,  C 3 C 4 + R 1 , U

(−, +, −)

不稳定点

Q 8 ( 1, 1, 1 )

( C 2 C 1 + M 1 M 2 + U 1 + U 2 ),  C 3 C 4 + R 1 P, U

(+, ×, −)

不稳定点

注:表3中×表示符号不确定,需要分情况讨论。

Table 4. ESS based on Case 2

4. 基于情况2的ESS

均衡点

特征值

符号

状态

Q 1 ( 0, 0, 0 )

C 2 C 1 + M 1 M 2 +P,  C 4 C , 3   N 3

(+, +, −)

不稳定点

Q 2 ( 1, 0, 0 )

( C 2 C 1 + M 1 M 2 +P ),  C 4 C 3 +P,  N 3

(−, +, −)

不稳定点

Q 3 ( 0, 1, 0 )

C 2 C 1 + M 1 M 2 ,  C 3 C 4 , U

(+, −, +)

不稳定点

Q 4 ( 0, 0, 1 )

C 2 C 1 + M 1 M 2 +P+ U 1 + U 2 ,  C 4 C 3 R 1 ,  N 3

(+, +, +)

不稳定点

Q 5 ( 1, 1, 0 )

( C 2 C 1 + M 1 M 2 ),  C 3 C 4 P, U

(−, −, +)

不稳定点

Q 6 ( 1, 0, 1 )

( C 2 C 1 + M 1 M 2 +P+ U 1 + U 2 ), ( C 3 C 4 + R 1 P ),  N 3

(−, +, +)

不稳定点

Q 7 ( 0, 1, 1 )

C 2 C 1 + M 1 M 2 + U 1 + U 2 ,  C 3 C 4 + R 1 , U

(+, −, −)

不稳定点

Q 8 ( 1, 1, 1 )

( C 2 C 1 + M 1 M 2 + U 1 + U 2 ),  C 3 C 4 + R 1 P, U

(−, −, −)

ESS

3.3. 演化仿真分析

为直观分析政府、商家和消费者的演化路径及稳定状态,将为相关参数赋值,并利用MATLAB对上述两种情形的演化稳定策略进行仿真分析,具体步骤如下。

政府、商家和消费者演化策略为 Q 1 ( 0, 0, 0 ) 的条件为 M 1 C 1 + U 1 +P< M 2 C 2 U 2 C 4 > C 3 ,则取 M 1 =6 M 2 =5 C 1 =6 U 1 =1 U 2 =1 P=1 C 3 =4 C 4 =2 R 1 =2 U=2 N 3 =4 满足如上假设条件。演化结果如图1所示,系统最终演化到点(0, 0, 0)。

政府、商家和消费者演化策略为 Q 8 ( 1, 1, 1 ) 的条件为 M 1 C 1 > M 2 C 2 C 3 > R 1 C 4 ,则选取参数 M 1 =6 M 2 =5 C 1 =2 C 2 =3 U 1 =1 U 2 =1 P=1 C 3 =1 C 4 =3 R 1 =1 U=2 N 3 =4 满足如上条件。演化结果如图2所示,系统最终演化到(1, 1, 1)。由图1图2可知,两种情景系统分别收敛到(0, 0, 0),(1, 1, 1),这与 Q 1 Q 8 为稳定点相符。

Figure 1. Evolving to point (0, 0, 0)

1. 演化到点(0, 0, 0)

Figure 2. Evolving to point (1, 1, 1)

2. 演化到点(1, 1, 1)

为验证演化稳定性分析的有效性,根据实际情况为模型赋值,满足分析条件,并利用MATLAB进行仿真分析,探讨不同参数变化对商家促销、消费者策略和政府监管的影响。模型中各参数的初始值设定如下:三方策略初始化比例 x=y=z=0.5

1) 政府高质量监管的社会收益M1和低质量监管的社会收益M2对政府策略影响的仿真分析。

在其他条件不变的前提下,首先利用数值仿真考察政府高质量监管的社会收益M1和低质量监管的社会收益M2对政府监管策略的演化路径。政府高质量监管的社会收益M1取值从4开始分别取6、10、14共仿真4次,政府策略选择的仿真结果如图3所示;政府低质量监管的社会收益M2的取值从5开始分别取4、2、1共仿真4次,政府策略选择的仿真结果如图4所示。图3,当政府选择高质量监管策略时,若社会收益较小,政府倾向于放弃该策略,概率接近0;但随着高质量监管的收益增大,选择该策略的概率也随之增加,并且收益越大,收敛速度越快,最终趋近于1。这表明高质量监管的社会收益能激励政府更加积极地选择该策略。图4,当低质量监管的收益较大时,政府更倾向于选择低质量监管。但随着低质量监管收益的减少,政府选择高质量监管的概率逐渐增大,并在收益降至最低时,选择高质量监管的概率最终趋近于1,且收益越小,收敛速度越快。

Figure 3. The influence of the social benefits of high-quality supervision on the government’s strategy

3. 高质量监管的社会收益对政府的策略影响

Figure 4. The influence of the social benefits of low-quality supervision on the government’s strategy

4. 低质量监管的社会收益对政府的策略影响

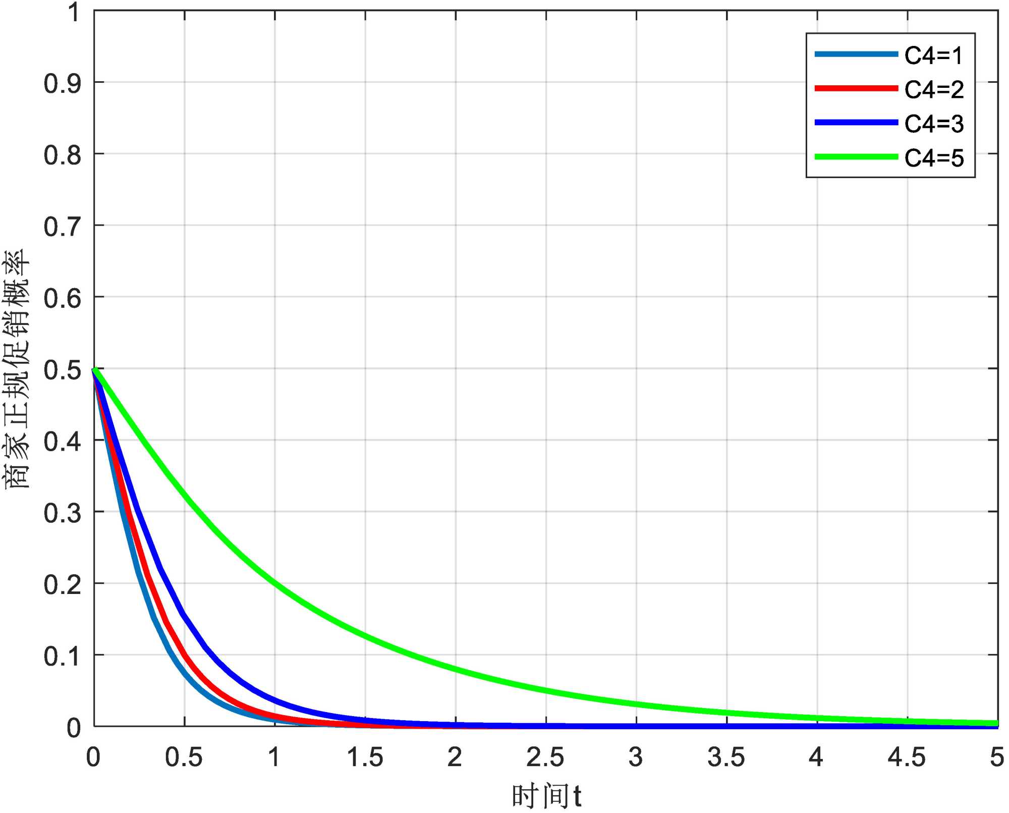
2) 商家正规促销所需成本C3与违规促销所需成本C4对商家策略影响的数值仿真分析。

M 1 =6 M 2 =5 C 1 =6 C 2 =1 U 1 =1 U 2 =1 P=1 C 4 =1 ,在其他条件不变的情况下,利用数值仿真考察商家正规促销所需成本C3与违规促销所需成本C4对商家促销策略影响的演化路径。商家正规促销所需成本C3的取值从3开始分别取4、5、6共仿真4次,商家策略选择的仿真结果如图5所示;商家违规促销所需成本C4的取值从1开始分别取2、3、5共仿真4次,商家策略选择的仿真结果如图6所示。

图5,当正规促销的成本较低时,商家更倾向于选择正规促销;但随着成本增加,为了获取更大的利润,商家会冒险选择违规促销,正规促销的选择概率逐渐趋近于0,且成本越高,收敛速度越快。这表明商家会根据促销成本来调整策略。图6,当违规促销的成本较高时,商家选择违规促销的概率较小;但随着成本降低,商家选择违规促销的概率增加,正规促销的选择概率逐渐趋近于0,且成本越低,收敛速度越快。这也说明商家会根据促销成本来调整策略。

Figure 5. The impact of regular promotion costs on business strategies

5. 商家正规促销成本对商家策略影响

Figure 6. The impact of illegal promotional costs on business strategies

6. 商家违规促销成本对商家策略影响

3) 购买促销商品的效用与损失对消费者策略影响的数值仿真分析。

在其他条件不变的前提下,利用数值仿真考察购买促销商品的效用U和正规促销商品的效用U对消费者购买策略的演化路径。消费者购买促销商品的效用U的取值从2开始分别取4、8、16共仿真4次,消费者策略选择的仿真结果如图7所示;消费者购买促销商品的损失N3的取值从0.5开始分别取2、3.5、5共仿真4次,消费者策略选择的仿真结果如图8所示。

Figure 7. The influence of the utility of purchasing promotional goods on consumers

7. 购买促销商品的效用对消费者的影响

Figure 8. The influence of the utility of purchasing goods on consumers

8. 购买商品的效用对消费者的影响

图7,当消费者购买正规商品的效用U较小时,购买商品的概率较低;但随着效用U的增加,消费者购买商品的概率逐渐增大。经过多次博弈后,消费者选择购买促销商品的概率趋近于1。这意味着,效用越高时,消费者的购买概率越大,且效用U越大,收敛速度越快。这表明,消费者的购买决策与其获得的效用密切相关。图8,当消费者购买促销商品的损失较小时,购买促销商品的概率较低;但随着损失增大,消费者因为考虑到潜在的损失而减少购买促销商品的概率。经过多次博弈后,消费者选择购买商品的概率趋近于1,且损失越大,收敛速度越快。这说明,消费者在面临较大利益损失时,倾向于减少购买促销商品的概率。因此,仿真分析有效且具有现实意义,政府政策影响商家促销决策,而商家的促销活动与消费者购买力密切相关,消费者行为直接影响商家决策。

4. 结论

本文分析了商家、政府与消费者在商家促销问题上的相互影响,基于演化博弈的思想,构建了三方博弈的收益矩阵,并在此基础上通过演化模型探讨了商家促销问题的影响因素。通过仿真分析,得出以下结论:政府会根据监管所带来的社会收益大小来决定选择高质量监管策略还是低质量监管策略;商家则根据促销所获得的利润大小来选择正规促销策略或违规促销策略;消费者则依据购买促销商品的效用与潜在损失的权衡来决定是否购买促销商品。当政府选择高质量监管策略时,商家会考虑到违规促销所带来的各类负面后果,从而倾向于选择正规促销策略。此时能为消费者和社会带来较大的利益;然而,当政府选择低质量监管策略时,商家会根据正规促销和违规促销所带来的利润差异来选择促销方式,期望获得更大的经济利益。

作者声明

本文两位作者对文章的贡献是等同的;本文作者承诺本文内容不涉嫌反动言论;本文的通讯作者为上述承诺负第一责任人,且承诺本文无数据篡改、编造、和作假,无参考文献滥引现象,并对本文数据来源的真实性负第一责任。

基金项目

本文由国家自然科学基金(11801111, 12261021)项目资助。

NOTES

*通讯作者。

参考文献

[1] 侯书森. 市场营销学∙精华读本[M]. 北京: 民主与建设出版社, 2001.
[2] 赵国柱. 市场营销学理论与应用[M]. 北京: 中国物资出版社, 2004.
[3] 吴健安. 市场营销学[M]. 北京: 高等教育出版社, 2004.
[4] 白洋洋. 博弈视角下的线上商家促销策略研究[D]: [硕士学位论文]. 北京: 北京邮电大学, 2020.
[5] 沈国明, 许小东. 商家促销活动的博弈分析[J]. 金融经济, 2016(20): 175-176.
[6] 顾春梅. 促销行为的博弈分析——兼论“满就送”促销方式的科学性[J]. 商业经济与管理, 2002(3): 15-18.
[7] 赵金实, 霍佳震. 基于消费者行为的零售商双边博弈策略研究[J]. 南开管理评论, 2010, 13(3): 22-25.
[8] 高平. 会员卡定向促销的博弈分析[J]. 江苏商论, 2010(10): 26-29.
[9] 卢方元. 降价促销行为的博弈分析[J]. 市场研究, 2004(2): 38-39.
[10] 薛玉林, 吕廷杰, 齐佳音, 等. “双11”促销活动中羊群效应的博弈分析[J]. 技术经济与管理研究, 2014(9): 3-6.
[11] 曹霞, 张路蓬. 企业绿色技术创新扩散的演化博弈分析[J]. 中国人口∙资源与环境, 2015, 25(7): 68-76.
[12] 孟婷. 对零售商促销策略的经济学分析[D]: [硕士学位论文]. 北京: 首都经济贸易大学, 2011.
[13] 曾德宏. 多群体演化博弈均衡的渐近稳定性分析及其应用[D]: [硕士学位论文]. 广州: 暨南大学, 2012.
[14] 约翰∙梅纳德∙史密斯. 演化与博弈[M]. 上海: 复旦大学出版社, 2008.